Identification of Multimodal Dynamic Characteristics of a Decurrent Tree with Application to a Model-Scale Wind Tunnel Study
Abstract
1. Introduction
2. Materials and Methods
2.1. Test Site and Prototype Tree
2.2. Tree Component Classification and Geometry Measurements
2.3. Dynamic Measurements
2.4. Finite Element Model (FEM)
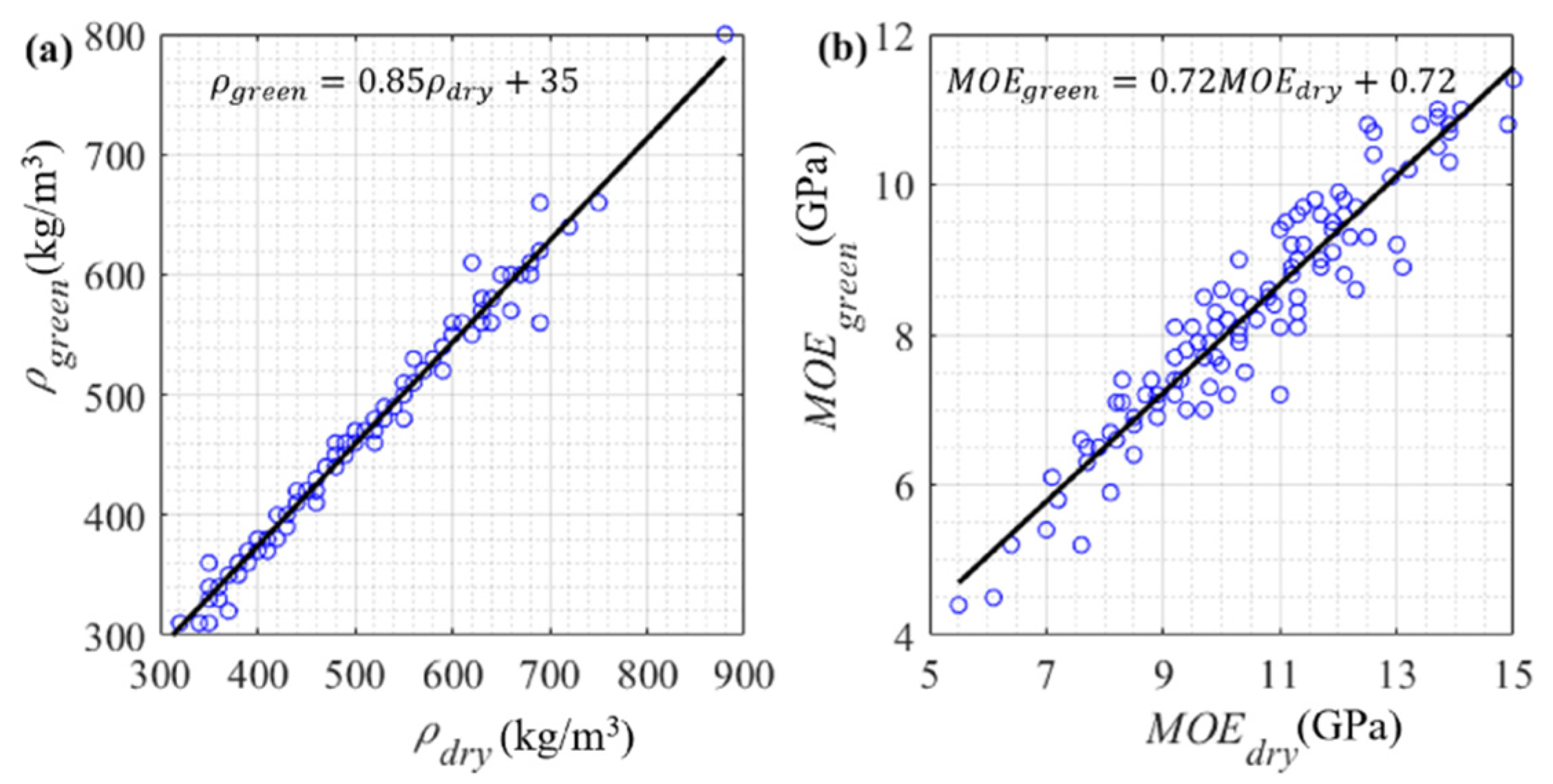
2.5. Leaf Mass Estimation
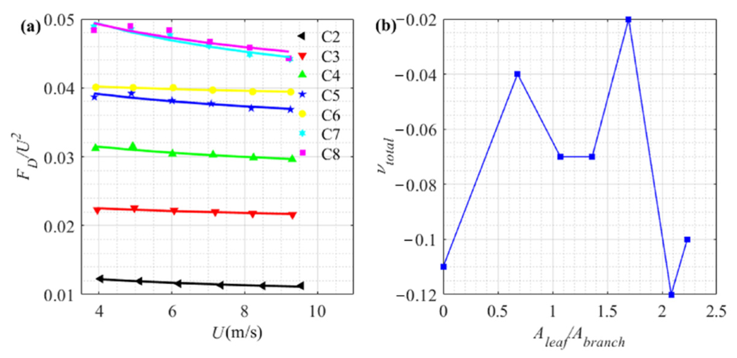
2.6. Identification of Branch Modes
3. Results
3.1. Prototype Characteristics
3.1.1. Geometry and Morphology
3.1.2. Leaf Mass Estimation
3.1.3. Multimodal Dynamic Characteristics
3.2. Characteristics of the Aeroelastic Model Tree
3.2.1. Scaled Models of Trees
3.2.2. Model Designs
3.2.3. Model Configurations
3.2.4. Crown Vertical Distributions
3.3. Characteristics of the Aeroelastic Model Tree
3.3.1. Crown Morphology
3.3.2. Mass and Bending Stiffness Distributions (Frequency)
3.3.3. Damping
4. Discussion
4.1. Multimodal Dynamics of Decurrent Trees
4.2. Challenges of the Aeroelastic Model
5. Conclusions
Author Contributions
Funding
Institutional Review Board Statement
Informed Consent Statement
Data Availability Statement
Acknowledgments
Conflicts of Interest
References
- Sills, D.M.L.; Kopp, G.A.; Elliott, L.; Jaffe, A.; Sutherland, E.; Miller, C.; Kunkel, J.; Hong, E.; Stevenson, S.; Wang, W. The Northern Tornadoes Project—Uncovering Canada’s true tornado climatology. Bull. Am. Meteorol. Soc. 2020, 101, 2113–2132. [Google Scholar] [CrossRef]
- Mansour, M.A.; Rhee, D.M.; Newson, T.; Petersen, C.; Lombardo, F.T. Estimating wind damage in forested areas due to tornadoes. Forests 2021, 12, 17. [Google Scholar] [CrossRef]
- Gardiner, B.; Berry, P.; Moulia, B. Review: Wind impacts on plant growth, mechanics and damage. Plant Sci. 2016, 245, 94–118. [Google Scholar] [CrossRef] [PubMed]
- Gromke, C. Wind tunnel model of the forest and its Reynolds number sensitivity. J. Wind Eng. Ind. Aerodyn. 2018, 175, 53–64. [Google Scholar] [CrossRef]
- Hao, Y.F.; Kopp, G.A.; Wu, C.; Gillmeier, S. A wind tunnel study of the aerodynamic characteristics of a scaled, aeroelastic, model tree. J. Wind Eng. Ind. Aerodyn. 2020, 197, 104088. [Google Scholar] [CrossRef]
- Rodriguez, M.; Ploquin, S.; Moulia, B.; Langre, E.D. The multimodal dynamics of a walnut tree: Experiments and models. J. Appl. Mech.-Trans. ASME 2012, 79, 044505. [Google Scholar] [CrossRef]
- Spatz, H.; Theckes, B. Oscillation damping in trees. Plant Sci. 2013, 207, 66–71. [Google Scholar] [CrossRef]
- Langre, E.D. Effects of wind on plants. Annu. Rev. Fluid Mech. 2008, 40, 141–168. [Google Scholar] [CrossRef]
- James, K.R.; Haritos, N.; Ades, P.K. Mechanical stability of trees under dynamic loads. Am. J. Bot. 2006, 93, 1522–1530. [Google Scholar] [CrossRef]
- James, K.R.; Dahle, G.A.; Grabosky, J.; Kane, B.; Detter, A. Tree biomechanics literature review: Dynamics. Arboric. Urban For. 2014, 40, 1–15. [Google Scholar] [CrossRef]
- Spatz, H.; Bruchert, F.; Pfisterer, J. Multiple resonance damping or how do trees escape dangerously large oscillation? Am. J. Bot. 2007, 94, 1603–1611. [Google Scholar] [CrossRef]
- Stacey, G.R.; Belcher, R.E.; Wood, C.J.; Gardiner, B.A. Wind flows and forces in a model spruce forest. Bound-Layer Meteorol. 1994, 69, 311–334. [Google Scholar] [CrossRef]
- Rodriguez, M.; Langre, E.D.; Moulia, B. A scaling law for the effects of architecture and allometry on tree vibration modes suggests a biological tuning to modal compartmentalization. Am. J. Bot. 2008, 95, 1523–1537. [Google Scholar] [CrossRef] [PubMed]
- Ciftci, C.; Brena, S.F.; Kane, B.; Arwade, S.R. The effect of crown architecture on dynamic amplification factor of an open-grown sugar maple (Acer saccharum L.). Trees 2013, 27, 1175–1189. [Google Scholar] [CrossRef]
- Sellier, D.; Brunet, Y.; Fourcaud, T. A numerical model of tree aerodynamic response to a turbulent airflow. Forestry 2008, 81, 279–297. [Google Scholar] [CrossRef]
- Bentaher, H.; Haddar, M.; Fakhfakh, T.; Maalej, A. Finite elements modelling of olive tree mechanical harvesting using different shakers. Trees 2013, 27, 1537–1545. [Google Scholar] [CrossRef]
- Sellier, D.; Fourcaud, T.; Patrick, L. A finite element model for investigating effects of aerial architecture on tree oscillations. Tree Physiol. 2006, 26, 799–806. [Google Scholar] [CrossRef]
- Moore, J.R.; Maguire, D.A. Simulating the dynamic behavior of Douglas-fir trees under applied loads by the finite element method. Tree Physiol. 2008, 28, 75–83. [Google Scholar] [CrossRef]
- Sellier, D.; Fourcaud, T. Crown structure and wood properties: Influence on tree sway and response to high wind. Am. J. Bot. 2009, 96, 885–896. [Google Scholar] [CrossRef]
- Ciftci, C.; Arwade, S.R.; Kane, B.; Brena, S.F. Analysis of the probability of failure for open-grown trees during wind storms. Probabilistic Eng. Eng. Mech. 2014, 37, 41–50. [Google Scholar] [CrossRef]
- Peng, Y.; Wang, Z.; Ai, X. Wind-induced fragility assessment of urban trees with structural uncertainties. Wind Struct. 2018, 26, 45–56. [Google Scholar] [CrossRef]
- Manickathan, L.; Defraeye, T.; Allegrini, J.; Derome, D.; Carmeliet, J. Comparative study of flow field and drag coefficient of model and small natural trees in a wind tunnel. Urban For. Urban Green 2018, 35, 230–239. [Google Scholar] [CrossRef]
- Kane, B.; Smiley, E.T. Drag coefficients and crown area estimation of red maple. Can. J. For. Res. 2006, 36, 1951–1958. [Google Scholar] [CrossRef]
- Kane, B.; Pavlis, M.; Harris, J.R.; Seiler, J.R. Crown reconfiguration and trunk stress in deciduous trees. Can. J. For. Res. 2008, 38, 1275–1289. [Google Scholar] [CrossRef]
- Koizumi, A.; Motoyama, J.; Sawata, K.; Sasaki, Y.; Hirai, T. Evaluation of drag coefficients of poplar-tree crowns by a field test method. J. Wood Sci. 2010, 56, 189–193. [Google Scholar] [CrossRef]
- Koizumi, A.; Shimizu, M.; Sasaki, Y.; Hirai, T. In situ drag coefficient measurements for rooftop trees. J. Wood Sci. 2016, 62, 363–369. [Google Scholar] [CrossRef]
- Kitagawa, K.; Iwama, S.; Fukui, S.; Sunaoka, Y.; Yazawa, H.; Usami, A.; Naramoto, M.; Uchida, T.; Saito, S.; Mizunaga, H. Effects of components of the leaf area distribution on drag relations for Cryptomeria japonica and Chamaecyparis obtuse. Eur. J. Forest. Res. 2015, 134, 403–414. [Google Scholar] [CrossRef]
- Vogel, S. Drag and reconfiguration of broad leaves in high winds. J. Exp. Bot. 1989, 40, 941–948. [Google Scholar] [CrossRef]
- Reynders, E.; Degrauwe, D.; Roeck, G.D.; Magalhaes, F.; Caetano, E. Combined experimental-operational modal testing of footbridges. J. Eng. Mech. 2010, 136, 687–696. [Google Scholar] [CrossRef]
- Cowper, G.R. The shear coefficient in Timoshenko’ beam theory. J. Appl. Mech.-Trans. ASME 1966, 33, 335–340. [Google Scholar] [CrossRef]
- Jiang, Z.; Peng, Z. Wood Properties of the Global Important Tree Species; Science Press: Beijing, China, 2001; pp. 56–57. (In Chinese) [Google Scholar]
- Kretschmann, D.E. Mechanical Properties of Wood. Wood Handbook, Wood as an Engineering Material; Department of Agriculture, Forest Service, Forest Products Laboratory: Madison, WI, USA, 2010; Volume 5. [Google Scholar]
- Almitani, K.H.; Abdelrahman, A.A.; Eltaher, M.A. Influence of the perforation configuration on dynamic behaviors of multilayered beam structure. Structure 2020, 28, 1413–1426. [Google Scholar] [CrossRef]
- Kane, B.; James, K.R. Dynamic properties of open-grown deciduous trees. Can. J. For. Res. 2011, 41, 321–330. [Google Scholar] [CrossRef]
- Seginer, I.; Mulhearn, P.J.; Bradley, E.F.; Finnigan, J.J. Turbulent flow in a model plant canopy. Bound-Layer Meteor. 1976, 10, 423–453. [Google Scholar] [CrossRef]
- Aubrun, S.; Leitl, B. Development of an improved physical modelling of a forest area in a wind tunnel. Atmos. Environ. 2004, 38, 2797–2801. [Google Scholar] [CrossRef]
- Aubrun, S.; Koppmann, R.; Leitl, B.; Mollmann-Coers, M.; Schaub, A. Physical modelling of a complex forest area in a wind tunnel-comparison with field data. Agric. For. Meteorol. 2005, 129, 121–135. [Google Scholar] [CrossRef]
- Rodrigo, J.S.; Beeck, J.V.; Weidinger, G.D. Wind tunnel simulation of the wind conditions inside bidimensional forest clear-cuts. Application to wind turbine siting. J. Wind Eng. Ind. Aerod. 2007, 95, 609–634. [Google Scholar] [CrossRef]
- Conan, B.; Aubrun, S.; Coudour, B.; Chetehouna, K.; Garo, J.P. Contribution of coherent structures to momentum and concentration fluxes over a flat vegetation canopy modelled in a wind tunnel. Atmos. Environ. 2015, 107, 329–341. [Google Scholar] [CrossRef]
- Coudour, B.; Chetehouna, K.; Conan, B.; Aubrun, S.; Kaiss, A.; Garo, J.P. Experimental and numerical investigations of the geometry influence on gas accumulation using a V-shaped forest model. Atmos. Environ. 2016, 141, 67–79. [Google Scholar] [CrossRef]
- Meroney, R.N. Characteristics of wind and turbulence in and above model forests. J. Appl. Meteorol. 1968, 7, 780–788. [Google Scholar] [CrossRef][Green Version]
- Meroney, R.N. Wind tunnel studies of the air flow and gaseous plume diffusion in the leading edge and downstream regions of a model forest. Atmos. Environ. 1970, 4, 597–614. [Google Scholar] [CrossRef][Green Version]
- Novak, M.; Warland, J.; Orchansky, A.; Kelter, R.; Green, S. Wind tunnel and field measurements of turbulent flow in forests. Part I: Uniformly thinned stands. Bound-Layer Meteor. 2000, 95, 457–495. [Google Scholar] [CrossRef]
- Guan, D.; Zhang, Y.; Zhu, T. A wind-tunnel study of windbreak drag. Agric. For. Meteorol. 2003, 118, 75–84. [Google Scholar] [CrossRef]
- Gromke, C.; Ruck, B. Aerodynamic modelling of trees for small-scale wind tunnel studies. Forestry 2008, 81, 243–258. [Google Scholar] [CrossRef]
- Gromke, C.; Ruck, B. On wind forces in the forest-edge region during extreme-gust passages and their implications for damage patterns. Bound-Layer Meteor. 2018, 168, 269–288. [Google Scholar] [CrossRef]
- Tischmacher, M.; Ruck, B. Interaction of gusts and forest edges-an experimental wind-tunnel study. Forestry 2013, 86, 523–532. [Google Scholar] [CrossRef]
- Fang, F.M.; Liang, T.C.; Chung, C.Y.; Li, Y.C. On the simulation of flow around discrete coniferous trees. J. Chin. Inst. Eng. 2015, 38, 665–674. [Google Scholar] [CrossRef]
- Hong, Y.; Kim, D.; Im, S. Assessing the vegetation canopy influences on wind flow using wind tunnel experiments with artificial plants. J. Earth Syst. Sci. 2016, 125, 499–506. [Google Scholar] [CrossRef]
- Desmond, C.J.; Waston, S.J.; Aubrun, S.; Avila, S.; Hancock, P.; Sayer, A. A study on the inclusion of forest canopy morphology data in numerical simulations for the purpose of wind resource assessment. J. Wind Eng. Ind. Aerod. 2014, 126, 24–37. [Google Scholar] [CrossRef]
- Mayhead, G.J. Some drag coefficients for British forest trees derived from wind tunnel studies. Agric. Meteorol. 1973, 12, 123–130. [Google Scholar] [CrossRef]
- Boldes, U.; Colman, J. About some aspects of the wake flow of a small cypress tree, in a free stream with a power law mean velocity distribution. J. Wind Eng. Ind. Aerod. 1996, 61, 25–50. [Google Scholar] [CrossRef]
- Gillies, J.A.; Nickling, W.G.; King, J. Drag coefficient and plant form response to wind speed in three plant species: Burning Bush (Euonymus alatus), Colorado Blue Spruce (Picea Pungens glauca.), and Fountain Grass (Pennisetum setaceum). J. Geophys. Res-Atmos 2002, 107, 1–15. [Google Scholar] [CrossRef]
- Rudnicki, M.; Mitchell, S.J.; Novak, M.D. Wind tunnel measurements of crown streamlining and drag relationships for three conifer species. Can. J. For. Res. 2004, 34, 666–676. [Google Scholar] [CrossRef]
- Tanaka, N.; Takenaka, H.; Yagisawa, J.; Morinaga, T. Estimation of drag coefficient of a real tree considering the vertical stand structure of trunk, branches, and leaves. Intl. J. River Basin. Manag. 2011, 9, 221–230. [Google Scholar] [CrossRef]
- Lee, J.; Lee, S. PIV analysis on the shelter effect of a bank of real fir trees. J. Wind Eng. Ind. Aerod. 2012, 110, 40–49. [Google Scholar] [CrossRef]
- Aly, A.M.; Fossati, F.; Muggiasca, S.; Argentini, T.; Bitsuamlak, G.; Franchi, A.; Longarini, N.; Crespi, P.; Chowdhury, A.G. Wind loading on trees integrated with a building envelope. Wind Struct. 2013, 17, 69–85. [Google Scholar] [CrossRef]
- Cataldo, J.; Duranona, V.; Pienika, R.; Pais, P.; Gravina, A. Wind damages on citrus fruit study: Wind tunnel tests. J. Wind Eng. Ind. Aerod. 2013, 116, 1–6. [Google Scholar] [CrossRef]
- Wu, X.; Zou, X.; Zhang, C.; Wang, R.; Zhao, J.; Zhang, J. The effect of wind barriers on airflow in a wind tunnel. J. Arid. Environ. 2013, 97, 73–83. [Google Scholar] [CrossRef]
- Lee, J.; Lee, E.; Lee, S. Shelter effect of a fir tree with different porosities. J. Mech. Sci. Technol. 2014, 28, 565–572. [Google Scholar] [CrossRef]
- Ji, W.; Zhao, B. A wind tunnel study on the effect of trees on PM2.5 distribution around buildings. J. Hazard. Mater. 2018, 346, 36–41. [Google Scholar] [CrossRef]
- Finnigan, J.J.; Mulhearn, P.J. Modelling waving crops in a wind tunnel. Bound-Layer Meteor. 1978, 14, 253–277. [Google Scholar] [CrossRef]
- Gao, K.; Qin, J.; Hu, Y. Correlation of leaf area index and morphological features for main evergreen broadleaf tree species in Shanghai City. J. Cent. South Univ. For. Technol. 2010, 30, 34–40. (In Chinese) [Google Scholar] [CrossRef]
- Hosoi, F.; Omasa, K. Voxel-based 3-D modeling of individual trees for estimating leaf area density using high-resolution portable scanning lidar. IEEE Trans. Geosci. Remote Sensing 2006, 44, 3610–3618. [Google Scholar] [CrossRef]
- Oshio, H.; Asawa, T.; Hoyano, A.; Miyasaka, S. Estimation of the leaf area density distribution of individual trees using high-resolution and multi-return airborne LiDAR data. Remote Sens. Environ. 2015, 166, 116–125. [Google Scholar] [CrossRef]
- ESDU. Characteristics of Atmospheric Turbulence Near the Ground. Part II: Single point Data for strong Winds (Neutral Atmosphere) (ESDU 85020); Engineering Sciences Data Unit: London, UK, 2008; pp. 1–12. [Google Scholar]
- Cao, J.; Tamura, Y.; Yoshida, A. Wind tunnel study on aerodynamic characteristics of shrubby specimens of three tree species. Urban For. Urban Green 2012, 11, 465–476. [Google Scholar] [CrossRef]
- Vollsinger, S.; Mitchell, S.J.; Byrne, K.E.; Novak, M.D.; Rudnicki, M. Wind tunnel measurements of crown streamlining and drag relationships for several hardwood species. Can. J. For. Res. 2005, 35, 1238–1249. [Google Scholar] [CrossRef]
- Langre, E.D.; Gutierrez, A.; Cosse, J. On the scaling of drag reduction by reconfiguration in plants. C. R. Mec. 2012, 340, 35–40. [Google Scholar] [CrossRef]
- Sergio, C.G.; Gregorio, L.B.R.; Jesus, A.G.R.; Vega, J.A. Dynamic analysis of olive trees in intensive orchards under forced vibration. Trees 2008, 22, 795–802. [Google Scholar] [CrossRef]
- Schindler, D.; Vogt, R.; Fugmann, H.; Rodriguez, M.; Schonborn, J.; Mayer, H. Vibration behaviour of plantation-grown Scots pine trees in response to wind excitation. Agric. For. Meteorol. 2010, 150, 984–993. [Google Scholar] [CrossRef]














| Parameters | Prototype | FEM | Aeroelastic Model |
|---|---|---|---|
| Total height (m) | 6 | 6 | 1 |
| Trunk height (m) | 3 | 3 | 0.5 |
| DBH (m) | 0.15 | 0.15 | 0.025 |
| Crown height (m) | 3 | 3 | 0.5 |
| Crown diameter (m) | 3 | 3 | 0.5 |
| East–West Direction | North–South Direction | (cm) | (m) | (°) | (°) | Simplification for FEM |
|---|---|---|---|---|---|---|
![]() | ![]() | 5.4 | 2.88 | 90 | perpendicularity | ![]() |
![]() | ![]() | 4.2 | 1.80 | 90 | perpendicularity | ![]() |
![]() | ![]() | 3.6 | 2.16 | 45 | 0, 60, 120, 180, 240, 300 | ![]() |
![]() | ![]() | |||||
![]() | ![]() | 1.8 | 0.72 | 0 | 0, 90 | ![]() |
| Parameters | Prototype | Aeroelastic Model (Full Scale) |
|---|---|---|
| Total leaf mass | 15.41 kg | 0–23.09 kg |
| Crown frequency | 1.49–1.83 Hz | 1.14–1.98 Hz |
| Trunk frequency | 5.18 Hz | 4.81–6.49 Hz |
| Crown damping | 0.06–0.08 [34] | 0.085 |
| Trunk damping | 0.054 | 0.033 |
Publisher’s Note: MDPI stays neutral with regard to jurisdictional claims in published maps and institutional affiliations. |
© 2022 by the authors. Licensee MDPI, Basel, Switzerland. This article is an open access article distributed under the terms and conditions of the Creative Commons Attribution (CC BY) license (https://creativecommons.org/licenses/by/4.0/).
Share and Cite
Li, Z.; Hao, Y.; Kopp, G.A.; Wu, C.-H. Identification of Multimodal Dynamic Characteristics of a Decurrent Tree with Application to a Model-Scale Wind Tunnel Study. Appl. Sci. 2022, 12, 7432. https://doi.org/10.3390/app12157432
Li Z, Hao Y, Kopp GA, Wu C-H. Identification of Multimodal Dynamic Characteristics of a Decurrent Tree with Application to a Model-Scale Wind Tunnel Study. Applied Sciences. 2022; 12(15):7432. https://doi.org/10.3390/app12157432
Chicago/Turabian StyleLi, Zhengnong, Yanfeng Hao, Gregory A. Kopp, and Chieh-Hsun Wu. 2022. "Identification of Multimodal Dynamic Characteristics of a Decurrent Tree with Application to a Model-Scale Wind Tunnel Study" Applied Sciences 12, no. 15: 7432. https://doi.org/10.3390/app12157432
APA StyleLi, Z., Hao, Y., Kopp, G. A., & Wu, C.-H. (2022). Identification of Multimodal Dynamic Characteristics of a Decurrent Tree with Application to a Model-Scale Wind Tunnel Study. Applied Sciences, 12(15), 7432. https://doi.org/10.3390/app12157432















