Next Article in Journal
Interactive Visualization of Geographic Vector Big Data Based on Viewport Generalization Model
Next Article in Special Issue
Determining the Dynamic Characteristics of a Multi-Story RC Building Located in Chile: A Comparison of the Results between the Nonparametric Spectral Analysis Method and the Parametric Stochastic Subspace Identification Method
Previous Article in Journal
An Algorithm for Generating Virtual Sources in Dynamic Virtual Auditory Display Based on Tensor Decomposition of Head-Related Impulse Responses
Previous Article in Special Issue
Numerical Analysis Exterior RC Beam-Column Joints with CFRP Bars as Beam’s Tensional Reinforcement under Cyclic Reversal Deformations
 
 
Font Type:
Arial Georgia Verdana
Font Size:
Aa Aa Aa
Line Spacing:
Column Width:
Background:
Article

Reliability Analysis of Response-Controlled Buildings Using Fragility Curves

by
Ahmad Khalid Karimi
,
Edisson Alberto Moscoso Alcantara
and
Taiki Saito
*
Department of Architecture and Civil Engineering, Toyohashi University of Technology, Toyohashi 441-8580, Japan
*
Author to whom correspondence should be addressed.
Appl. Sci. 2022, 12(15), 7717; https://doi.org/10.3390/app12157717
Submission received: 20 June 2022 / Revised: 26 July 2022 / Accepted: 28 July 2022 / Published: 31 July 2022
(This article belongs to the Special Issue Seismic Assessment and Design of Structures)

Abstract

:
The number of buildings with passive control systems is steadily growing worldwide. For this reason, this study focuses on the reliability analysis of these systems employing fragility curves. The structural performance evaluation is obtained for a 10-story steel building with two different sections (trimmed and conventional). The trimmed section of the building was evaluated with hysteresis and oil dampers, while the conventional section of the building was evaluated without damper. The fragility curves were obtained from the incremental dynamic analysis using 20 ground motion records. Spectral acceleration response at the fundamental period of the building was considered and used as the intensity measure for the ground motion records. The maximum inter-story drift ratio of the building was employed as the damage measure. In addition, the seismic energy absorption rate was compared between hysteresis and oil dampers. As a result, hysteresis dampers were found to be more effective for high ground motion intensities. On the other hand, the oil damper dissipates energy immediately, even for low ground motion intensities. Furthermore, the combination of different types of dampers improved the seismic performance of the trimmed section of the building to almost the same level as the conventional section of the building. Eventually, a combination of hysteresis and oil dampers in a building is suggested to improve structural performance.

1. Introduction

Earthquakes pose serious threats to life and infrastructure. The experience and knowledge gained through these events have improved our understanding of how to manage, mitigate and work towards the prevention of similar catastrophes. To reduce the impact of earthquakes on people and property, response-controlled systems are an advanced practice in managing the consequences of such disasters. In Japan, seismic response-controlled systems have been applied to almost all of the high-rise buildings constructed in the last several years in order to improve their structural safety and decrease damage sustained during seismic excitations [1]. Furthermore, these systems have been applied to rehabilitate the seismic resistance of existing structures. Different response-controlled techniques are presented, such as seismic isolation, dampers, and so on [2]. Moreover, researchers have combined different types of dampers to improve the seismic performance of structures. It is necessary to justify the adoption of a response-controlled system to building officials, owners, and users in terms of seismic performance during higher-intensity earthquakes.
There have been several studies on the performance of dampers and structures equipped with dampers. Hysteresis dampers, oil dampers, viscous dampers, and viscoelastic dampers are four major types of energy dissipation device [3]. The Japan Society of Seismic Isolation (JSSI) guidebook [4] for the design, fabrication, testing, quality control, and analytical modeling of various passive control systems was issued to cover the main concerns at all stages of design, manufacture, and construction of the above four major passive dampers. To improve the damping, stiffness, and strength characteresistics of the buildings, passive energy dissipation systems make use of a variety of materials and technologies. The dissipation may be achieved either by transferring energy into vibrating modes or by the conversion of kinetic energy into heat. The first mechanism consists of devices involving deformation of viscoelastic solids or fluids and those employing fluid orificing, while the latter group includes devices that operate on principles such as yielding of metals and frictional sliding. A third classification consists of re-centering devices that use either a preload generated by fluid pressurization or internal springs, or a phase transformation to produce a modified force–displacement response that includes a natural re-centering component [5].
Kam et al. [6] proposed a combination of various alternative energy dissipation elements (hysteretic, viscous, or visco-elastoplastic) in series and/or in parallel to self-centering elements and called it an advanced flag-shaped (AFS) system. They compared the seismic performance of AFS systems with that of the conventional system using a set of four single-degree of freedom systems under a suite of near-fault and far-field ground motions by performing nonlinear dynamic analyses. Chukka et al. [7] compared the seismic performance of an X-shaped metallic damper (XMD) and a fluid viscous damper (FVD) by analyzing five-, eight-, and ten-story reinforced concrete buildings without dampers, with XMD, and with FVD under eight different earthquake ground motions. They also discussed how the locations of the dampers affected the seismic response of the structure.
To examine the performance of a structure with passive dampers, seismic fragility analysis is commonly used, where the probability of reaching or exceeding a specified limit state of damage measure (DM) is calculated as a function of a specified intensity measure (IM) in a structure. For a specific limit state of damage, several IMs can be achieved under multiple earthquake excitations, and collectively they are referred to as the multi-recorded IM cluster. The IM cluster is a random function, and the average and standard deviation can be obtained by calculating the mathematical characteristic values of multiple IM values. According to [8], it is assumed that the conditional probability of DM to IM satisfies the lognormal distribution. This assumption is based on large amounts of data statistics experience with existing research results on engineering structures, and the advantage of this assumption is that the logarithm of DM, (ln(DM)), and the logarithm of IM, (ln(IM)), are linear in the logarithmic coordinate. Del Gaudio et al. [9] obtained the seismic fragility curves using lognormal distribution function to analyze 250 reinforced concrete structures in L’Aquila that were subjected to the 6 April 2009 L’Aquila earthquake and came up with a damage scenario that matched the real one.
Fragility curves are obtained using analytical methods such as Incremental Dynamic Analysis (IDA). The IDA is widely used to capture the overall seismic performance of structures. Alternative procedures for IDA include procedures such as Multiple-Stripe Analysis (MSA, [10]) and Cloud Analysis (CA, [11]), where MSA involves performing a series of nonlinear dynamic analyses at specific intensity levels, whereas CA aims at deriving IDA-based fragility curves by choosing ground motion intensities strategically in order to minimize the amount of scaling. CA requires linear regression predictions based on the results of the structural analysis of the un-scaled records to identify the range of intensity values near demand to capacity ratios equal to unity prior to performing actual CA. These nonlinear dynamic analyses are used to characterize the relationship between DMs and IMs and to perform fragility assessments based on recorded ground motions. Vamvatsikos et al. [12] simplified and standardized IDA’s general procedure, creating a strong foundation for its future implementations. IDA is a way of subjecting analytical models of structures to a suite of Ground Motion Records (GMRs), and each GMR is scaled to several intensity levels designed to force the structure from the elastic range to the nonlinear range. IDA can analyze a structure’s seismic performance, from elasticity through plasticity to collapse. IDA includes the selection of appropriate IM and DM, selection of a suitable and adequate number of ground motion intensities, and appropriate scaling of GMRs for higher intensities to cover the entire range of structural responses by a series of scale factors [12,13]. Then, it is possible to obtain the IDA curves that describe the relationship between the IM of the GMRs and the DM of the structure.
The selection of appropriate IM and DM is the first important step in performing IDA. A sufficient and efficient IM should be selected based on depicting a good correlation with the DM of choice, possessing low dispersion, and predicting a relatively better structural response using a relatively low number of GMRs [8]. The peaks of the ground acceleration, velocity, and displacement signals (PGA, PGV, and PGD), as well as the spectral acceleration value Sa(T1) corresponding to the fundamental period of a structure, are now used as typical ground motion IMs. Considering that a structure’s displacement response, Sa(T1), is the most efficient IM, since it allows records to be selected regardless of magnitude, distance, or duration, as well as predicting the response with less uncertainty [14]. It is known that the spectral acceleration, Sa(T1), has a good correlation with the seismic damage measures in first-mode-dominated structures [15]. However, for taller or asymmetric structures where higher modes become important, improved IM alternatives should be sought [14]. On the other hand, the maximum inter-story drift ratio, θmax (hereafter referred to as story drift ratio) appears to be an effective damage measure index [14]. Mazza et al. [16] studied the predictive ability of nine spectral IMs for base-isolated structures subjected to near-fault earthquakes using three engineering demand parameters. Asgarian et al. [17] used IDA to study the Tehran communications tower with various types of DMs and IMs, concluding that Sa(T1) is more efficient than PGA. In addition, during IDA-based seismic fragility analysis, the story drift ratio is also used as the quantitative index to separate the performance levels. The performance-based guidelines established by the Japan Structural Consultant Association (JSCA) [18] can be used to identify structural damage levels based on the story drift ratio.
The second important step in performing IDA is the selection of appropriate GMRs possessing a minimum of scatter in their structural response. The selection of a proper suite of GMRs to reliably predict the limit-state capacity of buildings is still challenging due to the lack of a solid framework. Several methodologies for selecting suitable GMRs have been suggested. Most of these studies were looking for GMRs that were well-matched to the target spectrum, including in terms of design, uniform hazard, and conditional mean spectrums. Due to the uncertainty of earthquake excitation, a sufficient number of ground motions should be selected for IDA to accurately assess the seismic performance of the structure, and the selected earthquake records should cover the strongest earthquake action that the structure may suffer in the future. A set of ten to twenty records is usually enough to provide sufficient accuracy in the estimation of seismic demands, assuming a relatively efficient IM, like Sa(T1), for mid-rise buildings [19]. Each ground motion record needs to be appropriately scaled for higher intensities to cover the entire range of structural responses by a series of scale factors [13].
Since there is no efficient method to compare the structural performance of damper-equipped building, this paper employs a novel method and performs original work on the reliability analysis of response-controlled buildings using fragility curves. To evaluate and compare the seismic performance and reliability of damper-equipped buildings, this study analyzes the seismic performance of two major damper types (hysteresis and oil dampers) in a 10-story moment-resisting steel structure, and their fragility curves are then compared. Additionally, the efficiency of integrated systems was also investigated by combining the dampers in the building. The building models were analyzed using the frame analysis software STERA 3D [20], developed by one of the authors, and their dynamic responses were obtained. Sa(T1) was chosen as the IM since the building models used in this work are the first-mode-dominated structures. On the other hand, the story drift ratio was used as the DM. The story drift ratio is employed as a quantitative measure to distinguish structural performance levels during IDA-based seismic fragility assessments. To properly portray an earthquake scenario, a collection of 20 distinct Japanese GMRs that a building might face during its lifetime was selected. The IDA curves for each model were generated by analyzing the models for all 20 GMRs using the STERA 3D software. From the IDA curves, fragility curves for the story drift of the JSCA damage levels were obtained. Furthermore, energy responses were compared between the buildings with different types of dampers.

2. IDA Pre-Requirements (Target Building, Dampers, and Input Earthquakes)

2.1. Target Buildings Description and Configurations

A 10-story moment-resisting steel building was selected from the JSSI theme structures [21] to examine the performance of dampers. The building was designed with two different steel sections, namely the Trimmed Section (TS) and the Conventional Section (CS). The buildings have a rigid frame structure in both directions. A description of building models with different damper arrangements is given in Table 1. The columns of the buildings have a square box-shaped cross-section, while the beams are H-shaped. The dimensions of the structural columns listed in Table 2 represent the height, width, and thickness (H × B × t) of the column sections, while the dimensions listed in Table 3 represent the beam height, flange width, web thickness, and flange thickness (H × B × t1 × t2) of the structural beams, respectively. The TS building was deliberately designed to be weaker than the CS building to see the effect of the dampers. The steel was SN490B, which has yield and tensile strengths of 325 and 490 MPa, respectively [21]. The building models are first-mode-dominated structures, and the vibration effects of the other modes are minor, since more than 80% of mass participation is from the first mode of the buildings, as shown in Table 1. The STERA 3D software was used to model and analyze the target buildings. The beam element was modeled as a nonlinear bending spring, while the column element was modeled as a nonlinear vertical spring [22]. The analysis was performed in the longitudinal direction of the buildings only; hence, hysteresis and oil dampers were arranged in the longitudinal direction of the TS building, as shown in Figure 1. The top floor has dampers only in the center. The plan, elevation, and damper arrangement are shown in Figure 1a, while Figure 1b represents the 3D model of the building. The dimensions of structural columns and beams are summarized in Table 2 and Table 3, respectively.

2.2. Passive Dampers

The current study uses two types of dampers: hysteresis and oil dampers. A hysteresis damper is a deformation-dependent damper, such as the buckling restrained brace [22]. It consists of steel as a damping material to absorb vibration energy by means of its plastic deformation [23]. The hysteresis damper is modeled as a shear spring, as shown in Figure 2a, with a bi-linear force deformation relationship, as shown in Figure 2b [22]. An oil damper is a velocity-dependent damper that uses the orifice flow resistance mechanism. It consists of a low-viscosity oil in a cylindrical tube configuration. The force–velocity relationship of the oil damper normally appears as an ellipse hysteresis shape [24]. The bi-linear oil damper is modeled as a shear spring, including the Maxwell model with an elastic spring with stiffness, KD, and a dashpot with bilinear type damping coefficient, C, connected in series [25]. The element model of the bi-linear oil damper is shown in Figure 3a. The force–velocity relationship of the dashpot is shown in Figure 3b. The technical parameters of both the hysteresis and oil dampers were calculated by Prof. Kasai [4] and are given in Table 4.

2.3. Ground Motion Record (GMR) Selection

The selection of a proper and adequate suite of GMRs is highly important when conducting the IDA of the building. Japan is located along the subduction zone, with numerous active faults. The target buildings are designed in accordance with Japanese standards, so the collection of 20 distinct Japanese GMRs presented in Table 5 were selected, with a moment magnitude scale ranging from 6 to 9 Mw, and an epicenteral depth ranging from 6 to 66 km, consisting of both near-field and far-field earthquakes. GMRs were collected from different sites to have a wide range of spectral intensity. The acceleration response spectra for all of the GMRs are given in Figure 4. They were used as the input ground acceleration in the longitudinal direction of the building. To obtain the IDA curves of the buildings, analyses were performed by gradually increasing the intensities of GMRs until the required damage levels were obtained.

3. Fragility Curve Based on Incremental Dynamic Analysis

3.1. Intensity Measure (IM) and Damage Measure (DM) Selection

Since the building models employed in this study are first-mode-dominated structures, Sa(T1) is a better choice as the IM. On the other hand, the story drift ratio θmax was used as the DM index. The θmax is employed as a quantitative measure to distinguish performance levels during IDA-based seismic fragility assessments. The performance-based guidelines established by JSCA [18] were used as a reference to select the structural damage from three different levels as shown in Table 6. The selection of damage levels such as 1/200 shows minor damage, while 1/100 and 1/50 represent significant damage and collapse respectively.

3.2. Scale Factors

The models were analyzed by gradually increasing the spectral acceleration Sa(T1) of the GMRs until the required story drift ratios were obtained. To achieve 1/50 (2%) θmax, the Sa(T1) increased from 0.01 to 1.5 (g) with an incremental step of 0.05 (g), where g is the gravity acceleration (9.8 m/s2).

3.3. Applying IDA

IDA was applied to all six models using STERA 3D software [20]. The analysis was performed at each incremental step of ground motion intensity. A total number of 3600 analyses were performed for all six models using 20 GMRs commencing from 0.01 g with an incremental step of 0.05 g and stopping at 1.5 g. IDA graphs were obtained for each model, representing the θmax values as a function of increasing intensities of Sa (T1). The IDA curves for the TS buildings are shown in Figure 5a–c, while the IDA curves for the CS building (10F_CS_FM) are shown in Figure 5d.

3.4. Fragility Curves

Analyzing the models with 20 GMRs provides a bunch of discrete points on an IM_DM plot. The IM values corresponding to 0.5, 1.0, and 2.0% story drift were obtained using interpolation.
By using the estimated mean and standard deviation values of IM, the fragility curve was obtained as the lognormal cumulative distribution function expressed by Equation (1), as follows:
P D M D M c o = l n X μ l n X σ l n X
where Φ is the standard cumulative distribution function, lnX is the natural logarithm of the variable X(Sa(T1)), and μlnX and σlnX are the mean and the standard deviation of the natural logarithm of X, respectively.
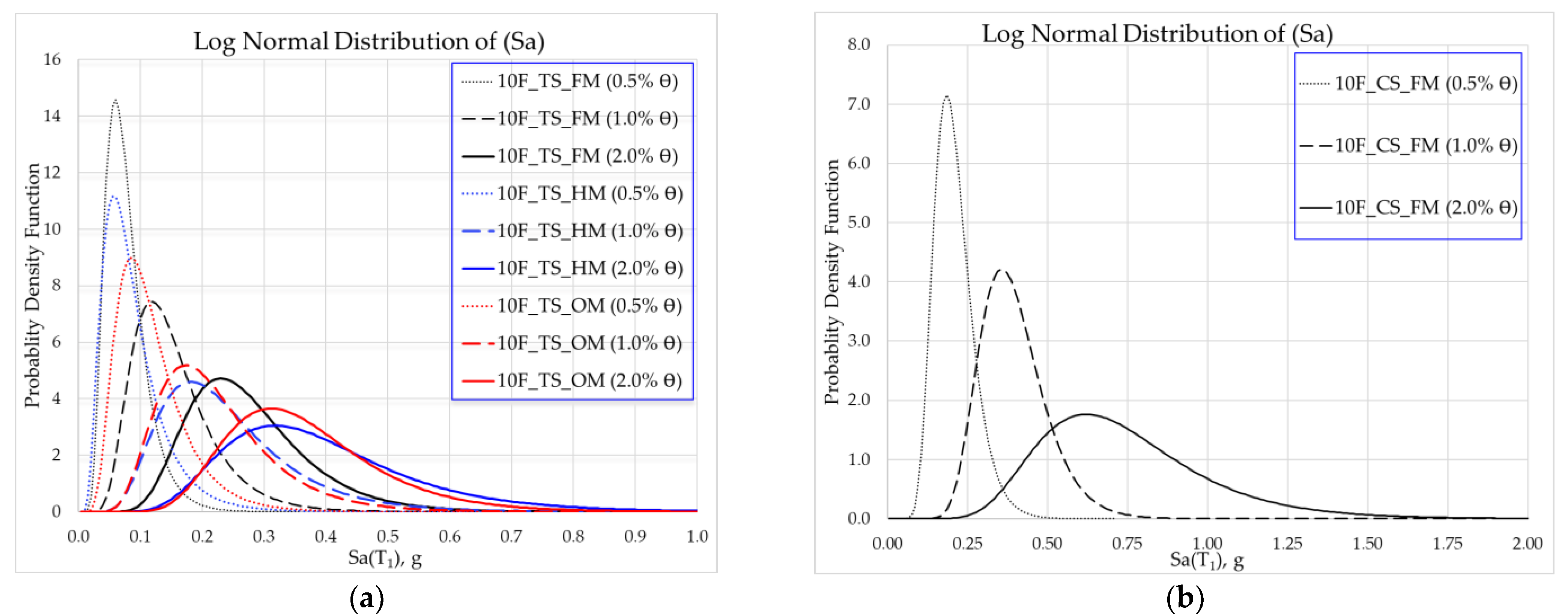
The lognormal distribution of IM (Sa(T1)) corresponding to 0.5, 1.0, and 2.0% story drift are presented in Figure 6a for the TS building and in Figure 6b for the CS building. The mean (μ) and standard deviation (σ) of Sa(T1) for the required levels of damage are given in Table 7.
The fragility curves for the TS building are presented in Figure 7. The lower the fragility curve, the less the probability of damage. For instance, considering 0.5% story drift, the probability of damage is higher for the hysteresis damper model (10F_TS_HM (0.5%θ)) than for the oil damper model (10F_TS_OM (0.5%θ)) for any value of Sa(T1). On the other hand, for 2% story drift, the probability of damage seems to be higher for the model equipped with oil dampers (10F_TS_OM (2.0%θ)) compared to that equipped with hysteresis dampers (10F_TS_HM (2.0%θ)).

3.5. Response Energy of the Dampers

Hysteretic dampers dissipate energy through the inelastic deformation of metallic substances. On the other hand, oil dampers use the orifice flow resistance mechanism as a response to energy. For nonlinear systems, the equation of motion can be expressed as [22]:
M u ¨ + c u ˙ + Q u , u ˙ = M u x ¨ 0 Y ¨ 0 Z ¨ 0 = p
where u is the displacement vector, [M] and [C] are the mass and damping matrices, u   and   p are the displacement and external force vectors, respectively, and Q u , u ˙ is the nonlinear restoring force vector.
The equation of energy can be derived by multiplying the velocity vector, u ˙ T , and integrating by the time range [0–t]:
W K + W D   + W P   = W I      Equation   of   energy
W K = u ˙ T M u ˙ 2   Kinematic   energy
W D   = 0 t u ˙ T C u ˙ d t     Damping   energy
W P   = 0 t u ˙ T   Q u , u ˙ d t     Potential   energy
W I    = 0 t u ˙ T P d t     Input   energy
The STERA 3D software also [20] calculates the energy absorption rate of the structural members and the dampers as shown in Equation (3). The average rate of energy absorption by hysteresis and oil dampers with increasing values of ground motion intensity was calculated by the software as shown in Figure 8. It can be seen that the hysteresis damper’s energy absorption rate gradually increases with increasing ground motion intensity and decreases after reaching its maximum absorption capacity. On the other hand, oil dampers store energy that is significant for smaller intensities of ground motion, but their capacity will decreases at higher intensities.

4. Combination of Different Types of Dampers

4.1. Combination of Hysteresis and Oil Dampers

To further improve the seismic performance of the damper-equipped models and to use the results of the fragility curves and the response energy of the hysteresis and oil dampers, two different combinations of hysteresis and oil dampers were considered. The first combination was dubbed the Hysteresis–Oil–Hysteresis Model (HOHM), because the hysteresis dampers in the center portion of the hysteresis model were replaced with the same number of oil dampers, while the hysteresis dampers in the two outer sections of the model remained the same as shown in Figure 9a. In contrast, the latter combination had the reverse arrangement, namely, the Oil–Hysteresis–Oil Model (OHOM), as shown in Figure 9b.

4.2. Performance Evaluation of Combined Dampers Models

The same analysis was performed for the combined dampers models as for the individual damper-equipped models, and their fragility curves were compared with each individual damper-equipped model, as shown in Figure 10. Figure 10a–c show the probability of exceeding 0.5, 1.0, and 2.0% θmax, respectively, for all TS buildings. The 10F_TS_HOHM has the highest seismic performance for all performance levels, as seen in Figure 10a–c.
In addition, the TS building equipped with a Hysteresis–Oil–Hysteresis damper (10F_TS_HOHM) configuration has almost the same performance as the CS building (10F_CS_FM), as shown in Figure 10d. Therefore, this configuration of dampers in a TS building can significantly improve the seismic performance equivalent to the CS building.
Moreover, the average rate of energy absorption with increasing values of ground motion intensity was obtained for all of the models that included the combination models, and these values were then compared, as shown in Figure 11. It appears that the combined models use a mixture of the properties of hysteresis and oil dampers, and absorb energy more consistently for all levels of ground motion intensity.

5. Conclusions

Since there was no efficient method for comparing the performance of damper-equipped buildings, this paper employed a novel method and performed original work on the reliability analysis of response-controlled buildings using fragility curves. The building models were 10-story steel buildings consisting of two different sections (trimmed and conventional), and hysteresis and oil dampers were installed in the trimmed section of the building. The building models were created and analyzed with the use of a single type of damper and with a combination of different types of dampers. Moreover, the combination of hysteresis and oil dampers proposed in this paper significantly improved the seismic performce of the buildings. The following points are the main conclusions of this study:
  • The IDA is an effective method that can accurately predict the fragility assessment and reliability of response-controlled buildings.
  • Sa(T1) is an efficient IM, since it has a good correlation with the seismic damage measures of first-mode-dominated structures. On the other hand, the story drift ratio θmax appeared to be an effective DM index. The lognormal cumulative distribution function provides a good understanding of damage probability with respect to the intensity of an earthquake at the certain damage level.
  • Hysteresis and oil dampers effectively improved the seismic performance of the TS building.
  • On the basis of the fragility curves, hysteresis dampers are more effective for larger ground motion accelerations than oil dampers.
  • Oil dampers dissipated energy before hysteresis dampers for small deformations.
  • Combined hysteresis and oil dampers in the TS buildings exhibited better performance than the individual hysteresis and oil damper buildings.
  • The TS building equipped with a Hysteresis–Oil–Hysteresis damper configuration has almost the same performance as the CS building.

Author Contributions

Data curation, E.A.M.A.; Investigation, A.K.K. and T.S.; Methodology, A.K.K., E.A.M.A. and T.S.; Writing—original draft, A.K.K.; Writing—review & editing, T.S. All authors have read and agreed to the published version of the manuscript.

Funding

This research received no external funding.

Informed Consent Statement

Not applicable.

Data Availability Statement

The data presented in this study are available on request from the corresponding author.

Conflicts of Interest

The authors declare no conflict of interests.

References

  1. Ikeda, Y.; Yamamoto, M.; Furuhashi, T.; Kurino, H. Recent research and development of structural control in Japan. Jpn. Archit. Rev. 2019, 2, 219–225. [Google Scholar] [CrossRef]
  2. Marko, J.; Thambiratnam, D.; Perera, N. Influence of damping systems on building structures subject to seismic effects. Eng. Struct. 2004, 26, 1939–1956. [Google Scholar] [CrossRef]
  3. Kasai, K.; Kibayashi, M. JSSI manual for building passive control technology part 1. In Proceedings of the 13th World Conference on Earthquake Engineering Vancouver, Vancouver, BC, Canada, 1–6 August 2004; p. 2989. [Google Scholar]
  4. JSSI. Manual for Design and Construction of Passively-Controlled Buildings, 3rd ed.; Japan Society of Seismic Isolation: Tokyo, Japan, 2013. (In Japanese) [Google Scholar]
  5. Kubilay, K. Seismic Base Isolation And Energy Absorbing Devices. Eur. Sci. J. ESJ 2013, 42–48. [Google Scholar] [CrossRef]
  6. Kam, W.Y.; Pampanin, S.; Palermo, A.; Carr, A.J. Self-centering structural systems with combination of hysteretic and viscous energy dissipations. Earthq. Eng. Struct. Dyn. 2010, 39, 1083–1108. [Google Scholar] [CrossRef]
  7. Chukka, N.D.K.R.; Krishnamurthy, M. Comparison of X-shaped metallic dampers with fluid viscous dampers and influence of their placement on seismic response of the building. Asian J. Civ. Eng. 2019, 20, 869–882. [Google Scholar] [CrossRef]
  8. Nicolas Luco, C.A.C. Structure-Specific Scalar Intensity Measures for Near-Source and Ordinary Earthquake Ground Motions. Earthq. Spectra 2007, 23, 357–392. [Google Scholar] [CrossRef] [Green Version]
  9. Del Gaudio, C.; Ricci, P.; Verderame, G.M.; Manfredi, G. Urban-scale seismic fragility assessment of RC buildings subjected to L’Aquila earthquake. Soil Dyn. Earthq. Eng. 2017, 96, 49–63. [Google Scholar] [CrossRef]
  10. Jalayer, F.; Cornell, C.A. Alternative non-linear demand estimation methods for probability-based seismic assessments. Earthq. Eng. Struct. Dyn. 2009, 38, 951–972. [Google Scholar] [CrossRef]
  11. Miano, A.; Jalayer, F.; Ebrahimian, H.; Prota, A. Cloud to IDA: Efficient fragility assessment with limited scaling. Earthq. Eng. Struct. Dyn. 2018, 47, 1124–1147. [Google Scholar] [CrossRef]
  12. Vamvatsikos, D.A.C. Incremental dynamic analysis. Earthq. Eng. Struct. Dyn. 2002, 31, 491–514. [Google Scholar] [CrossRef]
  13. Vamvatsikos, D.; Cornell, C.A. The incremental dynamic analysis and its application to performance-based earthquake engineering. In Proceedings of the 12th European Conference on Earthquake Engineering, London, UK, 9–13 September 2002; p. 479. [Google Scholar]
  14. Iunio Iervolino, G.M. A review of ground motion record selection strategies for dynamic structural analysis. In Modern Testing Techniques for Structural Systems; Springer: New York, NY, USA, 2008; Volume 502, pp. 131–163. [Google Scholar]
  15. Cheng, Y.; Dong, Y.-R.; Bai, G.-L.; Wang, Y.-Y. IDA-based seismic fragility of high-rise frame-core tube structure subjected to multi-dimensional long-period ground motions. J. Build. Eng. 2021, 43, 102917. [Google Scholar] [CrossRef]
  16. Mazza, F.; Labernarda, R. Structural and non-structural intensity measures for the assessment of base-isolated structures subjected to pulse-like near-fault earthquakes. Soil Dyn. Earthq. Eng. 2017, 96, 115–127. [Google Scholar] [CrossRef]
  17. Asgarian, B.; Yahyai, M.; Mirtaheri, M.; Samani, H.R.; Alanjari, P. Incremental dynamic analysis of high-rise towers. Struct. Des. Tall Spec. Build. 2010, 19, 922–934. [Google Scholar] [CrossRef]
  18. JSCA. The guide to safe buildings. In Performance-Based Seismic Design; JASO: Tokyo, Japan; Available online: https://www.jaso.jp/ (accessed on 12 December 2021). (In Japanese)
  19. Shome, N.C.C.A. Probabilistic Seismic Demand Analysis of Nonlinear Structures, RMS-35; Reliability of Marine Structures: Stanford, CA, USA, 1999. [Google Scholar]
  20. Saito, T. Structural Earthquake Response Analysis STERA_3D. Available online: http://www.rc.ace.tut.ac.jp/saito/Software/STERA_3D/STERA3D_user_manual.pdf (accessed on 10 October 2021).
  21. Sekiya, E.; Mori, H.; Ohbuchi, T.; Yoshie, K.; Hara, H.; Arima, F.; Takeuchi, Y.; Saito, Y.; Ishii, M.; Kasai, K. Details of 4-, 10-, & 20-Story Theme Structure Used for Passive Control Design Examples. In The JSSI Response Control Committee Symposium on Passive Vibration Control; JSSI: Tokyo, Japan, 2004. (In Japanese) [Google Scholar]
  22. Saito, T. Structural Earthquake Response Analysis STERA_3D. Technical Manual. Available online: http://www.rc.ace.tut.ac.jp/saito/Software/STERA_3D/STERA3D_technical_manual.pdf (accessed on 10 October 2021).
  23. Yasuhiro, N.M.H.; Takanori, S.; Tsugio, I. JSSI manual for building passive control technology part 6. In Proceedings of the 13th World Conference on Earthquake Engineering Vancouver, Vancouver, BC, Canada, 1–6 August 2004; p. 3451. [Google Scholar]
  24. Yasuo, T.Y.G.; Fumiya, I.; Yuji, K. JSSI manual for building passive control technology part 3. In Proceedings of the 13th World Conference on Earthquake Engineering, Vancouver, BC, Canada, 1–6 August 2004; p. 2468. [Google Scholar]
  25. Naqi, A.; Saito, T. Seismic Performance Evaluation of Steel Buildings with Oil Dampers Using Capacity Spectrum Method. Appl. Sci. 2021, 11, 2687. [Google Scholar] [CrossRef]
Figure 1. Target building (dimensions in mm): (a) plan, elevation, and damper configuration, (b) 3D model.
Figure 1. Target building (dimensions in mm): (a) plan, elevation, and damper configuration, (b) 3D model.
Applsci 12 07717 g001
Figure 2. Hysteresis damper: (a) element model, (b) bi-linear force–displacement relationship.
Figure 2. Hysteresis damper: (a) element model, (b) bi-linear force–displacement relationship.
Applsci 12 07717 g002
Figure 3. Bi-linear type oil damper: (a) element model, (b) force–velocity relationship of oil damper.
Figure 3. Bi-linear type oil damper: (a) element model, (b) force–velocity relationship of oil damper.
Applsci 12 07717 g003
Figure 4. GMR acceleration response spectra (5% damping).
Figure 4. GMR acceleration response spectra (5% damping).
Applsci 12 07717 g004
Figure 5. IDA curves for models: (a) 10F_TS_FM, (b) 10F_TS_HM, (c) 10F_TS_OM, (d) 10F_CS_FM.
Figure 5. IDA curves for models: (a) 10F_TS_FM, (b) 10F_TS_HM, (c) 10F_TS_OM, (d) 10F_CS_FM.
Applsci 12 07717 g005
Figure 6. Lognormal distribution of Sa(T1): (a) trimmed section (b) conventional section.
Figure 6. Lognormal distribution of Sa(T1): (a) trimmed section (b) conventional section.
Applsci 12 07717 g006
Figure 7. Fragility curves of trimmed section models.
Figure 7. Fragility curves of trimmed section models.
Applsci 12 07717 g007
Figure 8. Energy response of hysteresis and oil dampers for TS models.
Figure 8. Energy response of hysteresis and oil dampers for TS models.
Applsci 12 07717 g008
Figure 9. New combinations (dimensions in mm): (a) Hysteresis–Oil–Hysteresis Model; (b) Oil–Hysteresis–Oil Model.
Figure 9. New combinations (dimensions in mm): (a) Hysteresis–Oil–Hysteresis Model; (b) Oil–Hysteresis–Oil Model.
Applsci 12 07717 g009
Figure 10. Fragility curves of all models: (a) TS (0.5%) θ, (b) TS (1.0%) θ, (c) TS (2.0%) θ, (d) 10F_CS_FM vs. 10F_TS_HOHM.
Figure 10. Fragility curves of all models: (a) TS (0.5%) θ, (b) TS (1.0%) θ, (c) TS (2.0%) θ, (d) 10F_CS_FM vs. 10F_TS_HOHM.
Applsci 12 07717 g010
Figure 11. Energy response of all TS models.
Figure 11. Energy response of all TS models.
Applsci 12 07717 g011
Table 1. Description of building models with different damper arrangements.
Table 1. Description of building models with different damper arrangements.
Concise NameModel DescriptionFundamental Period (T1)Mass Participation of First Mode
10F_TS_FM10F TS Frame Model2.018 s82.8%
10F_TS_HM10F TS Hysteresis Model1.356 s80%
10F_TS_OM10F TS Oil Model2.018 s82.8%
10F_TS_HOHM10F TS Hysteresis-Oil-Hysteresis Model1.501 s80.5%
10F_TS_OHOM10F TS Oil-Hysteresis-Oil Model1.685 s81.7%
10F_CS_FM10F CS Frame Model1.323 s84.2%
Table 2. Structural column dimensions (mm).
Table 2. Structural column dimensions (mm).
StoryInterior Column Exterior Column Corner Column
TS
(H × B × t)
CS
(H × B × t)
TS
(H × B × t)
CS
(H × B × t)
TS
(H × B × t)
CS
(H × B × t)
9–10350 × 350 × 25550 × 550 × 22350 × 350 × 25500 × 500 × 22350 × 350 × 16500 × 500 × 19
8400 × 400 × 25550 × 550 × 22350 × 350 × 25500 × 500 × 22350 × 350 × 16500 × 500 × 19
7400 × 400 × 28550 × 550 × 22350 × 350 × 28500 × 500 × 22350 × 350 × 16500 × 500 × 19
5–6450 × 450 × 25600 × 600 × 28400 × 400 × 25550 × 550 × 25400 × 400 × 19550 × 550 × 22
4450 × 450 × 28600 × 600 × 28400 × 400 × 25550 × 550 × 25400 × 400 × 19550 × 550 × 22
3500 × 500 × 28650 × 650 × 28450 × 450 × 25600 × 600 × 25450 × 450 × 19600 × 600 × 22
2500 × 500 × 28650 × 650 × 28450 × 450 × 25600 × 600 × 25450 × 450 × 19600 × 600 × 22
1500 × 500 × 36650 × 650 × 28450 × 450 × 36600 × 600 × 28450 × 450 × 28600 × 600 × 25
Table 3. Structural beam dimensions (mm).
Table 3. Structural beam dimensions (mm).
Trimmed Section (TS)
Longitudinal Direction (X)Transverse Direction (Y)
StoryInterior Beam
(H × B × t1 × t2)
Exterior Beam
(H × B × t1 × t2)
Short Span
(H × B × t1 × t2)
Long Span
(H × B × t1 × t2)
R450 × 200 × 9 × 16450 × 200 × 9 × 12450 × 300 × 16 × 28450 × 350 ×16 ×32
10450 × 300 × 9 × 16450 × 200 × 12 × 19450 × 300 × 12 × 19450 × 300 × 16 × 28
9500 × 300 × 12 × 19500 × 300 × 9 × 16500 × 300 × 12 × 25500 × 300 × 16 × 32
8500 × 350 × 12 × 19500 × 300 × 12 × 19500 × 300 × 12 × 25500 × 300 × 16 × 32
7500 × 350 × 12 × 22500 × 300 × 12 × 22500 × 350 × 12 × 25500 × 350 × 16 × 32
6500 × 350 × 12 × 22500 × 300 × 12 × 22500 × 350 × 16 × 28500 × 350 × 16 × 32
5500 × 350 × 16 × 25500 × 300 × 16 × 25500 × 350 × 16 × 28500 × 350 × 16 × 36
4500 × 350 × 16 × 28500 × 300 × 16 × 25500 × 350 × 16 × 32500 × 350 × 16 × 36
3500 × 350 × 16 × 28500 × 300 × 16 × 25500 × 350 × 16 × 32500 × 350 × 16 × 36
2500 × 350 × 16 × 32500 × 300 × 16 × 28500 × 350 × 16 × 36500 × 350 × 16 × 36
Conventional Section (CS)
Longitudinal Direction (X)Transverse Direction (Y)
StoryInterior Beam
(H × B × t1 × t2)
Exterior Beam
(H × B × t1 × t2)
Short Span
(H × B × t1 × t2)
Long Span
(H × B × t1 × t2)
R600 × 300 × 12 × 22600 × 250 × 12 × 22600 × 300 × 14 × 25600 × 300 × 14 × 32
10600 × 300 × 12 × 22600 × 250 × 12 × 22600 × 300 × 14 × 25600 × 300 × 14 × 32
9700 × 300 × 12 × 22700 × 250 × 12 × 22700 × 300 × 14 × 25700 × 300 × 16 × 32
8700 × 300 × 12 × 22700 × 250 × 12 × 22700 × 300 × 14 × 25700 × 300 × 16 × 32
7750 × 300 × 16 × 25750 × 250 × 14 × 25750 × 300 × 16 × 28750 × 300 × 16 × 32
6750 × 300 × 16 × 25750 × 250 × 14 × 25750 × 300 × 16× 28750 × 300 × 16 × 32
5750 × 300 ×16 × 28750 × 250 × 16 × 28750 × 350 × 16 × 28750 × 350 × 16 × 32
4750 × 300 × 16 × 28750 × 250 × 16 × 28750 × 350 × 16 × 28750 × 350 × 16 × 32
3750 × 300 × 16 × 28750 ×250 × 16 × 28750 × 350 × 16 × 28750 × 350 × 16 × 32
2800 × 300 × 16 × 32800 × 300 × 16 × 28800 × 300 × 16 × 32800 × 300 × 16 × 32
Table 4. Technical parameters of hysteresis and oil dampers.
Table 4. Technical parameters of hysteresis and oil dampers.
Hysteresis DamperOil Damper
StoryHeight (H)Damper Stiffness (KD)Force
(Fy)
Stiffness Ratio (K1/K0)Damper Stiffness (KD)Damping (C0)Relief Velocity (Vr)Damping Ratio C1/C0
mkN/mmkNkN/mmkN-s/mmcm/s
104.016.82112.170.0227.305.6738.60.02
94.056.03373.50.0231.006.4538.60.02
84.074.52496.830.0237.927.8838.60.02
74.096.83645.50.0242.138.7738.60.02
64.098.52656.670.0250.2310.4538.60.02
54.0116.65777.670.0252.7010.9538.60.02
44.0124.6830.670.0256.5011.7538.60.02
34.0105.73704.830.0265.9313.7038.60.02
24.0118.15787.670.0266.0213.7238.60.02
16.067.93679.330.0248.1810.0257.90.02
Table 5. Summary of input earthquake ground motions.
Table 5. Summary of input earthquake ground motions.
Record NameDepth (km)Magnitude (Mw)Duration (s)PGA (g)
1JP_2000_Tottori117.32400.616
2JP_2011_Tohoku2493000.572
3JP_2008_Iwate87.23000.701
4JP_2007_Noto116.93000.864
5JP_1997_Kagoshima86.3700.503
6JP_2016_Kumamoto127.33000.630
7JP_2003_Hokkaido4283000.494
8JP_2003_Miyagi4283000.737
9JP_2005_Miyagi427.21620.406
10JP_2018_Osake136.11240.812
11JP_2020_Hachinohe356.31560.326
12JP_2009_Shizuoca236.52190.451
13JP_1995_Kobe17.96.9500.630
14JP_2021_Fukushima557.33000.528
15JP_2004_Chuetsu136.82991.335
16JP_2001_Geiyo516.41930.566
17JP_2021_Miyagi596.93000.623
18JP_2003_Hokkaido4283000.414
19JP_2011_Miyagi1427.11930.428
20JP_2011_Fukushima3971940.415
Table 6. Structural damage levels based on the story drift ratio.
Table 6. Structural damage levels based on the story drift ratio.
Structural DamageNo DamageMinor DamageSignificant DamageSevere DamageCollapse
Story drift (θmax)θmax ≤ 1/3001/300 < θmax ≤ 1/1501/150 < θmax ≤ 1/1001/100 < θmax ≤ 1/75θmax > 1/75
Table 7. Mean (μ) and standard deviation (σ) values.
Table 7. Mean (μ) and standard deviation (σ) values.
θmax10F_TS_FM10F_TS_HM10F_TS_OM10F_CS_FM
μσμσμσμσ
0.5%−2.6450.421−2.5720.541−2.2420.466−1.6060.290
1.0% −1.9610.416−1.5170.434−1.5840.408−0.9650.257
2.0%−1.3480.346−1.0000.383−1.0560.332−0.3580.343
Publisher’s Note: MDPI stays neutral with regard to jurisdictional claims in published maps and institutional affiliations.

Share and Cite

MDPI and ACS Style

Karimi, A.K.; Moscoso Alcantara, E.A.; Saito, T. Reliability Analysis of Response-Controlled Buildings Using Fragility Curves. Appl. Sci. 2022, 12, 7717. https://doi.org/10.3390/app12157717

AMA Style

Karimi AK, Moscoso Alcantara EA, Saito T. Reliability Analysis of Response-Controlled Buildings Using Fragility Curves. Applied Sciences. 2022; 12(15):7717. https://doi.org/10.3390/app12157717

Chicago/Turabian Style

Karimi, Ahmad Khalid, Edisson Alberto Moscoso Alcantara, and Taiki Saito. 2022. "Reliability Analysis of Response-Controlled Buildings Using Fragility Curves" Applied Sciences 12, no. 15: 7717. https://doi.org/10.3390/app12157717

APA Style

Karimi, A. K., Moscoso Alcantara, E. A., & Saito, T. (2022). Reliability Analysis of Response-Controlled Buildings Using Fragility Curves. Applied Sciences, 12(15), 7717. https://doi.org/10.3390/app12157717

Note that from the first issue of 2016, this journal uses article numbers instead of page numbers. See further details here.

Article Metrics

Back to TopTop