Cytokines, Chemokines, Insulin and Haematological Indices in Type 2 Diabetic Male Sprague Dawley Rats Infected with Trichinella zimbabwensis
Abstract
1. Introduction
2. Materials and Methods
2.1. Experimental Animals
2.2. Study Design
2.3. Type 2 Diabetes Induction
2.4. Trichinella zimbabwensis Infection
2.5. Food, Water Intake, Body Weight and Glucose Measurement
2.6. Recovery of Trichinella zimbabwensis Worms
2.7. Serum Insulin Measurement
2.8. Liver and Muscle Glycogen Measurement
2.9. Determination of Haematological Parameters
2.10. Terminal Studies
2.11. Serum Cytokines and Chemokines Measurement
2.12. Statistical Analysis
3. Results
3.1. Trichinella zimbabwensis Adult Worms and Muscle Larvae Establishment
3.2. Water and Food Intake
3.3. Body Weight and Blood Glucose Level
3.4. Serum Insulin Concentration
3.5. Liver and Muscle Glycogen Concentration
3.6. Haematological Parameters
3.6.1. Red Blood Cells
3.6.2. White Blood Cells
3.7. Effect of T. zimbabwensis Infection on Serum Cytokine Concentration
3.7.1. TNF-α Concentration
3.7.2. IFN-γ Concentration
3.7.3. IL-6 Concentration
3.7.4. IL-4 Concentration
3.7.5. IL-10 Concentration
3.7.6. IL-13 Concentration
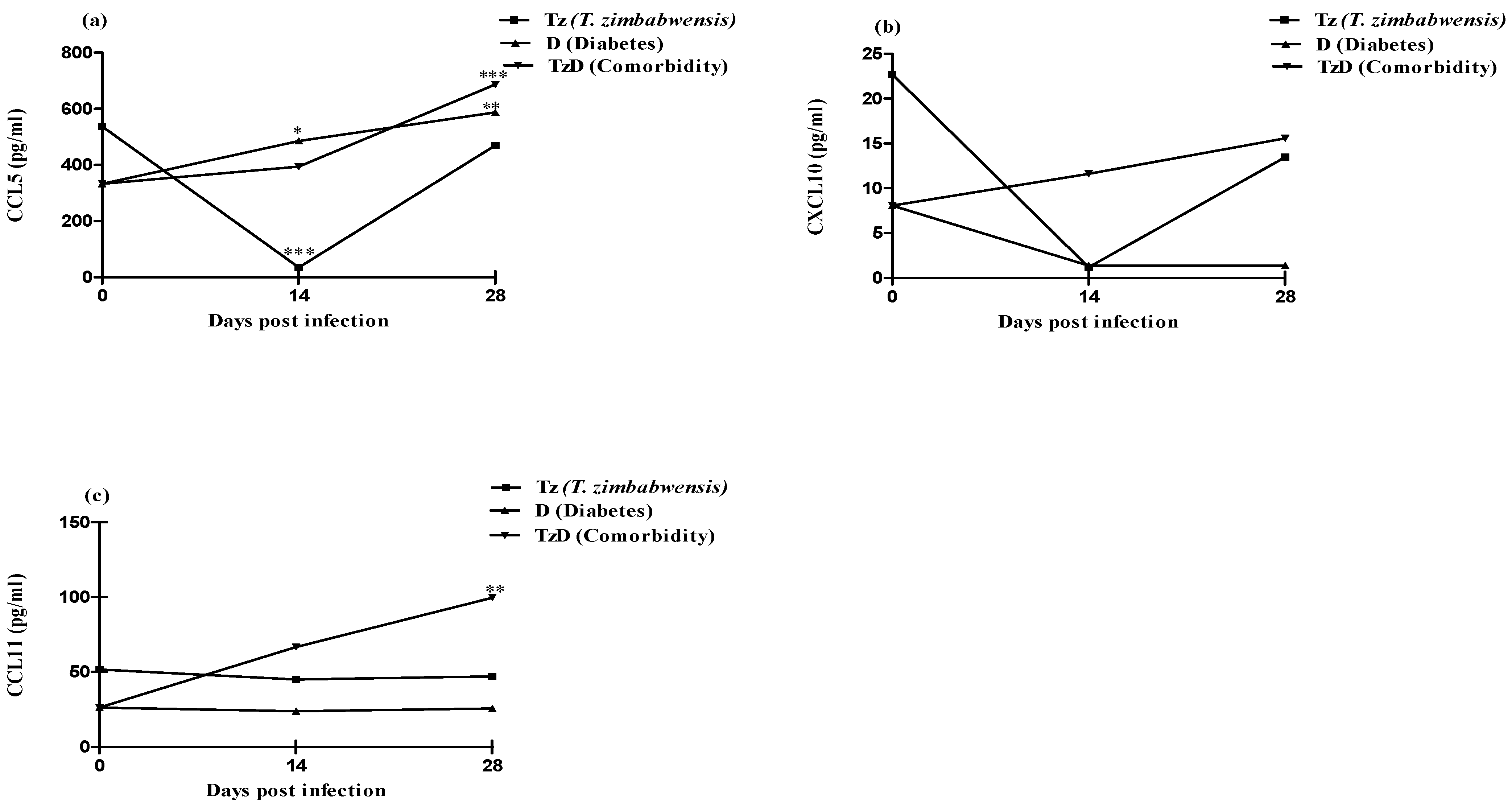
3.8. Effect of Trichinella zimbabwensis Infection on Serum Chemokine Concentration
3.8.1. CCL5 Concentration
3.8.2. CXCL10 Concentration
3.8.3. CCL11 Concentration
4. Discussion
5. Conclusions
Author Contributions
Funding
Institutional Review Board Statement
Informed Consent Statement
Acknowledgments
Conflicts of Interest
References
- De Ruiter, K.; Tahapary, D.L.; Sartono, E.; Soewondo, P.; Supali, T.; Smit, J.W.A.; Yazdanbakhsh, M. Helminths, hygiene hypothesis and type 2 diabetes. Parasite Immunol. 2017, 39, 12404. [Google Scholar] [CrossRef] [PubMed]
- Standl, E.; Khunti, K.; Hansen, T.B.; Schnell, O. The global epidemics of diabetes in the 21st century: Current situation and perspectives. Eur. J. Prev. Cardiol. 2019, 26, 7–14. [Google Scholar] [CrossRef] [PubMed]
- Saeedi, P.; Petersohn, I.; Salpea, P.; Malanda, B.; Karuranga, S.; Unwin, N.; Colagiuri, S.; Guariguata, L.; Motala, A.A.; Ogurtsova, K.; et al. Global and regional diabetes prevalence estimates for 2019 and projections for 2030 and 2045: Results from the International Diabetes Federation Diabetes Atlas. Diabetes Res. Clin. Pract. 2019, 157, 107843. [Google Scholar] [CrossRef]
- Antwi-Baffour, S.; Kyeremeh, R.; Boateng, S.O.; Annison, L.; Seidu, M.A. Haematological parameters and lipid profile abnormalities among patients with Type-2 diabetes mellitus in Ghana. Lipids Health Dis. 2018, 17, 283. [Google Scholar] [CrossRef] [PubMed]
- Milosevic, D.; Panin, V.L. Relationship between hematological parameters and glycemic control in type 2 diabetes mellitus patients. J. Med. Biochem. 2019, 38, 164. [Google Scholar] [CrossRef] [PubMed]
- Demirtas, L.; Degirmenci, H.; Akbas, E.M.; Ozcicek, A.; Timuroglu, A.; Gurel, A.; Ozcicek, F. Association of hematological indicies with diabetes, impaired glucose regulation and microvascular complications of diabetes. Int. J. Clin. Exp. Med. 2015, 8, 11420. [Google Scholar]
- Gkrania-Klotsas, E.; Ye, Z.; Cooper, A.J.; Sharp, S.J.; Luben, R.; Biggs, M.L.; Chen, L.-K.; Gokulakrishnan, K.; Hanefeld, M.; Ingelsson, E.; et al. Differential white blood cell count and type 2 diabetes: Systematic review and meta-analysis of cross-sectional and prospective studies. PLoS ONE 2010, 5, 13405. [Google Scholar] [CrossRef]
- Chung, F.-M.; Tsai, J.C.; Chang, D.M.; Shin, S.J.; Lee, Y.J. Peripheral total and differential leukocyte count in diabetic nephropathy: The relationship of plasma leptin to leukocytosis. Diabetes Care 2005, 28, 1710–1717. [Google Scholar] [CrossRef]
- Alam, J.; Chandra, S.M.; Mokarrama, M.N.; Hoque, M.; Hasan, M.; Islam, S. A comparative analysis of biochemical and hematological parameters in diabetic and non-diabetic adults. Adv. Med. Sci. 2015, 2, 1–9. [Google Scholar]
- Pickup, J.C. Inflammation and activated innate immunity in the pathogenesis of type 2 diabetes. Diabetes Care 2004, 27, 813–823. [Google Scholar] [CrossRef]
- Rajamanickam, A.; Munisankar, S.; Dolla, C.; Menon, P.A.; Thiruvengadam, K.; Nutman, T.B.; Babu, S. Helminth infection modulates systemic pro-inflammatory cytokines and chemokines implicated in type 2 diabetes mellitus pathogenesis. PLoS Negl. Trop. Dis. 2020, 14, 0008101. [Google Scholar] [CrossRef] [PubMed]
- Su, C.W.; Chen, C.-Y.; Li, Y.; Long, S.R.; Massey, W.; Kumar, D.V.; Walker, W.A.; Shi, H.N. Helminth infection protects against high fat diet-induced obesity via induction of alternatively activated macrophages. Sci. Rep. 2018, 8, 4607. [Google Scholar] [CrossRef] [PubMed]
- Tracey, E.F.; McDermott, R.A.; McDonald, M.I. Do worms protect against the metabolic syndrome? A systematic review and meta-analysis. Diabetes Res. Clin. Pract. 2016, 120, 209–220. [Google Scholar] [CrossRef] [PubMed]
- Hotez, P.J.; Alvarado, M.; Basáñez, M.-G.; Bolliger, I.; Bourne, R.; Boussinesq, M.; Brooker, S.J.; Brown, A.S.; Buckle, G.; Budke, C.M.; et al. The global burden of disease study 2010: Interpretation and implications for the neglected tropical diseases. PLoS Negl. Trop. Dis. 2014, 8, 2865. [Google Scholar] [CrossRef]
- Rajamanickam, A.; Munisankar, S.; Thiruvengadam, K.; Menon, P.A.; Dolla, C.; Nutman, T.B.; Babu, S. Impact of Helminth infection on metabolic and immune homeostasis in non-diabetic obesity. Front. Immunol. 2020, 11, 2195. [Google Scholar] [CrossRef]
- Wiria, A.E.; Hamid, F.; Wammes, L.J.; Prasetyani, M.A.; Dekkers, O.M.; May, L.; Kaisar, M.M.; Verweij, J.J.; Guigas, B.; Partono, F.; et al. Infection with soil-transmitted helminths is associated with increased insulin sensitivity. PLoS ONE 2015, 10, 0127746. [Google Scholar]
- Hays, R.; Esterman, A.; Giacomin, P.; Loukas, A.; McDermott, R. Does Strongyloides stercoralis infection protect against type 2 diabetes in humans? Evidence from Australian Aboriginal adults. Diabetes Res. Clin. Pract. 2015, 107, 355–361. [Google Scholar]
- Khudhair, Z.; Alhallaf, R.; Eichenberger, R.M.; Whan, J.; Kupz, A.; Field, M.; Krause, L.; Wilson, D.T.; Daly, N.L.; Giacomin, P.; et al. Gastrointestinal helminth infection improves insulin sensitivity, decreases systemic inflammation, and alters the composition of gut microbiota in distinct mouse models of Type 2 Diabetes. Front. Endocrinol. 2021, 11, 1132. [Google Scholar] [CrossRef]
- Anthony, R.M.; Rutitzky, L.I.; Urban, J.F., Jr.; Stadecker, M.J.; Gause, W.C. Protective immune mechanisms in helminth infection. Nat. Rev. Immunol. 2007, 7, 975–987. [Google Scholar] [CrossRef]
- Morimoto, M.; Azuma, N.; Kadowaki, H.; Abe, T.; Suto, Y. Regulation of type 2 diabetes by helminth-induced Th2 immune response. J. Vet. Med. Sci. 2016, 78, 1855–1864. [Google Scholar] [CrossRef]
- Wu, Z.; Nagano, I.; Kajita, K.; Nishina, M.; Takahashi, Y. Hypoglycaemia induced by Trichinella infection is due to the increase of glucose uptake in infected muscle cells. Int. J. Parasitol. 2009, 39, 427–434. [Google Scholar] [CrossRef] [PubMed]
- Bruschi, F.; Gómez-Morales, M.A. The translational immunology of trichinellosis: From rodents to humans. Immune Response Parasit. Infect. Immun. Helminths Nov. Ther. Approaches 2014, 2, 125–161. [Google Scholar]
- Rosca, E.C.; Tudor, R.; Cornea, A.; Simu, M. Central Nervous System Involvement in Trichinellosis: A Systematic Review. Diagnostics 2021, 11, 945. [Google Scholar] [CrossRef] [PubMed]
- Silas, E.; Ndlovu, S.; Tshilwane, S.I.; Mukaratirwa, S. Immunological and Pathophysiological Outcomes of Helminth Infections and Type 2 Diabetes Comorbidity Studies in Humans and Experimental Animals—A Scoping Review. Appl. Sci. 2021, 11, 8079. [Google Scholar] [CrossRef]
- Wilson, R.D.; Islam, M. Fructose-fed streptozotocinhj-injected rat: An alternative model for type 2 diabetes. Pharmacol. Rep. 2012, 64, 129–139. [Google Scholar] [CrossRef]
- Pozio, E.; Foggin, C.M.; Marucci, G.; La Rosa, G.; Sacchi, L.; Corona, S.; Rossi, P.; Mukaratirwa, S. Trichinella zimbabwensis n. sp. (Nematoda), a new non-encapsulated species from crocodiles (Crocodylus niloticus) in Zimbabwe also infecting mammals. Int. J. Parasitol. 2002, 32, 1787–1799. [Google Scholar] [CrossRef]
- He, Q.; Su, G.; Liu, K.; Zhang, F.; Jiang, Y.; Gao, J.; Liu, L.; Jiang, Z.; Jin, M.; Xie, H. Sex-specific reference intervals of hematologic and biochemical analytes in Sprague-Dawley rats using the nonparametric rank percentile method. PLoS ONE 2017, 12, 0189837. [Google Scholar] [CrossRef]
- Mukaratirwa, S.; Nkulungo, E.; Matenga, E.; Bhebhe, E. Effect of host age in the distribution of adult Trichinella zimbabwensis in the small intestines of golden hamsters (Mesocricetus auratus) and Balb C mice. Onderstepoort J. Vet. Res. 2003, 70, 169–173. [Google Scholar]
- Lo, S.; Russell, J.; Taylor, A. Determination of glycogen in small tissue samples. J. Appl. Physiol. 1970, 28, 234–236. [Google Scholar] [CrossRef]
- Kapel, C.; Gamble, H. Infectivity, persistence, and antibody response to domestic and sylvatic Trichinella spp. in experimentally infected pigs. Int. J. Parasitol. 2000, 30, 215–221. [Google Scholar] [CrossRef]
- Onkoba, W.; Chimbari, M.; Kamau, J.; Mukaratirwa, S. Differential immune responses in mice infected with the tissue-dwelling nematode Trichinella zimbabwensis. J. Helminthol. 2016, 90, 547–554. [Google Scholar] [CrossRef] [PubMed][Green Version]
- Picherot, M.; Oswald, I.P.; Cote, M.; Noeckler, K.; Le Guerhier, F.; Boireau, P.; Vallée, I. Swine infection with Trichinella spiralis: Comparative analysis of the mucosal intestinal and systemic immune responses. Vet. Parasitol. 2007, 143, 122–130. [Google Scholar] [CrossRef]
- Hussaarts, L.; García-Tardón, N.; van Beek, L.; Heemskerk, M.M.; Haeberlein, S.; van der Zon, G.C.; Ozir-Fazalalikhan, A.; Berbée, J.F.P.; van Dijk, K.W.; van Harmelen, V.; et al. Chronic helminth infection and helminth-derived egg antigens promote adipose tissue M2 macrophages and improve insulin sensitivity in obese mice. FASEB J. 2015, 29, 3027–3039. [Google Scholar] [CrossRef] [PubMed]
- Berbudi, A.; Surendar, J.; Ajendra, J.; Gondorf, F.; Schmidt, D.; Neumann, A.-L.; Wardani, A.P.; Layland, L.E.; Hoffmann, L.S.; Pfeifer, A.; et al. Filarial infection or antigen administration improves glucose tolerance in diet-induced obese mice. J. Innate Immun. 2016, 8, 601–616. [Google Scholar] [CrossRef] [PubMed]
- Macauley, M.; Smith, F.E.; Thelwall, P.E.; Hollingsworth, K.G.; Taylor, R. Diurnal variation in skeletal muscle and liver glycogen in humans with normal health and Type 2 diabetes. Clin. Sci. 2015, 128, 707–713. [Google Scholar] [CrossRef]
- Ceperuelo-Mallafré, V.; Ejarque, M.; Serena, C.; Duran, X.; Montori-Grau, M.; Rodríguez, M.A.; Yanes, O.; Núñez-Roa, C.; Roche, K.; Puthanveetil, P.; et al. Adipose tissue glycogen accumulation is associated with obesity-linked inflammation in humans. Mol. Metab. 2016, 5, 5–18. [Google Scholar] [CrossRef] [PubMed]
- Oyedemi, S.; Yakubu, M.; Afolayan, A. Antidiabetic activities of aqueous leaves extract of Leonotis leonurus in streptozotocin induced diabetic rats. J. Med. Plant Res. 2011, 5, 119–125. [Google Scholar]
- Zhuo, J.; Zeng, Q.; Cai, D.; Zeng, X.; Chen, Y.; Gan, H.; Huang, X.; Yao, N.; Huang, D.; Zhang, C. Evaluation of type 2 diabetic mellitus animal models via interactions between insulin and mitogen-activated protein kinase signaling pathways induced by a high fat and sugar diet and streptozotocin. Mol. Med. Rep. 2018, 17, 5132–5142. [Google Scholar] [CrossRef]
- Gao, Y.; Zhang, M.; Wu, T.; Xu, M.; Cai, H.; Zhang, Z. Effects of D-pinitol on insulin resistance through the PI3K/Akt signaling pathway in type 2 diabetes mellitus rats. J. Agric. Food Chem. 2015, 63, 6019–6026. [Google Scholar] [CrossRef]
- Yang, M.; Ren, Y.; Lin, Z.; Tang, C.; Jia, Y.; Lai, Y.; Zhou, T.; Wu, S.; Liu, H.; Yang, G.; et al. Krüppel-like factor 14 increases insulin sensitivity through activation of PI3K/Akt signal pathway. Cell. Signal. 2015, 27, 2201–2208. [Google Scholar] [CrossRef]
- Biadgo, B.; Melku, M.; Abebe, S.M.; Abebe, M. Hematological indices and their correlation with fasting blood glucose level and anthropometric measurements in type 2 diabetes mellitus patients in Gondar, Northwest Ethiopia. Diabetes Metab. Syndr. Obes. 2016, 9, 91. [Google Scholar] [CrossRef] [PubMed]
- Farhangi, M.A.; Keshavarz, S.A.; Eshraghian, M.; Ostadrahimi, A.; Saboor-Yaraghi, A.-A. White blood cell count in women: Relation to inflammatory biomarkers, haematological profiles, visceral adiposity, and other cardiovascular risk factors. J. Health. Popul. Nutr. 2013, 31, 58. [Google Scholar] [CrossRef] [PubMed]
- Ellinger, V.; Carlini, L.T.; Moreira, R.O.; Meirelles, R.M. Relation between insulin resistance and hematological parameters in a Brazilian sample. Arq. Bras. Endocrinol. Met. 2006, 50, 114–117. [Google Scholar] [CrossRef] [PubMed]
- Mokgalaboni, K.; Mabusela, M.S.; Moraba, M.M. Haematological indices and anaemia in patients with type 2 diabetes mellitus: Systematic review and meta-analysis. SN Compr. Clin. Med. 2020, 2, 899–908. [Google Scholar] [CrossRef]
- Thomas, M.C.; MacIsaac, R.J.; Tsalamandris, C.; Molyneaux, L.; Goubina, I.; Fulcher, G.; Yue, D.; Jerums, G. The burden of anaemia in type 2 diabetes and the role of nephropathy: A cross-sectional audit. Nephrol. Dial. Transplant. 2004, 19, 1792–1797. [Google Scholar] [CrossRef] [PubMed]
- Tamariz, L.J.; Young, J.H.; Pankow, J.S.; Yeh, H.C.; Schmidt, M.I.; Astor, B.; Brancati, F.L. Blood viscosity and hematocrit as risk factors for type 2 diabetes mellitus: The atherosclerosis risk in communities (ARIC) study. Am. J. Epidemiol. 2008, 168, 1153–1160. [Google Scholar] [CrossRef]
- Conway, B.N.; Miller, R.G.; Orchard, T.J. Are hemoglobin levels elevated in type 1 diabetes? Diabetes Care 2010, 33, 341–343. [Google Scholar] [CrossRef]
- Taniguchi, A.; Fukushima, M.; Seino, Y.; Sakai, M.; Yoshii, S.; Nagasaka, S.; Yamauchi, I.; Okumura, T.; Nin, K.; Tokuyama, K.; et al. Platelet count is independently associated with insulin resistance in non-obese Japanese type 2 diabetic patients. Metabolism 2003, 52, 1246–1249. [Google Scholar] [CrossRef]
- Uko, E.; Erhabor, O.; Isaac, I.Z.; Abdulrahaman, Y.; Adias, T.C.; Sani, Y.; Shehu, R.S.; Liman, H.M.; Dalltu, M.R.; Mainastra, A.S. Some haematological parameters in patients with type-1 diabetes in Sokoto, North-Western Nigeria. J. Blood Lymph. 2013, 3, 2165–7831. [Google Scholar]
- Murambiwa, P.; Silas, E.; Mdleleni, Y.; Mukaratirwa, S. Chemokine, cytokine and haematological profiles in Sprague-Dawley rats co-infected with Plasmodium berghei ANKA and Trichinella zimbabwensis—A laboratory animal model for malaria and tissue-dwelling nematodes co-infection. Heliyon 2020, 6, 03475. [Google Scholar] [CrossRef]
- Ademola, I.O.; Odeniran, P.O. Co-infection with Plasmodium berghei and Trypanosoma brucei increases severity of malaria and trypanosomiasis in mice. Acta Trop. 2016, 159, 29–35. [Google Scholar] [CrossRef] [PubMed]
- Bruschi, F.; Korenaga, M.; Watanabe, N. Eosinophils and Trichinella infection: Toxic for the parasite and the host? Trends Parasitol. 2008, 24, 462–467. [Google Scholar] [CrossRef] [PubMed]
- Rao, X.; Zhong, J.; Sun, Q. The heterogenic properties of monocytes/macrophages and neutrophils in inflammatory response in diabetes. Life Sci. 2014, 116, 59–66. [Google Scholar] [CrossRef]
- Alba-Loureiro, T.; Munhoz, C.; Martins, J.; Cerchiaro, G.; Scavone, C.; Curi, R.; Sannomiya, P. Neutrophil function and metabolism in individuals with diabetes mellitus. Braz. J. Med. Biol. Res. 2007, 40, 1037–1044. [Google Scholar] [CrossRef] [PubMed]
- Geissmann, F.; Manz, M.G.; Jung, S.; Sieweke, M.H.; Merad, M.; Ley, K. Development of monocytes, macrophages, and dendritic cells. Science 2010, 327, 656–661. [Google Scholar] [CrossRef]
- Rajamanickam, A.; Munisankar, S.; Bhootra, Y.; Dolla, C.; Thiruvengadam, K.; Nutman, T.B.; Babu, S. Metabolic consequences of concomitant Strongyloides stercoralis infection in patients with type 2 diabetes mellitus. Clin. Infect. Dis. 2019, 69, 697–704. [Google Scholar] [CrossRef]
- Pradhan, A.D.; Manson, J.E.; Rifai, N.; Buring, J.E.; Ridker, P.M. C-reactive protein, interleukin 6, and risk of developing type 2 diabetes mellitus. JAMA 2001, 286, 327–334. [Google Scholar] [CrossRef] [PubMed]
- Spranger, J.; Kroke, A.; Mohlig, M.; Hoffmann, K.; Bergmann, M.M.; Ristow, M.; Boeing, H.; Pfeiffer, A.F. Inflammatory cytokines and the risk to develop type 2 diabetes: Results of the prospective population-based European Prospective Investigation into Cancer and Nutrition (EPIC)-Potsdam Study. Diabetes 2003, 52, 812–817. [Google Scholar] [CrossRef]
- Wucherpfennig, K.W.; Eisenbarth, G.S. Type 1 diabetes. Nat. Immunol. 2001, 2, 767–768. [Google Scholar] [CrossRef]
- Hübner, M.P.; Shi, Y.; Torrero, M.N.; Mueller, E.; Larson, D.; Soloviova, K.; Gondorf, F.; Hoerauf, A.; Killoran, K.E.; Stocker, J.T.; et al. Helminth protection against autoimmune diabetes in nonobese diabetic mice is independent of a type 2 immune shift and requires TGF-β. J. Immunol. 2012, 188, 559–568. [Google Scholar] [CrossRef]
- Allen, J.E.; Maizels, R.M. Diversity and dialogue in immunity to helminths. Nat. Rev. Immunol. 2011, 11, 375–388. [Google Scholar] [CrossRef] [PubMed]
- Maizels, R.M.; Smith, K.A. Regulatory T cells in infection. Adv. Immunol. 2011, 112, 73–136. [Google Scholar]
- Metenou, S.; Nutman, T. Regulatory T cell subsets in filarial infection and their function. Front. Immunol. 2013, 4, 305. [Google Scholar] [CrossRef]
- Matarese, G.; Procaccini, C.; De Rosa, V. At the crossroad of T cells, adipose tissue, and diabetes. Immunol. Rev. 2012, 249, 116–134. [Google Scholar] [CrossRef] [PubMed]
- Weng, M.; Huntley, D.; Huang, I.-F.; Foye-Jackson, O.; Wang, L.; Sarkissian, A.; Zhou, Q.; Walker, W.A.; Cherayil, B.J.; Shi, H.N. Alternatively activated macrophages in intestinal helminth infection: Effects on concurrent bacterial colitis. J. Immunol. Res. 2007, 179, 4721–4731. [Google Scholar] [CrossRef] [PubMed]
- Turner, M.D.; Nedjai, B.; Hurst, T.; Pennington, D.J. Cytokines and chemokines: At the crossroads of cell signalling and inflammatory disease. Biochim. Biophys. Acta Mol. Cell Res. 2014, 1843, 2563–2582. [Google Scholar] [CrossRef]








| Group | n | Induced D | Infected with Tz | Days of Sacrifice Post Tz Infection |
|---|---|---|---|---|
| Tz | 36 | − | + | 0, 7, 14, 21, 28, and 35 |
| D | 36 | + | − | 0, 7, 14, 21, 28, and 35 |
| TzD | 30 | + | + | 7, 14, 21, 28, and 35 |
| Water and Food Intake | Days Post T. zimbabwensis Infection | Experimental Groups | ||
|---|---|---|---|---|
| Tz | D | TzD | ||
| Water intake (mL) | Day 0 | 243.3 ± 13.33 | 703.3 ± 72.99 *** | 620.0 ± 68.37 *** |
| Day 7 | 155.6 ± 20.34 | 640.0 ± 69.19 *** | 490.0 ± 47.17 *** | |
| Day 14 | 206.3 ± 18.75 | 793.8 ± 85.62 *** | 631.3 ± 51.41 *** | |
| Day 21 | 258.0 ± 22.11 | 808.3 ± 88.19 *** | 641.7 ± 58.33 ** | |
| Day 28 | 300.0 ± 8.00 | 937.5 ± 12.50 ** | 772.5 ± 122.5 ** | |
| Day 35 | 360.0 ± 10.00 | 962.5 ± 12.50 ** | 762.5 ± 12.50 | |
| Food intake (g) | Day 0 | 176.2 ± 14.49 | 248.5 ± 19.47 | 201.2 ± 26.68 |
| Day 7 | 124.0 ± 11.62 | 208.8 ± 27.17 | 156.4 ± 39.11 | |
| Day 14 | 140.0 ± 22.43 | 248.3 ± 25.37 | 213.0 ± 63.32 | |
| Day 21 | 173.3 ± 10.68 | 259.3 ± 38.28 | 228.3 ± 25.78 | |
| Day 28 | 193.5 ± 5.50 | 330.0 ± 22.00 | 293.5 ± 19.50 | |
| Day 35 | 213.0 ± 5.00 | 341.0 ± 1.00 | 303.0 ± 2.08 | |
| Haematological Parameter | Days Post T. zimbabwensis Infection | Experimental Groups | |||
|---|---|---|---|---|---|
| Tz | D | TzD | Range of Reference Values (He et al., 2017) [27] | ||
| WBC (103/µL) | Day 0 | 3.94 (3.44–5.51) | 6.03 (3.45–8.11) | 6.03 (3.45–8.11) | 3.00–9.22 |
| Day 7 | 5.52 (3.8–7.74) | 4.87 (2.68–5.64) | 5.66 (3.57–6.96) | ||
| Day 14 | 6.99 (4.43–8.70) | 5.87 (5.43–7.18) | 4.88 (4.14–6.83) | ||
| Day 21 | 6.97 (5.21–7.76) | 8.45 (6.37–10.36) | 6.65 (5.29–7.23) | ||
| Day 28 | 3.37 (2.46–3.68) | 4.56 (3.38–5.76) | 2.57 (2.44–4.84) | ||
| Day 35 | 6.19 (5.49–7.82) | 4.02 (3.24–4.20) * | 4.70 (4.09–5.56) | ||
| Neutrophils (%) | Day 0 | 15.65 (11.45–18.78) | 16.60 (13.90–22.20) | 16.60 (13.90–22.20) | 6.14–22.9 |
| Day 7 | 12.00 (11.10–16.28) | 18.15 (14.98–19.85) | 8.75 (7.70–16.08) | ||
| Day 14 | 9.10 (8.17–13.25) | 12.80 (10.85–13.25) | 15.60 (13.35–18.95) | ||
| Day 21 | 15.45 (13.43–21.00) | 20.80 (16.10–24.00) | 19.40 (16.25–21.95) | ||
| Day 28 | 14.85 (12.28–18.08) | 12.90 (12.05–18.10) | 16.90 (10.70–19.65) | ||
| Day 35 | 19.80 (16.93–22.68) | 34.40 (31.93–38.98) *** | 28.30 (24.95–35.70) ** | ||
| Lymphocytes (%) | Day 0 | 77.40 (73.23–78.00) | 73.25 (69.50–77.43) | 73.25 (69.50–77.43) | 69.68–86.89 |
| Day 7 | 79.75 (78.52–82.50) | 77.35 (73.38–79.45) | 84.10 (75.80–86.35) | ||
| Day 14 | 77.80 (73.90–81.13) | 76.40 (73.90–77.40) | 70.20 (67.10–71.75) | ||
| Day 21 | 70.45 (66.90–75.13) | 66.30 (63.35–69.90) | 63.00 (60.10–67.55) | ||
| Day 28 | 76.65 (70.83–79.23) | 74.10 (63.90–79.23) | 69.20 (64.85–75.80) | ||
| Day 35 | 65.75 (65.23–75.75) | 50.55 (43.78–54.20) *** | 56.40 (41.00–57.45) *** | ||
| Monocytes (%) | Day 0 | 8.35 (5.22–9.00) | 9.30 (3.87–11.15) | 9.30 (3.87–11.15) | 3.77–10.82 |
| Day 7 | 2.60 (1.65–8.025) | 3.10 (2.32–5.22) | 3.85 (2.37–10.20) | ||
| Day 14 | 9.55 (6.25–12.68) | 9.20 (5.3–12.85) | 9.00 (7.15–12.30) | ||
| Day 21 | 8.05 (5.62–8.85) | 11.60 (10.10–12.00) | 10.60 (6.50–12.00) | ||
| Day 28 | 4.10 (2.65–9.50) | 13.80 (2.80–21.95) * | 11.50 (11.20–12.30) | ||
| Day 35 | 8.55 (4.90–11.53) | 11.55 (10.53–20.75) | 11.70 (8.80–13.80) | ||
| Basophils (%) | Day 0 | 0.40 (0.30–0.60) | 0.20 (0.15–0.32) | 0.20 (0.15–0.32) | 0.04–0.44 |
| Day 7 | 0.30 (0.20–0.42) | 0.25 (0.15–0.47) | 0.45 (0.30–0.62) | ||
| Day 14 | 0.25 (0.15–0.42) | 0.20 (0.10–0.35) | 0.20 (0.10–0.35) | ||
| Day 21 | 0.25 (0.07–0.37) | 0.30 (0.20–0.40) | 0.50 (0.05–0.50) | ||
| Day 28 | 0.30 (0.15–0.32) | 0.50 (0.35–0.60) | 0.40 (0.10–0.40) | ||
| Day 35 | 0.25 (0.20–0.42) | 0.20 (0.0–0.22) | 0.20 (0.10–0.35) | ||
| Eosinophils (%) | Day 0 | 0.65 (0.55–1.40) | 1.00 (0.77–1.12) | 1.00 (0.77–1.12) | 0.54–3.39 |
| Day 7 | 2.05 (1.65–2.45) | 2.40 (1.12–3.17) | 0.60 (0.17–0.82) | ||
| Day 14 | 2.45 (1.92–3.10) | 1.50 (1.30–2.90) | 4.40 (2.95–6.35) | ||
| Day 21 | 4.70 (1.55–6.47) | 1.90 (0.85–6.47) ** | 6.60 (5.70–9.35) * | ||
| Day 28 | 3.60 (2.82–4.95) | 1.00 (0.35–1.40) ** | 2.20 (1.65–3.25) | ||
| Day 35 | 2.05 (1.40–3.12) | 1.20 (0.97–3.00) | 7.80 (6.35–9.30) *** | ||
| Haemoglobin (%) | Day 0 | 14.80 (12.75–15.83) | 14.35 (13.40–15.35) | 14.35 (13.40–15.35) | 13.50–15.90 |
| Day 7 | 15.45 (13.53–17.13) | 13.95 (13.33–15.70) | 16.00 (14.58–17.23) | ||
| Day 14 | 16.55 (15.23–17.30) | 15.60 (15.25–16.95) | 15.10 (13.90–16.15) | ||
| Day 21 | 14.00 (13.58–15.08) | 16.60 (15.95–17.10) * | 16.60 (15.75–17.75) ** | ||
| Day 28 | 13.60 (13.43–14.60) | 15.40 (14.65–16.85) | 14.30 (14.10–15.30) | ||
| Day 35 | 15.70 (15.23–16.40) | 14.60 (13.95–15.25) | 14.40 (13.50–15.85) | ||
| Platelets (109/L) | Day 0 | 1006 (925.0–1086) | 1167 (1123–1207) | 1167 (1123–1207) | 923–1580 |
| Day 7 | 1037 (1007–1128) | 1024 (943.0–1082) | 1027 (939.5–1206) | ||
| Day 14 | 1031 (947.8–1071) | 985.0 (933.5–996.5) | 756.0 (738.0–943.5) | ||
| Day 21 | 801 (791.0–912.0) | 938.0 (871.5–1049) | 1065 (1004–1087) ** | ||
| Day 28 | 920.5 (860.3–1005) | 1111 (998.0–1156) | 894.0 (828.5–956.5) | ||
| Day 35 | 1264 (1032–1376) | 964.5 (825.3–1083) *** | 1072 (983.0–1191) | ||
Publisher’s Note: MDPI stays neutral with regard to jurisdictional claims in published maps and institutional affiliations. |
© 2022 by the authors. Licensee MDPI, Basel, Switzerland. This article is an open access article distributed under the terms and conditions of the Creative Commons Attribution (CC BY) license (https://creativecommons.org/licenses/by/4.0/).
Share and Cite
Silas, E.; Tshilwane, S.I.; Mukaratirwa, S. Cytokines, Chemokines, Insulin and Haematological Indices in Type 2 Diabetic Male Sprague Dawley Rats Infected with Trichinella zimbabwensis. Appl. Sci. 2022, 12, 7743. https://doi.org/10.3390/app12157743
Silas E, Tshilwane SI, Mukaratirwa S. Cytokines, Chemokines, Insulin and Haematological Indices in Type 2 Diabetic Male Sprague Dawley Rats Infected with Trichinella zimbabwensis. Applied Sciences. 2022; 12(15):7743. https://doi.org/10.3390/app12157743
Chicago/Turabian StyleSilas, Ekuyikeno, Selaelo Ivy Tshilwane, and Samson Mukaratirwa. 2022. "Cytokines, Chemokines, Insulin and Haematological Indices in Type 2 Diabetic Male Sprague Dawley Rats Infected with Trichinella zimbabwensis" Applied Sciences 12, no. 15: 7743. https://doi.org/10.3390/app12157743
APA StyleSilas, E., Tshilwane, S. I., & Mukaratirwa, S. (2022). Cytokines, Chemokines, Insulin and Haematological Indices in Type 2 Diabetic Male Sprague Dawley Rats Infected with Trichinella zimbabwensis. Applied Sciences, 12(15), 7743. https://doi.org/10.3390/app12157743

