Abstract
Apart from carbon atoms, some cyclic molecules contain other elements and play an extraordinary role in human life. Among these systems, 1,3,4-oxadiazole derivatives deserve special attention due to their biological properties such as antibacterial, antifungal, antitumor, and anti-inflammatory properties. They are commonly used in pharmacology, as well as in fungicidal, herbicidal, and insecticidal agricultural applications. The 1,3,4-oxadiazole fragment is connected directly to other aromatic systems and can be found in the structure of some commercially available drugs, or in potential drug candidates in the final pharmacological testing phase. Therefore, scientists are looking for new hybrid materials based on 1,3,4-oxadiazoles and other biologically active molecules. The most popular methods for constructing new carbon–carbon bonds between two aromatic species include direct arylation, condensation, and cross-coupling reactions. This review article, comprising the literature from 2009 to 2022, discusses a number of arylation reactions in the synthesis of 2,5-diaryl-1,3,4-oxadiazole derivatives.
1. Introduction
Organic compounds consisting of carbon and hydrogen atoms are very often stable molecules. Therefore, it is difficult to combine such elements to form new carbon–carbon bonds. Luckily, modern science provides several methods for the construction of these bonds, including alkylation, acylation, arylation, condensation, and coupling reactions [1,2]. A particularly important group of reactions for constructing new carbon–carbon bonds between two aromatic moieties are direct arylation reactions [3,4,5,6,7,8]. In recent years, they have received considerable attention and have provided an efficient alternative to typical cross-coupling reactions. Such transformations proceed with the derivatives of aromatics or heteroaromatics and non-substituted arenes in the presence of metal catalysts (Pd, Cu, Ni, and Co) supported by a variety of ligands, solvents, and bases. Another useful tool in classical organic chemistry is the carbon-carbon cross-coupling reactions between halides or pseudohalides of aromatics or heteroaromatics and organometallics in the presence of a catalyst. The catalysts are most often transition metal complexes from the eighth, ninth, or tenth group of the periodic table [9,10]. In both reaction types, oxidative addition and reductive elimination steps may be distinguished, resulting in the formation of new C(sp2)-C(sp2) covalent bonds.
Heterocycles are organic compounds with a ring structure that contain carbon and hydrogen, as well as other atoms. They constitute an important class of compounds, many of which occur naturally, but they can also be produced synthetically due to their valuable properties. Of the broad variety of heterocycles, the most common are those containing a five- and six-membered ring due to their exceptional stability [11,12]. One of the subgroups of the five-membered heterocyclic arrangements are 1,3,4-oxadiazoles. Many compounds containing this scaffold connected directly to other aromatic systems exhibit a broad spectrum of biological activities, which has led to their application in medicine and agriculture. Conjugated 1,3,4-oxadiazole derivatives are also of considerable interest in polymer and material science because of their electronic and optical properties. Thus, the aim of this literature review from 2009 to 2022 is to show the methods for the construction of 2,5-diaryl-1,3,4-oxadiazoles through arylation reactions.
2. Synthesis of 1,3,4-Oxadiazole Precursors
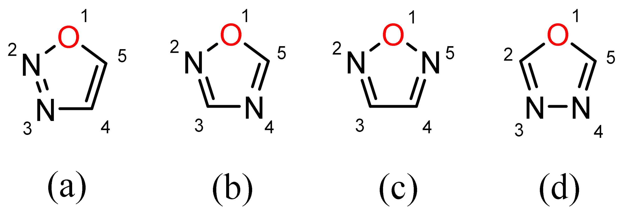
A wide group of five-membered heterocycles, called oxadiazoles, contain one oxygen and two nitrogen atoms in their structure. There are four isomers of these systems (Figure 1), of which the 1,2,3-oxadiazole (Figure 1a) is the least stable due to the possibility of a ring-opening reaction to formyldiazomethane. In consequence, it only occurs in expanded arrangements in which such a transformation has difficulty taking place [11]. The remaining isomeric oxadiazoles exist in stable forms as the simplest systems with an unsubstituted ring [11].
Figure 1.
Four isomeric structures of oxadiazole: (a) 1,2,3-oxadiazole; (b) 1,2,4-oxadiazole; (c) 1,2,5-oxadiazole; and (d) 1,3,4-oxadiazole.
Among the presented isomers, 1,3,4-oxadiazole and its derivatives are of particular scientific interest due to their broad application potential in many fields (Scheme 1). They are widely used in pharmacology due to their valuable biological properties, such as antibacterial, antifungal, antitumor, and anti-inflammatory properties [13,14,15,16,17,18,19,20]. Their fungicidal, herbicidal, and insecticidal properties are useful for agricultural applications [21,22,23,24,25]. A detailed study dedicated to the biological importance of 1,3,4-oxadiazoles and their application in medicine and agriculture was published recently by Luczynski and Kudelko [26]. The electron-deficient oxadiazole ring, in combination with other aromatic groups, is responsible for the unique electronic properties of such compounds, which are responsible for their applications in material engineering [27,28,29,30,31] and optoelectronics [32,33,34,35,36,37].
Scheme 1.
Selected 1,3,4-oxadiazole derivatives used in medicine, agriculture, material engineering, and optoelectronics.
The synthesis of 1,3,4-oxadiazole using formylhydrazone ethylformate was described in the 1960s. The variety of substrates that can be used to prepare such a heterocyclic core became the inspiration of some literature reviews [17,38,39]. The most important methods to synthesize 1,3,4-oxadiazoles involve the cyclodehydration of diacylhydrazine derivatives (Scheme 2a) and the oxidative cyclization of acylhydrazones (Scheme 2d). Other synthetic routes include the direct cyclocondensation of acid hydrazides using aldehydes or carboxylic acids (Scheme 2b), triethyl orthoesters, or trifluoromethyl derivatives (Scheme 2c). Other possibilities include transformations of heterocyclic arrangements, including 1,2,4-oxadiazoles (Scheme 2e) or 1,2,3,4-tetrazoles (Scheme 2f) [17,38,39].
Scheme 2.
The most common pathways for the synthesis of the 2,5-disubstituted 1,3,4-oxadiazole core.
One of the most interesting subgroups of 1,3,4-oxadiazoles, in terms of electronic properties and stability, are compounds in which the 1,3,4-oxadiazole core is directly conjugated to other aromatic or heteroaromatic moieties. A literature review of the last decades shows that three general methods are used to obtain such derivatives: (a) direct arylation of 1,3,4-oxadiazoles, (b) cyclization of 1,3,4-oxadiazole derivatives substituted with an unsaturated group with subsequent aromatization, and (c) coupling of halogen-containing 1,3,4-oxadiazoles with other organometallics (Scheme 3).
Scheme 3.
General concept for the expansion of the 1,3,4-oxadiazole scaffold via aromatic moieties.
The vast group of direct arylation methods includes reactions with aryl halides, organometallics, and compounds bearing different functionalities (a). The second most popular group of methods (b) mainly uses ortho-substituted phenols, thiophenols, and amines containing an unsaturated group, which can be converted into aromatic fragments. The least popular are cross-coupling reactions that use organoboron compounds (c).
3. Direct Arylation of 1,3,4-Oxadiazoles Using Aryl Halides
3.1. Reactions with Aryl Iodides
A literature study of the last two decades revealed that aryl halides (iodides, bromides, chlorides, fluorides) are particularly useful partners for 1,3,4-oxadiazoles in direct arylations and lead to conjugated arrangements. A review of the reactions of monosubstituted 1,3,4-oxadiazoles with a range of aryl iodides is presented in Scheme 4. In 2009, Kawano et al. described a universal method for the arylation of 2-aryl-1,3,4-oxadiazoles using various aryl iodides in the presence of a copper salt catalyst and 1,10-phenanthroline (phen) as an auxiliary ligand. Products 1a–r were obtained in satisfactory yields at elevated temperatures in a relatively short reaction time (4 h, Scheme 4; 1a–r; 38–99%) [40]. The method could introduce aryl moieties bearing a variety of functional groups such as a ketone, ester, or nitrile, which enabled the easy formation of more functionalized oxadiazole systems. Five years later, Kumar et al. described a method for the efficient arylation of 2-aryl-1,3,4-oxadiazoles using a diaryliodine salt at room temperature for 15 min to obtain the desired products in high yields (Scheme 4; 2a–m; 60–89%) [41]. The presented ligand-free copper-catalyzed direct C–H arylation offered many advantages including short reaction times, mild reaction conditions, and wide substrate scope. In 2015, Reddy published a method for the synthesis of 2,5-diaryl-1,3,4-oxadiazoles using aryl and heteroaryl iodides and copper(II) oxide nanoparticles as a recyclable catalyst. The reaction produced conjugated products 3a–h in high yields (Scheme 4; 3a–h; 70–85%) [42]. In the same year, another universal method for the arylation of 1,3,4-oxadiazoles was published by Tadikonda and co-workers describing the use of copper powder in polyethylene glycol (PEG-400) as the reaction medium for monosubstituted 1,3,4-oxadiazole and aryl iodides. This led to the production of conjugated derivatives in high yields (Scheme 4; 4a–h; 85–89%) [43]. The procedure was simple and did not require the use of external chelating ligands or co-catalysts. Another 2015 study, by Lei et al., described the arylation of 2-phenyl-1,3,4-oxadiazole using copper and palladium catalysts, an appropriate ligand (trifurylphosphine), and norbornene co-catalyst during a 24 h reaction at an elevated temperature (Scheme 4; 5; 85%) [44]. A year later, Yang et al. described the use of ultraviolet light in the direct arylation of 2-phenyl-1,3,4-oxadiazole (Scheme 4; 6a,b; 51–54%) [45]. The photoinduced reactions proceeded under the activation of CuI catalyst at room temperature. The same year, a study by Aurelio and co-workers showed that the combined use of a copper iodide catalyst and a 1,10-phenanthroline ligand (phen) led to the formation of 4-(5-(4-chlorophenyl)-1,3,4-oxadiazol-2-yl)benzonitrile in satisfactory yield (Scheme 4; 7; 75%) [46]. In 2019, Wang et al. reported the direct arylation of 2-phenyl-1,3,4-oxadiazole using iodobenzene. The authors showed that the use of an organic base, lithium tert-butoxide, allowed the use of a lower reaction temperature of 25 °C while maintaining a high reaction yield (Scheme 4; 8; 80%) [47]. In 2020, Chen and co-workers described a universal method for the preparation of extended 1,3,4-oxadiazole derivatives, using a palladium catalyst and a bifunctional (2-biphenyl)dicyclohexylphosphine ligand (CyJohnPhos) (Scheme 4; 9a–j; 28–79%) [48]. The methodology provided a direct approach to introducing an oxadiazole core at a distant position relative to the newly formed oxygen-containing ring. More recently in 2022, a study on the direct arylation of 2-phenyl-1,3,4-oxadiazole in mild conditions under blue LED illumination was published (Scheme 4; 10; 71%) [49]. The authors described an effective combination of a metal–polymer catalyst, composed of CuI and carbon nitride (PCN) for a variety of the C-H arylation reactions. The elaborated catalytic system allows arylation reactions in visible light at room temperature.
Scheme 4.
Direct arylation of monosubstituted 1,3,4-oxadiazoles with aryl iodides.
3.2. Reactions with Aryl Bromides
Other popular methods of arylation of the 1,3,4-oxadiazole ring include reactions using aromatic bromides (Scheme 5). However, in contrast to the previously described aryl iodide transformations, they require a palladium catalyst and a bifunctional ligand [50,51,52]. Among them is the method described in 2015 by Sharma and others, who prepared 2,5-diphenyl-1,3,4-oxadiazole from 2-phenyl-1,3,4-oxadiazole and bromobenzene using palladium(II) acetate and 4,5-bis(diphenylphosphino)-9,9-dimethylxanthene in excellent yield (Scheme 5; 11; 98%) [50]. Another example is the work of Bhujabal et al. describing an effective catalytic method for the direct arylation of 2-substituted 1,3,4-oxadiazoles with bromo(hetero)arenes using low loading of the Pd/PTABS catalyst system (Scheme 5; 14a–p; 57–92%) [51]. More recently, a range of N-heterocyclic carbene palladium(II) allyl complex precatalysts was prepared and applied in the direct C-H bond arylation of 2-aryl-1,3,4-oxadiazole with 4-bromotoluene (Scheme 5; 15a,b; 94%) [52]. An interesting approach for the synthesis of conjugated 1,3,4-oxadiazole arrangements is the possibility to conduct arylation reactions under microwave irradiation. In 2016, Sharma et al. developed a domino carbo-palladation/C-H activation approach for the synthesis of the 2,5-diphenyl-1,3,4-oxadiazole framework containing an amido functionality for subsequent transformations by trapping the alkyl/vinyl–palladium intermediate with 2-phenyl-1,3,4-oxadiazole (Scheme 5; 12a,b; 68–79%) [53]. Two years later, Khandagale and co-workers published the efficient and time-saving methodology for the preparation of 2-phenyl-1,3,4-oxadiazoles conjugated to porphyrins (Scheme 5; 13; 75%) [54]. The C–C coupling proceeded in the presence of a Pd/Cu catalytical system under the action of microwave irradiation.
Scheme 5.
Direct arylation of monosubstituted 1,3,4-oxadiazoles with aryl bromides.
3.3. Reactions with Aryl Fluorides
The use of other aromatic halogens such as fluorides has been described in the literature only twice in 2013, when two independent groups used polyfluorinated arenes (Scheme 6). Zou et al. reported copper-catalyzed reactions of 2-aryl-1,3,4-oxadiazoles with pentafluorobenzene in the presence of oxygen as an oxidant at room temperature. This method provided a series of pentafluorinated analogs in satisfactory yields (Scheme 6; 16a–i; 45–68%) [55]. In the other paper, Yu and co-workers discovered the first palladium-catalyzed coupling of 2-pyridyl-1,3,4-trifluorobenzene and 2-(4-methoxyphenyl)-1,3,4-oxadiazole via concurrent C-F/C-H activation. The transformation was conducted in the presence of 1,2-bis(diphenylphosphino)benzene and lithium tert-butoxide under relatively harsh conditions (Scheme 6; 17; 40%) [56].
Scheme 6.
Direct arylation of monosubstituted 1,3,4-oxadiazoles with aryl fluorides.
4. Direct Arylation of 1,3,4-Oxadiazoles with the Use of Organometallics
Another interesting solution to the synthesis of conjugated 1,3,4-oxadiazole derivatives is the use of organometallic compounds. In 2010, three approaches dedicated to this subject were published by independent research teams. Hachiya et al. described a procedure using organosilicon compounds for the direct arylation of 2-substituted 1,3,4-oxadiazole. The use of a nickel catalyst and a suitable bipyridinium ligand (bpy) at elevated temperature in a relatively short reaction time led to 2,5-disubstituted products in good yields (Scheme 7; 18a–d; 54–63%) [57]. The authors demonstrated an efficient nickel catalyst system for the direct Hiyama-type cross-coupling of 1,3,4-oxadiazoles with organosilanes through C-H bond cleavage. The elaborated methodology making use of the nickel catalytical system can constitute an alternative to palladium catalyzed reactions and broaden the spectrum of synthetically useful organosilicon moieties. Then, Liu and co-workers documented a method based on organo-boron compounds as effective reagents for the direct arylation of oxadiazoles. The substrate, 2-phenyl-1,3,4-oxadiazole, was combined with palladium and copper catalysts and subjected to long-term heating to form a new carbon–carbon bond in high yields (Scheme 7; 19a,b; 73–75%) [58]. This synthesis was the first example of Suzuki–Miyaura-type direct C-H arylation of azoles, in which azoles instead of their halides or pseudohalides were used in reactions with boronic acids. The palladium-copper catalyst allowed the direct arylation of the substituted 1,3,4-oxadiazoles with some organoboron acids in mild conditions. The same year, Hachiya also described a universal method for the synthesis of coupled systems by the direct arylation of 2-aryl-1,3,4-oxadiazoles with organoboron compounds. This reaction was based on a nickel catalyst with a suitable 2,2′-bipyridine ligand. In the presence of only oxygen and relatively short heating, this reaction led to the formation of arylation products in satisfactory yields (Scheme 7; 20a–h; 32–84%) [59]. In 2013, Salvanna and co-workers modified two previously published methods [58,59] and showed that the use of aromatic boronic acids, Pd(OAc)2 as a catalyst, Cu(OAc)2 as an oxidant, and an extensive 2,2′-bipyridine ligand (bip) led to products in high yields (Scheme 7; 21a–j; 83–92%) [60]. This methodology has been applied for the direct coupling of these 2-phenyl-1,3,4-oxadiazole derivatives with a range of arylboronic acids to prepare final compounds.
Scheme 7.
Direct arylation of 1,3,4-oxadiazole reactions using organometallic compounds.
5. Direct Arylation of 1,3,4-Oxadiazoles Using Compounds Bearing Different Functionalities
Other methods for the direct arylation of oxadiazole rings that have been described in the literature in the last decades are presented below. Among these methods, only a few can be defined as universal procedures because in most cases, researchers received only one 1,3,4-oxadiazole derivative (Scheme 8 [61,62,63,64,65,66,67,68,69,70] and Scheme 9 [71,72,73,74,75,76,77,78,79]). Thus, 2-phenyl-1,3,4-oxadiazole was used as the starting reagent in the synthesis of the following conjugated derivatives: 5,5′-diphenyl-2,2′-bi(1,3,4-oxadiazole) (Scheme 8, 22) [61], 2,5-diphenyl-1,3,4-oxadiazole (Scheme 8, 23) [62], 2-(5-methoxythiophen-2-yl)-5-phenyl-1,3,4-oxadiazole (Scheme 8, 24) [63], 2-(benzo[d]thiazol-2-yl)-5-phenyl-1,3,4-oxadiazole (Scheme 8, 26, 29) [65,68], 2-phenyl-5-(4-methylphenyl)-1,3,4-oxadiazole (Scheme 8, 28) [67], 3-(5-phenyl-1,3,4-oxadiazol-2-yl)-N-(quinolin-8-yl)thiophene-2-carboxamide (Scheme 8, 30) [69], and 2-(4-methoxyphenyl)-5-phenyl-1,3,4-oxadiazole (Scheme 8, 31) [70] via direct arylation It was also used to synthesize 2,5-di(naphthalen-1-yl)-1,3,4-oxadiazole (Scheme 9, 32) [71], 3-(5-phenyl-1,3,4-oxadiazol-2-yl)-N-(quinolin-8-yl)thiophene-2-carboxamide (Scheme 9, 34) [73], 2-phenyl-5-(3-(trifluoromethyl)phenyl)-1,3,4-oxadiazole (Scheme 9, 35) [74], 2,5-diphenyl-1,3,4-oxadiazole (Scheme 9, 36) [75], 2-(6-(4-methoxyphenyl)naphthalen-2-yl)-5-phenyl-1,3,4-oxadiazole derivative (Scheme 9, 39) [78], and also 2,5-diphenyl-1,3,4-oxadiazole (Scheme 9, 40) [79]. The most frequently used catalysts in the presented direct arylation reactions of 1,3,4-oxadiazole derivatives include salts of Pd, Cu, Co, and Ni. They are most often accompanied by phosphine-complexing ligands. The transformations are usually carried out at high temperatures (110–140 °C) in different polar or non-polar solvents for relatively long reaction times. In 2012, Wang and co-workers published a versatile method for the direct desulfitative arylation of 2-aryl-1,3,4-oxadiazoles at the C2 position using sodium benzenesulfinate. This procedure produced the corresponding 2,5-diaryl-1,3,4-oxadiazole derivatives in high yields (Scheme 8; 25a–e; 79–95%) [64]. In the same year, Li et al. reported the deamidative arylation of 1,3,4-oxadiazoles through a tandem decarbonylation and C-H functionalization sequence. The starting substrates were 2-aryl-1,3,4-oxadiazoles and N-methoxy-4-methylbenzamide, which were converted into 2,5-diphenyl-1,3,4-oxadiazole derivatives in satisfactory yields (Scheme 8; 27a–c; 77–85%) [66]. Another work by Wei et al. described the use of disulfides bearing a pyrimidine moiety in a C-C cross-coupling reaction with 2-aryl-1,3,4-oxadiazoles, which led to a series of ethyl 4-methyl-2-(5-phenyl-1,3,4-oxadiazol-2-yl)pyrimidine-5-carboxylates (Scheme 9; 33a–e; 68–75%) [72]. In 2019, Liu’s group used 1-aryltriazenes as the arylating source for the C–H functionalization of 2-aryl-1,3,4-oxadiazoles (Scheme 9; 37a–c; 77–84%) [76]. In 2021, Kajiwar and co-workers published a method for the biaryl coupling of the 2-aryl-1,3,4-oxadiazole moiety and bipyridine derivatives (Scheme 9; 38a–d; 50–66%) [77].
Scheme 8.
Direct conversation of 2-aryl-1,3,4-oxadiazoles into corresponding 2,5-diaryl-1,3,4-oxadiazoles from 2010 to 2014.
Scheme 9.
Direct conversation of 2-aryl-1,3,4-oxadiazoles into corresponding 2,5-diaryl-1,3,4-oxadiazoles 2015 to 2022.
6. Direct Arylation of 1,3,4-Oxadiazoles by Condensation
An interesting group of methods for the formation of 2,5-diarylsubstituted 1,3,4-oxadiazoles is direct condensation reactions involving the addition of a 1,3,4-oxadiazole core to an unsaturated arrangement and the subsequent elimination of low-molecular-weight by-products. In 2011, Qin and co-workers described the reactions of 2-phenyl-1,3,4-oxadiazole with phenols and thiophenols, which were substituted at the ortho position with a 2,2-dibromoethenyl group. The transformations were conducted in the presence of a copper iodide-1,10-phenanthroline catalyst system in a basic solution of lithium tert-butoxide. This procedure gave the products in satisfactory yields (Scheme 10; 41a,b; 62–73%) [80]. In 2011, Hichiya et al. described the use of phenols bearing an ethynyl substituent at the 2-position as effective reagents for the versatile synthesis of 2-(benzofuran-3-yl)-5-phenyl-1,3,4-oxadiazole derivatives (Scheme 10; 42a–j; 34–93%) [81]. The same year, Chen et al. published an effective procedure for the formation of benzofuran and benzopyrrole derivatives connected directly to a 1,3,4-oxadiazole ring. They used phenols and amines containing a 2,2-dibromoethenyl substituent at the ortho position (Scheme 10; 43a–g; 84–95%) [82]. A year later, Sharma et al. used non-aromatic rings containing a carbonyl group and two nitrogen atoms, which led to direct condensation at the 1,3,4-oxadiazole ring with simultaneous aromatization of the arrangement (Scheme 10; 44a–c; 65–75%) [83]. Reactions of differently substituted aromatic amines bearing an ethynyl substituent at the 2-position with 2-aryl-1,3,4-oxadiazoles were described in 2012 by Oda. The study reported the formation of a series of the substituted 2-(1H-indol-3-yl)-5-phenyl-1,3,4-oxadiazoles in moderate yields (Scheme 10; 45a–l; 18–76%) [84].
Scheme 10.
Direct arylation of 1,3,4-oxadiazoles by condensation.
7. Direct Cross-Coupling Reactions between 2-Bromo-1,3,4-Oxadiazoles and Organoboron Compounds
Cross-coupling reactions of halogen-containing 1,3,4-oxadiazoles with phenylboronic derivatives have appeared in the literature only twice. Both reactions are classified as Suzuki cross-coupling reactions. In 2004, Vachal and Toth described an effective method for the coupling of 2-bromo-5-phenyl-1,3,4-oxadiazole with derivatives of boronic acid in the presence of Pd(PPh3)4 and Na2CO3 as a base. The transformations gave 2,5-diaryl-1,3,4-oxadiazoles in high yields (Scheme 11; 46a,b; 85–93%) [85]. Another article from 2016 by Aurielo and co-workers presented the Suzuki cross-coupling of the pinacol ester of 4-aminophenylboronic acid to 2-bromo-5-(4-chlorophenyl)-1,3,4-oxadiazole derivatives. This was also performed under the action of Pd(PPh3)4 and Na2CO3. Despite the presence of two potential coupling centers (C(sp2)–Br, C(sp2)–Cl), the reaction occurred selectively at the C2 carbon atom in the 1,3,4-oxadiazole ring (Scheme 11; 47; 96%) [46].
Scheme 11.
Direct cross-coupling of 2-bromo-1,3,4-oxadiazoles with boron-containing derivatives.
8. Conclusions
Derivatives of 1,3,4-oxadiazole, a representative five-membered heterocycle, exhibit a broad spectrum of biological activities desirable in both medicine and agriculture. Systems of this type can be found in the structure of commercially available drugs or potential medications in the final phase of pharmacological testing. Additionally, due to their biocidal properties, these derivatives have found applications as plant protection products and pesticides. Because the 1,3,4-oxadiazole ring is often obtained as a precursor of target compounds with biological properties, there is still the need to discover new, more active compounds. One solution is to introduce certain substituents or to form new hybrid materials with other biologically active molecules. The presented arylation reactions of the 1,3,4-oxadiazole motif comprise an effective tool that may be applied to expand and diversify its structures and increase its bioavailability and effectiveness.
Author Contributions
Conceptualization, M.O. and A.K.; methodology, M.O. and A.K.; investigation, M.O.; writing—original draft preparation, M.O.; writing—review and editing, A.K. All authors have read and agreed to the published version of the manuscript.
Funding
This research received no external funding.
Institutional Review Board Statement
Not applicable.
Informed Consent Statement
Not applicable.
Data Availability Statement
Not applicable.
Conflicts of Interest
The authors declare no conflict of interest.
References
- Coates, R.M.; Denmark, S.E. Reagents, Auxiliaries, and Catalysts for C-C Bond Formation. In Handbook of Reagents for Organic Synthesis; Wiley: Hoboken, NJ, USA, 1999. [Google Scholar]
- Knochel, P.; Molander, G.A. Carbon–Carbon Bond Formation. In Comprehensive Organic Synthesis; Elsevier: Amsterdam, The Netherlands, 2014; Volume 3. [Google Scholar]
- Zhao, B.; Rogge, T.; Ackermann, L.; Shi, Z. Metal-Catalysed C–Het (F, O, S, N) and C–C Bond Arylation. Chem. Soc. Rev. 2021, 50, 8903–8953. [Google Scholar] [CrossRef] [PubMed]
- Rossi, R.; Bellina, F.; Lessi, M.; Manzini, C. Cross-Coupling of Heteroarenes by C-H Functionalization: Recent Progress towards Direct Arylation and Heteroarylation Reactions Involving Heteroarenes Containing One Heteroatom. Adv. Synth. Catal. 2014, 356, 17–117. [Google Scholar] [CrossRef]
- Yu, D.G.; Li, B.J.; Shi, Z.J. Challenges in C–C Bond Formation through Direct Transformations of Sp2 C–H Bonds. Tetrahedron 2012, 68, 5130–5136. [Google Scholar] [CrossRef]
- Sharma, A.; Vacchani, D.; Van Der Eycken, E. Developments in Direct C–H Arylation of (Hetero)Arenes under Microwave Irradiation. Chem. Eur. J. 2013, 19, 1158–1168. [Google Scholar] [CrossRef]
- Rossi, R.; Lessi, M.; Manzini, C.; Marianetti, G.; Bellina, F. Transition Metal-Free Direct C–H (Hetero)Arylation of Heteroarenes: A Sustainable Methodology to Access (Hetero)Aryl-Substituted Heteroarenes. Adv. Synth. Catal. 2015, 357, 3777–3814. [Google Scholar] [CrossRef]
- Grover, J.; Prakash, G.; Goswami, N.; Maiti, D. Traditional and Sustainable Approaches for the Construction of C–C Bonds by Harnessing C–H Arylation. Nat. Commun. 2022, 13, 1085. [Google Scholar] [CrossRef] [PubMed]
- García-Melchor, M.; Braga, A.A.C.; Lledós, A.; Ujaque, G.; Maseras, F. Computational Perspective on Pd-Catalyzed C–C Cross-Coupling Reaction Mechanisms. Acc. Chem. Res. 2013, 46, 2626–2634. [Google Scholar] [CrossRef] [PubMed]
- Peruzzini, M.; Gonsalvi, L. Phosphorus Compounds. Advanced Tools in Catalysis and Material Sciences. In Catalysis by Metal Complexes; Springer: Dordrecht, The Netherlands, 2011; Volume 37. [Google Scholar]
- Katritzky, A.R.; Ramsden, C.A.; Joule, J.A.; Zhdankin, V.V. Structure of Five-Membered Rings with Two or More Heteroatoms. In Handbook of Heterocyclic Chemistry; Elsevier: Oxford, UK, 2010; Volume 2, pp. 139–209. [Google Scholar]
- Scriven, E.; Ramsden, C.A. Heterocyclic Chemistry in the 21st Century: A Tribute to Alan Katritzky. In Advances in Heterocyclic Chemistry; Academic Press: Cambridge, MA, USA, 2017; Volume 121. [Google Scholar]
- Kavitha, S.; Gnanavel, S.; Kannan, K. Biological Aspects of 1,3,4-Oxadiazole Derivatives. Asian J. Pharm. Clin. Res. 2014, 7, 11–20. [Google Scholar]
- Pangal, A.; Shaikh, J.A. Various Pharmacological Aspects of 2, 5-Disubstituted 1,3,4-Oxadiazole Derivatives: A Review. Res. J. Chem. Sci. 2013, 3, 79–89. [Google Scholar]
- Arvind, K.S.; Vinay, K.S.; Deepmala, Y. Biological Activities of 2, 5-Disubstituted 1,3,4-Oxadiazoles. Int. J. Pharma Sci. Res. 2011, 2, 135–147. [Google Scholar]
- Vinay, K.S.; Arvind, K.S.; Deepmala, Y. Review Article on 1, 3, 4-Oxadiazole Derivaties and It’s Pharmacological Activities. Int. J. ChemTech Res. 2011, 3, 1362–1372. [Google Scholar]
- Patel, K.D.; Prajapati, S.M.; Panchal, S.N.; Patel, H.D. Review of Synthesis of 1,3,4-Oxadiazole Derivatives. Synth. Commun. 2014, 44, 1859–1875. [Google Scholar] [CrossRef]
- James, N.D.; Growcott, J.W. Zibotentan Endothelin ETA Receptor Antagonist Oncolytic. Drugs Future 2009, 34, 624–633. [Google Scholar] [CrossRef]
- Ouyang, X.; Piatnitski, E.L.; Pattaropong, V.; Chen, X.; He, H.Y.; Kiselyov, A.S.; Velankar, A.; Kawakami, J.; Labelle, M.; Smith, L.; et al. Oxadiazole Derivatives as a Novel Class of Antimitotic Agents: Synthesis, Inhibition of Tubulin Polymerization, and Activity in Tumor Cell Lines. Bioorg. Med. Chem. Lett. 2006, 16, 1191–1196. [Google Scholar] [CrossRef] [PubMed]
- Adelstein, G.W.; Yen, C.H.; Dajani, E.Z.; Bianchi, R.G. 3,3-Diphenyl-3-(2-Alkyl-1,3,4-Oxadiazol-5-Yl)Propylcycloalkylamines, a Novel Series of Antidiarrheal Agents. J. Med. Chem. 1976, 19, 1221–1225. [Google Scholar] [CrossRef] [PubMed]
- Singh, S.; Sharma, L.K.; Saraswat, A.; Siddiqui, I.R.; Kehri, H.K.; Pal Singh, R.K. Electrosynthesis and Screening of Novel 1,3,4-Oxadiazoles as Potent and Selective Antifungal Agents. RSC Adv. 2013, 3, 4237–4245. [Google Scholar] [CrossRef]
- Kalhor, M.; Dadras, A. Synthesis, Characterization, and Herbicidal Activities of New 1,3,4-Oxadiazoles, 1,3,4-Thiadiazoles, and 1,2,4-Triazoles Derivatives Bearing (R)-5-Chloro-3-Fluoro-2-Phenoxypyridine. J. Heterocycl. Chem. 2013, 50, 220–224. [Google Scholar] [CrossRef]
- Zheng, X.; Li, Z.; Wang, Y.; Chen, W.; Huang, Q.; Liu, C.; Song, G. Syntheses and Insecticidal Activities of Novel 2,5-Disubstituted 1,3,4-Oxadiazoles. J. Fluor. Chem. 2003, 123, 163–169. [Google Scholar] [CrossRef]
- Ma, S.; Jiang, W.; Li, Q.; Li, T.; Wu, W.; Bai, H.; Shi, B. Design, Synthesis, and Study of the Insecticidal Activity of Novel Steroidal 1,3,4-Oxadiazoles. J. Agric. Food Chem. 2021, 69, 11572–11581. [Google Scholar] [CrossRef]
- Shi, W.; Qian, X.; Zhang, R.; Song, G. Synthesis and Quantitative Structure—Activity Relationships of New 2,5-Disubstituted-1,3,4-Oxadiazoles. J. Agric. Food Chem. 2001, 49, 124–130. [Google Scholar] [CrossRef]
- Luczynski, M.; Kudelko, A. Synthesis and Biological Activity of 1,3,4-Oxadiazoles Used in Medicine and Agriculture. Appl. Sci. 2022, 12, 3756. [Google Scholar] [CrossRef]
- Girdziunaite, D.; Tschierske, C.; Novotna, E.; Kresse, H.; Hetzheim, A. New Mesogenic 1,3,4-Oxadiazole Derivatives. Liq. Cryst. 1991, 10, 397–407. [Google Scholar] [CrossRef]
- Tafer, A.; Benalia, M.; Djedid, M.; Bouchareb, H.; Al-dujaili, A.H. Synthesis of Four Liquid Crystals and Study of Alkyl Chain Effect on the Nematic Range for Application in GC. Mol. Cryst. Liq. Cryst. 2018, 665, 10–19. [Google Scholar] [CrossRef]
- Westphal, E.; Gallardo, H.; Sebastián, N.; Eremin, A.; Prehm, M.; Alaasar, M.; Tschierske, C. Liquid Crystalline Self-Assembly of 2,5-Diphenyl-1,3,4-Oxadiazole Based Bent-Core Molecules and the Influence of Carbosilane End-Groups. J. Mater. Chem. C 2019, 7, 3064–3081. [Google Scholar] [CrossRef]
- Han, J.; Wang, Z.-Z.; Wu, J.-R. Room-Temperature Fluorescent Liquid Crystalline Dimers Based on Discotic 1,3,4-Oxadizole. Liq. Cryst. 2018, 45, 1047–1054. [Google Scholar] [CrossRef]
- Bentiss, F.; Lagrenee, M.; Traisnel, M.; Hornez, J.C. Corrosion Inhibition of Mild Steel in 1 M Hydrochloric Acid by 2,5-Bis(2-Aminophenyl)-1,3,4-Oxadiazole. Corrosion 1999, 55, 968–976. [Google Scholar] [CrossRef]
- Sharma, V.S.; Shah, A.P.; Sharma, A.S.; Athar, M. Columnar Self-Assembly, Gelation and Electrochemical Behavior of Cone-Shaped Luminescent Supramolecular Calix[4]Arene LCs Based on Oxadiazole and Thiadiazole Derivatives. New J. Chem. 2019, 43, 1910–1925. [Google Scholar] [CrossRef]
- Paun, A.; Hadade, N.D.; Paraschivescu, C.C.; Matache, M. 1,3,4-Oxadiazoles as Luminescent Materials for Organic Light Emitting Diodes via Cross-Coupling Reactions. J. Mater. Chem. C 2016, 4, 8596–8610. [Google Scholar] [CrossRef]
- Najare, M.S.; Patil, M.K.; Mantur, S.; Nadaf, A.A.; Inamdar, S.R.; Khazi, I.A.M. Highly Conjugated D-π-A-π-D Form of Novel Benzo[b]Thiophene Substituted 1,3,4-oxadiazole Derivatives; Thermal, Optical Properties, Solvatochromism and DFT Studies. J. Mol. Liq. 2018, 272, 507–519. [Google Scholar] [CrossRef]
- Ye, H.; Wu, H.; Chen, L.; Ma, S.; Zhou, K.; Yan, G.; Shen, J.; Chen, D.; Su, S.-J. Synthesis, Properties, Calculations and Applications of Small Molecular Host Materials Containing Oxadiazole Units with Different Nitrogen and Oxygen Atom Orientations for Solution-Processable Blue Phosphorescent OLEDs. Electron. Mater. Lett. 2018, 14, 89–100. [Google Scholar] [CrossRef]
- Huang, M.; Jiang, B.; Xie, G.; Yang, C. Highly Efficient Solution-Processed Deep-Red Organic Light-Emitting Diodes Based on an Exciplex Host Composed of a Hole Transporter and a Bipolar Host. J. Phys. Chem. Lett. 2017, 8, 4967–4973. [Google Scholar] [CrossRef]
- Adachi, C.; Tsutsui, T.; Saito, S. Blue Light-Emitting Organic Electroluminescent Devices. Appl. Phys. Lett. 1990, 56, 799–801. [Google Scholar] [CrossRef] [Green Version]
- De Oliveira, C.S.; Lira, B.F.; Barbosa-Filho, J.M.; Lorenzo, J.G.F.; De Athayde-Filho, P.F. Synthetic Approaches and Pharmacological Activity of 1,3,4-Oxadiazoles: A Review of the Literature from 2000–2012. Molecules 2012, 17, 10192–10231. [Google Scholar] [CrossRef] [PubMed] [Green Version]
- Jakopin, Z.; Dolenc, M.S. Recent Advances in the Synthesis of 1,2,4- and 1,3,4-Oxadiazoles. Curr. Org. Chem. 2008, 12, 850–898. [Google Scholar] [CrossRef]
- Kawano, T.; Yoshizumi, T.; Hirano, K.; Satoh, T.; Miura, M. Copper-Mediated Direct Arylation of 1,3,4-Oxadiazoles and 1,2,4-Triazoles with Aryl Iodides. Org. Lett. 2009, 11, 3072–3075. [Google Scholar] [CrossRef]
- Kumar, D.; Pilania, M.; Arun, V.; Pooniya, S. C–H Arylation of Azaheterocycles: A Direct Ligand-Free and Cu-Catalyzed Approach Using Diaryliodonium Salts. Org. Biomol. Chem. 2014, 12, 6340–6344. [Google Scholar] [CrossRef] [PubMed]
- Salva Reddy, N.; Raghavendar Reddy, P.; Das, B. An Improved Synthesis of 2-Aryl- and 2-Alkenyl-1,3,4-Oxadiazoles by Using Copper(II) Oxide Nanoparticles as a Catalyst 1. Synthesis 2015, 47, 2831–2838. [Google Scholar] [CrossRef]
- Tadikonda, R.; Nakka, M.; Rayavarapu, S.; Kalidindi, S.P.K.; Vidavalur, S. Ligand-Free Copper(0) Catalyzed Direct C–H Arylation of 1,2,4-Triazoles and 1,3,4-Oxadiazoles with Aryl Iodides in PEG-400. Tetrahedron Lett. 2015, 56, 690–692. [Google Scholar] [CrossRef]
- Lei, C.; Jin, X.; Zhou, J.S. Palladium-Catalyzed Heteroarylation and Concomitant Ortho -Alkylation of Aryl Iodides. Angew. Chemie Int. Ed. 2015, 54, 13397–13400. [Google Scholar] [CrossRef]
- Yang, F.; Koeller, J.; Ackermann, L. Photoinduced Copper-Catalyzed C-H Arylation at Room Temperature. Angew. Chemie Int. Ed. 2016, 55, 4759–4762. [Google Scholar] [CrossRef] [PubMed]
- Aurelio, L.; Scullino, C.V.; Pitman, M.R.; Sexton, A.; Oliver, V.; Davies, L.; Rebello, R.J.; Furic, L.; Creek, D.J.; Pitson, S.M.; et al. From Sphingosine Kinase to Dihydroceramide Desaturase: A Structure–Activity Relationship (SAR) Study of the Enzyme Inhibitory and Anticancer Activity of 4-((4-(4-Chlorophenyl)Thiazol-2-Yl)Amino)Phenol (SKI-II). J. Med. Chem. 2016, 59, 965–984. [Google Scholar] [CrossRef] [PubMed]
- Wang, S.; Wang, K.; Kong, X.; Zhang, S.; Jiang, G.; Ji, F. DMF as Methine Source: Copper-Catalyzed Direct Annulation of Hydrazides to 1,3,4-Oxadiazoles. Adv. Synth. Catal. 2019, 361, 3986–3990. [Google Scholar] [CrossRef]
- Chen, S.; Ranjan, P.; Ramkumar, N.; Van Meervelt, L.; Van der Eycken, E.V.; Sharma, U.K. Ligand-Enabled Palladium-Catalyzed Through-Space C−H Bond Activation via a Carbopalladation/1,4-Pd Migration/C−H Functionalization Sequence. Chem. Eur. J. 2020, 26, 14075–14079. [Google Scholar] [CrossRef] [PubMed]
- Zhang, Z.; Xu, Y.; Zhang, Q.; Fang, S.; Sun, H.; Ou, W.; Su, C. Semi-Heterogeneous Photo-Cu-Dual-Catalytic Cross-Coupling Reactions Using Polymeric Carbon Nitrides. Sci. Bull. 2022, 67, 71–78. [Google Scholar] [CrossRef]
- Sharma, U.K.; Sharma, N.; Xu, J.; Song, G.; Van der Eycken, E.V. Pd-Catalyzed Csp 2 -H Functionalization of Heteroarenes via Isocyanide Insertion: Concise Synthesis of Di-(Hetero)Aryl Ketones and Di-(Hetero)Aryl Alkylamines. Chem. Eur. J. 2015, 21, 4908–4912. [Google Scholar] [CrossRef] [PubMed]
- Bhujabal, Y.B.; Vadagaonkar, K.S.; Kapdi, A.R. Pd/PTABS: Catalyst for Efficient C−H (Hetero)Arylation of 1,3,4-Oxadiazoles Using Bromo(Hetero)Arenes. Asian J. Org. Chem. 2019, 8, 289–295. [Google Scholar] [CrossRef]
- Yang, J. Mixed N-Heterocycles/N-Heterocyclic Carbene Palladium(II) Allyl Complexes as Precatalysts for Direct Arylation of Azoles with Aryl Bromides. Tetrahedron 2019, 75, 2182–2187. [Google Scholar] [CrossRef]
- Sharma, U.K.; Sharma, N.; Kumar, Y.; Singh, B.K.; Van der Eycken, E.V. Domino Carbopalladation/C-H Functionalization Sequence: An Expedient Synthesis of Bis-Heteroaryls through Transient Alkyl/Vinyl-Palladium Species Capture. Chem. Eur. J. 2016, 22, 481–485. [Google Scholar] [CrossRef] [PubMed]
- Khandagale, S.B.; Pilania, M.; Arun, V.; Kumar, D. Metal-Catalyzed Direct Heteroarylation of C–H (Meso) Bonds in Porphyrins: Facile Synthesis and Photophysical Properties of Novel Meso -Heteroaromatic Appended Porphyrins. Org. Biomol. Chem. 2018, 16, 2097–2104. [Google Scholar] [CrossRef] [PubMed]
- Zou, L.-H.; Mottweiler, J.; Priebbenow, D.L.; Wang, J.; Stubenrauch, J.A.; Bolm, C. Mild Copper-Mediated Direct Oxidative Cross-Coupling of 1,3,4-Oxadiazoles with Polyfluoroarenes by Using Dioxygen as Oxidant. Chem. Eur. J. 2013, 19, 3302–3305. [Google Scholar] [CrossRef] [PubMed]
- Yu, D.; Lu, L.; Shen, Q. Palladium-Catalyzed Coupling of Polyfluorinated Arenes with Heteroarenes via C–F/C–H Activation. Org. Lett. 2013, 15, 940–943. [Google Scholar] [CrossRef] [PubMed]
- Hachiya, H.; Hirano, K.; Satoh, T.; Miura, M. Nickel-Catalyzed Direct C-H Arylation and Alkenylation of Heteroarenes with Organosilicon Reagents. Angew. Chem. Int. Ed. 2010, 49, 2202–2205. [Google Scholar] [CrossRef]
- Liu, B.; Qin, X.; Li, K.; Li, X.; Guo, Q.; Lan, J.; You, J. A Palladium/Copper Bimetallic Catalytic System: Dramatic Improvement for Suzuki-Miyaura-Type Direct C-H Arylation of Azoles with Arylboronic Acids. Chem. Eur. J. 2010, 16, 11836–11839. [Google Scholar] [CrossRef] [PubMed]
- Hachiya, H.; Hirano, K.; Satoh, T.; Miura, M. Oxidative Nickel-Air Catalysis in C-H Arylation: Direct Cross-Coupling of Azoles with Arylboronic Acids Using Air as Sole Oxidant. ChemCatChem 2010, 2, 1403–1406. [Google Scholar] [CrossRef]
- Salvanna, N.; Reddy, G.C.; Das, B. Pd(OAc)2 Catalyzed C–H Activation of 1,3,4-Oxadiazoles and Their Direct Oxidative Coupling with Benzothiazoles and Aryl Boronic Acids Using Cu(OAc)2 as an Oxidant. Tetrahedron 2013, 69, 2220–2225. [Google Scholar] [CrossRef]
- Li, Y.; Jin, J.; Qian, W.; Bao, W. An Efficient and Convenient Cu(OAc)2/Air Mediated Oxidative Coupling of Azoles via C–H Activation. Org. Biomol. Chem. 2010, 8, 326–330. [Google Scholar] [CrossRef] [PubMed]
- Liu, B.; Guo, Q.; Cheng, Y.; Lan, J.; You, J. Palladium-Catalyzed Desulfitative C-H Arylation of Heteroarenes with Sodium Sulfinates. Chem. Eur. J. 2011, 17, 13415–13419. [Google Scholar] [CrossRef] [PubMed]
- Do, H.-Q.; Daugulis, O. A General Method for Copper-Catalyzed Arene Cross-Dimerization. J. Am. Chem. Soc. 2011, 133, 13577–13586. [Google Scholar] [CrossRef] [Green Version]
- Wang, M.; Li, D.; Zhou, W.; Wang, L. A Highly Efficient Palladium-Catalyzed Desulfitative Arylation of Azoles with Sodium Arylsulfinates. Tetrahedron 2012, 68, 1926–1930. [Google Scholar] [CrossRef]
- Mao, Z.; Wang, Z.; Xu, Z.; Huang, F.; Yu, Z.; Wang, R. Copper(II)-Mediated Dehydrogenative Cross-Coupling of Heteroarenes. Org. Lett. 2012, 14, 3854–3857. [Google Scholar] [CrossRef]
- Li, C.; Li, P.; Yang, J.; Wang, L. Palladium-Catalyzed Deamidative Arylation of Azoles with Arylamides through a Tandem Decarbonylation–C–H Functionalization. Chem. Commun. 2012, 48, 4214–4216. [Google Scholar] [CrossRef] [PubMed]
- Liu, B.; Li, J.; Song, F.; You, J. Palladium-Catalyzed Direct Arylation of N-Heteroarenes with Arylsulfonyl Hydrazides. Chem. Eur. J. 2012, 18, 10830–10833. [Google Scholar] [CrossRef] [PubMed]
- Qin, X.; Feng, B.; Dong, J.; Li, X.; Xue, Y.; Lan, J.; You, J. Copper(II)-Catalyzed Dehydrogenative Cross-Coupling between Two Azoles. J. Org. Chem. 2012, 77, 7677–7683. [Google Scholar] [CrossRef] [PubMed]
- Nishino, M.; Hirano, K.; Satoh, T.; Miura, M. Copper-Mediated C-H/C-H Biaryl Coupling of Benzoic Acid Derivatives and 1,3-Azoles. Angew. Chemie Int. Ed. 2013, 52, 4457–4461. [Google Scholar] [CrossRef] [PubMed]
- Ferguson, D.M.; Rudolph, S.R.; Kalyani, D. Palladium-Catalyzed Intra- and Intermolecular C–H Arylation Using Mesylates: Synthetic Scope and Mechanistic Studies. ACS Catal. 2014, 4, 2395–2401. [Google Scholar] [CrossRef] [PubMed]
- Zhu, F.; Tao, J.-L.; Wang, Z.-X. Palladium-Catalyzed C–H Arylation of (Benzo)Oxazoles or (Benzo)Thiazoles with Aryltrimethylammonium Triflates. Org. Lett. 2015, 17, 4926–4929. [Google Scholar] [CrossRef] [PubMed]
- Wei, K.-J.; Quan, Z.; Zhang, Z.; Da, Y.; Wang, X. Direct C–H Heteroarylation of Azoles with 1,2-Di(Pyrimidin-2-Yl)Disulfides through C–S Cleavage of Disulfides. RSC Adv. 2016, 6, 78059–78063. [Google Scholar] [CrossRef]
- Tan, G.; He, S.; Huang, X.; Liao, X.; Cheng, Y.; You, J. Cobalt-Catalyzed Oxidative C−H/C−H Cross-Coupling between Two Heteroarenes. Angew. Chemie Int. Ed. 2016, 55, 10414–10418. [Google Scholar] [CrossRef] [PubMed]
- Hanson, M.G.; Olson, N.M.; Yi, Z.; Wilson, G.; Kalyani, D. Nickel-Catalyzed Coupling of Azoles with Aromatic Nitriles. Org. Lett. 2017, 19, 4271–4274. [Google Scholar] [CrossRef] [PubMed]
- Zhou, P.X.; Shi, S.; Wang, J.; Zhang, Y.; Li, C.; Ge, C. Palladium/Copper-Catalyzed Decarbonylative Heteroarylation of Amides via C–N Bond Activation. Org. Chem. Front. 2019, 6, 1942–1947. [Google Scholar] [CrossRef]
- Liu, C.; Wang, Z.; Wang, L.; Li, P.; Zhang, Y. Palladium-Catalyzed Direct C2-Arylation of Azoles with Aromatic Triazenes. Org. Biomol. Chem. 2019, 17, 9209–9216. [Google Scholar] [CrossRef] [PubMed]
- Kajiwara, R.; Xu, S.; Hirano, K.; Miura, M. Bipyridine-Type Bidentate Auxiliary-Enabled Copper-Mediated C-H/C-H Biaryl Coupling of Phenols and 1,3-Azoles. Org. Lett. 2021, 23, 5405–5409. [Google Scholar] [CrossRef] [PubMed]
- Liu, C.; Ji, C.L.; Zhou, T.; Hong, X.; Szostak, M. Bimetallic Cooperative Catalysis for Decarbonylative Heteroarylation of Carboxylic Acids via C-O/C-H Coupling. Angew. Chemie Int. Ed. 2021, 60, 10690–10699. [Google Scholar] [CrossRef] [PubMed]
- Tian, Z.Y.; Lin, Z.H.; Zhang, C.P. Pd/Cu-Catalyzed C-H/C-H Cross Coupling of (Hetero)Arenes with Azoles through Arylsulfonium Intermediates. Org. Lett. 2021, 23, 4400–4405. [Google Scholar] [CrossRef] [PubMed]
- Qin, X.; Cong, X.; Zhao, D.; You, J.; Lan, J. One-Pot Synthesis of Benzofused Heteroaryl Azoles via Tandem C-Heteroatom Coupling/C–H Activation of Azoles. Chem. Commun. 2011, 47, 5611–5613. [Google Scholar] [CrossRef] [PubMed] [Green Version]
- Hachiya, H.; Hirano, K.; Satoh, T.; Miura, M. Copper-Mediated Annulative Direct Coupling of o -Alkynylphenols with Oxadiazoles: A Dehydrogenative Cascade Construction of Biheteroaryls. Org. Lett. 2011, 13, 3076–3079. [Google Scholar] [CrossRef] [PubMed]
- Chen, W.; Wang, M.; Li, P.; Wang, L. Highly Efficient Copper/Palladium-Catalyzed Tandem Ullman Reaction/Arylation of Azoles via C–H Activation: Synthesis of Benzofuranyl and Indolyl Azoles from 2-(Gem-Dibromovinyl)Phenols(Anilines) with Azoles. Tetrahedron 2011, 67, 5913–5919. [Google Scholar] [CrossRef]
- Sharma, A.; Vachhani, D.; Van der Eycken, E. Direct Heteroarylation of Tautomerizable Heterocycles into Unsymmetrical and Symmetrical Biheterocycles via Pd/Cu-Catalyzed Phosphonium Coupling. Org. Lett. 2012, 14, 1854–1857. [Google Scholar] [CrossRef] [PubMed]
- Oda, Y.; Matsuyama, N.; Hirano, K.; Satoh, T.; Miura, M. Dehydrogenative Synthesis of C3-Azolylindoles via Copper-Promoted Annulative Direct Coupling of o-Alkynylanilines. Synthesis 2012, 44, 1515–1520. [Google Scholar] [CrossRef]
- Vachal, P.; Toth, L.M. General Facile Synthesis of 2,5-Diarylheteropentalenes. Tetrahedron Lett. 2004, 45, 7157–7161. [Google Scholar] [CrossRef]
Publisher’s Note: MDPI stays neutral with regard to jurisdictional claims in published maps and institutional affiliations. |
© 2022 by the authors. Licensee MDPI, Basel, Switzerland. This article is an open access article distributed under the terms and conditions of the Creative Commons Attribution (CC BY) license (https://creativecommons.org/licenses/by/4.0/).











