Abstract
Limitations in the use of public spaces have impacted the frequency and duration of movement behaviours (physical activity, sedentary behaviour, sleep) and outdoor activities of children and adolescents. Whether pandemic-induced changes in movement behaviours are related to the health-related quality of life (HRQoL) of children and adolescents is unknown. The aim of the current study was to examine the association between meeting 24 h movement guidelines and HRQoL during the COVID-19 lockdown among children and adolescents. Data from 1099 3–17-year-old children and adolescents from Spain and Brazil were analysed. An online questionnaire was used to collect parent-reported information concerning physical activity, screen time, and sleep duration. For the assessment of HRQoL, the EQ-5D-Y proxy version was used. The highest prevalence of reported problems was related to the ‘worries/sadness/unhappiness’ factor, where 36.3% of participants declared to have at least ‘some problems’. Participants meeting the 24 h guidelines had a higher HRQoL score compared with those who did not (91.9 ± 2.5 vs. 84.3 ± 0.5, respectively; p < 0.05). The current study shows that children and adolescents that met 24 h movement guidelines presented a higher HRQoL during the COVID-19 lockdown, providing support for the promotion of healthy movement behaviours—especially during a pandemic.
1. Introduction
In March 2020, the World Health Organization (WHO) declared the outbreak of Coronavirus Disease (COVID-19) a global pandemic affecting more than 130 countries [1]. To slow the spread and reduce transmission rates, governments around the world imposed various measures—requiring the closure of many institutions, programmes, facilities, and other community spaces—and imposed limitations on the public use of outdoor community spaces. These restrictions caused a decrease in the frequency and duration of physical activity and outdoor activity, while recreational screen use increased significantly [2]. Additionally, habits related to sleep were affected, with changes in the duration, timing, and quality of sleep [2]. The widespread impact on health-related behaviours has caused a decline in adherence to the 24 h movement guidelines [2].
The 24 h movement guidelines for preschoolers, children, and adolescents shift the focus from individual activity components for preschoolers, children, and adolescents’ health promotion by integrating all 24 h movement behaviours. In accordance to these guidelines, throughout the day (24 h), preschoolers should do at least 180 min of a variety of types of physical activity (PA; of which at least 60 min/day is moderate-to-vigorous PA), and both children and adolescents should do an average of 60 min/day of moderate to vigorous PA, have <1 h/day(for preschoolers) or ≤2 h/day (for both children and adolescents) of recreational screen time (ST), and get 10 to 13 h (age range 3–4 years old), 9 to 11 h (age range 5–13 years old), or 8 to 10 h (age range 14–17 years old) of sleep per day [3]. Meeting overall 24 h movement guidelines has been reported as being associated with better overall health [4,5,6,7]. A global systematic review [8] reported that only 7.2% of children and adolescents follow the mentioned 24 h recommendations. This already-low prevalence seems to have been further exacerbated by the COVID-19 pandemic, as indicated in a recent scoping review [2]. The review concluded that the COVID-19 pandemic was associated with adverse changes in the quantity and nature of physical activity, sedentary behaviour, and sleep among children and adolescents [2].
Health-related quality of life (HRQoL) is known as the level of well-being reported through the assessment of different dimensions of life, reflecting the influence that these dimensions have on health status; characterised as subjective, multidimensional, and changing over the years [9]. HRQoL is recognised as a relevant construct with multiple dimensions of a youth’s physical, mental, emotional, and social functioning, and can be considered as an indicator of general health [10]. The assessment of HRQoL in children and adolescents is crucial, since those with low HRQoL in childhood are less likely to follow a healthy trajectory later in life [11].
To our knowledge, few studies have examined the association between complying with the 24 h movement guidelines and HRQoL among children and adolescents, and all were conducted prior to the COVID-19 pandemic [4,5,12]. During the COVID-19 pandemic, Nobari et al. (2021) [13] developed a systematic review indicating that the pandemic has had negative consequences on the HRQoL of children and/or adolescents. However, there is no research examining the associations between 24 h movement guidelines and HRQoL throughout the COVID-19 pandemic. Thus, the present study aimed to examine the association between compliance with all the 24 h movement guidelines and HRQoL during the COVID-19 pandemic in children and adolescents.
2. Materials and Methods
Parents/guardians of children and adolescents aged 3–17 years from Spain and Brazil were invited to respond to an online survey that required around 15 min to be completed. Informed consent was required before completing the survey. A snowball sampling strategy was used to recruit participants. Data collection lasted 15 days in both countries (in Spain from 29 March 2020 and in Brazil from 14 April 2020). The initial sample was composed of 1263 respondents; however, 143 participants were discarded because they were out of the age range. Additionally, 21 participants presented missing values and were removed. The final analysis included data from 1099 respondents. The Ethical Committee of the Universidade Tecnológica do Paraná (UTFPR; CAAE: 32023220.8.0000.5547; approval number: 4.275.232) and the Universidad Católica de Murcia (UCAM; code: CE112001) approved the study.
Respondents were requested to complete the survey if they had experienced COVID-19-related restrictions during the previous week (lockdown). The first section of the survey gathered general data on the restrictions. Parents’ nationality and socioeconomic status (assessed with the Family Affluence Scale—FAS-III) [14], educational level, age, and sex of their children was requested. Anthropometric data (height in centimetres and weight in kilograms) were reported by parents for their children. The WHO criteria were used to analyse the z-score for BMI and the classification of overweight/obesity [15,16].
The following question was used to assess PA: “During the COVID-19 lockdown, how many days was your child physically active for a total of at least 60 min?”. This question has been reported to have good reliability and validity for PA assessment [17]. Respondents could provide answers ranging from 0 to 7 days per week, and the different options were presented in 1-day increments. Compliance with the PA recommendations was defined as 60 min of moderate-to-vigorous PA per day, 7 days per week.
Respondents were asked to indicate the time that their child spent in different sedentary screen-based pursuits to assess screen time. The following questions were asked in relation to the COVID-19 pandemic [18]: (a) “How many hours a day, during the COVID-19 lockdown, does your child spend watching TV, videos (including YouTube or similar services), DVDs, and other entertainment on a screen?”; (b) “How many hours a day, during the COVID-19 lockdown, does your child spend playing games on a computer, games console, tablet, smartphone or other electronic device (not including moving or fitness games)?”; and (c) “How many hours a day, during the COVID-19 lockdown, does your child usually spend using electronic devices such as computers, tablets or smartphones for other purposes (e.g., homework, emailing, tweeting, Facebook, chatting, surfing the internet)?”. The three answers were summed considering a week distribution of 5 weekdays and 2 weekend days. Screen time was classified as follows: pre-schoolers (“not meeting ST guidelines”: >1 h/d; “meeting the screen time guidelines”: ≤1 h/d); and children/adolescents (“not meeting ST guidelines”: >2 h/d; “meeting the ST guidelines”: ≤2 h/d). The WHO guideline recommendations for ST for children under 5 years old were used to categorise the variable [19], and as the WHO guidelines do not include specific cut-off points for children and adolescents, Canadian guidelines for ST were considered [3].
Time spent sleeping during the COVID-19 pandemic was assessed with the following question: “What time does your child usually go to bed?” and “What time does your child usually get up?”. Both questions were asked differentiating weekdays and weekend days [20]. The following equation was used to calculate the average daily sleep duration: ((average nocturnal sleep duration on weekdays × 5) + (average nocturnal sleep duration on weekends × 2))/7. Responses within the range of 10–13 h for 3–4-year-olds, 9–11 h for 5–13-year-olds, and 8–10 h for 14–17-year-olds were categorised as “meeting sleep guidelines,” and participants out of these ranges were classified as “not meeting sleep guidelines”, based on WHO international guidelines for early-years [19] and child and adolescent 24 h movement behaviour sleep recommendations [3].
The HRQoL was assessed with the EQ-5D-Y (proxy version 1). This instrument has been developed to assess HRQoL in children and adolescents [21]. The five different dimensions (‘mobility’, ‘looking after myself’, ‘doing usual activities’, ‘having pain or discomfort’, and ‘feeling worried, sad or unhappy’) were assessed with three levels of severity (‘no problems’, ‘some problems’, and ‘a lot of problems’). A three-digit code was used to represent health profiles (each digit represented the level of severity in each dimension). Furthermore, the EQ-5D-Y instrument contained a visual analogue scale, with a score ranging from zero (worst) to 100 (best). Evidence concerning the reliability and validity of this instrument has been previously published [22]. For our purpose, the different dimensions of HRQoL were categorized into: 0—‘no problems’; 1—‘some problems’; and 2—‘a lot of problems’.
Diet was assessed as the adherence to the Mediterranean Diet, and for this purpose, the Mediterranean Diet Quality Index (KIDMED) questionnaire was used [23].
The following variables were considered as covariates in the model: age, sex (male/female), nationality (Spain/Brazil), breadwinner’s educational level (no university studies or university studies), socioeconomic status (SES; low SES, medium SES or high SES) [14], BMI (z-score) [15,16], and Mediterranean Diet [23]. These covariates were identified as correlates in the scientific literature [24]. Moreover, the association between the covariates and the outcomes is shown in Table S1.
The results of the categorical variables are presented as absolute and relative frequencies and mean and standard deviation were provided for continuous variables. An analysis of covariance (ANCOVA) was performed to assess mean differences in HRQoL scores according to the meeting of all three 24 h movement guidelines. As no interaction was shown between a higher prevalence of meeting the 24 h movement guidelines (i.e., for each of the behaviours: PA, SB, and sleep) and sex in relation to HRQoL (p = 0.724), all the analyses were conducted including males and females together. A binary logistic regression analysis was performed to verify associations between meeting all three 24 h movement guidelines and the different categorical dimensions of HRQoL. The software Statistical Package for Social Sciences (SPSS, IBM Corp., Armonk, NY, USA) was used to perform the analysis. Statistical significance was set at p < 0.05.
3. Results
Descriptive data of the study participants are shown in Table 1. Participants were aged 11.5 ± 4.5 years, on average, with a high representation of adolescents (46.3%). The proportion of males was higher than females (52.4% vs. 47.6%). The prevalence of excess weight (overweight/obesity) was 42.9%. Only 3.5% of the participants met all the three 24 h movement guidelines. The HRQoL mean score was 84.5 ± 15.9.
Table 1.
Participant characteristics (n = 1099).
Figure 1 shows the prevalence of proxy-reported problems in relation to the five HRQoL dimensions during the COVID-19 pandemic. Most of the problems were in the dimension linked with worries/sadness/unhappy feelings, with participants declaring ‘some problems’ (36.3%) or ‘a lot of problems’ (3.6%).
Figure 1.
Distribution of proxy-reported problems in relation to the five different HRQoL dimensions in the analysed sample.
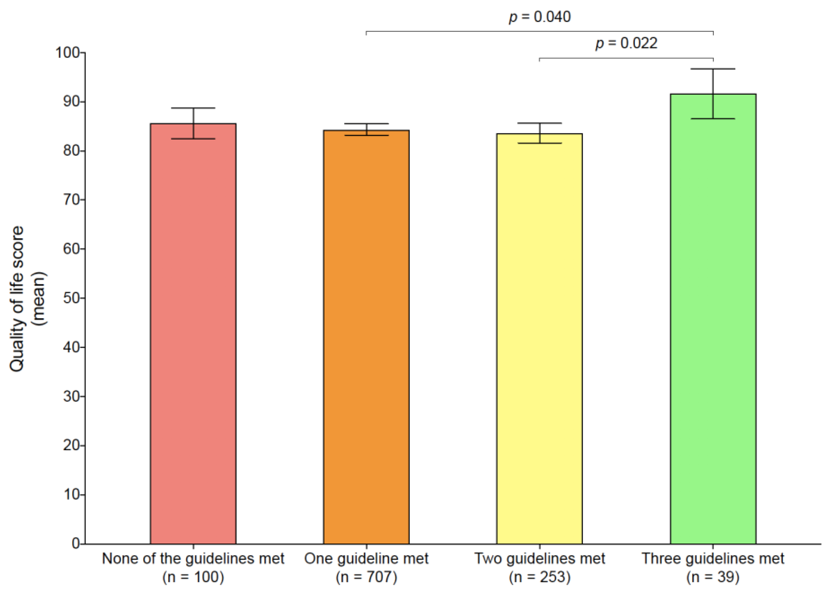
Figure 2 depicts the mean differences in HRQoL score in relation to meeting none, one, two, or all three 24 h movement guidelines using ANCOVA. Those participants who met the 24 h guidelines showed a higher HRQoL mean score (M = 91.9; SE = 2.5) than their counterparts that did not meet 24 h movement guidelines (M = 84.3; SE = 0.5; p = 0.004). Similarly, information concerning the meeting of different 24 h movement guidelines according to nationality or age group are presented in Figures S1 and S2, respectively.
Figure 2.
Mean differences in the HRQoL scale according to the meeting of different 24 h movement guidelines. Adjusted for age, sex, nationality, breadwinner’s educational level, socioeconomic status, body mass index (z-score), and Mediterranean diet.
The association between meeting none, one, two, or three 24 h guidelines and HRQoL dimensions is shown in Figure 3. Binary logistic regression showed that meeting none (OR = 2.67, CI95% = 1.20–5.95), one (OR = 2.80, CI95% = 1.27–6.16), or two (OR = 2.47, CI95% = 1.03–5.93) guidelines presented with a higher probability of feeling worried, sad, or unhappy during the COVID-19 lockdown in comparison with those meeting all three 24 h guidelines. In another sense, mobility was not affected by meeting none, one, two, or all three 24 h guidelines.
Figure 3.
Association between meeting 24 h movement guidelines and problems in different dimensions of HRQoL (Odds Ratio and Confidence Intervals). (A) Mobility; (B) Looking after myself; (C) Having pain or discomfort; (D) Doing usual activities; (E) Feeling worried, sad or unhappy. Adjusted for age, sex, nationality, breadwinner’s educational level, socioeconomic status, body mass index (z-score), and Mediterranean Diet. * Note: The mobility dimension did not present a high enough number of cases with problems; therefore, the analysis was not applicable (N/A).
4. Discussion
To our knowledge, this study represents the first analysis of associations between meeting 24 h movement guidelines and HRQoL in a young population during the COVID-19 pandemic. Our results show a higher HRQoL score in those who met the 24 h movement guidelines in comparison to those who did not. Not meeting the 24 h movement guidelines was associated with worries, sadness, or unhappy feelings. The overall findings of our study are in accordance with the pre-pandemic results based on a sample composed from 12 countries [12], where children meeting all the three 24 h movement guidelines had greater HRQoL outcomes than children not meeting these guidelines. This observation was also shown by Khan et al. (2021) [4] in their study of Australian adolescents. However, neither of these studies were performed during the COVID-19 pandemic, which could affect the results. Additionally, one pre-pandemic longitudinal study of Australian children showed that those who met with the 24 h movement guidelines scored higher in HRQoL than those who did not [5].
A recent systematic review concluded that the COVID-19 pandemic has had a negative effect on the HRQoL of children and/or adolescents [13]. In addition, Xiong et al. [5] pointed out the possible HRQoL consequences for children and adolescents regarding restrictions of physical activities during the COVID-19 pandemic. However, no previous studies have examined this association. In this regard, our results that meeting the 24 h movement guidelines (despite COVID-19-related limitations) was linked to higher HRQoL and lower feelings of worries/sadness/unhappiness are novel. One possible explanation for the positive association with meeting 24 h guidelines would be their related benefits in building social connectedness, reducing screen time, enhancing self-esteem, and increasing sleep quality, which affect psychosocial health [25]. Another possible reason could be related to internet gaming disorders (as a proxy of sedentary behaviour), which directly influenced insomnia and quality of life among participants during the COVID-19 pandemic [26]. However, gaming was not specifically assessed in this study. In addition, it is possible that parenting style and home conditions influenced HRQoL [27]. Additionally, the sense of connectedness to caregivers has been pointed out by children as a moderate-to-strong predictor of negative feelings (e.g., happiness) during the COVID-19 pandemic [28]. However, parenting style, home conditions, and a sense of connectedness to caregivers were not assessed in our study.
Another finding of our study was that meeting the 24 h movement guidelines was inversely related to worries/sadness/unhappy feelings. Supporting these findings, Brown et al. (2021) [29] showed that the healthiest movement behaviour profile was consistently associated with better mental wellbeing among Canadian adolescents, and López-Gil et al. (2022) [30] showed similar results in Spanish children and adolescents for psychosocial behavioural problems. There are some reasons that could explain these results; for instance, meeting 24 h movement guidelines and social and physical environmental conditions (e.g., being physically active or having access to different spaces) have been linked to better subjective wellbeing consequences during the COVID-19 pandemic [31]. Another possible explanation could be related to children with fewer hours of sleep, who also consume more screen time due to the influence of new technologies (e.g., smartphones), which can cause negative outcomes (e.g., difficulty sleeping, fatigue, or headache) [32,33].
Strengths and Limitations
This study is the first examining the relationship between meeting the 24 h movement guidelines and HRQoL during the COVID-19 pandemic. Accordingly, we provide insights into the importance of promoting healthy behaviours among children and adolescents that could increase or preserve HRQoL—especially during the COVID-19 pandemic. Moreover, this study contains a large sample of pre-schoolers, children, and adolescents from Spain and Brazil, with an analysis on the meeting of these 24 h movement guidelines and HRQoL. However, this study did not capture the type of housing (e.g., with a backyard or apartments), rural/urban environments, gaming, or parenting styles, which could influence the level of movement behaviours. Additionally, the questionnaire did not ask for the physical activity or sports background or habits that participants were previously engaged in; therefore, it does not allow for a comparison of the situation during the COVID-19 lockdown with the period before. Besides this, BMI was based on self-reported data, which could represent inaccurate information.
5. Conclusions
Our results show that the participants enrolled in the current study who met the 24 h movement guidelines presented with higher HRQoL scores during the COVID-19 pandemic. Moreover, adherence to all the 24 h movement guidelines was inversely related to worries/sadness/unhappy feelings during the first part of the COVID-19 pandemic. This finding is clinically significant, since HRQoL seems to have worsened during the COVID-19 pandemic and the promotion of adhering to the 24 h movement guidelines could help to inhibit this adverse influence on children and adolescents in Spain and Brazil. However, further studies with other research designs (e.g., longitudinal, interventions) should be carried out to prove cause-and-effect relationships.
Supplementary Materials
The following supporting information can be downloaded at: https://www.mdpi.com/article/10.3390/app12168056/s1, Table S1: Bivariate correlations between all the covariates analysed and health-related quality of life; Figure S1: Mean differences in health-related quality of life (visual analogue scale) according to meeting none, one, two, or three 24 h movement guidelines, by country. (A) Spain; (B) Brazil. Adjusted for age, sex, breadwinner’s educational level, socioeconomic status, body mass index (z-score), and Mediterranean Diet; Figure S2: Mean differences in health-related quality of life (visual analogue scale) according to meeting none, one, two, or three 24 h movement guidelines by age. (A) Pre-schoolers; (B) Children; (C) Adolescents. Adjusted for sex, nationality, breadwinner’s educational level, socioeconomic status, body mass index (z-score), and Mediterranean Diet.
Author Contributions
Conceptualization, J.F.L.-G. and J.B.-S.; methodology, J.F.L.-G. and J.B.-S.; validation, M.Á.T.-S., P.J.T.-L. and J.B.-S.; formal analysis, J.F.L.-G.; investigation, J.F.L.-G. and J.B.-S.; resources, J.F.L.-G. and J.B.-S.; data curation, J.F.L.-G.; writing—original draft preparation, J.F.L.-G. and J.B.-S.; writing—review and editing, J.F.L.-G., M.S.T., M.Á.T.-S., P.J.T.-L. and J.B.-S.; visualization, J.F.L.-G. and J.B.-S.; supervision, M.S.T.; project administration, J.F.L.-G. and J.B.-S.; funding acquisition, J.F.L.-G. and P.J.T.-L. All authors have read and agreed to the published version of the manuscript.
Funding
This research received no external funding.
Institutional Review Board Statement
The study was conducted in accordance with the Declaration of Helsinki and approved by the Institutional Ethics Committee of the Universidade Tecnológica do Paraná (UTFPR; protocol code 4.275.232) and the Universidad Católica de Murcia (UCAM; protocol code CE112001).
Informed Consent Statement
Informed consent was obtained from all subjects involved in the study.
Data Availability Statement
Not applicable.
Acknowledgments
The authors would like to acknowledge the help from Hallyne Bergamini Silva Caetano, Cristiano Israel Caetano, Rafael Gomes Sentone, Anderson Caetano Paulo, Antonio García-Hermoso, Edina Maria de Camargo, Cezane P. Reuter, Anelise R. Gaya, and Noelia González Gálvez, and the contribution of the Ayuntamiento de Archena (Spain).
Conflicts of Interest
The authors declare no conflict of interest.
References
- World Health Organization. Coronavirus Disease 2019 (COVID-19): Situation Report-99; WHO: Geneva, Switzerland, 2020.
- Paterson, D.C.; Ramage, K.; Moore, S.A.; Riazi, N.; Tremblay, M.S.; Faulkner, G. Exploring the Impact of COVID-19 on the Movement Behaviors of Children and Youth: A Scoping Review of Evidence after the First Year. J. Sport Health Sci. 2021, 10, 675–689. [Google Scholar] [CrossRef]
- Tremblay, M.S.; Carson, V.; Chaput, J.-P.P.; Connor Gorber, S.; Dinh, T.; Duggan, M.; Faulkner, G.; Gray, C.E.; Grube, R.; Janson, K.; et al. Canadian 24-Hour Movement Guidelines for Children and Youth: An Integration of Physical Activity, Sedentary Behaviour, and Sleep. Appl. Physiol. Nutr. Metab. 2016, 41, S311–S327. [Google Scholar] [CrossRef]
- Khan, A.; Lee, E.-Y.; Tremblay, M.S. Meeting 24-h Movement Guidelines and Associations with Health Related Quality of Life of Australian Adolescents. J. Sci. Med. Sport 2021, 24, 468–473. [Google Scholar] [CrossRef] [PubMed]
- Xiong, X.; Dalziel, K.; Carvalho, N.; Xu, R.; Huang, L. Association between 24-Hour Movement Behaviors and Health-Related Quality of Life in Children. Qual. Life Res. 2022, 31, 231–240. [Google Scholar] [CrossRef] [PubMed]
- Vaquero-Solís, M.; Tapia-Serrano, M.A.; Hortigüela-Alcalá, D.; Jacob-Sierra, M.; Sánchez-Miguel, P.A. Health Promotion through Movement Behaviors and Its Relationship with Quality of Life in Spanish High School Adolescents: A Predictive Study. Int. J. Environ. Res. Public Health 2021, 18, 7550. [Google Scholar] [CrossRef]
- Carson, V.; Chaput, J.-P.; Janssen, I.; Tremblay, M.S. Health Associations with Meeting New 24-Hour Movement Guidelines for Canadian Children and Youth. Prev. Med. 2017, 95, 7–13. [Google Scholar] [CrossRef] [PubMed]
- Tapia-Serrano, M.A.; Sevil-Serrano, J.; Sánchez-Miguel, P.A.; López-Gil, J.F.; Tremblay, M.S.; García-Hermoso, A. Prevalence of Meeting 24-Hour Movement Guidelines from Pre-School to Adolescence: A Systematic Review and Meta-Analysis Including 387,437 Participants and 23 Countries. J. Sport Health Sci. 2022, 11, 427–437. [Google Scholar] [CrossRef] [PubMed]
- The WHOQOL Group. The World Health Organization Quality of Life Assessment (WHOQOL): Position Paper from the World Health Organization. Soc. Sci. Med. 1995, 41, 1403–1409. [Google Scholar] [CrossRef]
- Varni, J.W.; Seid, M.; Kurtin, P.S. PedsQLTM 4.0: Reliability and Validity of the Pediatric Quality of Life InventoryTM Version 4.0 Generic Core Scales in Healthy and Patient Populations. Med. Care 2001, 39, 800–812. [Google Scholar] [CrossRef] [PubMed]
- Riley, A.W.; Spiel, G.; Coghill, D.; Döpfner, M.; Falissard, B.; Lorenzo, M.J.; Preuss, U.; Ralston, S.J.; ADORE Study Group. Factors Related to Health-Related Quality of Life (HRQoL) among Children with ADHD in Europe at Entry into Treatment. Eur. Child Adolesc. Psychiatry 2006, 15, i38–i45. [Google Scholar] [CrossRef]
- Sampasa-Kanyinga, H.; Standage, M.; Tremblay, M.S.; Katzmarzyk, P.T.; Hu, G.; Kuriyan, R.; Maher, C.; Maia, J.; Olds, T.; Sarmiento, O.L.; et al. Associations between Meeting Combinations of 24-h Movement Guidelines and Health-Related Quality of Life in Children from 12 Countries. Public Health 2017, 153, 16–24. [Google Scholar] [CrossRef]
- Nobari, H.; Fashi, M.; Eskandari, A.; Villafaina, S.; Murillo-Garcia, Á.; Pérez-Gómez, J. Effect of COVID-19 on Health-Related Quality of Life in Adolescents and Children: A Systematic Review. Int. J. Environ. Res. Public Health 2021, 18, 4563. [Google Scholar] [CrossRef] [PubMed]
- Currie, C.; Molcho, M.; Boyce, W.; Holstein, B.; Torsheim, T.; Richter, M. Researching Health Inequalities in Adolescents: The Development of the Health Behaviour in School-Aged Children (HBSC) Family Affluence Scale. Soc. Sci. Med. 2008, 66, 1429–1436. [Google Scholar] [CrossRef]
- World Health Organization. WHO Child Growth Standards: Length/Height-for-Age, Weight-for-Age, Weight-for-Length, Weight-for-Height and Body Mass Index-for-Age; Methods and Development; De Onis, M., Ed.; WHO Press: Geneva, Switzerland, 2006; ISBN 978-92-4-154693-5.
- Onis, M.; Onyango, A.W.; Borghi, E.; Siyam, A.; Nishida, C.; Siekmann, J. Development of a WHO Growth Reference for School-Aged Children and Adolescents. Bull. World Health Organ. 2007, 85, 660–667. [Google Scholar] [CrossRef]
- Prochaska, J.J.; Sallis, J.F.; Long, B. A Physical Activity Screening Measure for Use With Adolescents in Primary Care. Arch. Pediatr. Adolesc. Med. 2001, 155, 554. [Google Scholar] [CrossRef]
- Vicente-Rodríguez, G.; Rey-López, J.P.; Martín-Matillas, M.; Moreno, L.A.; Wärnberg, J.; Redondo, C.; Tercedor, P.; Delgado, M.; Marcos, A.; Castillo, M.; et al. Television Watching, Videogames, and Excess of Body Fat in Spanish Adolescents: The AVENA Study. Nutrition 2008, 24, 654–662. [Google Scholar] [CrossRef]
- World Health Organization. Guidelines on Physical Activity, Sedentary Behaviour, and Sleep for Children under 5 Years of Age; WHO Press: Geneva, Switzerland, 2019; ISBN 978-92-4-155053-6.
- Chervin, R.D.; Hedger, K.; Dillon, J.E.; Pituch, K.J. Pediatric Sleep Questionnaire (PSQ): Validity and Reliability of Scales for Sleep-Disordered Breathing, Snoring, Sleepiness, and Behavioral Problems. Sleep Med. 2000, 1, 21–32. [Google Scholar] [CrossRef]
- Wille, N.; Badia, X.; Bonsel, G.; Burström, K.; Cavrini, G.; Devlin, N.; Egmar, A.-C.; Greiner, W.; Gusi, N.; Herdman, M.; et al. Development of the EQ-5D-Y: A Child-Friendly Version of the EQ-5D. Qual. Life Res. 2010, 19, 875–886. [Google Scholar] [CrossRef]
- Gusi, N.; Perez-Sousa, M.A.; Gozalo-Delgado, M.; Olivares, P.R. Validez y fiabilidad de la versión proxy del EQ-5D-Y en español. An. Pediatría 2014, 81, 212–219. [Google Scholar] [CrossRef] [PubMed]
- Serra-Majem, L.; Ribas, L.; Ngo, J.; Ortega, R.M.; García, A.; Pérez-Rodrigo, C.; Aranceta, J. Food, Youth and the Mediterranean Diet in Spain. Development of KIDMED, Mediterranean Diet Quality Index in Children and Adolescents. Public Health Nutr. 2004, 7, 931–935. [Google Scholar] [CrossRef] [PubMed]
- Rollo, S.; Antsygina, O.; Tremblay, M.S. The Whole Day Matters: Understanding 24-Hour Movement Guideline Adherence and Relationships with Health Indicators across the Lifespan. J. Sport Health Sci. 2020, 9, 493–510. [Google Scholar] [CrossRef]
- Lubans, D.; Richards, J.; Hillman, C.; Faulkner, G.; Beauchamp, M.; Nilsson, M.; Kelly, P.; Smith, J.; Raine, L.; Biddle, S. Physical Activity for Cognitive and Mental Health in Youth: A Systematic Review of Mechanisms. Pediatrics 2016, 138, e20161642. [Google Scholar] [CrossRef] [PubMed]
- Fazeli, S.; Mohammadi Zeidi, I.; Lin, C.-Y.; Namdar, P.; Griffiths, M.D.; Ahorsu, D.K.; Pakpour, A.H. Depression, Anxiety, and Stress Mediate the Associations between Internet Gaming Disorder, Insomnia, and Quality of Life during the COVID-19 Outbreak. Addict. Behav. Rep. 2020, 12, 100307. [Google Scholar] [CrossRef] [PubMed]
- Knell, G.; Durand, C.P.; Kohl, H.W.; Wu, I.H.C.; Pettee Gabriel, K. Prevalence and Likelihood of Meeting Sleep, Physical Activity, and Screen-Time Guidelines Among US Youth. JAMA Pediatrics 2019, 173, 387. [Google Scholar] [CrossRef] [PubMed]
- McArthur, B.A.; Racine, N.; McDonald, S.; Tough, S.; Madigan, S. Child and Family Factors Associated with Child Mental Health and Well-Being during COVID-19. Eur. Child Adolesc. Psychiatry 2021. [Google Scholar] [CrossRef]
- Brown, D.M.Y.; Kwan, M.Y.W. Movement Behaviors and Mental Wellbeing: A Cross-Sectional Isotemporal Substitution Analysis of Canadian Adolescents. Front. Behav. Neurosci. 2021, 15, 736587. [Google Scholar] [CrossRef] [PubMed]
- López-Gil, J.F.; Roman-Viñas, B.; Aznar, S.; Tremblay, M.S. Meeting 24-h Movement Guidelines: Prevalence, Correlates, and Associations with Socioemotional Behavior in Spanish Minors. Scand. J. Med. Sci. Sports 2022, 32, 881–891. [Google Scholar] [CrossRef] [PubMed]
- Mitra, R.; Waygood, E.O.D.; Fullan, J. Subjective Well-Being of Canadian Children and Youth during the COVID-19 Pandemic: The Role of the Social and Physical Environment and Healthy Movement Behaviours. Prev. Med. Rep. 2021, 23, 101404. [Google Scholar] [CrossRef] [PubMed]
- Mireku, M.O.; Barker, M.M.; Mutz, J.; Dumontheil, I.; Thomas, M.S.C.; Röösli, M.; Elliott, P.; Toledano, M.B. Night-Time Screen-Based Media Device Use and Adolescents’ Sleep and Health-Related Quality of Life. Environ. Int. 2019, 124, 66–78. [Google Scholar] [CrossRef] [PubMed]
- Hysing, M.; Pallesen, S.; Stormark, K.M.; Jakobsen, R.; Lundervold, A.J.; Sivertsen, B. Sleep and Use of Electronic Devices in Adolescence: Results from a Large Population-Based Study. BMJ Open 2015, 5, e006748. [Google Scholar] [CrossRef] [PubMed]
Publisher’s Note: MDPI stays neutral with regard to jurisdictional claims in published maps and institutional affiliations. |
© 2022 by the authors. Licensee MDPI, Basel, Switzerland. This article is an open access article distributed under the terms and conditions of the Creative Commons Attribution (CC BY) license (https://creativecommons.org/licenses/by/4.0/).


