Experimental and Theoretical Study of One-Way Cyclic Lateral Responses of Piles in Sloping Ground
Abstract
:1. Introduction
2. Experimental Setup and Procedure
2.1. Similarity Criterion and Similarity Constant
2.2. Experimental Setup
2.3. Test Procedure
3. Results and Discussion
3.1. Consistency of Measurements
3.2. Lateral Static Loading Tests
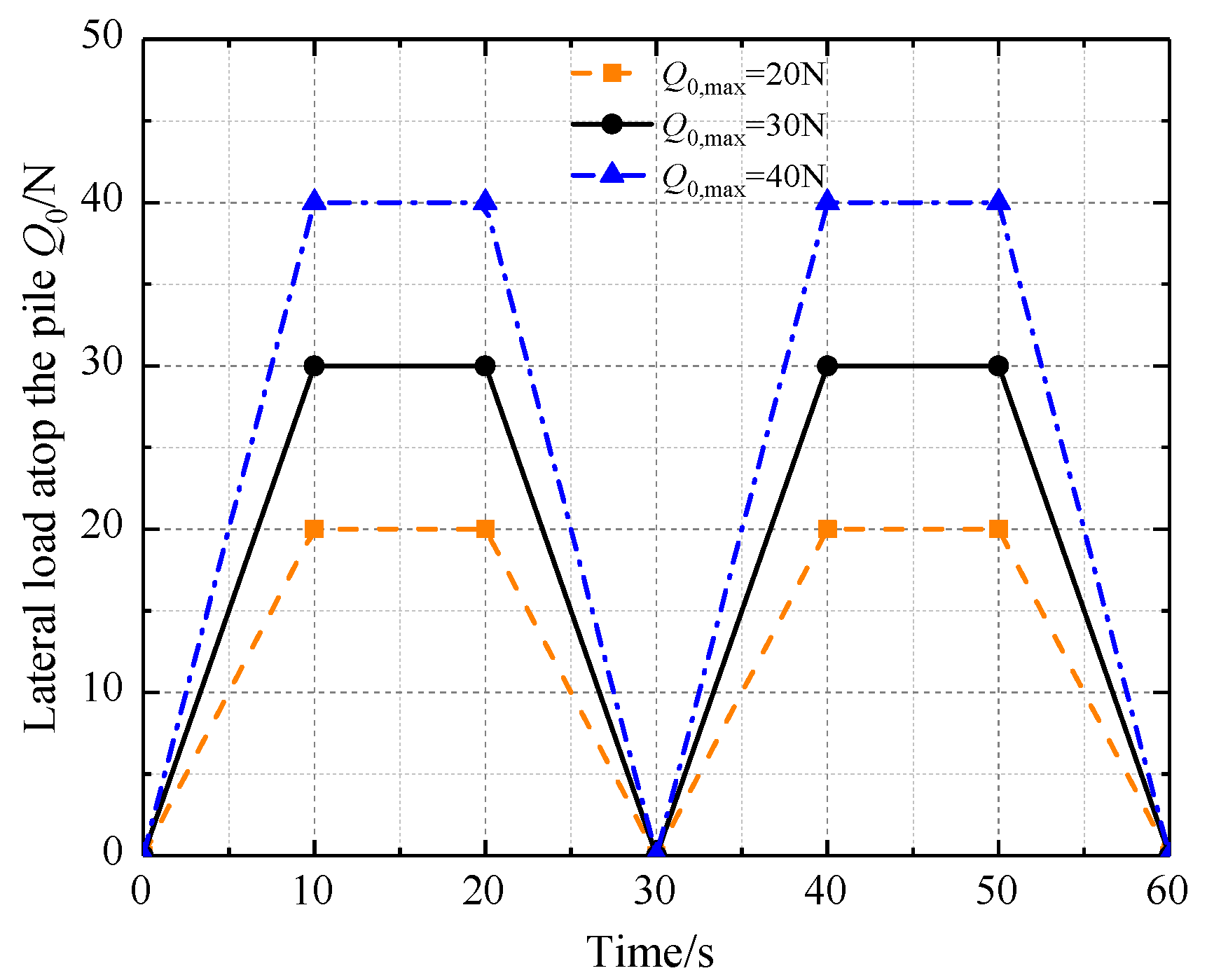
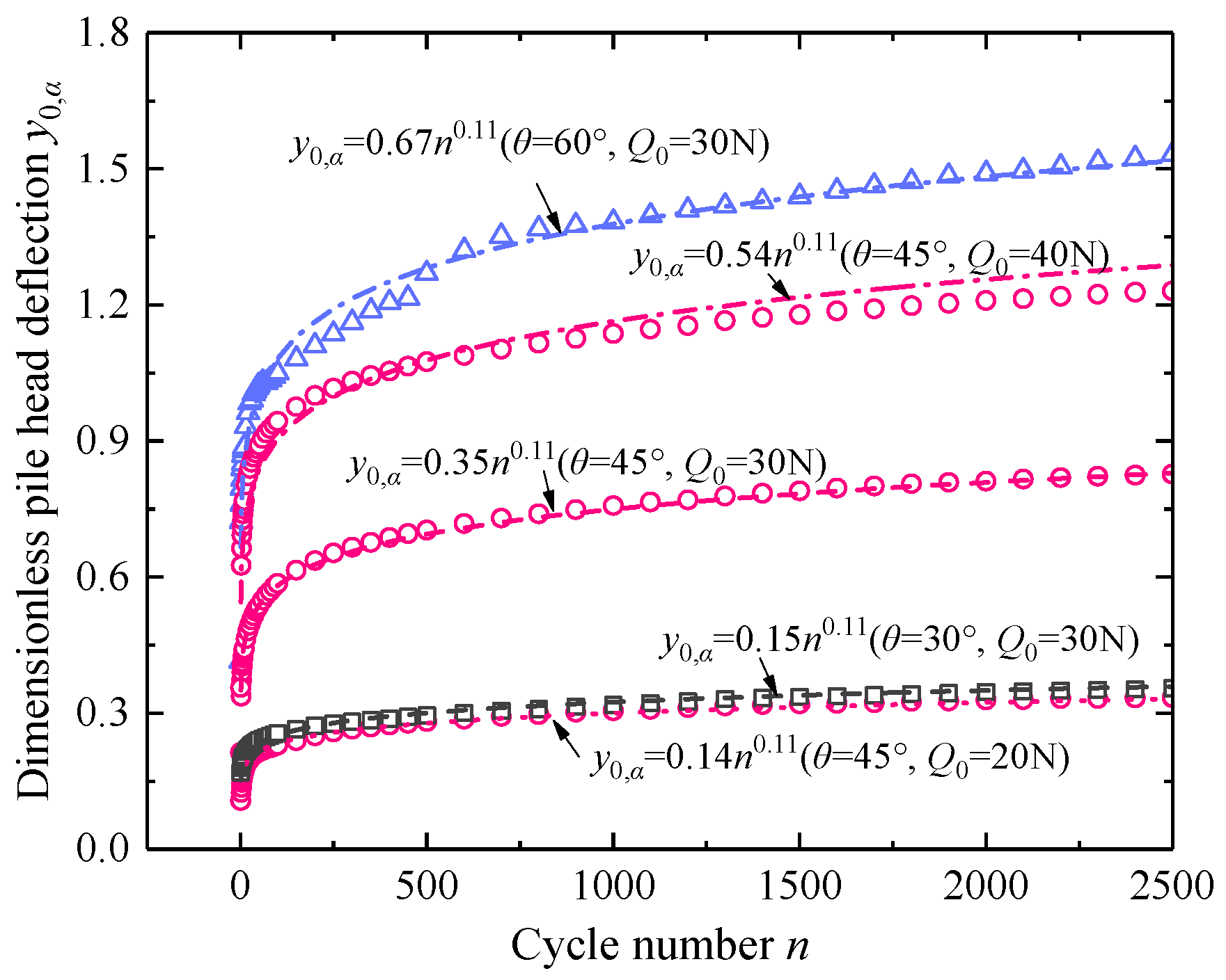
3.3. Cyclic Lateral Loading Tests
4. Conclusions
- (i)
- The increase of cycle number, load amplitude, and slope angle can increase pile responses, including the maximums of bending moment and subgrade reaction, and pile head deflections. However, only the increases in cycle number and slope angle lead to the increased depth of inflection point and critical point, indicating that the increases promote the mobilization of subgrade reaction at the deeper depth to maintain the lateral equilibrium of piles.
- (ii)
- The increase of these pile responses slows down when n > 100, indicating that the first 100 loading cycles are fundamental for the one-way cyclic lateral responses of piles. Interestingly, the variations of dimensionless pile head deflection with cycle number can be well fitted by power functions y0,α = An0.11.
- (iii)
- The finite beam element method (FBEM) is compared with experimental observations and other theoretical methods, and it is more realistic than other theoretical methods. The missing points of the pile deflection caused by incompetence of direct measurement can be alternatively obtained by FBEM in a supplementary analysis. On this basis, a full picture of the bending moment profile can be obtained and better characterize the maximum pile response and its location, compared to the one outlined by connecting the scattered points of the measured bending moment. This proves that the FBEM can well predict the one-way cyclic lateral responses and lateral static responses of piles in sloping ground, and the slope effect and second-order effect should be considered in the analysis for cyclic lateral loading tests when using the FBEM.
- (iv)
- Although the FBEM is verified and demonstrates the above advantages, its use relies on the known condition of bending moment at the ground by observation when the subgrade reaction modulus is unknown. This prerequisite restrains its general application to a certain extent, and the FBEM is thus only used as a supplementary analysis method for experimental means in this paper. A more systematic theoretical method including the assessment method of subgrade reaction modulus under cyclic load will be proposed by comparative analysis of more in-depth tests and numerical studies in the future.
Author Contributions
Funding
Institutional Review Board Statement
Informed Consent Statement
Data Availability Statement
Conflicts of Interest
Appendix A. Finite Beam Element Method


Appendix B. Power Series Method
| zα = αz | A1 | B1 | C1 | D1 | 
|---|---|---|---|---|
| 0.0 | 1.00000 | 0.00000 | 0.00000 | 0.00000 | 
| 0.1 | 1.00000 | 0.10000 | 0.00500 | 0.00017 | 
| 0.2 | 1.00000 | 0.20000 | 0.02000 | 0.00133 | 
| 0.3 | 0.99998 | 0.30000 | 0.04500 | 0.00450 | 
| 0.4 | 0.99991 | 0.39999 | 0.08000 | 0.01067 | 
| 0.5 | 0.99974 | 0.49996 | 0.12500 | 0.02083 | 
| 0.6 | 0.99935 | 0.59987 | 0.17998 | 0.03600 | 
| 0.7 | 0.99860 | 0.69967 | 0.24495 | 0.05716 | 
| 0.8 | 0.99727 | 0.79927 | 0.31988 | 0.08532 | 
| 0.9 | 0.99508 | 0.89852 | 0.40472 | 0.12146 | 
| 1.0 | 0.99167 | 0.99722 | 0.49941 | 0.16657 | 
| 1.1 | 0.98658 | 1.09508 | 0.60384 | 0.22163 | 
| 1.2 | 0.97927 | 1.19171 | 0.71787 | 0.28758 | 
| 1.3 | 0.96908 | 1.28660 | 0.84127 | 0.36536 | 
| 1.4 | 0.95523 | 1.37910 | 0.97373 | 0.45588 | 
| 1.5 | 0.93681 | 1.46839 | 1.11484 | 0.55997 | 
| 1.6 | 0.91280 | 1.55346 | 1.26403 | 0.67842 | 
| 1.7 | 0.88201 | 1.63307 | 1.42061 | 0.81193 | 
| 1.8 | 0.84313 | 1.70575 | 1.58362 | 0.96109 | 
| 1.9 | 0.79467 | 1.76972 | 1.75190 | 1.12637 | 
| 2.0 | 0.73502 | 1.82294 | 1.92402 | 1.30801 | 
| 2.2 | 0.57491 | 1.88709 | 2.27217 | 1.72042 | 
| 2.4 | 0.34691 | 1.87450 | 2.60882 | 2.19535 | 
| 2.6 | 0.033146 | 1.75473 | 2.90670 | 2.72365 | 
| 2.8 | −0.38548 | 1.49037 | 3.12843 | 3.28769 | 
| 3.0 | −0.92809 | 1.03679 | 3.22471 | 3.85838 | 
| 3.5 | −2.92799 | −1.27172 | 2.46304 | 4.97982 | 
| 4.0 | −5.85333 | −5.94097 | −0.92677 | 4.54780 | 
| zα = αz | A2 | B2 | C2 | D2 | 
|---|---|---|---|---|
| 0.0 | 0.00000 | 1.00000 | 0.00000 | 0.00000 | 
| 0.1 | 0.00000 | 1.00000 | 0.10000 | 0.00500 | 
| 0.2 | −0.00007 | 1.00000 | 0.20000 | 0.02000 | 
| 0.3 | −0.00034 | 0.99996 | 0.30000 | 0.04500 | 
| 0.4 | −0.00107 | 0.99983 | 0.39998 | 0.08000 | 
| 0.5 | −0.00260 | 0.99948 | 0.49994 | 0.12499 | 
| 0.6 | −0.00540 | 0.99870 | 0.59981 | 0.17998 | 
| 0.7 | −0.01000 | 0.99720 | 0.69951 | 0.24494 | 
| 0.8 | −0.01707 | 0.99454 | 0.79891 | 0.31983 | 
| 0.9 | −0.02733 | 0.99016 | 0.89779 | 0.40462 | 
| 1.0 | −0.04167 | 0.98333 | 0.99583 | 0.49921 | 
| 1.1 | −0.06096 | 0.97317 | 1.09262 | 0.60346 | 
| 1.2 | −0.08632 | 0.95855 | 1.18756 | 0.71716 | 
| 1.3 | −0.11883 | 0.93817 | 1.27990 | 0.84002 | 
| 1.4 | −0.15973 | 0.91047 | 1.36865 | 0.97163 | 
| 1.5 | −0.21030 | 0.87365 | 1.45259 | 1.11145 | 
| 1.6 | −0.27194 | 0.82565 | 1.53020 | 1.25872 | 
| 1.7 | −0.34604 | 0.76413 | 1.59963 | 1.41247 | 
| 1.8 | −0.43412 | 0.68645 | 1.65867 | 1.57150 | 
| 1.9 | −0.53768 | 0.58967 | 1.70468 | 1.73422 | 
| 2.0 | −0.65822 | 0.47061 | 1.73457 | 1.89872 | 
| 2.2 | −0.95616 | 0.15127 | 1.73110 | 2.22299 | 
| 2.4 | −1.33889 | −0.30273 | 1.61286 | 2.51874 | 
| 2.6 | −1.81479 | −0.92602 | 1.33485 | 2.74972 | 
| 2.8 | −2.38756 | −1.75483 | 0.84177 | 2.86653 | 
| 3.0 | −3.05319 | −2.82410 | 0.06837 | 2.80406 | 
| 3.5 | −4.98062 | −6.70806 | −3.58647 | 1.27018 | 
| 4.0 | −6.53316 | −12.15810 | −10.60840 | −3.76647 | 
| zα = αz | A3 | B3 | C3 | D3 | 
|---|---|---|---|---|
| 0.0 | 0.00000 | 0.00000 | 1.00000 | 0.00000 | 
| 0.1 | −0.00017 | −0.00001 | 1.00000 | 0.10000 | 
| 0.2 | −0.00133 | −0.00013 | 0.99999 | 0.20000 | 
| 0.3 | −0.00450 | −0.00067 | 0.99994 | 0.30000 | 
| 0.4 | −0.01067 | −0.00213 | 0.99974 | 0.39998 | 
| 0.5 | −0.02083 | −0.00521 | 0.99922 | 0.49991 | 
| 0.6 | −0.03600 | −0.01080 | 0.99806 | 0.59974 | 
| 0.7 | −0.05716 | −0.02001 | 0.99580 | 0.69935 | 
| 0.8 | −0.08532 | −0.03412 | 0.99181 | 0.79854 | 
| 0.9 | −0.12144 | −0.05466 | 0.98524 | 0.89705 | 
| 1.0 | −0.16652 | −0.08329 | 0.97501 | 0.99445 | 
| 1.1 | −0.22152 | −0.12192 | 0.95975 | 1.09016 | 
| 1.2 | −0.28737 | −0.17260 | 0.93783 | 1.18342 | 
| 1.3 | −0.36496 | −0.23760 | 0.90727 | 1.27320 | 
| 1.4 | −0.45515 | −0.31933 | 0.86573 | 1.35821 | 
| 1.5 | −0.55870 | −0.42039 | 0.81054 | 1.43680 | 
| 1.6 | −0.67629 | −0.54348 | 0.73859 | 1.50695 | 
| 1.7 | −0.80848 | −0.69144 | 0.64637 | 1.56621 | 
| 1.8 | −0.95564 | −0.86715 | 0.52997 | 1.61162 | 
| 1.9 | −1.11796 | −1.07357 | 0.38503 | 1.63969 | 
| 2.0 | −1.29535 | −1.31361 | 0.20676 | 1.64628 | 
| 2.2 | −1.69334 | −1.90567 | −0.27087 | 1.57538 | 
| 2.4 | −2.14117 | −2.66329 | −0.94885 | 1.35201 | 
| 2.6 | −2.62126 | −3.59987 | −1.87734 | 0.91679 | 
| 2.8 | −3.10341 | −4.71748 | −3.10791 | 0.19729 | 
| 3.0 | −3.54058 | −5.99979 | −4.68788 | −0.89126 | 
| 3.5 | −3.91921 | −9.54367 | −10.34040 | −5.85402 | 
| 4.0 | −1.61428 | −11.73066 | −17.91860 | −15.07550 | 
| zα = αz | A4 | B4 | C4 | D4 | 
|---|---|---|---|---|
| 0.0 | 0.00000 | 0.00000 | 0.00000 | 1.00000 | 
| 0.1 | −0.00500 | −0.00033 | −0.00001 | 1.00000 | 
| 0.2 | −0.02000 | −0.00267 | −0.00020 | 0.99999 | 
| 0.3 | −0.04500 | −0.00900 | −0.00101 | 0.99992 | 
| 0.4 | −0.08000 | −0.02133 | −0.00320 | 0.99966 | 
| 0.5 | −0.12499 | −0.04167 | −0.00781 | 0.99896 | 
| 0.6 | −0.17997 | −0.07199 | −0.01620 | 0.99741 | 
| 0.7 | −0.24490 | −0.11433 | −0.03001 | 0.99440 | 
| 0.8 | −0.31975 | −0.17060 | −0.05120 | 0.98908 | 
| 0.9 | −0.40443 | −0.24284 | −0.08198 | 0.98032 | 
| 1.0 | −0.49881 | −0.33298 | −0.12493 | 0.96667 | 
| 1.1 | −0.60268 | −0.44292 | −0.18285 | 0.94634 | 
| 1.2 | −0.71573 | −0.57450 | −0.25886 | 0.91712 | 
| 1.3 | −0.83753 | −0.72950 | −0.35631 | 0.87638 | 
| 1.4 | −0.96746 | −0.90754 | −0.47883 | 0.82102 | 
| 1.5 | −1.10468 | −1.11609 | −0.63027 | 0.74745 | 
| 1.6 | −1.24808 | −1.35042 | −0.81466 | 0.65156 | 
| 1.7 | −1.39623 | −1.61340 | −1.03616 | 0.52871 | 
| 1.8 | −1.54728 | −1.90577 | −1.29909 | 0.37368 | 
| 1.9 | −1.69889 | −2.22745 | −1.60770 | 0.18071 | 
| 2.0 | −1.84818 | −2.57798 | −1.96620 | −0.05652 | 
| 2.2 | −2.12481 | −3.35952 | −2.84858 | −0.69158 | 
| 2.4 | −2.33901 | −4.22811 | −3.97323 | −1.59151 | 
| 2.6 | −2.43695 | −5.14023 | −5.35541 | −2.82106 | 
| 2.8 | −2.34558 | −6.02299 | −6.99007 | −4.44491 | 
| 3.0 | −1.96928 | −6.76460 | −8.84029 | −6.51972 | 
| 3.5 | 1.07408 | −6.78895 | −13.69240 | −13.82610 | 
| 4.0 | 9.24368 | −0.35762 | −15.61050 | −23.14040 | 
References
- Zou, Z.Y.; Lei, D.; Jiang, G.L.; Luo, B.; Chang, S.Z.; Hou, C.P. Experimental study of bridge foundation reinforced with front and back rows of anti-slide piles on gravel soil slope under El Centro waves. Appl. Sci. 2020, 10, 3108. [Google Scholar] [CrossRef]
- Zhang, J.W.; Wang, X.J.; Wang, H.; Qin, H.Y. Model test and numerical simulation of single pile response under combined loading in slope. Appl. Sci. 2020, 10, 6140. [Google Scholar] [CrossRef]
- Achmus, M.; Kuo, Y.S.; Abdel-Rahman, K. Behavior of monopile foundations under cyclic lateral load. Comput. Geotech. 2009, 36, 725–735. [Google Scholar] [CrossRef]
- He, B.; Wang, L.Z.; Hong, Y. Field testing of one-way and two-way cyclic lateral responses of single and jet-grouting reinforced piles in soft clay. Acta Geotech. 2017, 12, 1021–1034. [Google Scholar] [CrossRef]
- Cheng, X.L.; Wang, T.; Zhang, J.; Liu, Z.; Cheng, W. Finite element analysis of cyclic lateral responses for large diameter monopiles in clays under different loading patterns. Comput. Geotech. 2021, 134, 104104. [Google Scholar] [CrossRef]
- Peng, W.Z.; Zhao, M.H.; Xiao, Y.; Yang, C.W.; Zhao, H. Analysis of laterally loaded piles in sloping ground using a modified strain wedge model. Comput. Geotech. 2019, 107, 163–175. [Google Scholar] [CrossRef]
- Peng, W.Z.; Zhao, M.H.; Zhao, H.; Yang, C.W. A two-pile foundation model in sloping ground by finite beam element method. Comput. Geotech. 2020, 122, 103503. [Google Scholar] [CrossRef]
- Peng, W.Z.; Zhao, M.H.; Zhao, H.; Yang, C.W. Behaviors of a laterally loaded pile located in a mountainside. Int. J. Geomech. 2020, 20, 04020123. [Google Scholar] [CrossRef]
- Singh, A.; Prakash, S. Model pile group subjected to cyclic lateral load. Soils Found. 1971, 11, 51–60. [Google Scholar] [CrossRef]
- Hong, Y.; He, B.; Wang, L.; Wang, Z.; Ng, C.; Mašín, D. Cyclic lateral response and failure mechanisms of semi-rigid pile in soft clay: Centrifuge tests and numerical modelling. Can. Geotech. J. 2017, 54, 806–824. [Google Scholar] [CrossRef]
- Rosquoët, F.; Thorel, L.; Garnier, J.; Canepa, Y. Lateral cyclic loading of sand-installed piles. Soils Found. 2007, 47, 821–832. [Google Scholar] [CrossRef]
- Tuladhar, R.; Maki, T.; Mutsuyoshi, H. Cyclic behavior of laterally loaded concrete piles embedded into cohesive soil. Earthq. Eng. Struct. Dyn. 2008, 37, 43–59. [Google Scholar] [CrossRef]
- Gerolymos, N.; Escoffier, S.; Gazetas, G.; Garnier, J. Numerical modeling of centrifuge cyclic lateral pile load experiments. Earthq. Eng. Eng. Vib. 2009, 8, 61–76. [Google Scholar] [CrossRef]
- Zhang, C.; White, D.; Randolph, M. Centrifuge modeling of the cyclic lateral response of a rigid pile in soft clay. J. Geotech. Geoenviron. Eng. 2011, 137, 717–729. [Google Scholar] [CrossRef]
- Bourgeois, E.; Rakotonindriana, M.; Kouby, A.L.; Mestat, P.; Serratrice, J.F. Three-dimensional numerical modelling of the behaviour of a pile subjected to cyclic lateral loading. Comput. Geotech. 2010, 37, 999–1007. [Google Scholar] [CrossRef]
- Giannakos, S.; Gerolymos, N.; Gazetas, G. Cyclic lateral response of piles in dry sand: Finite element modeling and validation. Comput. Geotech. 2012, 44, 116–131. [Google Scholar] [CrossRef]
- Zhang, F.; Kimura, M.; Nakai, T.; Hoshikawa, T. Mechanical behavior of pile foundations subjected to cyclic lateral loading up to the ultimate state. Soils Found. 2000, 40, 1–17. [Google Scholar] [CrossRef]
- Hutchinson, T.C.; Chai, Y.H.; Boulanger, R.W. Simulation of full-scale cyclic lateral load tests on piles. J. Geotech. Geoenviron. Eng. 2005, 131, 1172–1175. [Google Scholar] [CrossRef]
- Dawson, T.H. Simplified analysis of offshore piles under cyclic lateral loads. Ocean. Eng. 1980, 7, 553–562. [Google Scholar] [CrossRef]
- Grashuis, A.J.; Dietermann, H.A.; Zorn, N.F. Calculation of cyclic response of laterally loaded piles. Comput. Geotech. 1990, 10, 287–305. [Google Scholar] [CrossRef]
- Zhang, C.; Yu, F.; Huang, M.; Zhu, Z. Calculation of monopile foundation in sand to long-term lateral cyclic load. Mar. Georesources Geotechnol. 2020, 39, 1071–1082. [Google Scholar] [CrossRef]
- EI Naggar, M.H.; Novak, M. Nonlinear analysis for dynamic lateral pile response. Soil Dyn. Earthq. Eng. 1996, 15, 233–244. [Google Scholar] [CrossRef]
- Rajashree, S.S.; Sundaravadivelu, R. Degradation model for one-way cyclic lateral load on piles in soft clay. Comput. Geotech. 1996, 19, 289–300. [Google Scholar] [CrossRef]
- Lin, S.S.; Liao, J.C. Permanent strains of piles in sand due to cyclic lateral loads. J. Geotech. Geoenviron. Eng. 1999, 125, 798–802. [Google Scholar] [CrossRef]
- Mezazigh, S.; Levacher, D. Laterally loaded piles in sand: Slope effect on p-y reaction curves. Can. Geotech. J. 1998, 35, 433–441. [Google Scholar] [CrossRef]
- Muthukkumaran, K. Effect of slope and loading direction on laterally loaded piles in cohesionless soil. Int. J. Geomech. 2014, 14, 1–7. [Google Scholar] [CrossRef]
- Nimityongskul, N.; Kawamata, Y.; Rayamajhi, D.; Ashford, S.A. Full-scale tests on effects of slope on lateral capacity of piles installed in cohesive soils. J. Geotech. Geoenviron. Eng. 2018, 144, 04017103. [Google Scholar] [CrossRef]
- Rathod, D.; Muthukkumaran, K.; Thallak, S.G. Experimental investigation on behavior of a laterally loaded single pile located on sloping ground. Int. J. Geomech. 2019, 19, 04019021. [Google Scholar] [CrossRef]
- Raja, N.; Muthukkumaran, K. Effect of rock-socketing on laterally loaded piles installed in the proximity of sloping ground. Int. J. Geomech. 2021, 21, 04020252. [Google Scholar] [CrossRef]
- Ng, C.W.W.; Zhang, L.M. Three-dimensional analysis of performance of laterally loaded sleeved piles in sloping ground. J. Geotech. Geoenviron. Eng. 2001, 127, 499–509. [Google Scholar] [CrossRef]
- Chae, K.S.; Ugai, K.; Wakai, A. Lateral resistance of short single piles and pile groups located near slopes. Int. J. Geomech. 2004, 4, 93–103. [Google Scholar] [CrossRef]
- Georgiadis, K.; Georgiadis, M. Undrained lateral pile response in sloping ground. J. Geotech. Geoenviron. Eng. 2010, 136, 1489–1500. [Google Scholar] [CrossRef]
- Georgiadis, K.; Georgiadis, M. Development of p-y curves for undrained response of piles near slopes. Comput. Geotech. 2012, 40, 53–61. [Google Scholar] [CrossRef]
- Gabr, M.A.; Borden, R.H. Lateral analysis of piers constructed on slopes. J. Geotech. Eng. 1990, 116, 1831–1850. [Google Scholar] [CrossRef]
- Georgiadis, K.; Georgiadis, M.; Anagnostopoulos, C. Lateral bearing capacity of rigid piles near clay slopes. Soils Found. 2013, 53, 144–154. [Google Scholar] [CrossRef]
- Jiang, C.; Zhang, Z.C.; He, J.L. Nonlinear analysis of combined loaded rigids in cohesionless soil slope. Comput. Geotech. 2020, 117, 103225. [Google Scholar] [CrossRef]
- Liu, P.; Jiang, C.; Lin, M.; Chen, L.; He, J. Nonlinear analysis of laterally loaded rigid piles at the crest of clay slopes. Comput. Geotech. 2020, 126, 103715. [Google Scholar] [CrossRef]
- JTG 3363—2019; Specifications for Design of Foundation of Highway Bridges and Culverts. China Communications Press: Beijing, China, 2020. (In Chinese)
- Poulos, H.G.; Davis, E.H. Pile Foundation Analysis and Design; Wiley: New York, NY, USA, 1980. [Google Scholar]
- Rao, S.N.; Ramakrishna, V.G.S.T.; Rao, M.B. Influence of rigidity on laterally loaded pile groups in marine clay. J. Geotech. Geoenviron. Eng. 1998, 124, 542–549. [Google Scholar] [CrossRef]
- Chandrasekaran, S.S.; Boominathan, A.; Dodagoudar, G.R. Group interaction effects on laterally loaded piles in clay. J. Geotech. Geoenviron. Eng. 2010, 136, 573–582. [Google Scholar] [CrossRef]
- Muthukkumaran, K.; Sundaravadivelu, R.; Gandhi, S.R. Effect of slope on p-y curves due to surcharge load. Soils Found. 2008, 48, 353–361. [Google Scholar] [CrossRef]
















| Parameters | Prototype | Model | Similarity Constant | 
|---|---|---|---|
| Calculative width of piles (m) [38] | 2.70 | 0.0657 | 41.10 | 
| Pile embedded length (m) | 25.00 | 1.00 | 25.00 | 
| Flexural rigidity (kN·m2) | 2.43 × 107 | 4.31 × 10−2 | 5.56 × 108 | 
| Proportional coefficient of subgrade reaction coefficient (MN/m4) [38] | 35.42 | 26.24 | 1.35 | 
| Classification | Test | Loading Regime | Load Amplitude/N | Slope Angle/° | 
|---|---|---|---|---|
| One-way cyclic lateral loading tests | C1 | Trapezoidal wave loading (cycle number n = 2500) | 30 | 30 | 
| C2 | 30 | 45 | ||
| C3 | 30 | 60 | ||
| C4 | 20 | 45 | ||
| C5 | 40 | 45 | ||
| Lateral static loading tests | S1 | Slow maintenance loading | – | 0 | 
| S2 | – | 45 | 
| Publisher’s Note: MDPI stays neutral with regard to jurisdictional claims in published maps and institutional affiliations. | 
© 2022 by the authors. Licensee MDPI, Basel, Switzerland. This article is an open access article distributed under the terms and conditions of the Creative Commons Attribution (CC BY) license (https://creativecommons.org/licenses/by/4.0/).
Share and Cite
Peng, W.; Zhao, M.; Yang, C.; Zhou, S. Experimental and Theoretical Study of One-Way Cyclic Lateral Responses of Piles in Sloping Ground. Appl. Sci. 2022, 12, 8169. https://doi.org/10.3390/app12168169
Peng W, Zhao M, Yang C, Zhou S. Experimental and Theoretical Study of One-Way Cyclic Lateral Responses of Piles in Sloping Ground. Applied Sciences. 2022; 12(16):8169. https://doi.org/10.3390/app12168169
Chicago/Turabian StylePeng, Wenzhe, Minghua Zhao, Chaowei Yang, and Shuai Zhou. 2022. "Experimental and Theoretical Study of One-Way Cyclic Lateral Responses of Piles in Sloping Ground" Applied Sciences 12, no. 16: 8169. https://doi.org/10.3390/app12168169
APA StylePeng, W., Zhao, M., Yang, C., & Zhou, S. (2022). Experimental and Theoretical Study of One-Way Cyclic Lateral Responses of Piles in Sloping Ground. Applied Sciences, 12(16), 8169. https://doi.org/10.3390/app12168169
 
         
                                                
 
       