Abstract
Against the background of the gradual deepening of China Railway’s market-oriented reform, and in order to improve the revenue and competitiveness for high-speed railway (HSR) passenger transport, this paper studies the joint optimization problem of the high-speed railway ticket pricing and allocation considering the dynamic demand characteristics of passengers during the pre-sale period. Firstly, we use the compound non-homogeneous Poisson process to describe the passengers’ ticket-purchasing process and use the sparse method to simulate the passengers’ ticket demand during the pre-sale period. Secondly, taking the ticket pricing and allocation as the decision variables and considering the full utilization of the train seat capacity, a stochastic nonlinear-programming mathematical model is established with the goal of maximizing the train revenue. A particle swarm algorithm is designed to solve the model. Finally, this study takes the G19 train running on the Beijing–Shanghai HSR in China as a case study to verify the effectiveness of the model and algorithm. The results show that the joint optimization scheme of ticket pricing and allocation considering dynamic demand yields a revenue of CNY 601,881, which increases the revenue by 1.01% with a small adjustment of the price compared with the fixed ticket price and pre-allocation scheme. This study provides scientific support for the decisions made by railway transportation enterprises, which is conducive to further increasing the potential ticket revenue and promoting sustainable development.
1. Introduction
In recent years, China’s HSR system has been developing rapidly. With the increase in the railway’s running mileage, the scale of passenger transport is also enlarging. By 2021, China’s Railway running mileage was 150,000 km, including 40,000 km of high-speed railway, accounting for 26.7% of the total. With the COVID-19 pandemic under effective control, China’s Railway passenger traffic volume rebounded to 2.533 billion in 2021, an increase of 16.9% year-on-year, among which the number of passengers sent by the high-speed Electric Multiple Units (EMU) accounted for more than 70% of the total passenger volume. According to the Medium and Long Term Railway Network Plan (2020–2035), China’s Railway network will extend to 200,000 km by 2035, including 70,000 km of high-speed railway, and cities with a population of 500,000 or more will be accessible by a high-speed railway [1].
With the further expansion of the railway network, railway transport enterprises are gradually moving towards marketization. In 2013, China Railway implemented a separation of the enterprise from administration, which officially opened the prelude to the market-oriented reform of the railway transport market [2]. In 2016, the ticket-pricing power of the high-speed railway was handed over to transport enterprises, signaling that the enterprises had gained the power to adjust ticket prices according to market supply, demand, and competition. At the end of 2020, to solve the contradiction between supply and demand and promote the market-oriented development of the Beijing–Shanghai HSR, it was decided to adjust the ticket price, with the actual ticket price implemented as the base price.
Although the market-oriented reform of railway transport has begun to bear fruit, it still faces the following severe challenges [3]. (1) The imbalance between revenue and expenditure. The railway has the characteristics of a high construction cost and a long payback period, especially the HSR. Although the transport revenue has increased year by year in recent years, it is still far below the investment. (2) The supply and demand mismatch. Due to the insufficient grasp of passengers’ demand, the uneven allocation seriously hinders the further increase in transport revenue. (3) It is difficult to consider both ticket revenue and the train seat capacity utilization. In the context of the market-oriented reform of the HSR, due to the differences in passengers’ ability to accept ticket prices, if transport companies adjust ticket prices by more than the acceptable level of passengers, it may affect passengers’ demand for tickets, thus affecting the train seat capacity. According to the law of passenger flow fluctuation, the method by which to jointly optimize the existing ticket pricing and allocation and make full use of the train seat capacity while increasing transport revenue is a difficult problem that needs to be solved urgently in the current market-oriented reform of railway transport enterprises.
In the final analysis, the lack of an accurate grasp of passenger dynamic demand in ticket pricing and allocation is the main reason that causes the waste of train seat capacity and lower revenue. Although China Railway has gradually liberalized the independent pricing power of China’s high-speed railway and tested it in some respects, it is still in the exploratory period. The current ticketing organization work still adopts the fixed ticket price and pre-allocation scheme during the pre-sale period. This scheme not only lacks the consideration of the dynamic demand characteristics of passengers during the pre-sale period, but also ignores that ticket pricing and allocation is an interconnected and inseparable whole. In conclusion, to improve the competitiveness and efficiency for HSRs’ passenger transport, it is necessary to study the joint optimization of ticket pricing and allocation on the HSR based on dynamic passenger demand during the pre-sale period.
The remainder of this paper is organized as follows. Section 2 summarizes the literature on ticket allocation, dynamic pricing, and their joint optimization. Section 3 studies the joint optimization of ticket pricing and allocation with respect to the HSR from three aspects: the problem’s description, a passenger dynamic demand analysis, and the model’s formulation. In Section 4, a particle swarm optimization algorithm is designed to solve the model. Section 5 describes the case analysis. In Section 6, the research results are discussed. Finally, Section 7 presents the conclusion.
2. Literature Review
2.1. Ticket Allocation Problem
A reasonable train operation plan for railway passenger transport should jointly optimize the service quality and railway operator’s revenue. Zhang et al. developed an integrated model to maximize the operator’s revenue and minimize passengers’ general cost, which is applied to optimize the train frequencies, stopping patterns, and ticket allocation dynamically [4]. Based on the revenue management theory and against the background of price regulation, Yuan and Nie [5] believed that the optimal ticket allocation scheme was the only way for China Railway’s transport system to improve profits from ticket sales. Ongprasert [6] and Han [7] conducted different studies on the cooperative optimization of the HSR’s stopping plan and ticket allocation. In the research field of multi-train ticket allocation, Song et al. [8] established a multi-train ticket allocation joint model considering the ticket-purchasing process and passenger demand during the pre-sale period, and Yan et al. [9] set up a ticket allocation model for HSR passenger transport based on a flexible train composition. Wang et al. [10] proposed an optimization method of multi-class price and ticket allocation under a high passenger demand.
2.2. Dynamic-Pricing Problem
Littlewood is the originator of revenue management theory research. In 1972, he introduced the application of revenue management theory that was based on the example data in the aviation field for the first time [11]. As the relevant theories and methods of revenue management continue to mature, scholars in some developed countries such as the UK, the US, and Japan have started to introduce the dynamic-pricing method into the railway field [6,12,13]. However, in developing countries such as China, where a fixed ticket price policy had been used for a long time, although floating pricing reform has been started in recent years, it is still in the experimental stage, so it is necessary to pay attention to the research results concerning dynamic pricing. Low and Lee’s examination of the interacting relationships between the presence of HSR transportation and other important dimensions of city development in determining land prices could help policy-makers devise ways to curb the escalation of property prices while enjoying the benefits of a HSR [14]. In recent years, due to the increasingly fierce competition with air transport, scholars have studied the dynamic pricing model of HSRs while considering the competitive situation [15,16,17]. Some scholars studied different types of passenger groups and decided to set more attractive prices to expand railway passenger flow, and finally increased the profit of enterprises [18,19]. To optimize HSR ticket prices based on passenger choice behavior, it is necessary to analyze the arrival patterns of the passengers and the change patterns of passenger demand in the pre-sale period, and to reasonably quantify the influencing factors [20,21,22,23]. Yu et al. [24] proposed a data-driven ticket dynamic pricing methodology for a railway service provider. Qin et al. [25] considered that passenger demand is sensitive to the generalized travel cost and that the train’s stopping plan can affect the travel time and passenger distribution. Then, a mixed-integer non-linear optimization model was proposed for the joint problem of ticket pricing and trains’ stop planning to maximize the HSR’s transport revenue and minimize passengers’ travel time.
2.3. Joint Optimization of Ticket Allocation and Dynamic Pricing
Based on the revenue management theory, Wu et al. [26] proposed a joint model that introduced the ticket allocation decision into the dynamic-pricing problem of the HSR. The objective of the model is to maximize the total revenue under the price cap constraint. Deng et al. [27] studied multilevel pricing and ticket allocation for high-speed multi-train services with multiple origins and destinations. Qin et al. [28] formulated the co-optimization problem of HSR ticket pricing and allocation as a mixed integer nonlinear-programming model, which can properly capture the choice behavior of passengers. Considering the sensitivity of demand to price, Qin et al. [29] took elastic passenger flow demand and the optimal ticket price as decision variables and studied the cooperative optimization of railway ticket pricing and allocation; Xu et al. [30] considered that the demand was sensitive to the ticket price, and a non-concave and non-linear mixed integer optimization model was then formulated for the ticket-pricing and allocation problem to maximize the railway ticket revenue; Song et al. [31] considered the time distribution law of passengers’ ticket-purchasing behavior during the pre-sale period and considered the randomness of demand, and then introduced a robust optimization method to solve the model. However, Bo Li [32] and Zhu et al. [33] established different joint decision models of dynamic pricing and ticket allocation for the HSR, aiming at solving some problems wherein ticket prices were fixed during the pre-sale period and the revenue could not be increased. Fang et al. [34] innovatively took the high-speed freight electric multiple unit train as a research object, applied the revenue management theory to the research of high-speed railway express product under the competitive environment, and proposed a comprehensive decision model based on a sharing rate model.
2.4. Research Ideas
Surrounding revenue management theory, scholars have explored and tested the core methods of revenue management in many fields, such as dynamic pricing and seat control strategies in air and railway transport. As the research progresses, the application of revenue management in railway transport mainly focuses on dynamic pricing and ticket allocation. However, within the existing literature, the research on the characteristics of China’s HSR transport is not comprehensive enough, and the shortcomings can be summarized as follows.
- (1)
- The existing dynamic pricing studies mainly focused on the characteristics of uneven distribution of passenger flow throughout a given year, with differential pricing for high and low seasons or differential pricing for the same Origin–Destination (OD) parallel train service index, ignoring the law of the distribution of passenger demand during the pre-sale period. In addition, because the intensity of passenger demand for tickets varies in different periods of the pre-sale period, the existing studies only considered the overall situation of passenger demand, and seldom considered the characteristics of dynamic passenger demand for tickets in different periods of the pre-sale period.
- (2)
- The existing ticket pricing and allocation joint optimization studies rarely considered the feedback relationship between the two. The dynamic adjustment of the ticket price will directly affect the passenger demand and, consequently, affect the ticket allocation scheme. In addition, the ticket pre-allocation scheme is also the basis for the implementation of dynamic pricing.
To summarize, this paper analyzes the characteristics of dynamic passenger demand by combining the past ticket-purchasing data of passengers in each OD section during the pre-sale period. Aiming at maximizing train revenue and considering the full utilization of trains’ seat capacity, a joint optimization method of ticket pricing and allocation for a single train was innovatively proposed.
3. Mathematical Model
3.1. Problem Description
3.1.1. Problem Analysis
It is supposed that a high-speed railway line consists of m stations and H segments. Each train running on the line has a different stop schedule, thus forming many different ticket-purchasing Origin–Destination (OD) sections for corresponding passengers to choose, as shown in Figure 1.
Figure 1.
Schematic diagram of passengers’ ticket-purchasing OD sections.
In general, railway transport enterprises carry out ticket pre-allocation before the pre-sale period; that is, they mainly combine the past passenger flow data and distribution law to make a short-term passenger flow forecast and allocate a certain number of tickets to each OD section. However, sometimes this ticket pre-allocation scheme cannot meet passengers’ dynamic demand during the pre-sale period, resulting in the imbalance between supply and demand in some OD sections, thereby hindering the increase in train revenue.
The main problem solved in this paper is as follows. Based on the ticket pre-allocation scheme, and according to the distribution characteristics of ticket-purchasing demand at different times in the pre-sale period, we jointly optimize ticket pricing and allocation with the goal of maximizing the single train revenue, considering the full utilization of the train seat capacity.
3.1.2. Assumptions
To simplify the problem, we make the following reasonable assumptions:
- (1)
- Only the single train problem is studied, and the transfer of passenger demand between the single train and other trains is not considered.
- (2)
- The ticket-purchasing behaviors of passengers in each OD section in each period in pre-sale period are independent of each other.
- (3)
- Since the current railway pre-sale period is only 15 days, passengers do not have much time to analyze the future trend of ticket prices. Therefore, it is assumed that passengers in each period of pre-sale period are short-sighted.
- (4)
- There is no overselling strategy, and the passenger behavior of refund and ticket change is not considered.
- (5)
- There is a standby ticketing mechanism during the pre-sale period, and when the number of tickets do not meet passenger demand, a passenger can book the standby tickets. That is, considering the volatility and difficulty in accurately predicting passenger demand, some of the seats are allocated to meet basic needs, while the remaining seats as, standby tickets, are temporarily not allocated. When tickets of a certain OD section are sold out, the "first come, first served" of standby ticket-purchasing strategy is adopted to effectively deal with the situation of large-scale ticket adjustment caused by passenger flow fluctuation.
- (6)
- All pre-allocation tickets are released at the beginning of the pre-sale period.
3.1.3. Notations
Some model notations used in this paper are defined in Table 1, as follows.
Table 1.
Notations in this model.
3.2. Passenger Dynamic Demand Analysis
3.2.1. Passenger Ticket-purchasing process
In real life, many stochastic processes are Markov processes, such as the daily sales situation, which should be studied with respect to commercial activities, the number of people waiting at the station, the number of people infected with infectious diseases, etc., which can be regarded as Markov processes. A Markov process is an important method for studying discrete event dynamic systems, and its mathematical basis is the theory of stochastic processes [35]. The Poisson process is a kind of simple stochastic process with continuous time and a discrete state, which has been widely used in queuing theory and service systems.
The ticket-purchasing process of passengers during the pre-sale period can be regarded as the arrival process of several ticket-purchasing requests, which is a stochastic process and fits the concept of the Poisson process. The following describes the ticket-purchasing process through the Poisson process.
represents the total number of passengers’ ticket-purchasing requests in the period . represents the intensity of this Poisson process. However, the passengers’ ticket-purchasing requests are unevenly distributed in the time dimension, i.e., the Poisson intensity is not a fixed constant. Therefore, the condition of a non-homogeneous Poisson process is satisfied; that is, the non-homogeneous Poisson process is caused by the non-stationary intensity of the exponential distribution of time between passenger requests (as a function of time), primarily. Moreover, a passenger may purchase several tickets in each purchase process during the pre-sale period, and the number of tickets cannot be described only through the non-homogeneous Poisson process. Therefore, the compound non-homogeneous Poisson process is introduced to describe the passengers’ ticket-purchasing process, which is defined as follows.
Assume that is a non-homogeneous Poisson process with intensity λ(t) > 0. is a group of stochastic variables representing the number of tickets purchased per arrival. and are independent of each other. Make
Then, is called a compound non-homogeneous Poisson process.
3.2.2. Passenger Dynamic Demand and Ticket Prices
We use the exponential demand function to describe the relationship between passengers’ ticket-purchasing demand and ticket price, mainly based on the following two main points. (1) The value of the exponential demand function is always greater than zero. There is no need for non-negative processing in the model construction process, which fits the actual situation wherein demand cannot be negative. (2) The exponential demand function includes linear functions. Due to the limited data available in this paper, if the number of data is large enough, a linear regression analysis of demand and price can be undertaken, and the parameters can be valued.
The exponential demand function is expressed as in Equation (2), where a and b are parameters.
is the actual ticket price and Equation (3) represents the relationship between the intensity and the actual ticket price.
When the characteristics of passenger ticket-purchasing demand fit the non-homogeneous Poisson process, the relationship between dynamic demand and ticket price at the tth period of the pre-sale period in section (i,j) is derived as in Equation (4).
The flexibility coefficient of the price describes the degree to which demand is affected by price and is an important parameter in the demand function, which is calculated in Equation (5).
The value of reflects the sensitivity of passenger demand to ticket price changes. varies at different times of the pre-sale period. At the beginning of the pre-sale period, passengers have enough time to choose their travel time and route; at this moment the sensitivity is relatively high, so the flexibility coefficient of the price is relatively large. Near the end of the pre-sale period, passengers lack sufficient time to re-plan their itineraries and are less sensitive to changes in ticket price than at the beginning of the pre-sale period, so the coefficient is relatively small. Equation (4) can be transformed as follows.
The negative sign in Equation (6) represents that there is a negative correlation between demand and price. The ticket-purchasing demand decreases with the increase in the ticket price.
3.3. Model Formulation
3.3.1. Objective Function
At the tth period of the pre-sale period, the actual sale amount in section (i,j) depends on the minimum value of the passenger demand and the ticket allocation , i.e., . Then, in this period within the pre-sale period, the ticket revenue of section (i,j) can be expressed as Equation (7).
If , all passengers’ ticket purchase demands are met. Otherwise, all passengers exceeding the number of tickets allocated will enter the queue of standby seats at a proportion of , and then wait to buy the standby tickets at the final period T of the pre-sale period. The objective function of maximizing the train revenue is established as shown in Equation (8).
3.3.2. Constraints
- (1)
- Ticket price constraint
- Since the ticket price of a high-speed railway needs to account for the revenue of railway transport enterprises and social benefits, the ticket price is restricted to float within a certain range, as shown in Equation (9).According to the current policy on ticket prices, the published price is the highest limit of the implementation price; that is, the upper limit of section (i,j) is a certain value. The lower limit is the product of the published ticket price and the lowest discount. As shown in Equation (10), is the lowest ticket price discount rate in section (i,j).
- To encourage passengers to purchase tickets earlier during the pre-sale period, the ticket price in section will only rise as the departure date approaches.
- In the first period of the pre-sale period, the ticket price should be at a lower level to provide room for increases in later periods.
- (2)
- Ticket allocation constraint
- 4.
- The number of tickets during the pre-sale period consists of two parts: the pre-allocation tickets and the standby tickets. Standby tickets will be sold at the last period T only when the pre-allocation tickets are sold out in the former T-1 periods. Therefore, the number of tickets allocated in the former T-1 periods should be less than or equal to the number of pre-allocation tickets.
- 5.
- The number of tickets allocated in each OD section cannot be negative and must be an integer.
- (3)
- Train seat capacity constraint
The total number of tickets allocated to each OD section during the pre-sale period should be less than the train seat capacity in the current segment.
- (4)
- Calculation of standby ticket-purchasing demand
The standby passenger flows in each section come from the passengers whose ticket-purchasing demands have not been met in the former T-1 periods. Their value is the difference between the passenger demand and the seats allocated and is not negative.
- (5)
- Average passenger seat utilization constraint
The Equation (17) indicates that the average passenger seat utilization rate of the train after the implementation of dynamic pricing shall not be lower than a certain limit, and the value range of the dimensionless parameter γ is (0,1). The left side of the equation indicates the average passenger seat utilization rate under the actual ticket price, and the right side indicates the average passenger seat utilization rate after the implementation of dynamic pricing.
4. Methods
4.1. Passenger Ticket-Purchasing Demand Simulation Method
According to the characteristics wherein passengers’ ticket-purchasing request intensity varies at different times during the pre-sale period, we first need to fit the ticket-purchasing rate function and divide the pre-sale period. The relationship between ticket-purchasing request intensity function and ticket-purchasing rate function is .
Since the ticket-purchasing demand in different OD sections at different periods of the pre-sale period is a random variable, the model established in this paper is a stochastic nonlinear integer-programming model, which is difficult to solve directly. Therefore, the simulation is used to simulate the ticket-purchasing process in each OD section, so as to transform the model into a deterministic linear integer-programming model that is easy to solve [36].
There are many methods to simulate the non-homogeneous Poisson process: the sparse method requires that the ticket-purchasing intensity function at each period has an upper limit; the scale transformation method requires the calculation of the inverse function of the cumulative intensity function; the interval time generation method and order statistics methods require the calculation of the inverse function of the distribution function. When the function is more complex, it is difficult to calculate the inverse function. The sparse method, by contrast, is simpler and more efficient. Therefore, we use it to simulate ticket-purchasing demand.
The principle of the sparse method is to generate the arrival time of the ticket-purchasing requests of the homogeneous Poisson process first, and then segregate them with a certain probability to obtain the arrival time of the non-homogeneous Poisson process. Firstly, assume that is met for all ) and that is a constant. As long as the value of the constant is higher than the intensity function , it satisfies the conditions of use. Secondly, for section (i,j), generate a homogeneous Poisson process with intensity at the tth period of the pre-sale period. respent the arrival times of passengers’ ticket-purchasing requests during that period in that OD section. Then, each is retained with probability and discarded with probability 1. The results are the arrival times of the ticket-purchasing requests for a non-homogeneous Poisson process. The specific steps are shown below.
Step 1: Make and .
Step 2: Generate two independent stochastic numbers, and , between (0,1).
Step 3: Make . Generate the arrival time of the passengers’ ticket-purchasing request for the homogeneous Poisson process: .
Step 4: If , then , , . Otherwise, .
Step 5: If , end the circulation. Otherwise, jump to step 2.
Step 6: Take a stochastic value of ; otherwise, the default is 1.
After M simulation times and taking the average value, we can obtain the average value of ticket-purchasing demand () in section (i,j) at each period of the pre-sale period. Equation (6) is transformed as follows.
4.2. Design of Particle Swarm Algorithm
The particle swarm algorithm is a global stochastic search algorithm based on group collaboration developed by simulating the foraging behavior of a flock of birds. The basic idea of this algorithm is to find the optimal solution through cooperation and information sharing among individuals in the group. The particle swarm optimization algorithm has the advantages of a simpler principle, fewer parameters, and easier implementation. For example, compared with genetic algorithm, particle swarm algorithm does not need coding, and there are no “crossover” and “mutation” operations in this algorithm. It is also faster than the simulated-annealing algorithm. The basic idea of both particle swarm algorithm and ant colony algorithm is to simulate the behavior of biological groups in nature to construct stochastic optimization algorithms. Since the individual in the ant colony algorithm can only perceive the local information and cannot directly use the global information, the basic ant colony algorithm generally needs a long search time and is prone to stagnation [37]. Therefore, the two-decision variable stochastic nonlinear-programming mathematical model for the joint optimization of ticket price and allocation established in this paper is more suitable for being solved by a particle swarm optimization algorithm [38]. Figure 2 shows the basic procedure of the algorithm.
Figure 2.
Flow chart of Particle Swarm Optimization [39].
The steps for solving the model using this algorithm are shown below.
Step 1: Set algorithm parameters, including maximum number of iterations (maxgen), number of populations (sizepop), velocity maximum (Vmax), velocity minimum (Vmin), search space dimension (nvar), search range maximum (popmax), search range minimum (popmin), learning factor (cnvar), and own velocity inertia ().
Step 2: Initialize particle position and velocity. Stochastically generate the initial positions of n particles in the search space range, where the value of n is equal to the population size. The position of each particle consists of nvar dimensional coordinates, and the value of nvar is equal to the number of decision variables in the objective function. For the model in this study, the nvar dimensional coordinates of each particle correspond to the ticket price and ticket allocation in each OD section in each period during the pre-sale period, which is a set of solutions of the model. At the same time, stochastically generate the initial velocity of each particle in the velocity range.
Step 3: Set the fitness function. The maximum model of the optimization problem generally takes the objective function (Equation (8)) as the fitness function. In addition, set the current iteration generation t = 0.
Step 4: Calculate each particle current fitness value, i.e., the objective function value.
Step 5: Based on the fitness value, update and replace individual optimum of each particle. If the current position of the particle has a higher fitness value, it will be updated. Otherwise, the original position remains unchanged. In addition, traverse all particles.
The velocity and position update rule can be expressed as Equation (19).
In the Equation (19), represents the search speed of the ith particle in the (t+1)th generation, and represents the position of the ith particle in the (t+1)th generation. is jointly determined by its own speed, ; the individual optimal position ; and the global optimal position . The is the particle’s own velocity inertia factor. and are learning factors, representing the influence weight of individual optimum and global optimum on the current speed, respectively.
Step 6: According to the fitness value, select the maximum among the individual optima as the global optimum of the particle swarm. Update and replace the global optimum. Calculate the fitness value of the current individual optimal location of each particle and compare it with the global optimum of the particle swarm found before this iteration. If this fitness value is higher, it will update the global optimal. Otherwise, the previous global optimum is left unchanged. In addition, traverse all particles.
Step 7: Determine whether the current iteration number t is equal to the maximum iteration number (maxgen). If so, proceed to Step 9; otherwise, proceed to Step 8.
Step 8: Set iteration generation and skip to Step 4.
Step 9: Output the fitness value of the particle swarm. The fitness value is the optimal value of the objective function.
5. Case Studies
5.1. Basic Data
The Beijing–Shanghai HSR is the main corridor of the “eight vertical and eight horizontal” high-speed railway network in China. The Beijing–Shanghai high-speed railway company has been optimally adjusting ticket prices since the end of 2020. Among the 27 trains on the Beijing–Shanghai HSR, some of them only stop at a few large stations, with a shorter running time and higher ticket price, which are more suitable for dynamic pricing. Therefore, one of these trains (G19) was chosen as the case study.
The G19 train stops at four stations, namely, the Beijing South Railway Station, Jinan West Railway Station, Nanjing South Railway Station, and Shanghai Hongqiao Railway Station, thus forming three segments and six ticket purchasing OD sections—(1,2), (1,3), (1,4), (2,3), (2,4), and (3,4)—for the corresponding passengers to choose. The seats occupied according to the number of tickets is shown in Figure 3. The G19 train uses CR400BF EMU, and the rated passenger capacity of the second-class seats is 1,113 passengers.
Figure 3.
Diagram of the seats occupied by number of tickets.
According to the survey, the known ticket pre-allocation scheme of each OD section is shown in Table 2.
Table 2.
Ticket pre-allocation scheme.
Since the actual passenger ticket-purchasing demand of the Beijing–Shanghai HSR cannot be accurately obtained, we use the actual passenger ticket-purchasing data as an approximate substitute. Moreover, due to the large differences in the number of tickets allocated for each OD section, the direct statistics on the number of daily tickets sold are ambiguous; therefore, we introduce the daily ticket-purchasing rate for analysis, as shown in Equation (20). Currently, the pre-sale period for China Railway passenger tickets is 15 days. We collected passengers’ ticket-purchasing data of partial OD sections during the pre-sale period on a certain date in January 2022. According to the method of testing random numbers based on an exponential distribution [40], we verified that the statistics satisfied the randomness requirement.
The daily ticket-purchasing rates of Beijing South Station–Shanghai Hongqiao Station, Jinan West Station–Nanjing South Station, and Nanjing South Station–Shanghai Hongqiao Station are shown in Figure 4.
Figure 4.
Distribution of daily ticket-purchasing rates in partial OD sections of Beijing–Shanghai HSR.
Figure 4 indicates that the daily ticket-purchasing rates are different in different OD sections. In addition, for each OD section, the daily ticket-purchasing rates for the former 14 days of the pre-sale period increased over time. While for the long-distance OD section (Beijing South–Shanghai Hongqiao and Jinan West–Nanjing South), the daily ticket-purchasing rate decreased on the 15th day, i.e., the day of departure. The daily ticket-purchasing rate of the short-distance OD section (Nanjing South–Shanghai Hongqiao) continued to increase. Therefore, we selected the data of the daily tickets sold of the former 14 days of the pre-sale period of this train on a certain date in January 2022 for statistics. The parameter values of each OD section are shown in Table 3.
Table 3.
OD Section parameter value.
In this paper, we only consider the second-class seat ticket price, and the actual price of a G19 train ticket is CNY 626. According to Equation (10), we take the published price as the upper limit of the price of CNY 662, with an increase of about 5.75%. The lower limit of the price is taken as the upper limit of the price for a parallel train—with a longer travel time and a less comfortable departure time or arrival time—of CNY 598, while the downward proportion is about 4.68%. Based on this, the upper and lower price of each OD section are determined as shown in Table 4.
Table 4.
Table of upper and lower prices for each OD section.
The standby passenger ticket-purchasing ratio is set as 0.9, which means that passengers whose ticket-purchasing requests are not satisfied in the former T-1 periods of the pre-sale period will choose to purchase standby tickets with a probability of 90%. In the average passenger seat utilization constraint, the dimensionless parameter γ takes the value of 0.95, indicating that after the implementation of dynamic pricing during the pre-sale period, the average passenger seat utilization of the train shall not be lower than 95% of the average passenger seat utilization under the actual price.
5.2. Time-Phased Dynamic Demand Simulation
Before simulating the non-homogeneous Poisson ticket-purchasing process in each OD section, the ticket-purchasing rates’ curve needs to be fitted first. We use the regression analysis method to fit the ticket-purchasing rate of each OD section via MATLAB R2016B software for the primary function, quadratic function, cubic function, linear function, exponential function, and power function. Then, many varieties of curve-fitting functions are obtained. The fitting parameter statistics of the Beijing South–Nanjing South section g13(t) are shown in Table 5.
Table 5.
Results of ticket-purchasing rates’ curve fitting.
The SSE is the sum of the squared errors of the corresponding points of the fitting data and the original data. The closer the value is to 0, the better the fitting effect will be. The R-square is the coefficient of determination, which is used to determine the degree of curve regression fitting; the closer the value is to 1, the better the fitting effect will be. The adjusted-square is the adjusted fitting coefficient; the closer the value is to 1, the better the fitting effect will be. The RMSE is based on the average of the predicted value and the original data; the closer the value is to 0, the better the fitting effect will be. Comparing the statistical parameters of each fitting function, the exponential function with a better statistical effect is selected as the fitting function, as shown in Figure 5.
Figure 5.
Fitting result of daily ticket-purchasing rate of Beijing South–Nanjing South during the pre-sale period.
By fitting the ticket data of the Beijing South–Nanjing South route, we can obtain the ticket-purchasing probability density function during the pre-sale period of this OD section, which is expressed as Equation (21).
The corresponding ticket-purchasing probability distribution function of this OD section is expressed as Equation (22).
Similarly, the g12(t) for the Beijing South–Jinan West section, g14(t) for the Beijing South–Shanghai Hongqiao section, g23(t) for the Jinan West–Nanjing South section, g24(t) for the Jinan West–Shanghai Hongqiao section, and g34(t) for the Nanjing South–Shanghai Hongqiao section are fitted; then, the ticket-purchasing probability distribution functions for the corresponding OD sections are obtained in turn.
According to the above fitted ticket-purchasing rate function , the intensity function can be obtained through . We use MATLAB R2016B to simulate the non-homogeneous Poisson-evaluated-ticketing process at different periods during the pre-sale period for each OD section. Circulate the designed simulation program 100 times; then, obtain the simulation results’ distribution for the Beijing South–Nanjing South section, as shown in Figure 6.
Figure 6.
Simulation circulation result.
After calculating the average value of simulation circulation results in this OD section, a total of 221 demands were obtained, which is greater than 215 actual demands, while the relative error is about 2.79%. Therefore, the simulation method for obtaining the passengers’ ticket-purchasing demand of this OD section has a strong reliability.
Figure 7 shows the distribution of 221 ticket-purchasing request arrival times in the Beijing South–Shanghai Hongqiao section during the pre-sale period. It is evident that the daily ticket-purchasing rate changes smoothly in the former 12 or 13 days of the pre-sale period with little difference, so there is no need to divide many periods. Therefore, the first two periods are divided according to the 10% and 20% of the cumulative probability distribution law, namely, t = 1 and t = 2. By comparison, the daily ticket-purchasing rate changes very dramatically in the last three days of the pre-sale period, which is very different from the first two periods. In addition, there is breakpoint in the daily ticket-purchasing rate on the 15th day of the pre-sale period, namely, the departure day, so the last three days are divided into two periods: t = 4 is the 15th day of the pre-sale period, and t = 3 is about the 13th to 14th day of the pre-sale period. Thus, the pre-sale period is divided into four periods. Table 6 shows the time division of the pre-sale period for each OD section.
Figure 7.
Ticket-purchasing requests’ distribution.
Table 6.
Time division table of pre-sale period for each OD section.
According to the divided pre-sale period, the average value and relative error of passengers’ ticket-purchasing demand in each OD section in each time period of the pre-sale period can be obtained, as shown in Table 7.
Table 7.
Statistical table of average value and error of ticket-purchasing demand.
Use , , , and to represent the flexibility coefficients of the price during the four periods of the pre-sale period. Considering that the regional economy along the Beijing–Shanghai HSR line is relatively developed, the passengers are less sensitive to the price changes of tickets. Therefore, the value of should be less than 1. Combined with the actual situation, takes the value of 0.9, and the flexibility coefficient of the price in consecutive periods of the pre-sale period decreases by 5% in turn; that is, .
5.3. Optimization Results
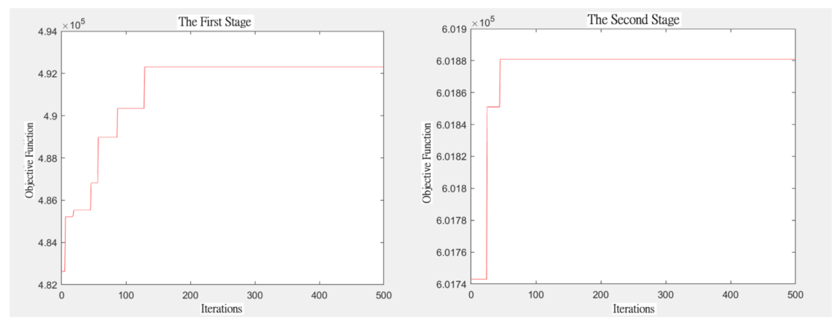
Since the demand function during the former 14 days of the pre-sale period is a continuous function, the last day often presents a breakpoint in the ticket-purchasing rate; so, we divide the simulation into two stages. The first stage is the former 14 days of the pre-sale period, and the second stage is the 15th day.
Set the particle population size popsize = 100, the maximum number of iterations should be 500, the inertia factor = 0.8, the learning factor c1 = 1.49, and c2 = 1.49. We use MATLAB R2016B software to solve the model. Figure 8 shows the iteration process of the solution. Convergence is reached in less than 200 iterations in the first stage of the pre-sale period, while convergence is reached within 100 iterations in the second stage of the pre-sale period. At this time, the objective function value does not change, and the optimal solution is obtained. The total revenue of the train during the pre-sale period is CNY 601,881.
Figure 8.
Schematic diagram of the iteration process for solving the model.
The ticket price change in each OD section during the pre-sale period is shown in Figure 9, where the blue line is the fixed ticket price, and the red line is the optimal ticket price of each period during the pre-sale period.
Figure 9.
Ticket price change in different OD sections during pre-sale period.
The ticket prices and number of ticket sales of each period during the pre-sale period in each OD section, i.e., the optimization results of the model, are shown in Table 8.
Table 8.
Model results.
6. Discussions
In this paper, the optimal ticket pricing and allocation for a single high-speed train is solved based on the characteristics of the dynamic demand for tickets in different OD sections during the pre-sale period, so as to maximize the revenue of railway transportation enterprises. However, studies from different perspectives and with different focuses may produce different results and effects. Therefore, further comparative analyses are needed to discuss these results.
6.1. Discussion for the Case Results
In order to further discuss the case results, a comparison scheme has been designed and analyzed. The ticket price of the comparison scheme adopts the actual fixed ticket price of each OD section of the G19 train, and the number of ticket sales in the comparison scheme is the average ticket-purchasing demand of each OD section during the pre-sale period obtained by the above simulation. The joint optimization scheme of the ticket price and allocation proposed in this paper is compared with the comparison scheme. The ticket prices and number of ticket sales of each period during the pre-sale period in each OD section of the two schemes are shown in Table 9.
Table 9.
Comparison table of model results.
Compared with CNY 595,848 for the revenue of the comparison scheme, the revenue of the joint optimization scheme proposed in this paper is CNY 601,881, which is an increase in the revenue by 1.01% with a small adjustment of the price. In fact, the comparison scheme reflects the actual situation wherein the transportation enterprise operator decides the ticket allocation under the fixed ticket price, without considering the dynamic ticket-purchasing demand during the pre-sale period. Thus, it is clear that the joint optimization scheme proposed in this paper can not only meet the passengers’ dynamic ticket demand during the pre-sale period but also provide effective strategies for enterprises to expand the market and increase profits.
However, the revenue increase rate in the results’ comparison is at a low level—only a 1% increase in revenue. The main reason was determined to be that during the modeling process, the average seat utilization rate of the train was constrained to be no lower than a certain limit to ensure that the average seat utilization rate did not be greatly affected.
6.2. Comparison with Previous Studies
Regarding the dynamic-pricing problem of China’s HSRs, there are some previous studies that have carried out case studies with different Chinese HSR lines. By comparative analysis, the consistency and difference between this study and the previous studies are further discussed.
- (1)
- Consistency
It has been found that the results of this study are consistent with most previous studies [3,8,15,26,27,29], i.e., the railway transport revenue can be increased by implementing the dynamic pricing strategy during the pre-sale period. This not only verifies the feasibility of the model and algorithm proposed in this paper, but also proves that the strategy of jointly optimizing the ticket price and allocation proposed in this paper is effective for improving the revenue of transportation enterprises as well as meeting the dynamic demand of passengers.
- (2)
- Difference and innovation
From the perspective of the application of revenue management theory, ticket pricing and ticket allocation are usually the key processes and decisions enacted by railway transportation enterprises to maximize their revenue [29]. In the previous studies, some researchers solved the problem of ticket allocation under a fixed ticket price [5,8], some solved the problem of dynamic pricing under a fixed ticket pre-allocation [17,25], and only a few studies explored the joint optimization problem of ticket pricing and allocation [30,33]. We think that ticket pricing and allocation are inseparable from each other for high-speed railway passenger transport revenue management decisions. The dynamic adjustment of the ticket price directly affects passengers’ demand, and then affects the ticket allocation scheme. In turn, the ticket allocation scheme is also the basis for the implementation of dynamic pricing. Therefore, the relationship between the passenger demand and ticket price was necessary for the study in this paper, which was used to connect the two decisions of ticket pricing and allocation and realize the joint optimization.
As for the expression of passengers’ demand for tickets, most previous studies believe that the demand is sensitive to the ticket price. For example, [30] argues that the passengers’ demand is a function of the ticket price and assumes that the demand function is known and deterministic. However, it ignores that demand changes over time during the pre-sale period. The authors of [33] consider the difference in demand in different periods during the pre-sale period but describe the demand in every period as the deterministic demand according to the given passenger flow, which ignores the randomness of the ticket-purchasing demand. In reality, passengers’ ticket-purchasing process is a simple stochastic process with a continuous time and discrete states. This paper investigated the past ticket-purchasing data of passengers during the pre-sale period and found that the arrival time of passengers’ ticket-purchasing requests is not uniformly distributed in the time dimension. Therefore, the compound non-homogeneous Poisson process was used to simulate the ticket-purchasing process of passengers, and the sparse method was used to simulate the dynamic ticket-purchasing demand of passengers during the pre-sale period, so that the demand in different OD sections and different periods of the pre-sale period is expressed as a stochastic function affected by the price. The methods proposed in this study describe the ticket-purchasing process and the dynamic demand of passengers during the pre-sale period more realistically so as to improve the mismatch between supply and demand.
In terms of model construction, in previous similar studies on dynamic pricing or ticket allocation for HSRs, the following constraints were generally considered: the number of seats allocated to each train cannot exceed the capacity of any two neighboring stations, upper and lower price limits, and the number of seats allocated to each train must be a non-negative integer, e.g., in [28,36]. In our opinion, these constraints are necessary to ensure the reliability of the study results, but they are insufficient for practical situations. Unlike previous studies, this paper adds the constraints of the average passenger seat utilization and standby passenger flow calculation. To a certain extent, the average passenger seat utilization constraint ensures that under the goal of maximizing train revenue, it will not have a significant impact on the average passenger seat utilization rate of trains after the implementation of floating pricing, which is more in line with the actual transportation situation of high-speed railways in China. Considering the standby ticketing service in China Railway’s passenger-ticketing organization, the demand for standby tickets was calculated, and the ticket purchasing expenses of standby passengers were simultaneously included in the train’s total revenue of the objective function for optimization, thereby allowing the model to better fit the actual situation in China.
6.3. Weakness
It should be noted that this study has only taken G19 train as a case to verify the effectiveness of the model and method. However, the G19 train is not the only option. On the Beijing–Shanghai high-speed railway line, there are several trains with characteristics such as fewer stops, shorter travel times, and higher ticket prices, and any one of them can be selected as a case study. Of course, if a train with a different departure time was selected as the case, the passengers’ dynamic ticket-purchasing demand rule would be different, which would result in different optimal price and ticket allocation schemes. However, this would not affect the effectiveness of the validation model and method.
Objectively speaking, if more trains were selected for case studies separately, the differences in passengers’ ticket-purchasing demands among trains with different departure times, as well as the differences in optimal price and ticket allocation schemes, could be further compared and analyzed, and a more sufficient results analysis and discussion would be obtained. However, it is a pity that we only collected the ticket-purchasing data of the G19 train at the analyzed time and did not investigate the ticket-purchasing situation of other trains, which is a weakness of this study.
6.4. Further Research
This paper mainly studies the joint optimization of the ticket pricing and allocation of a single train; therefore, assuming every train is independent, the transfer of passenger flow among the trains on the same railway line is not considered. However, the actual situation is more complicated. There are several parallel trains running on the same railway line, that is, trains with the same stops and similar travel times but different departure times. If several parallel trains were considered simultaneously, the dynamic ticket-purchasing demand of passengers might be transferred among these parallel trains, thus affecting the ticket pricing and allocation of each train. This will be a new problem of the joint optimization of ticket pricing and allocation for multiple parallel trains. The transfer of passengers’ dynamic ticket-purchasing demand among multiple parallel trains, as well as the joint optimization modeling and determination of ticket prices and allocation, are challenging and more complex problems, which will be a worthy research direction in the future.
7. Conclusions
With the gradual deepening of China Railway’s market-oriented reform, based on the revenue management theory, this paper tried to solve the shortcomings of the existing ticketing organization in terms of the joint optimization of ticket pricing and allocation, considering the dynamic demand characteristics of passengers during the pre-sale period. The main conclusions are as follows:
- (1)
- Since the arrival times of passengers’ ticket-purchasing requests are unevenly distributed in the time dimension, this paper uses the compound non-homogeneous Poisson process to describe the passengers’ ticket-purchasing process, and adopts the sparse method to simulate the passengers’ ticket demand during the pre-sale period. Through this method, the ticket-purchasing process of passengers and the dynamic demand of passengers during the pre-sale period are described realistically, so as to propose the stochastic demand function in different OD sections and different periods within the pre-sale period. This allows the joint optimization model of ticket pricing and allocation to better improve the mismatch between supply and demand.
- (2)
- Taking the ticket pricing and allocation as the decision variables, a stochastic nonlinear-programming mathematical model was established with the goal of maximizing the single train revenue, considering the constraints of the upper and lower prices, the ticket allocation conditions among each period, the train’s seat capacity, the average passenger seat utilization, and the standby ticket-purchasing demand. According to the characteristics of the model, a particle swarm algorithm was designed to solve the problem. This study enriches the application of revenue management theory in the high-speed railway passenger transport market and makes certain academic contributions.
- (3)
- This study took the G19 high-speed train as a case study to verify the effectiveness of the model and algorithm. Based on the past data of passengers’ ticket purchases, the dynamic passenger demand of each OD section during the pre-sale period was simulated, and the optimal ticket price and allocation of each OD section in each period of the pre-sale period were obtained through the optimization model. The results show that the joint optimization scheme of ticket pricing and allocation considering dynamic demand yields a revenue of CNY 601,881, which increases the revenue by 1.01% compared with the fixed ticket price and pre-allocation scheme. With the increase in train revenue, the operation income of the whole transportation enterprise will be gradually improved, which is conducive to dealing with the challenge of an imbalanced income and expenditure and promoting sustainable development.
- (4)
- In this paper, only the single train and the second-class seats are considered when studying the joint optimization of ticket pricing and allocation. In an actual situation, the passenger demand not only transfers among parallel trains, but also among different seat classes. In future research, the joint optimization of ticket pricing and the allocation for multiple parallel trains and multiple seat classes should be further studied to develop more realistic schemes and strategies.
Author Contributions
The authors confirm the contribution to the paper as follows. Conceptualization, X.Y., D.L., W.R. and Z.L.; methodology, X.Y., D.L., W.R. and Z.L.; software, X.Y. and Z.L.; validation, X.Y., D.L., W.R. and Z.L.; writing—original draft preparation, X.Y., D.L., W.R. and Z.L.; writing—review and editing, X.Y. and D.L.; visualization, X.Y. and Z.L.; supervision, W.R.; project administration, D.L. All authors have read and agreed to the published version of the manuscript.
Funding
This research is financially supported by National Railway Administration of the people’s Republic of China. The name of the research project is “Research on the Railway Ticket Internet Purchasing Behavior Regulation” (TYFK201940).
Institutional Review Board Statement
Not applicable.
Informed Consent Statement
Not applicable.
Data Availability Statement
Not applicable.
Conflicts of Interest
The authors declare no conflict of interest.
References
- Railway Quality Control Editorial Department. Outline of Powerful Nation Railway Advance Planning in the new era. Railw. Purch. Logist. 2020, 15, 7. (In Chinese)
- Wu, F. Introduction to the Ministry of Railways of the People’s Republic of China. Off. Oper. 2013, 6, 63. (In Chinese) [Google Scholar]
- Su, H. Joint Optimization of Ticket Fare and Ticket Allocation for High-Speed Railway Based on Revenue Management. Master’s Thesis, Beijing Jiaotong University, Beijing, China, 2020. (In Chinese). [Google Scholar]
- Zhang, X.; Li, L.; Afzal, M. An Optimal Operation Planning Model for High-Speed Rail Transportation. Int. J. Civ. Eng. 2019, 17, 1397–1407. [Google Scholar] [CrossRef]
- Yuan, W.; Nie, L. Optimization of Seat Allocation with Fixed Prices: An Application of Railway Revenue Management in China. PLoS ONE 2020, 15, e0231706. [Google Scholar] [CrossRef] [PubMed]
- Ongprasert, S. Passenger Behavior on Revenue Management Systems of Inter-city Transportation. Ph.D. Thesis, Kochi University of Technology, Kochi, Japan, 2006. [Google Scholar]
- Han, B.; Ren, S. Optimizing Stop Plan and Tickets Allocation for High-Speed Railway Based on Uncertainty Theory. Soft Comput. 2019, 24, 6467–6482. [Google Scholar] [CrossRef]
- Song, W.; Zhao, P.; Li, B. High-speed Railway Ticket Allocation Considering Dynamic Ticket Booking Demand. J. China Railw. Soc. 2019, 41, 8. (In Chinese) [Google Scholar]
- Yan, Z.; Li, X.; Zhang, Q.; Han, B. Seat Allocation Model for High-speed Railway Passenger Transportation Based on Flexible Train Composition. Comput. Ind. Eng. 2020, 142, 106383. [Google Scholar] [CrossRef]
- Wang, B.; Ni, S.; Jin, F.; Huang, Z.; Zhang, R. An Optimization Method of Multiclass Price Railway Passenger Transport Ticket Allocation under High Passenger Demand. J. Adv. Transp. 2020, 2020, 8860115. [Google Scholar] [CrossRef]
- Littlewood, K. Forecasting and control of passenger bookings. In Proceedings of the 12th AGIFORS Symposium Proceedings, Nathanya, Israel, 1972; pp. 95–117. [Google Scholar]
- Whelan, G.; Johnson, D. Modelling the impact of alternative fare structures on train overcrowding. Int. J. Transp. Manag. 2004, 2, 51–58. [Google Scholar] [CrossRef][Green Version]
- Ozbay, K.; Yanmaz-Tuzel, O. Valuation of travel time and departure time choice in the presence of time-of-day pricing. Transp. Res. Part A Policy Pract. 2008, 42, 577–590. [Google Scholar] [CrossRef]
- Low, J.M.W.; Lee, B.K. A Data-Driven Analysis on the Impact of High-Speed Rails on Land Prices in Taiwan. Appl. Sci. 2020, 10, 3357. [Google Scholar] [CrossRef]
- Sato, K.; Sawaki, K. Dynamic pricing of high-speed rail with transport competition. J. Revenue Pricing Manag. 2011, 11, 548–559. [Google Scholar] [CrossRef]
- Xu, S.; Li, Y.; Luo, X. Dynamic Adjustment of High-Speed Railway Ticket Price with Passenger Purchasing Behavior Simulation. Ind. Eng. J. 2018, 21, 6. [Google Scholar]
- Cao, H. Study on Ticket Pricing of China’s High-Speed Railway Based on Dynamic Game. Ph.D. Thesis, Beijing Jiaotong University, Beijing, China, 2020. (In Chinese). [Google Scholar]
- Hohberger, S. Dynamic Pricing under Customer Choice Behavior for Revenue Management in Passenger Railway Networks. Ph.D. Thesis, Universität Mannheim, Mannheim, Germany, 2020. [Google Scholar]
- Zhang, X.; Lang, M.; Jin, Z. Dynamic pricing for passenger groups of high-speed rail transportation. J. Rail Transp. Plan. Manag. 2017, 6, 346–356. [Google Scholar]
- Cui, L.; Ho, Q. Dynamic Pricing Model of High-speed Railway Based on Opportunity Cost. J. China Railw. Soc. 2021, 43, 9–17. (In Chinese) [Google Scholar]
- Su, H.; Peng, S.; Deng, L.; Xu, W.; Zeng, Q. Optimal Differential Pricing for Intercity High-Speed Railway Services with Time-Dependent Demand and Passenger Choice Behaviors under Capacity Constraints. Math. Probl. Eng. 2021, 2021, 8420206. [Google Scholar] [CrossRef]
- Zheng, J.; Liu, J.; Clarke, D.B. Ticket Fare Optimization for China’s High-Speed Railway Based on Passenger Choice Behavior. Discret. Dyn. Nat. Soc. 2017, 2017, 6237642. [Google Scholar] [CrossRef]
- Jiang, W. Research on Dynamic Price Adjustment Method and Marketing Strategy of High-speed Railway Passenger Ticket. Master’s Thesis, Southwest Jiaotong University, Chengdu, China, 2018. (In Chinese). [Google Scholar]
- Kamandanipour, K.; Yakhchali, S.H.; Tavakkoli-Moghaddam, R. Learning-based dynamic ticket pricing for passenger railway service providers. Eng. Optim. 2022, 1–15. [Google Scholar] [CrossRef]
- Qin, J.; Li, X.; Yang, K.; Xu, G. Joint Optimization of Ticket Pricing Strategy and Train Stop Plan for High-Speed Railway: A Case Study. Mathematics 2022, 10, 1679. [Google Scholar] [CrossRef]
- Wu, X.; Qin, J.; Qu, W.; Zeng, Y.; Yang, X. Collaborative Optimization of Dynamic Pricing and Seat Allocation for High-Speed Railways: An Empirical Study from China. IEEE Access 2019, 7, 139409–139419. [Google Scholar] [CrossRef]
- Deng, L.; Xu, J.; Zeng, N.; Hu, X.; Li, K. Optimization Problem of Pricing and Seat Allocation Based on Bilevel Multifollower Programming in High-Speed Railway. J. Adv. Transp. 2021, 2021, 5316574. [Google Scholar] [CrossRef]
- Qin, J.; Zeng, Y.; Yang, X.; He, Y.; Wu, X.; Qu, W. Time-Dependent Pricing for High-Speed Railway in China Based on Revenue Management. Sustainability 2019, 11, 4272. [Google Scholar] [CrossRef]
- Qin, J.; Hao, L.; Mao, C.; Xu, Y.; Zeng, Y.; Hu, X. Joint Optimization of Ticket Price and Seat Allocation for High-speed Railway Based on Revenue Management. J. China Railw. Soc. 2020, 42, 8. (In Chinese) [Google Scholar]
- Xu, G.; Zhong, L.; Hu, X.; Liu, W. Optimal Pricing and Seat Allocation Schemes in Passenger Railway Systems. Transp. Res. Part E Logist. Transp. Rev. 2022, 157, 102580. [Google Scholar] [CrossRef]
- Song, W.; Zhao, P.; Li, B. Research on Comprehensive Optimization of Dynamic Pricing and Seat Allocation for High-Speed Railway Train. J. China Railw. Soc. 2018, 40, 10–16. (In Chinese) [Google Scholar]
- Li, B. Research on Ticket Allocation and Dynamic Pricing Optimization of High-Speed Railway. Ph.D. Thesis, Beijing Jiaotong University, Beijing, China, 2019. (In Chinese). [Google Scholar]
- Zhu, G.; Zhao, Y. Research on the Joint Decision Model of High-speed Railway Dynamic Pricing and Ticket allocation. IOP Conf. Ser. Mater. Sci. Eng. 2020, 768, 052017. [Google Scholar] [CrossRef]
- Fang, Y.; Zhang, X.; Li, Y. Research on Multicriteria Decision-Making Scheme of High-Speed Railway Express Product Pricing and Slot Allocation under Competitive Conditions. Mathematics 2022, 10, 1610. [Google Scholar] [CrossRef]
- David, F. Markov Chains; Springer: Berlin/Heidelberg, Germany, 1983. [Google Scholar]
- Song, W. Research on Theory and Method of Passenger Demand Oriented Ticket Allocation for High-Speed Railway. Ph.D. Thesis, Beijing Jiaotong University, Beijing, China, 2019. (In Chinese). [Google Scholar]
- Bonabeau, E.; Dorigo, M. Inspiration for optimization from social insect behavior. Nature 2000, 406, 39–42. [Google Scholar] [CrossRef]
- Zhuang, T. Particle Swarm Motion Analysis and Two-Stage Particle Swarm Optimization Algorithm. Master’s Thesis, Shandong University, Jinan, China, 2008. (In Chinese). [Google Scholar]
- Duan, X.; Wang, C.; Liu, X. Particle Swarm Optimization and Application; Liaoning University Press: Jinzhou, China, 2007. (In Chinese) [Google Scholar]
- Tanackov, I.; Sinani, F.; Stanković, M.; Bogdanović, V.; Stević, Ž.; Vidić, M.; Mihaljev-Martinov, J. Natural test for random numbers generator based on exponential distribution. Mathematics 2019, 7, 920. [Google Scholar] [CrossRef]
Publisher’s Note: MDPI stays neutral with regard to jurisdictional claims in published maps and institutional affiliations. |
© 2022 by the authors. Licensee MDPI, Basel, Switzerland. This article is an open access article distributed under the terms and conditions of the Creative Commons Attribution (CC BY) license (https://creativecommons.org/licenses/by/4.0/).








