Abstract
Financial portfolio management is a very time-consuming task as it requires the continuous surveying of the market volatility. Investors need to hire potential financial advisors to manage portfolios on their behalf. Efficient hiring of financial advisors not only facilitates their cooperation with investors but also guarantees optimized portfolio returns and hence, optimized benefits for the two entities. In this paper, we propose to tackle the portfolio optimization problem by efficiently matching financial advisors to investors. To this end, we model the problem as an automated crowdsourcing platform to organize the cooperation between the different actors based on their features. The recruitment of financial advisors is performed using a Generative Adversarial Network (GAN) that extrapolates the problem to an image processing task where financial advisors’ features are encapsulated in gray-scale images. Hence, the GAN is trained to generate, based on an investor profile given as an input, the ’ideal’ financial advisor profile. Afterwards, we measure the level of similarity between the generated ideal profiles and the existing profiles in the crowdsourcing database to perform a low complexity, many-to-many investor-to-financial advisor matching. In the simulations, intensive tests were performed to show the convergence and effectiveness of the proposed GAN-based solution. We have shown that the proposed method achieves more than 17% of the average expected return compared to baseline approaches.
1. Introduction
Modern Portfolio Theory (MPT) [1,2,3] or mean-variance analysis is a mathematical framework developed in 1952 by the Nobel Prize winning economist Harry Markowitz [4]. MPT is still a trending topic in research and several modern implementations of different approaches to solve this mathematical framework have been recently proposed in the literature [5,6]. MPT studies the trade-off between the expected return of a portfolio and the level of market risk. For instance, it can be used to construct portfolios while maximizing their expected returns for a given risk level and likewise, reducing the market risk level for a desired portfolio’s return value. MPT is mainly based on the concept of diversification underpinned by concepts of risk, return, variance, and covariance. Diversification [7,8,9,10] is a key concept to reduce a portfolio’s risk. For instance, the investment is diversified into multiple combinations of assets that are not perfectly and positively correlated. For example, U.S. Real Estate Investment Trusts (REITS) have a correlation to the S&P 500 of approximately 0.6, which means they are not highly correlated to the U.S. stock market, i.e., the price movement of one has no big impact on the price movement of the other and vice versa. For a given portfolio, the case of all perfectly positively correlations gives the highest possible standard deviation of portfolio return. In other words, investors can reduce their exposure to individual asset risk by holding a diversified portfolio of assets. Diversification may also allow to obtain, for the same portfolio’s expected return, a reduced risk. Therefore, with MPT, the focus is no longer on the return and the risk of an asset itself but it is on the asset’s contribution to the overall risk and return of the portfolio [11,12,13,14,15,16]. Moreover, MPT stipulates that all the investors are risk averse, i.e., the investors are more likely to choose portfolios with lower risk for a given expected return. Hence, reaching higher expected returns will require investors to accept more risk.
In the literature, several studies addressed the challenge of portfolio optimization with different techniques. The authors of [17] considered a portfolio optimization model with real constraints which is commonly known as the Mean-Variance Cardinality Constrained Portfolio Optimization (MVCCPO) model and investigated two optimization algorithms to solve it, namely multi-objective covariance-based artificial bee colony, and e-new local search based multi-objective optimization algorithm. The investigated algorithms were tested on a large data set of assets and the obtained results were compared with the unconstrained efficient frontier of the corresponding data set. In [18], J. Chu-xin et al. considered a robust portfolio model based on the Markowitz theory and turned it into a constrained Linear Matrix Inequalities (LMIs). Then, the authors employed the ellipsoid algorithm and interior-point method to solve it. To validate the results, the authors gave a numerical simulation in stock portfolio. In [19], the authors studied the problem of optimal portfolio diversification where they proposed a framework to help financial advisors determine the structure of optimal portfolio by mathematically modeling the dynamics of the markets and the stocks. In [20], the authors addressed the portfolio optimization challenge using the minimax principle. Their aim was to minimize an objective function defined as the maximum absolute deviation of all assets which represent the portfolio’s risk. In [21], a deep reinforcement algorithm learning has been developed to construct portfolios and improve the trading strategy.
The diversity of the proposed solutions in dealing with portfolio management suggests that each financial advisor has its own technique or strategy to address the Portfolio Optimization Problem (POP); hence, different financial portfolios are proposed to best respond to the investors’ preferences and its targeted financial goals. However, all these models assume that investors have full knowledge about the skills and background of the financial advisor they are collaborating with and hence, they are more focusing on solving the POP itself. In practice, before solving the POP, selecting the financial advisors to collaborate with is a primordial step. Indeed, investors have limited knowledge about financial advisors existing in the market and choosing the one that best fit with their financial preferences and goals is far from being a simple task. As shown earlier, each financial advisor has its own techniques and mathematical frameworks to address the POP and hence, the assets constructing a portfolio and its expected return and risk will differ from a financial advisor to another. Therefore, constructing efficient portfolios depends not only on the investor preferences but also on the financial advisors skills and expertise.
Even with the previously mentioned solutions, portfolio optimization remains a challenging and time consuming task since it requires a lot of time to survey and analyze the volatility market in order to take the right investment decisions at the right moment [22]. Therefore, in order to reach beneficial financial results, investors need to recruit specialized agents to provide efficient portfolio management and expert recommendations.
In fact, investors are now able to take advantage of the online robo-advisory services provided by different platforms to the public. Robo-advisors are artificial intelligence chat-bots and algorithms that can automatically assist investors to provide them with expert recommendations [23,24,25,26]. In brief, robo-advisors can provide the same services traditional human advisors can provide and even beyond. In this paper, we propose to ease the selection of suitable financial advisors and leverage their recruitment by benefiting from the concept of crowdsourcing.
Crowdsourcing is a business model or concept that relies on a large group of users as third parties for outsourcing certain tasks. A crowdsourcing platform enables its users, aka crowdsourcers, to access a large, relatively open, and often rapidly evolving talents, skills, and tangible resources, aka crowdsourcees, to fulfill tasks on their behalf. Crowdsourcing is widely used to address novel challenges in different fields such as intelligent transportation systems, cyber security, and software engineering [27,28,29,30,31,32,33,34]. However, in financial engineering, its applications are mainly limited to crowdfunding. In brief, crowdfunding is the collect of small amounts of money from a large crowd in order to fund start-ups and small businesses. Crowdfunding as a concept is not new, for instance, from a long time ago, it has been the backbone of the American political system [35,36,37]. According to [36], crowdfunding platforms can be divided into three categories: peer-to-peer micro lending websites, funding art (books, music, etc.), and funding new companies. In the first category, crowdsourcers are no longer lending moneys from financial institutions but instead, from individuals or groups of individuals who are willing to loan money to qualified applicants. As for the second category, they support upcoming artists and/or writers by providing funding for the production of an album or publication of a book. Finally, the last category aims to help entrepreneurs raise the capital they need to finance the launch or growth of their small business.
The selection and retention of financial advisors is a challenging task for investors [38,39]. In fact, multiple criteria exist such as the financial advisors’ experience, field of expertise, and portfolio optimization strategy. Investors are generally seeking to maximize their financial gains, while minimizing the risk. In [40], the authors performed three experiments to study the differences in investors’ perceptions of trust, performance expectancy and intention to recruit financial advisors. They have also considered the case of robo-advisors. Most of the previous work dealing with the problem of financial advisor retention are based on empirical studies and surveys. In this study, we propose to tackle the problem by modeling it as an automated crowdsourcing system. In fact, crowdsourcing can be employed to help in addressing the portfolio optimization problems. In the context of our paper, we propose to help investors recruit financial advisors either humans or robots, in order to assist them and provide optimized portfolios that match their profile and revamp their financial outcomes. Crowdsourcing can be employed to overcome some of the challenges faced by investors when recruiting financial advisors. Indeed, the area of expertise, the efficiency, and the strategies of advisors to solve the POP as well as the psychological characteristics of the investor may constitute important factors that highly impact the portfolio management decisions [41]. For example, low risk-takers prefer to invest their money on stocks since they have lower volatility than real estate and commodities, therefore, they need financial advisors with good expertise in such assets. Thus, it is a must for every investor to wisely recruit the financial advisor or the group of financial advisors that matches his/her strategy and preferences in order to build a portfolio that suits the targeted financial planning goals.
While other studies focus on proposing new algorithms and optimization techniques of the portfolio itself [42,43], we believe that efficiently matching investors with financial advisors has a significant impact on the portfolio’s return. The authors of [44] investigated the selection of financial advisors by considering the gain maximization as the main criterion for recruitment. A machine learning approach has been designed to select the financial advisor providing the maximum predicted expected return. In this paper, we propose to conceive a smart crowdsourcing platform to enable investors recruiting potential financial advisors that best match their profiles and preferences as well as their financial goals. The proposed platform is designed to automatically suggest for a given investor, also known as requester, the potential financial advisors, also known as workers, that are more likely to match the investors’ profile and hence, provide optimized financial portfolios that respond to the latter’s financial goals. The framework operates with regards to both investors’ and advisors’ profiles defined by various features representing the budget, risk preferences, domain of expertise, etc. All the features defining investors and financial advisors are stored in the crowdsourcing platform database.
An unsupervised deep learning model, namely Generative Adversarial Networks (GAN) is trained based on the previous cooperation of different pairs of investors and financial advisors. The training data set contains pairs of investors and corresponding optimal financial advisors. Afterwards, the GAN is used to predict for a given investor’s profile the corresponding optimal financial advisor’s profile. Borrowed from the image processing field, the profiles of financial advisors are encapsulated in gray-scale images. Hence, the GAN aims to generate gray-scale images given the features of the clients. These images are defined as the financial advisors’ signatures. Then, we preform an optimized matching technique, which is modeled as an Integer Linear Programming (ILP) and solved heuristically using bipartite graph-based algorithms to assign available financial advisors to the investors.
To the best of our knowledge, we are the first to propose a framework with the following contributions:
- We develop a smart crowdsourcing approach to leverage the process of financial advisors recruitment.
- We combine the concept of crowdsourcing and artificial intelligence to optimize the recruitment of financial advisors and hence, enhance the portfolio’s performances.
- We extrapolate the investor–advisors recruitment process into an image processing process where we employ GAN to generate financial advisors’ profiles based on the investors’ profiles.
- We perform a many-to-many matching to solve an ILP task while maximize the commutative return of the investors and hence, financial advisors.
This study is accompanied with extensive simulation results to validate the efficiency of the proposed smart crowdsourcing recruitment approach on real-world data set of financial advisors.
The rest of the paper is organized as follows: In Section 2, we present the key components of the proposed crowdsourcing platform and its key functionalities. Then, in Section 3, we present the different components of the proposed recruitment approach. Afterwards, in Section 4, we discuss the implementation details of the proposed solution and provide selected simulation results. Finally, we conclude the manuscript with Section 5.
2. Crowdsourcing-Based System Components
The proposed platform is inspired from a crowdsourcing system. Hence, three main components define it, namely financial advisors, investors, and a crowdsourcing server. From a crowdsourcing perspective, the financial advisors correspond to the workers while the investors are the requesters. Figure 1 represents a high-level overview of a standard crowdsourcing system applied to our context. Initially, a requester (investor) initiates a request to the crowdsourcing server supported by some preferences/features to ask for a specific service (a financial portfolio). Then, the crowdsourcing server delegates potential workers (financial advisors) that are expected to fulfill the request in question. Afterwards, the designated workers submit the request results to the server. The latter will share the submitted results with the investor after specific processing and treatment.
Figure 1.
A high-level overview of a standard crowdsourcing system to recruit financial advisors and solve POPs.
The crowdsourcing server acts as a middle-ware between the investors and the financial advisors as it helps interconnecting both entities. It is responsible in establishing cooperative relationships between them and coordinate their operations. In this way, the crowdsourcing server, having a better knowledge about the skills of the financial advisors and the need of investors through their stored profiles and previous activities, aims to enhance the financial portfolios’ risk and return by establishing efficient assignment suggestions to help investors recruit suitable and available financial advisors.
2.1. Financial Advisors’ Profiles
In this study, we investigate the case of human financial advisors where we use a financial advisors data set, denoted by , that summarizes, for each financial advisor, all the information about his/her obtained diplomas, licenses, and experience years. Further, the data set provides details about all the assets that a financial advisor is restricted from giving advice on in addition to his/her field of expertise where he/she is allowed to give counsel on, e.g., foreign exchange, stock markets, and (crypto) currencies. Furthermore, details about the advisors’ previous cooperation with other investors are given and the number of its continuing professional development failure years are specified. Finally, the data set provides information about the education, qualifications, and training courses that the financial advisors have completed. Other details include their memberships of professional bodies or industry associations and the total number of concurrent customers that each advisor can host. This study can be extended to consider robo-advisors’ profiles. However, due to the non-availability of data sets containing information about robo-advisors, we focus our study on human advisors.
2.2. Investors’ Profiles
The investors data set, denoted by , describes the profiles of each investor. For example, details about each investor’s gender, age, occupation, and salary are given as well as his/her marital status and his/her number of children. Investors are also characterized by their risk taking levels and investment period: High (H), Medium (M), and Low (L). High-level risk taking investors are more likely to invest money on assets with high volatility while low risk taking investors prefer to invest on assets with lower volatility. The investors’ data set also includes details about the available budget each investor is willing to invest. The classification of these features into H, M, and L is performed with respect to the investors’ features including age, marital status, number of children, salary, budget, etc. For instance, a single twenty-year-old investor will more likely take a higher risk of investment than a married forty-year-old investor with two children. Further, the higher the investors’ budget, the more likely they are to take risks; therefore, we sort the investors according to their features and regrouped them into those three different categories.
2.3. Crowdsourcing Server
The crowdsourcing server represents the backbone of the crowdsourcing system. It is the main component that links the investors to the financial advisors and organizes the different interactions that might occur between the two entities. The server is responsible of receiving the POP requests submitted by the investors, treat them, and recruit suitable and available financial advisors accordingly to process the request. Afterwards, the server is responsible of receiving the processed POP solution from the selected advisors, validate it, and send it back to the investors.
In this study, we focus on the recruitment part (i.e., step 2 in Figure 1) where we propose an AI-based recruitment approach to conveniently match investors with potential financial advisors in order to construct financial portfolios that best match the investors financial preferences and goals.
3. Proposed Recruitment Framework
In this section, we represent the work-flow of the proposed framework illustrated in Figure 2. First, investors initiate the system by submitting requests to the server. Then, two phases are operated. The first phase, called Financial Advisors’ Signatures Generation (FASG) phase, employs the GAN to generate, for each investor, a virtual financial advisor’s profile that is expected to best fit the requirement of the investor given its profile data and demand. The output of the FASG phase is employed to determine existing financial advisors that provide closest features to ideal virtual financial advisor generated by the GAN. Afterwards, we apply the second phase, called Advisor to Investor Matching (AIM) phase, to assign available and appropriate financial advisors to investors.
Figure 2.
A high-level overview of the proposed smart crowdsourcing recruitment approach.
3.1. Financial Advisors’ Signature Encoding
Based on the previously mentioned features provided for each financial advisor, we characterize each financial advisor’s profile with a signature [45] in the form of a gray-scale image representing all its features. This characterization of financial advisors’ profiles will be employed to distinguish between existing profiles and will be used as an input to GAN in the next phase to generate ideal financial advisors’ profiles associated to each POP requester. By integrating the AI-based image processing technique, we propose to simplify the recruitment process and enable the rapid recognition of suitable financial advisors existing in the platform to different investors’ profiles.
The shape of the gray-scale images depends on the number of features provided on the data set. For instance, to define a unified shape, if a data set provides features that cannot be reshaped to the desired dimensions, features with low significance and low entropy can be discarded. Accordingly, if the number of features is below the desired dimensions the gray-scale image can be extended with zero pixels. In Figure 3, we provide two examples of financial advisors signatures. The features are obtained from a database that we investigate later in Section 4. In these examples, we employed a database that includes many human financial advisors’ profiles characterized by 55 features. The features are presented in detail in Section IV-A. After normalization, we convert the features vectors into a two dimensional matrix, which is itself converted to a gray-scale image. In other words, each pixel of the gray-scale image represents the value of the normalized feature of the financial advisor. Hence, each financial advisor will be characterized by its gray-scale image or signature that will be used to train the GAN model employed in the FASG phase.
Figure 3.
Outputs of the financial advisors’ profiles encoding: financial advisor’s signatures of size 5 × 11 for financial advisor with 55 features.
3.2. Financial Advisors’ Signatures Generation (FASG) Phase
In this study, we suppose that the recruitment process is performed with regard to the features of the investor (i.e., crowdsourcing requester) and the financial advisor (i.e., crowdsourcing worker). The objective is to empower the crowdsourcing platform with smart and automated tool that automatically finds the “ideal” financial advisor profile that matches the need and the profile of the requester. Therefore, we aim to generate, based on the features of the investor given as an input, the ideal financial profile that best match the investor’s profile encapsulated in a gray-scale image that represents its signature.
We propose a solution based on the generative modeling approach [46,47,48,49,50], specifically, GANs [51,52,53]. In general, generative modeling are unsupervised AI algorithms that automatically discover the features, patterns, and regularities of an input data set in order to be able to independently output, based on random noises, samples that plausibly could have extracted from the original input data set; however, GAN is an improved generative model such that training the network is formulated as a supervised learning problem where two sub-models are involved, namely a generator () and a discriminator (). The generator is trained to transform a random noise input to a desired output form. In contrast, the discriminator tries to classify the generated samples into two classes, fake images (comes from the generator) and real (comes from domain data set). The training process is an adversarial game between and where both models are trained simultaneously. The game ends when the model is able to ’fool’ the model, i.e., is generating plausible examples.
GAN is an exciting and rapidly changing field, therefore it is widely used to address multiple challenges and applications, particularly in computer vision [54,55,56,57]. GAN is also widely used in financial engineering. For example, the authors of [58] studied the stock market prediction problem using GAN. The model was built using a Multi-Layer Perceptron (MLP) as a generator and the Long Short-Term Memory (LSTM) as the discriminator. The network is trained to forecast the daily closing price of several stocks based on the S&P 500 Index. The authors showed that promising results can be obtained using GAN compared to other deep learning and machine learning algorithms.
To train the GAN model, we proceed by a simultaneous training cycle for both and . The discriminator is trained to distinguish between real images and fake images generated by . On the other hand, we aim to train the based on the feedback of , i.e., the generator weights will be updated according to the performance of the discriminator. Recall that the objective is to generate “ideal” financial advisors’ profiles encapsulated in gray-scale images based on the profile of the investor of interest. We denote by ’real image’ an existing financial advisors’ signature and with ’fake image’ a signature generated by the GAN given an investor profile. For instance, if the discriminator correctly classifies the fake image, the generators’ weights will be updated and it will learn the features and characteristics of the real financial advisors’ signatures. On the contrary, if the discriminator is wrongly predicting fake images, the feedback will be poor and hence, the generators’ weights will not be updated conveniently as no new information are learnt on how to construct close to reality images; therefore, an adversarial relationship is established between and and the GAN model is defined as the sequential stacking of both the generator and the discriminator such that we input the investor profile to . The latter will generate fake samples that are directly fed to which will classify them and output a feedback that is going to be used to regulate the generator’s weights. Accordingly, the generator will be trained via the training of the logical GAN model.
The GAN model is trained while minimizing an objective function derived from the cross-entropy between the real and generated distributions defined as follows:
where
- is the discriminator’s estimate of the probability that a real financial advisor signature f is real.
- is the expected value over all real data instances f.
- is the generator’s output given an investor profile i.
- is the discriminator’s estimate of the probability that a generated financial advisor signature is real.
- is the expected value over all generated fake instances .
3.2.1. The Discriminator
The discriminator model is defined as a sequential deep learning model where the first two layers are a two-dimensional convolution layer separated by a dropout layer to prevent over-fitting. The first two layers are followed by a leaky version of a Rectified Linear Unit layer (LeakyRelu) and another dropout layer. Finally, the output layer is a dense layer with one node activated by the ’sigmoid’ activation function to predict whether the input sample is real or fake. The sigmoid function, denoted by , is defined as follows:
The discriminator is trained to minimize the binary cross entropy loss function, appropriate for binary classification. The binary cross entropy loss function is the preferred loss function under the inference framework of maximum likelihood and it is defined as follows:
where is the predicted financial advisors’ signature and f is the real financial advisors’ signature.
3.2.2. The Generator
We define the generator as a sequential deep learning model where the first layer is a dense layer having as an input dimension the number of features that characterizes the investors. The dense layer is the followed by a two-dimensional convolution layer and a reshape layer to reshape the data into the desired output dimensions. Finally, another two two-dimensional convolution layers are added to the model to output the desired financial advisors’ signature.
On the training process, the model tries to minimize L by minimizing the term , i.e., by generating, given a random noise i, a fake sample that shows the same patterns of the real data such that classifies it as real, and hence . In contrast, tries to maximize L by classifying all the real samples x and the fake samples as real and fake, respectively, i.e., and .
After convergence, the generator will be able to generate ideal financial advisors’ profile encapsulated in a gray-scale image based on the features of an investor profile given as an input.
Figure 4 summarizes the training cycle of the GAN where for each iteration, we start by selecting random real samples from the input data set and generating fake samples using the investors profiles. Then, both fake and real samples are stacked and fed to model to train it and hence, update its weights. Afterwards, we also train the model according to the discriminator’s error. In a nutshell, we train the GAN to teach the generator how to determine an ideal financial advisor profile given an investor profile. Hence, at the testing, if a new investor pops up in the crowdsourcing platform, the generator of the trained GAN will be used to predict the best financial advisor matching the investor profile.
Figure 4.
Standalone model stacking and training cycle of the proposed GAN for generating ideal financial advisors profiles.
3.3. Advisor to Investor (AIM) Matching Phase
The proposed framework aims not only to find the ideal financial advisor that matches an investor profile but also to determine closest profiles existing in the database to this ideal virtual profile. Moreover, our framework aims to maximize the overall gain for a group of investors seeking services from a group of financial advisors. Indeed, some financial advisors might match the profiles of multiple investors; however, they cannot serve them simultaneously. On the other hand, some investors may require a portfolio management service from multiple financial advisors to diversify their investment and maximize their gains. Therefore, in this phase, we propose to design a dedicated many-to-many investor-to-advisor assignment to enhance the overall matching output while overcoming these challenges. In this paper, in order to optimize the execution time of the proposed framework and to facilitate the matching process, we cluster the financial advisors using an unsupervised machine learning clustering algorithm, namely K-Means++. The algorithm is used to the data of financial advisors in order to arrange them into K groups with a high level of similarity based on their characteristics, such as assets of competence, qualifications, and diplomas. The investigated method is a better variant of the classic K-Means algorithm. The key benefit of K-Means++ is that it ensures that the centroids are correctly initialized, resulting in improved clustering outcome that is independent of the initialization points. On the other hand, the number of clusters is a crucial factor when attempting to strike a balance between reducing execution time and retaining good matching results. To improve the provided strategy, we use the elbow method to solve the problem of conveniently clustering financial advisors while taking into account the distortion score that represents the sum of squared distances of the advisors to their closest centroids. Hence, we determine an optimized number of clusters by detecting elbows.
We suppose that each investor is only able to recruit financial advisors given his/her budget. On the other hand, each financial advisor is only able to work with investors simultaneously.
The matching problem can be then formulated using an ILP as follows:
where is a binary decision variable indicating whether a financial advisor f is assigned to investor i. The parameter denotes the similarity between the ideal signature generated by the GAN for the profile of investor i, obtained from the FASG phase, and the signature of financial advisor f existing in the database. The value of is defined as the Structural Similarity Index (SSIM) [59,60] and can be computed as follows:
where , , , , and are the average, variance, and co-variance of signatures associated to "ideal" financial advisor of investor i and existing financial advisor f, respectively. Moreover, and are two stabilization variables to stabilize the division with weak denominator and are defined as and , respectively. By default, , , and , where p is the number of bits on each pixel. In our case, bits since we are employing gray-scale images and each pixels’ value is ranged between 0 and 255 hence, = 256 possible values exist.
The first constraint in (4) indicates that a financial advisor f cannot serve more than investors. The second constraint indicates that an investor i is willing to recruit a maximum of financial advisors. Finally, the third constraint is added to ensure that all the investors are assigned to at least one financial advisor.
The problem formulated in (4) is an NP-hard ILP that can be solved optimally using very complex methods such as the exhaustive search or the branch-and-bound method. Off-the-shelf software incorporating these algorithms can be employed to this end; however, in practice, and for a large data base and real-time services, it is highly recommended to employ low complexity algorithms. For this reason, we propose to model the problem as a weighted bipartite graph composed of the two sets and . The edge interconnecting the vertices of the two sets are weighted with the similarity metric . Afterwards, we employ a constrained maximum weight matching algorithm to perform the matching process by selecting the edges that maximize the overall similarity between the suggested financial advisor profiles for each investor and the existing financial advisors’ profiles with respect to the capacity constraints.
For a large-scale database, and as an optional step, we propose to split the matching process into two steps. In the first step, we cluster the available financial advisors using an unsupervised clustering algorithm into K clusters and select a cluster-head for each cluster. The cluster-head is selected to represent all members of its cluster and its features are selected by averaging over all the features of the other members of the same cluster. Note that for clustering, multiple algorithms can be used, such as K-Means, Density-Based Spatial Clustering of Applications with Noise (DBSCAN), Mean-shift, etc. Afterwards, we assign the investors to the best financial advisors’ cluster by approximating the similarity of the suggested financial advisors profiles with the cluster-heads. This step only considers the investors and the cluster-head set denoted by . Once each investor is assigned to a financial advisor cluster, the second phase aims to assign the investors within the clusters. To this end, the two sets are interconnected with a bipartite graph where the weights are computed as the similarity of the generated signature that best matches each investor profile , and the signatures of all the cluster-heads. Afterwards, we perform maximum weight matching to assign each investor to a cluster represented by a cluster-head as follows:
where is the weight of the edge connecting the investor i and the cluster-head . We denote by the set of investors associated to cluster k where .
We operate the intra-clusters matching where we consider the investors assigned to the cluster of advisors . For each cluster, we perform the same maximum weight matching to finally assign the investors to the corresponding financial advisors based on the SSIM.
Recall that the clustering step is optional and we can directly use the full set of in the bipartite matching process. We investigate the impact of clustering in the simulation results section.
4. Results and Discussions
In this section, we investigate the proposed GAN-based approach for financial advisor recruitment in smart crowdsourcing platform. We first introduce the employed data sets for investors and financial advisors. Afterwards, we focus on the GAN training cycle and testing results. Then, we analyze the financial advisors clustering results and study its impact on the matching performances by comparing them to the case where no clustering is performed. We finally, evaluate the complete steps of the framework by investigating the matching performance using the modified bipartite matching algorithm and compare it with the optimal solution obtained by solving the ILP.
4.1. Investigated Data Sets
This study is based on a data set containing information about financial advisors. The data set is obtained from the Australian Securities and Investment Commission (ASIC) financial advisers register. ASIC is the Australian corporate, markets, and financial services regulator. It contributes to Australia’s economic reputation and well-being by ensuring that Australia’s financial markets are fair and transparent, supported by confident and informed investors and consumers. The data set contains approximately 70,000. thousand records and is up to date as it has been last updated in November 2019. Each input is characterized by 55 features. The most important ones are listed as follows:
- AdvisorBN: Boolean variable indicating if the financial advisor is registered or not, i.e., if he/she has a business number or not.
- License: categorical variable identifying the license name of the financial advisors.
- LicenceBN: Boolean variable indicating if a business number is associated to the license.
- LicenceCtrl: numerical variable counting the number of company(ies) or people who control the licensee’s business.
- NumberDiplomas: numerical variable counting the number of diplomas received by the financial advisors.
- Experience: numerical variable counting the number of experience years of the financial advisors.
- Restrictions: categorical variable identifying the areas that the financial advisor is restricted from giving advice on.
- Capacity: numerical variable counting the total number of concurrent investors each advisor can host.
On the other hand, accessing data about investors data is very sensitive due to issues related to privacy and regulation authorities controlling the financial industry; we find difficulties in acquiring an investor data set; therefore, we have created synthetic data to generate diverse and random investors’ profiles. To this end, we use the Python ’faker’ library. We statically validate the data set to make sure it is well-balanced and can be used to take into consideration different investors profiles. For instance, as shown in the histograms of Figure 5, we can observe that the generated profiles are not equally distributed between Males (M) and Females (F). For instance, the number of male investors are higher than females as mentioned in multiple studies; for example, in 2015, the percentage of female investors was less then 15% and their number was expected to rapidly increase in the future (https://rb.gy/l7pcie, accessed on 12 April 2022). In the same figure, we can also notice that the majority of the investors have moderate risk-taking levels (M), which is the case in real life; however, fewer people prefer to take low levels of risk (L) for, obviously, a lower expected return. Furthermore, even less people are taking high-risk levels (L) in order to hopefully achieve higher returns. The same observations can be noticed for the investing period where the majority of investors have moderate investing periods for fewer people for both high and low investing periods. As for the number of children associated with each investor, we suppose that investors have on average two children as mentioned in a statistical study about the average number of own children under eighteen in families with children in the United States (https://rb.gy/ychawl accessed on 2 May 2022). In the same context, Figure 6 represents the distribution of the salary, age, and budget of the investor population. The investor’s age is uniformly distributed to take into consideration all the age ranges; however, the salary and budget follows a normal distribution. Hence, Figure 5 and Figure 6 statistically validate the data set distribution and show that it contains almost all possible investors’ profiles. The validation of this data set allows us to make sure that the proposed model will be close to reality since it will be investigated on all possible cases and scenarios. Further, the variety of profiles in the data set will help us validate the performance of the framework since it will not be over-fitted on a specific scenario but on multiple and varied ones.
Figure 5.
Histogram representation showing the distribution of the investor data set features: gender, investing period, and risk-taking level.
Figure 6.
Histogram representation showing the distribution of the investor data set features: salary, age, and investment budget.
4.2. Generative Adversarial Networks’ Training Process
We construct a database containing pairs of financial advisors and investors. The training data set contains rows, each row of this data set contains the investor profile and the associated ’ideal’ financial advisors’ signature that corresponds to that investor identified from the financial advisor and investor data sets presented in Section 4. Hence, the training data set of the GAN is composed of N pairs of , where i the investor profile and is the ideal financial advisors’ profile associated to investor i. In practice, for generating the training data set, the ideal advisor for each investor is determined based on the activities and experiences within the smart crowdsourcing platforms. In our case, we determined them based on a machine learning algorithm proposed in [44].
The training of the GANs is performed as follows: first, the investor profile is fed as a noise to the generator . Then, from this noise, generates a two-dimensional gray-scale image that represents the financial advisors signature. Afterwards, the generated image is fed to the discriminator . The latter classifies the image as real if the image is close to the targeted financial advisor’s signature or False if not. Then, the classification result will be forwarded as a feedback to , which will will use the provided feedback to update his weights, and hence after a certain number of training iterations, learns how to automatically output the ideal financial advisors’ profile. The GAN training process was performed over epochs and the data set was divided on batches and hence, for each epoch, iterations are performed for a total iterations during the training process.
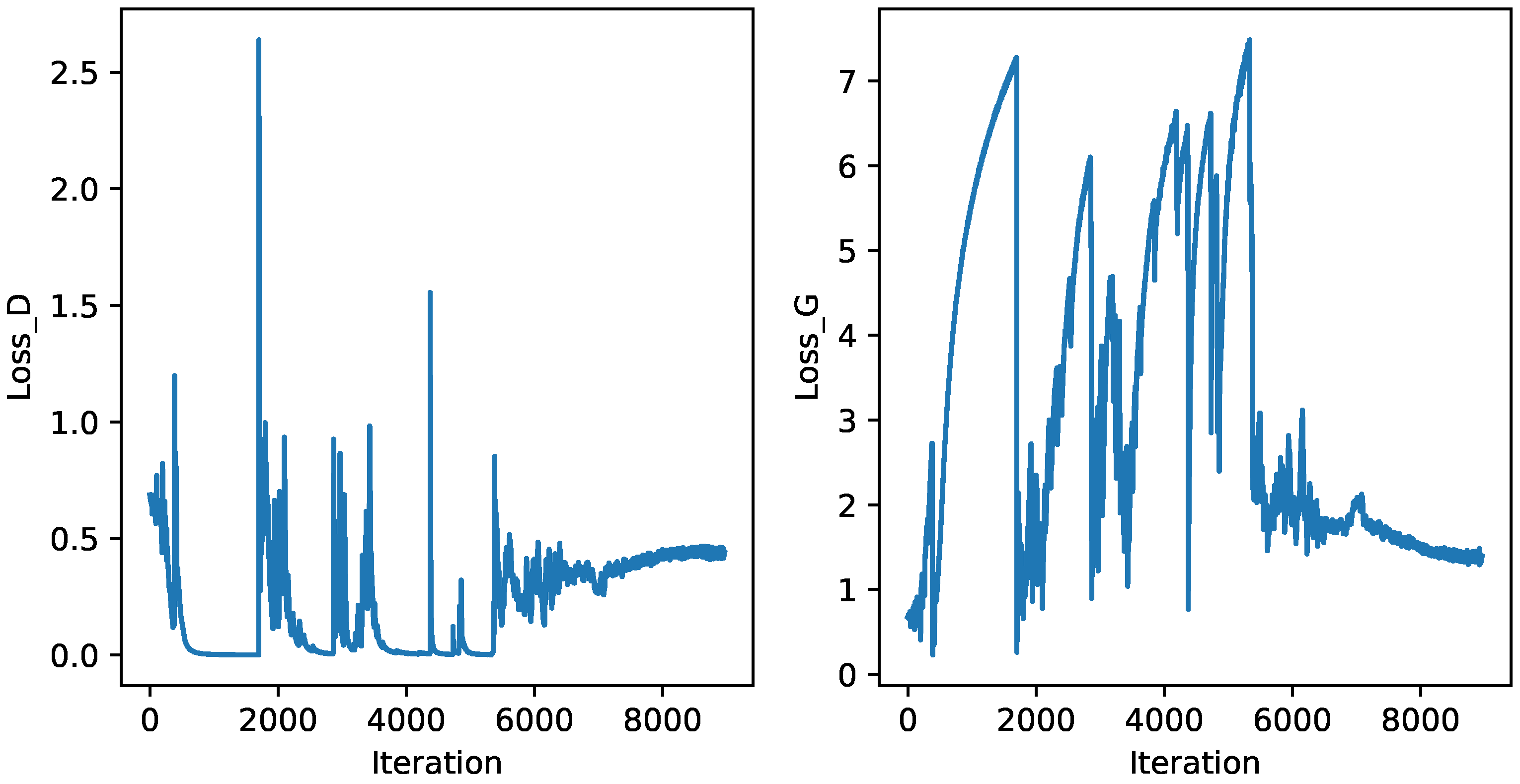
The evolution of the loss functions of the two models of the GAN is represented in Figure 7. In this figure, the adversarial relationship of the two models is shown. For instance, when the is fooled by the fake images generated by , i.e., the loss function of is high, we can see that the loss function of is low and vice versa. This behavior proves that the trained GAN has avoided one of the most challenging problems of the training: mode collapse. Mode collapse happens when the generator learns a specific distribution that always fools the discriminator and keeps generating the same sample each time; however, since our loss functions behave in the way described earlier, we can confirm that the GAN training was successful. The discriminator and the generator were in a continuous game and both of them have efficiently converged. After 8000 iterations, the two models reach stability and both loss functions converge to a stable value. In fact, the behavior of GANs in training is very different from the one of regular Artificial Neural Networks (ANNs). The adversarial training with GANs does not necessarily mean that both the generator and discriminator will achieve clear improvement of their respective loss functions, which can be observed in Figure 7 where the convergence values at the end of the training are close to the initial settings. Similar observations are noticed in many previous work that employed GAN models [61,62]. To better prove the convergence of the GAN, we perform, at the end of each training iteration, tests on a sample of 500 combinations of investors and financial advisors to measure the resulting pixel-wise Mean Absolute Error (MAE) at that stage of training. In other words, after the end of each iteration, we use the partially trained to generate optimal advisors’ signatures for the test samples. Then, we calculate the MAE between the generated and the ideal financial advisors signatures. The obtained results are represented in Figure 8. The latter figure shows that the generator’s performance is evolving with the iterations as the MAE is decreasing. At the end of the training period, the MAE reaches very low values () indicating that the is becoming able to generate fake but ideal financial advisors’ profiles encapsulated in gray-scale images to define their signatures. Hence, based on the profile of each investor given as an input the generator is able to accurately generate the “ideal” or “near-ideal” financial advisors’ signatures that best match the provided investors’ profiles.
Figure 7.
Discriminator and generator loss evolution for each iteration of the training process.
Figure 8.
Mean absolute error variation of the performed tests on each iteration of the training process.
The performances of the proposed GAN model, in terms of efficiently generating the ideal financial advisor profile given the features of an investor, are compared with the following baseline models namely, Gradient Boosting Regressor (GBR) and ANN:
- Gradient boosting regressor [63] is a well-known machine learning approach for tabular datasets. It builds an ensemble of shallow and weak successive trees to make decisions. GBR is powerful enough to detect any nonlinear relationship between a model target and features, and it is powerful enough to deal with missing values, outliers, and large cardinality categorical values on your features without requiring any extra treatment.
- Artificial Neural Networks (ANNs) [64] are biologically inspired computational networks that are typically based on biological neural networks that form the structure of the human brain. Similar to how neurons in the human brain are interconnected, neurons in artificial neural networks are linked to each other in various layers of the networks. These neurons are referred to as nodes.
The baseline models were trained using the same database where the investor profile is given as an input and the output represents the features of the financial advisor. We investigate the performances of the baseline and proposed algorithms using the batch of data. For each sample of the validation batch, we feed the investor to the designated algorithm, generate the ideal investor profile, and compute the similarity index. For fair comparison, we use the obtained similarity indexes compute some statistical indicators namely, the mean and the standard deviation. The validation batch used for this comparison contains 5000 samples. The obtained results are represented in Table 1. The statistical comparison shows that the proposed GANs outperforms the other investigated baseline models. For instance, on average, with GANs, we obtain higher similarity between the generated and the real financial advisors profiles. Further, through the standard deviation values, we can deduce that the GAN is more generalized and performs well on the most of the validation samples. This is due to the fact that the generative model is able to create more accurate financial advisors’ profiles in the form of gray-scale signatures based on the feedback of the discriminator.
Table 1.
Statistical comparison of the proposed GANs model with baseline models in generating efficient financial advisors profiles.
4.3. Financial Advisors Clustering and Matching Results
As previously discussed in Section 3.3, we apply the elbow method with K-Means++ with (see Figure 9). The simulation identifies an optimal number of clusters . The optimal number of clusters will not only help reach a trade-off between reducing the computation time and maximizing the cumulative gain result of the matching process, but more importantly limit the loss due to distributing the financial advisors into a large number of clusters. We notice that the elbow has been detected in ; therefore, there is no need to test for more than 100 potential clusters. In fact, the distortion score is almost stabilized and the elbow will not change.
Figure 9.
Distortion score variation in identifying the optimal number of clusters for K-means++ algorithm using the elbow method.
In this step, we propose to determine an optimized match between the number of financial advisors each investor is willing to hire and the number of investors each financial advisor can host at the same time. To that end, we generate the ideal financial advisors’ signature that best matches the investor’s profile using the trained for each investor . Following that, we use a two-phased matching technique. The first phase will be dedicated to perform an inter-cluster matching where each investor will be assigned to a cluster of workers represented by a cluster-head . Then, within each cluster, we perform an intra-cluster matching to finally assign each investor to the corresponding financial advisors that best match its profile. In this section, we compare the performance of the low complexity matching process using a many-to-many maximum weight matching algorithm for bipartite graphs [65,66,67,68] to the one of the optimal solution obtained by solving the ILP formulated in (4) using the branch and bound algorithm implemented on off the shell software such as Gurobi.
In Figure 10, we perform two tests for 20 and 30 investors, respectively. For each test, we run the matching algorithm to match the investors while varying the number of financial advisors, i.e., each scenario is defined with the initially selected investors and the randomly selected financial advisors. In this figure and due to the high-complexity of ILP solver, we limit the cardinality of the financial advisor set. For fair comparison, each scenario is repeated with different advisors multiple times (i.e., a Monte Carlo simulations with 100 tests) and we provide the average commutative similarity after final matching. We notice that, in general, the proposed low complexity matching algorithm achieves close results to the optimal solution achieved by ILP with a gap in the worst case scenario not exceeding the .
Figure 10.
Average cumulative similarity versus the number of financial advisors for (left) and (right).
Clustering the financial advisors will optimize the execution time of the proposed framework. However, it will reduce the matching performances compared to using all the database at once. To study the impact of clustering on the system performance, we perform multiple tests with and without clustering on 300 investors while changing the size of the financial advisors data set. In Figure 11, we consider the whole financial advisor data set and each time pick randomly a certain number of financial advisors (e.g., 50% of them), then identify the optimal number of clusters using the elbow method, cluster the financial advisors accordingly using the K-means, and execute the bipartite matching algorithm. We then compare the obtained results with the ones obtained without passing by the clustering phase where we run the bipartite matching directly on the whole data set. For fair comparison, each iteration is performed fifty times and we plot the average cumulative similarity of all the iterations. The figure shows similar trend of the achieved cumulative similarity: increasing with the size of the financial advisor data set. we can notice that, as expected, the clustering has a slight negative impact on the matching performances but not exceeding 10%. This loss is compensated by a significant time gain due to significant reduction in the search space.
Figure 11.
Impact of financial advisor clustering on the achieved cumulative similarity after final matching using the proposed algorithm.
In Table 2, we compare the final outputs, i.e., the Expected Return (ER) that an investor should expect after investing its money, of our framework with the ones of other baseline approaches namely, the random matching where investors are randomly associated to financial advisors, the budget priority matching where investors with higher budgets are given priority to select their financial advisors, and the machine learning based-matching presented in [44]. In the latter approach, a machine learner is executed to predict the potential outcome that an investor may achieve if it is associated to a given financial advisor. The machine learner will predict the outcome using a regression model given the previous experiences of other investors and their features. The employed model in this analysis is the gradient boosting regressor. In each simulation, we compute the achieved average ER over our the testing data set of investors. Clearly, our proposed matching framework outperforms the other techniques in guaranteeing a higher average ER for the investors as it takes into consideration exclusively the investors’ features to generate an ideal financial advisor meeting the needs of the investor. Hence, it obtains an accurate knowledge about the needs of each investor. Recall that the ER is what the investor should expect after investing his/her money. For instance, an expected return of 5% means that the investor should expect a profit of 5% of what he/she invested.
Table 2.
Average Expected Return (ER) achieved by the proposed method versus the ones achieved by other machine learning and deterministic approaches.
5. Conclusions
In this paper, we modeled the problem of portfolio management as a crowdsourcing platform interconnecting many investors to many financial advisors managed by a cloud server responsible for coordinating their interactions. We focused on the financial advisor recruitment problem with the aim to maximize the chance for investors to maximize their investment profiles by hiring suitable financial advisors. We have extrapolated the recruitment problem to an image processing task where we employed artificial intelligence, specifically, generative adversarial networks, to determine ideal financial advisor for a given investor profile. Then, we developed a joint clustering and matching algorithm to solve the many-to-many recruitment problem given the limited capacity of financial advisors. We have shown that, through extensive simulations, that the proposed solution can provide accurate matching of investors to potential financial advisors resulting in portfolios with higher returns and hence, an important gain to both entities. Due to the absence of other real-world datasets, we have not been able to test our model on other data to further validate the results. In fact, finding datasets that provide sufficient information about financial advisors and investors is not trivial. On the other hand, the proposed framework can be further extended to include additional features to better represent financial advisors and investors. The automated crowdsourcing framework can also be upgraded by incorporating an artificial intelligence model that can more accurately estimate the expected return to help investors minimize the financial risk when recruiting the financial advisors. Therefore, as a future work, we will focus on enhancing our method, which is currently limited in determining the financial advisor profiles and matching them to the investors’ ones, by designing a framework that can encompass both finding the matching profiles and optimizing the corresponding portfolio.
Author Contributions
Conceptualization, R.H. and H.G.; methodology, R.H. and H.G.; software, R.H.; validation, R.H., H.G. and Y.M.; formal analysis, R.H.; writing—original draft preparation, R.H.; writing—review and editing, R.H., H.G. and Y.M.; visualization, R.H.; supervision, Y.M.; project administration, Y.M.; funding acquisition, Y.M. All authors have read and agreed to the published version of the manuscript.
Funding
This research received no external funding.
Data Availability Statement
Please refer to suggested the Financial Advisers Data set mentioned in section “Results and Discussions” at https://data.gov.au/dataset/ds-dga-f2b7c2c1-f4ef-4ae9-aba5-45c19e4d3038/details.
Conflicts of Interest
The authors declare no conflict of interest.
References
- Elton, E.J.; Gruber, M.J.; Brown, S.J.; Goetzmann, W.N. Modern Portfolio Theory and Investment Analysis; John Wiley & Sons: Hoboken, NJ, USA, 2009. [Google Scholar]
- Haugen, R.A.; Haugen, R.A. Modern Investment Theory; Prentice Hall: Upper Saddle River, NJ, USA, 2001; Volume 5. [Google Scholar]
- Dimmock, S.G.; Wang, N.; Yang, J. The Endowment Model and Modern Portfolio Theory; Technical Report; National Bureau of Economic Research: Cambridge, MA, USA, 2019. [Google Scholar]
- Markowitz, H. Portfolio Selection. J. Financ. 1952, 7, 77–91. [Google Scholar]
- Martin, R.A. PyPortfolioOpt: Portfolio optimization in Python. J. Open Source Softw. 2021, 6, 3066. [Google Scholar] [CrossRef]
- Ghasemi Saghand, P.; Haider, Z.; Charkhgard, H.; Eaton, M.; Martin, J.; Yurek, S.; Udell, B.J. SiteOpt: An open-source R-package for site selection and portfolio optimization. Ecography 2021, 44, 1678–1685. [Google Scholar] [CrossRef]
- Bessler, W.; Opfer, H.; Wolff, D. Multi-asset portfolio optimization and out-of-sample performance: An evaluation of Black–Litterman, mean-variance, and naïve diversification approaches. Eur. J. Financ. 2017, 23, 1–30. [Google Scholar] [CrossRef]
- Imbs, J.; Wacziarg, R. Stages of diversification. Am. Econ. Rev. 2003, 93, 63–86. [Google Scholar] [CrossRef]
- Goetzmann, W.N.; Kumar, A. Equity portfolio diversification. Rev. Financ. 2008, 12, 433–463. [Google Scholar] [CrossRef]
- French, K.R.; Poterba, J.M. Investor Diversification and International Equity Markets; Technical Report; National Bureau of Economic Research: Cambridge, MA, USA, 1991. [Google Scholar]
- Rubinstein, M. Markowitz’s “portfolio selection”: A fifty-year retrospective. J. Financ. 2002, 57, 1041–1045. [Google Scholar] [CrossRef]
- Feldman, K. Portfolio Selection, Efficient Diversification of Investments. By Harry M. Markowitz (Basil Blackwell, 1991)£ 25.00. J. Inst. Actuar. 1992, 119, 165–166. [Google Scholar] [CrossRef]
- Levy, H.; Sarnat, M. International diversification of investment portfolios. Am. Econ. Rev. 1970, 60, 668–675. [Google Scholar]
- Zhang, Y.; Zhao, P.; Wu, Q.; Li, B.; Huang, J.; Tan, M. Cost-Sensitive Portfolio Selection via Deep Reinforcement Learning. IEEE Trans. Knowl. Data Eng. 2022, 34, 236–248. [Google Scholar] [CrossRef]
- Samuelson, P.A. Efficient portfolio selection for Pareto-Lévy investments. J. Financ. Quant. Anal. 1967, 107–122. [Google Scholar] [CrossRef]
- Bakar, N.A.; Rosbi, S. Robust Statistical Portfolio Investment in Modern Portfolio Theory: A Case Study of Two Stocks Combination in Kuala Lumpur Stock Exchange. Int. J. Eng. Adv. Technol. 2019. [CrossRef]
- Ramadhiani, R.; Yan, M.; Hertono, G.F.; Handari, B.D. Implementation of e-New Local Search based Multiobjective Optimization Algorithm and Multiobjective Co-variance based Artificial Bee Colony Algorithm in Stocks Portfolio Optimization Problem. In Proceedings of the 2018 2nd International Conference on Informatics and Computational Sciences (ICICoS), Semarang, Indonesia, 30–31 October 2018. [Google Scholar] [CrossRef]
- Chu-Xin, J.; Wan-Yi, C.; Shu-Jing, Y. Robust Portfolio Selection Based on Optimization Methods. In Proceedings of the 2018 37th Chinese Control Conference (CCC), Wuhan, China, 25–27 July 2018. [Google Scholar]
- Kulian, V.; Yunkova, O.; Korobova, M. Digital Optimization of Portfolio with Market Restrictions. In Proceedings of the 2019 IEEE International Conference on Advanced Trends in Information Theory (ATIT) Kyiv, Ukraine, Ukraine, 18–20 December 2019. [Google Scholar] [CrossRef]
- Dai, Y. Portfolio Optimization with Upper Bounds Under a l∞ Risk Measure. In Proceedings of the 2019 16th International Conference on Service Systems and Service Management (ICSSSM), Shenzhen, China, 13–15 July 2019. [Google Scholar] [CrossRef]
- Huang, S.H.; Miao, Y.H.; Hsiao, Y.T. Novel Deep Reinforcement Algorithm with Adaptive Sampling Strategy for Continuous Portfolio Optimization. IEEE Access 2021, 9, 77371–77385. [Google Scholar] [CrossRef]
- Chou, Y.H.; Jiang, Y.C.; Kuo, S.Y. Portfolio Optimization in Both Long and Short Selling Trading Using Trend Ratios and Quantum-Inspired Evolutionary Algorithms. IEEE Access 2021, 9, 152115–152130. [Google Scholar] [CrossRef]
- Belanche, D.; Casaló, L.V.; Flavián, C. Artificial Intelligence in FinTech: Understanding robo-advisors adoption among customers. Ind. Manag. Data Syst. 2019, 119, 1411–1430. [Google Scholar] [CrossRef]
- Jung, D.; Dorner, V.; Weinhardt, C.; Pusmaz, H. Designing a robo-advisor for risk-averse, low-budget consumers. Electron. Mark. 2018, 28, 367–380. [Google Scholar] [CrossRef]
- Fisch, J.E.; Laboure, M.; Turner, J.A. The Emergence of the Robo-Advisor. In Pension Research Council Working Paper; 2018; Available online: https://pensionresearchcouncil.wharton.upenn.edu/wp-content/uploads/2018/12/WP-2018-12-Fisch-et-al.pdf (accessed on 25 September 2022).
- Leow, E.K.W.; Nguyen, B.P.; Chua, M.C.H. Robo-advisor using genetic algorithm and BERT sentiments from tweets for hybrid portfolio optimisation. Expert Syst. Appl. 2021, 179, 115060. [Google Scholar] [CrossRef]
- Brabham, D.C.; Ribisl, K.M.; Kirchner, T.R.; Bernhardt, J.M. Crowdsourcing applications for public health. Am. J. Prev. Med. 2014, 46, 179–187. [Google Scholar] [CrossRef] [PubMed]
- Wan, X.; Ghazzai, H.; Massoud, Y. Mobile Crowdsourcing for Intelligent Transportation Systems: Real-Time Navigation in Urban Areas. IEEE Access 2019, 7, 136995–137009. [Google Scholar] [CrossRef]
- Yuen, M.; King, I.; Leung, K. A Survey of Crowdsourcing Systems. In Proceedings of the 2011 IEEE Third International Conference on Privacy, Security, Risk and Trust and 2011 IEEE Third International Conference on Social Computing, Boston, MA, USA, 9–11 October 2011. [Google Scholar] [CrossRef]
- Mao, K.; Capra, L.; Harman, M.; Jia, Y. A survey of the use of crowdsourcing in software engineering. J. Syst. Softw. 2017, 126, 57–84. [Google Scholar] [CrossRef]
- Lucic, M.C.; Wan, X.; Ghazzai, H.; Massoud, Y. Leveraging Intelligent Transportation Systems and Smart Vehicles Using Crowdsourcing: An Overview. Smart Cities 2020, 3, 341–361. [Google Scholar] [CrossRef]
- Khanfor, A.; Hamrouni, A.; Ghazzai, H.; Yang, Y.; Massoud, Y. A Trustworthy Recruitment Process for Spatial Mobile Crowdsourcing in Large-scale Social IoT. In Proceedings of the 2020 IEEE Technology Engineering Management Conference (TEMSCON), Novi, MI, USA, 3–6 June 2020. [Google Scholar] [CrossRef]
- Tong, Y.; Zhou, Z.; Zeng, Y.; Chen, L.; Shahabi, C. Spatial crowdsourcing: A survey. VLDB J. 2020, 29, 217–250. [Google Scholar] [CrossRef]
- Tahmasebian, F.; Xiong, L.; Sotoodeh, M.; Sunderam, V. Crowdsourcing under data poisoning attacks: A comparative study. In IFIP Annual Conference on Data and Applications Security and Privacy; Springer: Cham, Switzerland, 2020. [Google Scholar]
- Kappel, T. Ex Ante Crowdfunding and the Recording Industry: A Model for the U.S. Loyola Los Angeles Entertain. Law Rev. 2009, 29, 375. [Google Scholar]
- Howe, J. Crowdsourcing: Why the Power of the Crowd Is Driving the Future of Business, 1st ed.; Crown Publishing Group: New York, NY, USA, 2008. [Google Scholar]
- Schwienbacher, A.; Larralde, B. Crowdfunding of Small Entrepreneurial Ventures. In The Oxford Handbook of Entrepreneurial Finance; Oxford University Press: Oxford, UK, 2010. [Google Scholar]
- Hentzen, J.K.; Hoffmann, A.; Dolan, R.; Pala, E. Artificial intelligence in customer-facing financial services: A systematic literature review and agenda for future research. Int. J. Bank Mark. 2022, 40, 1299–1336. [Google Scholar] [CrossRef]
- Northey, G.; Hunter, V.; Mulcahy, R.; Choong, K.; Mehmet, M. Man vs machine: How artificial intelligence in banking influences consumer belief in financial advice. Int. J. Bank Mark. 2022, 40, 1182–1199. [Google Scholar] [CrossRef]
- Zhang, L.; Pentina, I.; Fan, Y. Who do you choose? Comparing perceptions of human vs robo-advisor in the context of financial services. J. Serv. Mark. 2021, 35, 634–646. [Google Scholar] [CrossRef]
- Wang, J.; Zhou, M.; Guo, X.; Qi, L. Multiperiod Asset Allocation Considering Dynamic Loss Aversion Behavior of Investors. IEEE Trans. Comput. Soc. Syst. 2019, 6, 73–81. [Google Scholar] [CrossRef]
- Naik, M.J.; Albuquerque, A.L. Hybrid optimization search-based ensemble model for portfolio optimization and return prediction in business investment. Prog. Artif. Intell. 2022. [Google Scholar] [CrossRef]
- Yan, W.; Wang, H.; Zuo, M.; Li, H.; Zhang, Q.; Lu, Q.; Zhao, C.; Wang, S. A Deep Machine Learning-Based Assistive Decision System for Intelligent Load Allocation under Unknown Credit Status. Comput. Intell. Neurosci. 2022, 2022, 5932554. [Google Scholar] [CrossRef]
- Raby, H.; Ghazzai, H.; Hichem, B.; Massoud, Y. Financial Advisor Recruitment: A Smart Crowdsourcing-assisted Approach. IEEE Trans. Comput. Soc. Syst. 2020, 8, 682–688. [Google Scholar]
- Deng, Y.; Bao, F.; Kong, Y.; Ren, Z.; Dai, Q. Deep Direct Reinforcement Learning for Financial Signal Representation and Trading. IEEE Trans. Neural Netw. Learn. Syst. 2017, 28, 653–664. [Google Scholar] [CrossRef] [PubMed]
- Mitzenmacher, M. A brief history of generative models for power law and lognormal distributions. Internet Math. 2004, 1, 226–251. [Google Scholar] [CrossRef]
- Salakhutdinov, R. Learning deep generative models. Annu. Rev. Stat. Its Appl. 2015, 2, 361–385. [Google Scholar] [CrossRef]
- Jaakkola, T.; Haussler, D. Exploiting generative models in discriminative classifiers. Adv. Neural Inf. Process. Syst. 1999, 11. [Google Scholar]
- Kingma, D.P.; Mohamed, S.; Rezende, D.J.; Welling, M. Semi-supervised learning with deep generative models. Adv. Neural Inf. Process. Syst. 2014, 27. [Google Scholar] [CrossRef]
- Rezende, D.J.; Mohamed, S.; Wierstra, D. Stochastic backpropagation and approximate inference in deep generative models. arXiv 2014, arXiv:1401.4082. [Google Scholar]
- Goodfellow, I.; Pouget-Abadie, J.; Mirza, M.; Xu, B.; Warde-Farley, D.; Ozair, S.; Courville, A.; Bengio, Y. Generative Adversarial Nets. In Advances in Neural Information Processing Systems; Ghahramani, Z., Welling, M., Cortes, C., Lawrence, N.D., Weinberger, K.Q., Eds.; Curran Associates, Inc.: Red Hook, NY, USA, 2014; Volume 27, pp. 2672–2680. [Google Scholar]
- Goodfellow, I.J. NIPS 2016 Tutorial: Generative Adversarial Networks. CoRR 2017, arXiv:1701.00160. [Google Scholar]
- Radford, A.; Metz, L.; Chintala, S. Unsupervised Representation Learning with Deep Convolutional Generative Adversarial Networks. arXiv 2016, arXiv:cs.LG/1511.06434. [Google Scholar]
- Jabbar, A.; Li, X.; Omar, B. A Survey on Generative Adversarial Networks: Variants, Applications, and Training. arXiv 2020, arXiv:cs.CV/2006.05132. [Google Scholar] [CrossRef]
- Pan, Z.; Yu, W.; Yi, X.; Khan, A.; Yuan, F.; Zheng, Y. Recent Progress on Generative Adversarial Networks (GANs): A Survey. IEEE Access 2019, 7, 36322–36333. [Google Scholar] [CrossRef]
- Pan, Z.; Yu, W.; Wang, B.; Xie, H.; Sheng, V.S.; Lei, J.; Kwong, S. Loss Functions of Generative Adversarial Networks (GANs): Opportunities and Challenges. IEEE Trans. Emerg. Top. Comput. Intell. 2020, 4, 500–522. [Google Scholar] [CrossRef]
- Ghosh, B.; Dutta, I.K.; Totaro, M.; Bayoumi, M. A Survey on the Progression and Performance of Generative Adversarial Networks. In Proceedings of the 2020 11th International Conference on Computing, Communication and Networking Technologies (ICCCNT), Kharagpur, India, 1–3 July 2020. [Google Scholar] [CrossRef]
- Zhang, K.; Zhong, G.; Dong, J.; Wang, S.; Wang, Y. Stock Market Prediction Based on Generative Adversarial Network. Procedia Comput. Sci. 2019, 147, 400–406. [Google Scholar] [CrossRef]
- Larkin, K.G. Structural Similarity Index SSIMplified: Is there really a simpler concept at the heart of image quality measurement? arXiv 2015, arXiv:1503.06680. [Google Scholar]
- Wang, Z.; Bovik, A.C.; Sheikh, H.R.; Simoncelli, E.P. Image quality assessment: From error visibility to structural similarity. IEEE Trans. Image Process. 2004, 13, 600–612. [Google Scholar] [CrossRef]
- Erpek, T.; Sagduyu, Y.E.; Shi, Y. Deep Learning for Launching and Mitigating Wireless Jamming Attacks. IEEE Trans. Cogn. Commun. Netw. 2019, 5, 2–14. [Google Scholar] [CrossRef]
- Hodge, J.A.; Mishra, K.V.; Zaghloul, A.I. RF Metasurface Array Design Using Deep Convolutional Generative Adversarial Networks. In Proceedings of the 2019 IEEE International Symposium on Phased Array System & Technology (PAST), Waltham, MA, USA, 15–18 October 2019. [Google Scholar] [CrossRef]
- Prettenhofer, P.; Louppe, G. Gradient boosted regression trees in scikit-learn. PyData 2014, 2014. Available online: https://hdl.handle.net/2268/163521 (accessed on 24 February 2014).
- Wang, S.C. Artificial neural network. In Interdisciplinary Computing in Java Programming; Springer: Berlin/Heidelberg, Germany, 2003; pp. 81–100. [Google Scholar]
- Hamrouni, A.; Ghazzai, H.; Massoud, Y. Many-to-Many Recruitment and Scheduling in Spatial Mobile Crowdsourcing. IEEE Access 2020, 8, 48707–48719. [Google Scholar] [CrossRef]
- Mendoza, M.L.Z.; Antonio, R. Bipartite Graph. In Encyclopedia of Systems Biology; Springer: New York, NY, USA, 2013; pp. 147–148. [Google Scholar]
- Colannino, J.; Damian, M.; Hurtado, F.; Langerman, S.; Meijer, H.; Ramaswami, S.; Souvaine, D.; Toussaint, G. Efficient Many-To-Many Point Matching in One Dimension. Graphs Comb. 2007, 23, 169–178. [Google Scholar] [CrossRef]
- Krishnaswamy, S. Maximum Matching in a Partially Matched Bipartite Graph and Its Applications. In Proceedings of the 2010 2nd International Conference on Computational Intelligence, Communication Systems and Networks, Liverpool, UK, 28–30 July 2010. [Google Scholar] [CrossRef]
Publisher’s Note: MDPI stays neutral with regard to jurisdictional claims in published maps and institutional affiliations. |
© 2022 by the authors. Licensee MDPI, Basel, Switzerland. This article is an open access article distributed under the terms and conditions of the Creative Commons Attribution (CC BY) license (https://creativecommons.org/licenses/by/4.0/).










