The Effect of the Addition Turmeric on Selected Quality Characteristics of Duck Burgers Stored under Refrigeration
Abstract
Featured Application
Abstract
1. Introduction
2. Materials and Methods
2.1. Raw Material Preparation
2.2. Preparing the Burgers
2.3. Sample Cooking and Storage
2.4. Quality Parameters
2.4.1. Assessment of Physical Traits
2.4.2. Sensory Assessment
2.4.3. Statistical Analysis
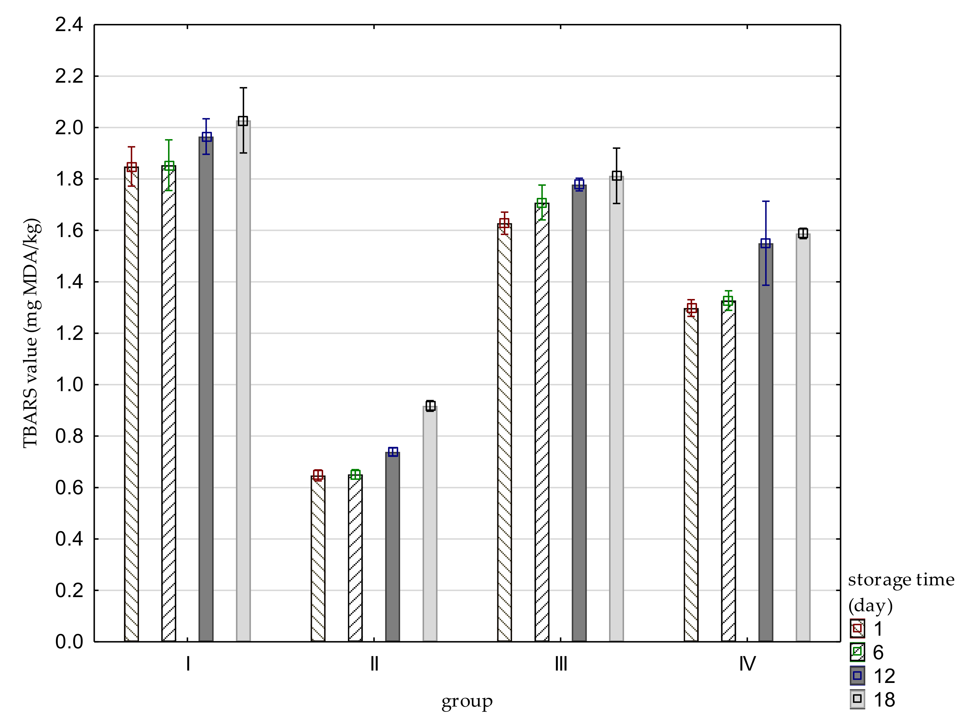
3. Results and Discussion
4. Conclusions
Supplementary Materials
Author Contributions
Funding
Institutional Review Board Statement
Informed Consent Statement
Data Availability Statement
Conflicts of Interest
References
- Błaszczak, A.; Grześkiewicz, W. Functional Foods—Opportunity or Threat for Health? Med. Og. Nauk. Zdr. 2014, 20, 214–221. [Google Scholar] [CrossRef]
- Kozłowska-Strawska, J.; Badora, A.; Chwil, S. Functional and traditional foods—Properties and effect on consumer attitudes. Probl. Hig. Epidemiol. 2017, 98, 212–216. [Google Scholar]
- Adamczyk, G. Popularity of “Convenience Food”. J. Agribus. Rural Dev. 2010, 4, 5–13. [Google Scholar]
- Makała, H. Modification of nutritional value of meat and meat products by changing quantity and composition of fats and by reducing salt content. ŻYWNOŚĆ. Nauka Technol. Jakość 2018, 25, 9–23. [Google Scholar] [CrossRef]
- Hęś, M.; Korczak, J. The influence of different factors on the kinetics of the lipid oxidation in meat. Nauka Przyr. Technol. 2007, 1, 3. [Google Scholar]
- Hęś, M.; Dziedzic, K.; Górecka, D.; Jędrusek-Golińska, A.; Gujska, E. Aloe vera (L.) Webb.: Natural Sources of Antioxidants—A Review. Plant Foods Hum. Nutr. 2019, 74, 255–265. [Google Scholar] [CrossRef]
- Balasundram, N.; Sundram, K.; Samman, S. Phenolic compounds in plants and agri-industrial by-products: Antioxidant activity, occurrence, and potential uses. Food Chem. 2006, 99, 191–203. [Google Scholar] [CrossRef]
- Salminen, H.; Estévez, M.; Kivikari, R.; Heinonen, M. Inhibition of protein and lipid oxidation by rapeseed, camelina and soy meal in cooked pork meat patties. Eur. Food Res. Technol. 2006, 223, 461. [Google Scholar] [CrossRef]
- Lishianawati, T.U.; Yusiati, L.M. Antioxidant effects of black garlic powder on spent duck meat nugget quality during storage. Food Sci. Technol. 2021, 1–8. [Google Scholar] [CrossRef]
- Rathaur, P.; Raja, W.; Ramteke, P.W.; John, S.A. Turmeric: The golden spice of life. Int. J. Pharm. Sci. Res. 2012, 3, 1987–1994. [Google Scholar]
- Przybylska, S. Curcumin—Health-promoting pigment of turmeric. Probl. Hig. Epidemiol. 2015, 96, 414–420. [Google Scholar]
- Yadav, R.P.; Tarun, G. Versatility of turmeric: A review the golden spice of life. J. Pharmacogn. Phytochem. 2017, 6, 41–46. [Google Scholar]
- Hewlings, S.J.; Kalman, D.S. Curcumin: A review of its’ effects on human health. Foods 2017, 6, 92. [Google Scholar] [CrossRef]
- Zhang, Y.; Henning, S.M.; Lee, R.P.; Huang, J.; Zerlin, A.; Li, Z.; Heber, D. Turmeric and black pepper spices decrease lipid peroxidation in meat patties during cooking. J. Food Sci. Nutr. 2015, 66, 260–265. [Google Scholar] [CrossRef]
- Abdeldaiem, M.H. Use of Yellow Pigment Extracted from Turmeric (Curcuma Longa) Rhizomes Powder as Natural Food Preservative. Am. J. Food Sci. Technol. 2014, 2, 36–47. [Google Scholar] [CrossRef]
- Mancini, S.; Preziuso, G.; Dal Bosco, A.; Roscini, V.; Szendro, Z.; Fratini, F.; Paci, G. Effect of turmeric powder (Curcuma longa L.) and ascorbic acid on physical characteristics and oxidative status of fresh and stored rabbit burgers. Meat Sci. 2015, 110, 93–100. [Google Scholar] [CrossRef]
- Milon, M.; Kabir, M.H.; Hossain, M.A.; Rahman, M.; Azad, M.A.K.; Hashem, M.A. Value added beef meatballs using turmeric (Curcuma longa) powder as a source of natural antioxidant. Int. J. Nat. Soc. Sci. 2016, 3, 52–61. [Google Scholar]
- Júnior, M.M.; de Oliveira, T.P.; Gonçalves, O.H.; Leimann, F.V.; Marques, L.L.M.; Fuchs, R.H.B.; Cardoso, F.A.R.; Droval, A.A. Substitution of synthetic antioxidant by curcumin microcrystals in mortadella formulations. Food Chem. 2019, 300, 125231. [Google Scholar] [CrossRef]
- El-Demery, M.; Elsebaie, E.; Zidan, N.; Essa, R. Efficiency of Propolis and Turmeric Powders as Natural Preservatives in Minced Beef. J. Food Dairy Sci. 2016, 7, 45–50. [Google Scholar] [CrossRef]
- De Carvalho, F.A.L.; Munekata, P.E.S.; de Oliveira, A.L.; Pateiro, M.; Domínguez, R.; Trindade, M.A.; Lorenzo, J.M. Turmeric (Curcuma longa L.) extract on oxidative stability, physicochemical and sensory properties of fresh lamb sausage with fat replacement by tiger nut (Cyperus esculentus L.) oil. Food Res. 2020, 136, 109487. [Google Scholar] [CrossRef]
- Febrianta, H.; Yunianto, V.D.; Nurwantoro, N.; Bintoro, V.P. Quality evaluation of chicken breast marinated with encapsulation of turmeric extract. Food Res. 2021, 5, 366–373. [Google Scholar] [CrossRef]
- Taewtatam, C.; Koomkrong, N.; Huanarom, P.; Tubboonmee, T.; Kayan, A. The Physico-Chemical Qualities Characteristics and Lipid Oxidation Properties of Thai-Semi Dried Pork with Four Herbs Extract during Storage. Thai J. Agric. Sci. 2019, 52, 161–171. [Google Scholar]
- Sharma, J.; Pazhaniandi, P.P.; Tanwar, V.K.; Das, S.K.; Goswami, M. Antioxidant effect of turmeric powder, nitrite and ascorbic acid on stored chicken mince. J. Food Sci. Technol. 2012, 47, 61–66. [Google Scholar] [CrossRef]
- Ismoyowati, I.; Indrasanti, D.; Mugiyono, S.; Pangestu, M. Phytogenic compounds do not interfere physiological parameters and growth performances on two Indonesian local breeds of ducks. Vet. World 2019, 12, 1689–1697. [Google Scholar] [CrossRef]
- Augustyńska-Prejsnar, A.; Sokołowicz, Z.; Hanus, P.; Ormian, M.; Kačániová, M. Quality and Safety of Marinating Breast Muscles of Hens from Organic Farming after the Laying Period with Buttermilk and Whey. Animals 2020, 10, 2393. [Google Scholar] [CrossRef]
- International Organization for Standardization; Amendment Polish Committee for Standardization. Microbiology of the Food Chain—Horizontal Method for the Enumeration of Microorganisms—Part 1: Colony Count at 30 °C by the Pour Plate Technique; PN-EN ISO 4833-1:2013-12+Ap1:2016-11; International Organization for Standardization: Geneva, Switzerland, 2013; Amendment Polish Committee for Standardization: Warsaw, Poland, 2016. [Google Scholar]
- International Organization for Standardization. Sensory Analysis—General Guidance for the Selection, Training and Monitoring of Assessors; ISO 8586-2:2008; International Organization for Standardization: Geneva, Switzerland, 2008. [Google Scholar]
- Baryłko-Pikielna, N.; Matuszewska, I. Sensory Testing of Food. Basics—Methods—Application; Polish Society of Food Technologists: Wroclaw, Poland, 2009. (In Polish) [Google Scholar]
- International Organization for Standardization. General Guidelines for the Design of a Sensory Analysis Laboratory; PN-EN ISO 8589:2010; International Organization for Standardization: Geneva, Switzerland, 2010. [Google Scholar]
- Kokoszyński, D.; Saleh, M.; Bernacki, Z.; Topoliński, T.; Andryszczyk, M.; Wirwicki, M. Growth performance, carcass composition, leg bones, and digestive system characteristics in Pekin duck broilers fed a diet diluted with whole wheat grain. Can. J. Anim. Sci. 2019, 99, 781–791. [Google Scholar] [CrossRef]
- Kokoszyński, D.; Wasilewski, R.; Stęczny, K.; Kotowicz, M.; Hrnčar, C.; Arpášová, H. Carcass composition and selected meat quality traits of Pekin ducks from genetic resources flocks. Poultry Sci. 2019, 98, 3029–3039. [Google Scholar] [CrossRef]
- Onk, K.; Yalcintan, H.; Sari, M.; Isik, S.A.; Yakan, A.; Ekiz, B. Effects of genotype and sex on technological properties and fatty acid composition of duck meat. Poultry Sci. 2019, 98, 491–499. [Google Scholar] [CrossRef]
- Maurya, P.; Borpuzari, R.N.; Nath, D.R.; Nath, N.C. Effect of starter culture and turmeric on physico-chemical quality of carabeef pastirma. J. Food Sci. Technol. 2010, 47, 89–93. [Google Scholar] [CrossRef][Green Version]
- Troy, D.J.; Tiwari, B.K.; Joo, S.-T. Health Implications of Beef Intramuscular Fat Consumption. Korean J. Food Sci. Anim. Resour. 2016, 36, 577–582. [Google Scholar] [CrossRef]
- Bae, I.K.; Kim, K.J.; Choi, J.S.; Choi, Y.I.; Ha, J.H. Quality Properties and Storage Characteristics of Pyeonyuk with Different Additional Levels of Turmeric Powder. Food Sci. Anim. Resour. 2019, 39, 35–44. [Google Scholar] [CrossRef]
- Gul, P.; Bakht, J. Antimicrobial activity of turmeric extract and its potential use in food industry. J. Food Sci. Technol. 2013, 52, 2272–2279. [Google Scholar] [CrossRef]
- Demirhan, B. The effect of turmeric on microbial quality in meatballs. Harran Tarım Gıda Bilimleri Derg. 2020, 24, 9–16. [Google Scholar] [CrossRef]
- Rahman, M.H.; Alam, M.S.; Monir, M.M.; Ahmed, K. Comprehensive effects of black cumin (Nigella sativa) and synthetic antioxidant on sensory and physicochemical quality of beef patties during refrigerant storage. J. Agric. Food Res. 2021, 4, 100145. [Google Scholar] [CrossRef]
- Chattopadhyay, I.; Biswas, K.; Bandyopadhyay, U.; Banerjee, R.K. Turmeric and curcumin: Biological actions and medicinal applications. Curr. Sci. 2004, 87, 44–53. [Google Scholar]
- Hleap-Zapata, J.I.; Romero-Quintana, L.; Botina-Cárdenas, J.; Martínez-Martínez, C.A.; Valenciano-Pulido, Y.; Higuita-Diaz, K. Effect of the partial replacement of wheat flour with turmeric flour (Curcuma longa) on the physicochemical and sensory properties of a common chorizo. DYNA 2020, 87, 46–52. [Google Scholar] [CrossRef]
- Doğan, S.; Ayyıldız, Y.; Doğan, M.; Alan, U.; Diken, M.E. Characterisation of polyphenol oxidase from Melissa officinalis L. subsp. officinalis (lemon balm). Czech J. Food Sci. 2013, 31, 156–165. [Google Scholar] [CrossRef]
- Fernández-López, J.; Zhi, N.; Aleson-Carbonell, L.; Pérez-Alvarez, J.A.; Kuri, V. Antioxidant and antibacterial activities of natural extracts: Application in beef meatballs. Meat Sci. 2005, 69, 371–380. [Google Scholar] [CrossRef]
- Khanna, N. Turmeric: Nature’s precious gift. Curr. Sci. 1999, 76, 1351–1356. [Google Scholar]
- Jayaprakasha, G.K.; Jena, B.S.; Negi, P.S.; Sakariah, K.K. Evaluation of antioxidant activities and antimutagenicity of turmeric oil: A byproduct from curcumin production. Z. Nat. C 2002, 57, 828–835. [Google Scholar] [CrossRef]
- Troy, D.J.; Kerry, J.P. Consumer perception and the role of science in the meat industry. Meat Sci. 2010, 86, 214–226. [Google Scholar] [CrossRef]



| Ingredient | Variants of Product | |||||
|---|---|---|---|---|---|---|
| Group I | Group II | Group III | Group IV | |||
| Slaughter duck breast muscle with skin | 90.80 | 90.40 | 90.80 | 88.00 | ||
| Water | 8.00 | 8.00 | 8.00 | 8.00 | ||
| Salt | 1.00 | 1.00 | 1.00 | 1.00 | ||
| Ground black pepper | 0.20 | 0.20 | - | - | ||
| Turmeric powder | - | 0.40 | - | - | ||
| Turmeric extract | - | - | 0.30 | - | ||
| Paste turmeric | Turmeric powder | - | - | - | 3.00 | 0.40 | 
| Ground black pepper | - | - | - | 0.20 | ||
| Water | - | - | - | 1.60 | ||
| Coconut oil | - | - | - | 0.80 | ||
| Formulations | Group | Storage Time (day) | ||||
|---|---|---|---|---|---|---|
| 1 | 6 | 12 | 18 | p Value | ||
| pH | I | a 6.10 ± 0.02 A | b 6.19 ± 0.13 A | c,b 6.20 ± 0.01 A | c 6.22 ± 0.02 A | 0.0000 | 
| II | a 6.07 ± 0.01 B | a,c 6.09 ± 0.02 B | c 6.10 ± 0.01 B | c 6.10 ± 0.05 B | 0.0016 | |
| III | a 6.09 ± 0.01 A,B | b 6.11 ± 0.01 C | c,b 6.12 ± 0.01 B | c 6.13 ± 0.02 C | 0.0000 | |
| IV | a 6.08 ± 0.01 B,C | a,c 6.09 ± 0.01 B | b 6.11 ± 0.01 B | b,c 6.10 ± 0.01 D | 0.000 | |
| p value | 0.0052 | 0.0000 | 0.0000 | 0.0000 | ||
| Weight loss (%) | I | a 24.61 ± 0.86 A | b 21.41 ± 0.77 A | b 21.16 ± 1.04 A | c 20.16 ± 1.66 A | 0.0005 | 
| II | a 32.65 ± 0.29 B | b 27.19 ± 1.53 B | c 26.92 ± 0.39 B | d 26.51 ± 0.83 B | 0.0040 | |
| III | a 28.41 ± 0.49 C | b,c 25.07 ± 1.21 C | b 25.36 ± 0.58 C | c 24.89 ± 0.88 C | 0.0001 | |
| IV | a 31.31 ± 0.65 D | b 27.20 ± 1.7 4 B | c 25.56 ± 0.88 C | c 25.50 ± 0.27 D | 0.0000 | |
| p value | 0.0000 | 0.0001 | 0.0000 | 0.0000 | ||
| Warner–Bratzler Shear force N | I | a 8.86 ± 1.84 | b 13.21 ± 2.38 A | c 11.57 ± 0.74 | c 11.18 ± 1.11 A | 0.0000 | 
| II | a 9.65 ± 1.10 | a 9.49 ± 1.11 B | a 10.06 ± 1.34 | b 7.88 ± 1.00 B,C | 0.0037 | |
| III | a,b 9.55 ± 1.93 | a 10.39 ± 1.62 B | a,b 9.55 ± 1.42 | b 8.13 ± 0.82 A,C | 0.0172 | |
| IV | a 9.74 ± 1.44 | a 10.00 ± 1.54 A | b 8.28 ± 2.23 | c 6.78 ± 0.59 B | 0.0000 | |
| p value | 0.7793 | 0.0000 | 0.1360 | 0.0002 | ||
| Total microorga-nisms count (log CFU.g−1) | I | a 3.12 ± 0.13 A | b 4.66 ± 0.29 A | b 4.71 ± 0.28 A | c 6.11 ± 0.19 A | 0.0000 | 
| II | a 2.21 ± 0.08 B | b 3.08 ± 0.18 B | c 3.45 ± 0.16 B | d 4.12 ± 0.15 B | 0.0000 | |
| III | a 3.08 ± 0.09 A | b 4.68 ± 0.24 A | b 4.72 ± 0.24 A | c 5.23 ± 0.19 C | 0.0000 | |
| IV | a 2.33 ± 0.17 B | b 3.42 ± 0.15 C | b 3.68 ± 0.21 B | c 4.70 ± 0.23 D | 0.0000 | |
| p value | 0.0000 | 0.0000 | 0.0000 | 0.0000 | ||
| Group | Storage Time (Day) | |||||
|---|---|---|---|---|---|---|
| Formulations | 1 | 6 | 12 | 18 | p Value | |
| L*, lightness | I | a 58.01 ± 2.29 A,B | b 63.60 ± 0.74 A | b 63.80 ± 0.99 B | b 62.63 ± 1.95 A | 0.0000 | 
| II | a 62.76 ± 2.19 A | b 66.44 ± 0.70 A,B | b,c 67.30 ± 1.05 B,C | c 68.50 ± 1.04 B | 0.0000 | |
| III | a 58.86 ± 3.71 B | b 66.79 ± 2.17 A,B | b 67.75 ± 1.53 B | b 67.02 ± 1.18 A,B | 0.0000 | |
| IV | a 60.74 ± 3.08 AB | b 65.34 ± 1.08 B | b 65.72 ± 1.74 A,C | b 66.04 ± 1.75 A | 0.0000 | |
| p value | 0.0160 | 0.0060 | 0.0105 | 0.0063 | ||
| a*, redness | I | a 6.58 ± 0.44 A | b 5.62 ± 0.39 A | c 5.39 ± 0.38 A | d 5.38 ± 0.77 A | 0.0000 | 
| II | a 1.68 ± 0.49 B | a 2.11 ± 0.43 B | b 2.68 ± 0.45 B | c 4.83 ± 0.30 B | 0.0000 | |
| III | 8.52 ± 0.91 C | 9.94 ± 1.99 C | 9.44 ± 0.57 C | 9.14 ± 0.83 A | 0.0980 | |
| IV | a 3.37 ± 0.64 D | b 3.30 ± 0.54 B,D | c 4.04 ± 0.90 D | c 4.81 ± 0.71 B | 0.0000 | |
| p value | 0.0000 | 0.0000 | 0.0000 | 0.0000 | ||
| b*, yellowness | I | 13.46 ± 3.06 A | 13.76 ± 0.64 A,C | 13.43 ± 0.33 A | 14.60 ± 0.32 A | 0.3739 | 
| II | a b 35.74 ± 1.56 B | c 33.27 ± 1.27 B | a 33.25 ± 0.80 B | b,c 34.83 ± 0.57 B | 0.0008 | |
| III | a 13.27 ± 0.78 A | a 13.51 ± 0.61 C | a,b 13.87 ± 0.42 A | b 14.41 ± 0.71 A | 0.0023 | |
| IV | a 34.17 ± 1.97 B | c 32.09 ± 1.08 D | b,c 30.37 ± 1.68 C | b 28.83 ± 0.93 C | 0.0000 | |
| p value | 0.0000 | 0.0000 | 0.0000 | 0.0000 | ||
| Publisher’s Note: MDPI stays neutral with regard to jurisdictional claims in published maps and institutional affiliations. | 
© 2022 by the authors. Licensee MDPI, Basel, Switzerland. This article is an open access article distributed under the terms and conditions of the Creative Commons Attribution (CC BY) license (https://creativecommons.org/licenses/by/4.0/).
Share and Cite
Augustyńska-Prejsnar, A.; Topczewska, J.; Ormian, M.; Saletnik, A.; Sokołowicz, Z.; Lechowska, J. The Effect of the Addition Turmeric on Selected Quality Characteristics of Duck Burgers Stored under Refrigeration. Appl. Sci. 2022, 12, 805. https://doi.org/10.3390/app12020805
Augustyńska-Prejsnar A, Topczewska J, Ormian M, Saletnik A, Sokołowicz Z, Lechowska J. The Effect of the Addition Turmeric on Selected Quality Characteristics of Duck Burgers Stored under Refrigeration. Applied Sciences. 2022; 12(2):805. https://doi.org/10.3390/app12020805
Chicago/Turabian StyleAugustyńska-Prejsnar, Anna, Jadwiga Topczewska, Małgorzata Ormian, Aneta Saletnik, Zofia Sokołowicz, and Jadwiga Lechowska. 2022. "The Effect of the Addition Turmeric on Selected Quality Characteristics of Duck Burgers Stored under Refrigeration" Applied Sciences 12, no. 2: 805. https://doi.org/10.3390/app12020805
APA StyleAugustyńska-Prejsnar, A., Topczewska, J., Ormian, M., Saletnik, A., Sokołowicz, Z., & Lechowska, J. (2022). The Effect of the Addition Turmeric on Selected Quality Characteristics of Duck Burgers Stored under Refrigeration. Applied Sciences, 12(2), 805. https://doi.org/10.3390/app12020805
 
         
                                                

 
       