Numerical Study on Single-Bubble Contraction–Rebound Characteristics in Cryogenic Fluids
Abstract
1. Introduction
2. Derivation and Verification of the Single-Bubble Collapse Model
2.1. Derivation of the Single-Bubble Collapse Model
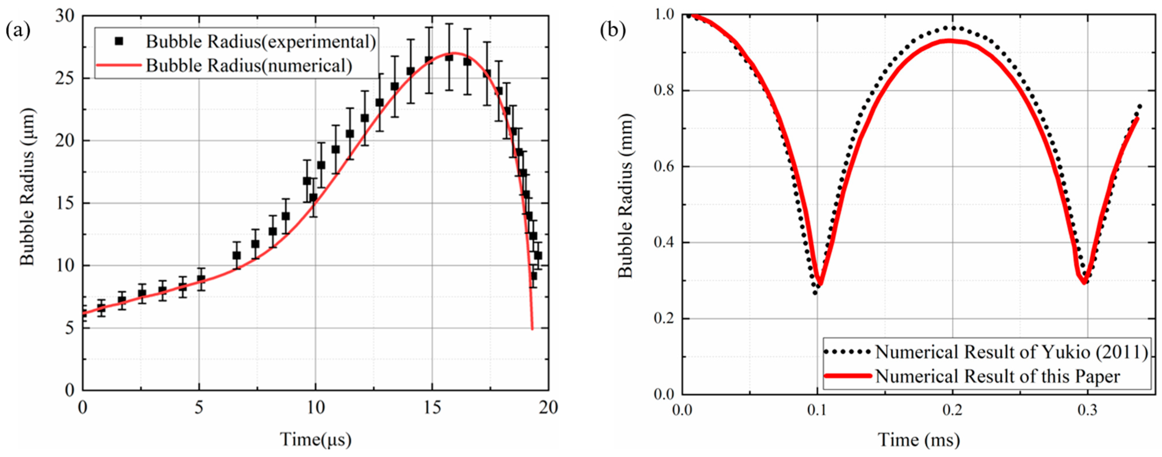
2.2. Verification of the Single-Bubble Collapse Model
3. Comparison of Bubble Collapse in Different Fluids
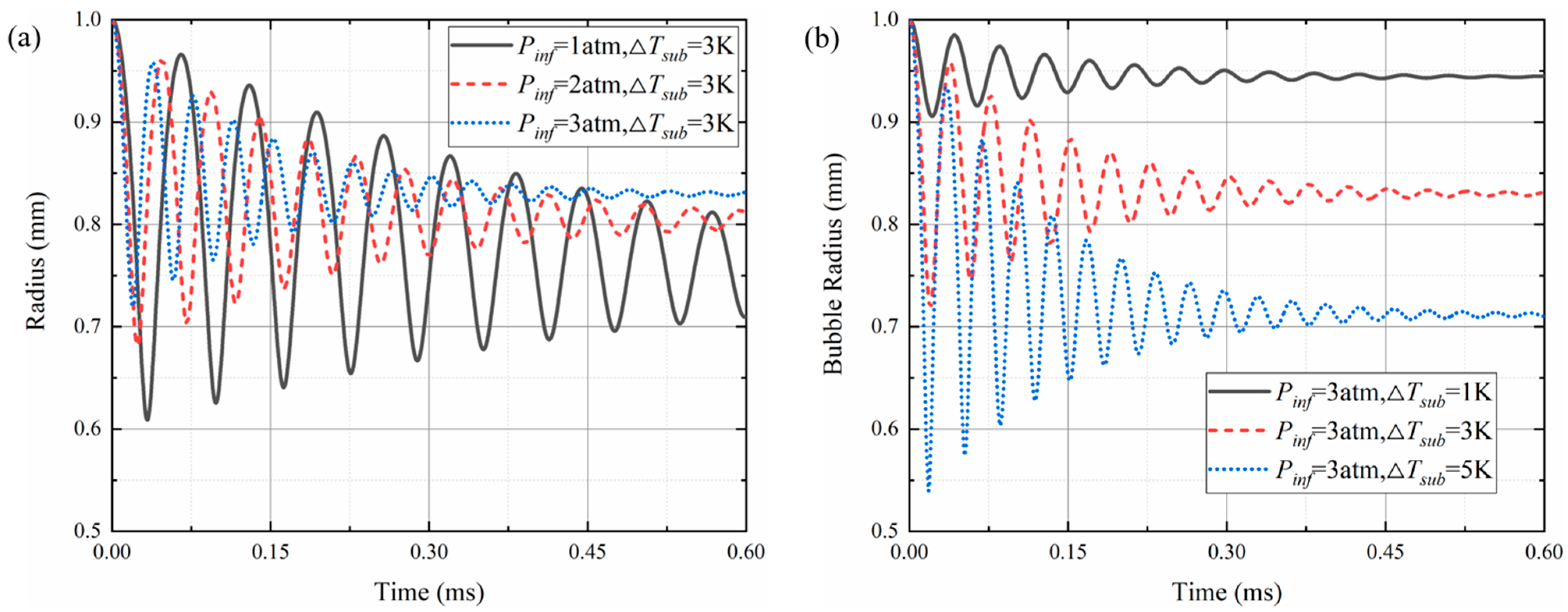
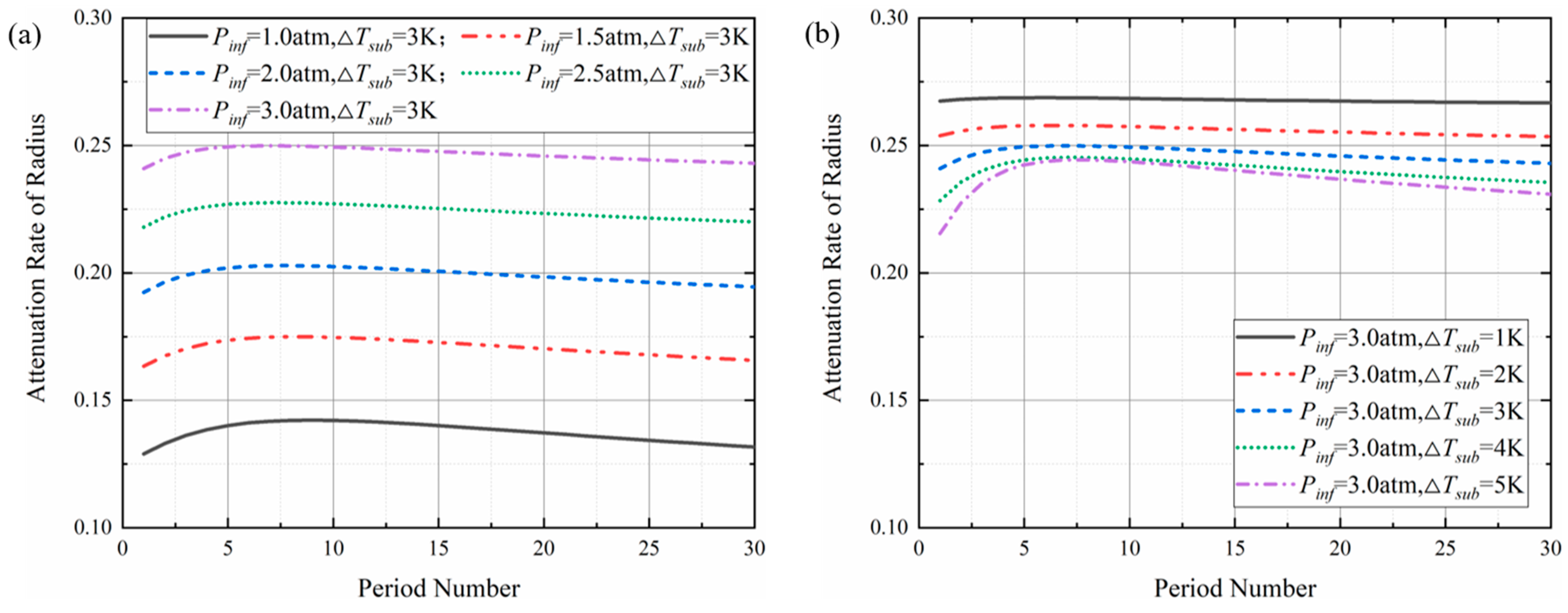
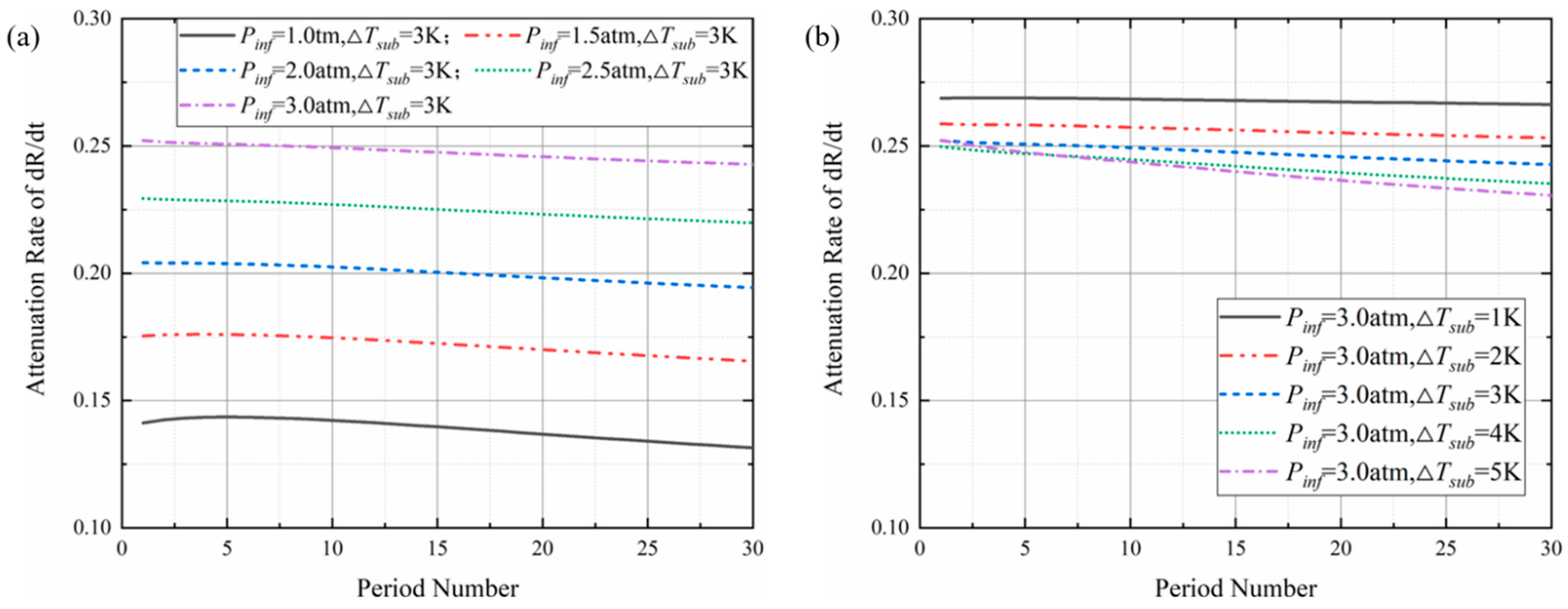
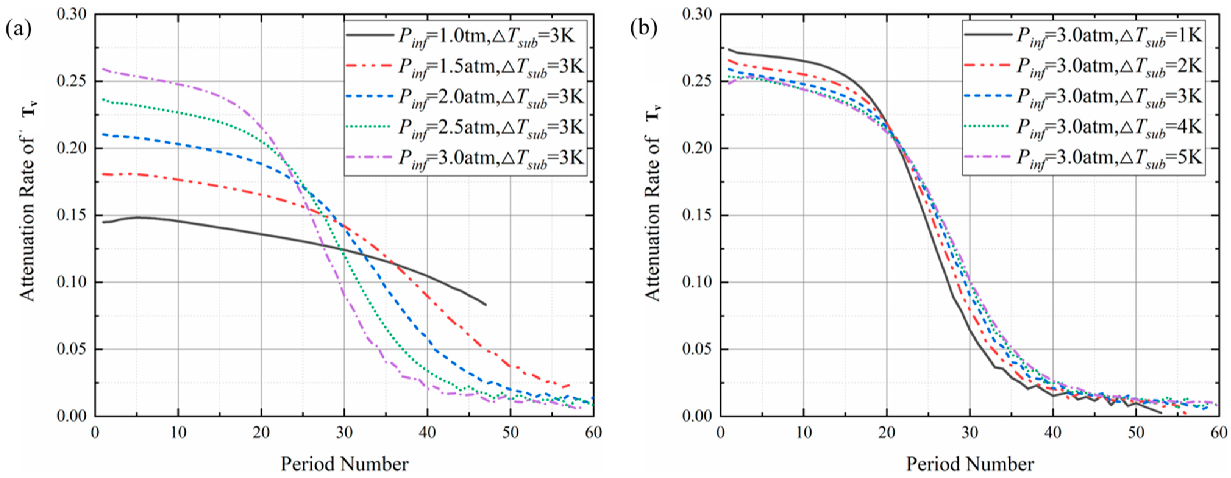
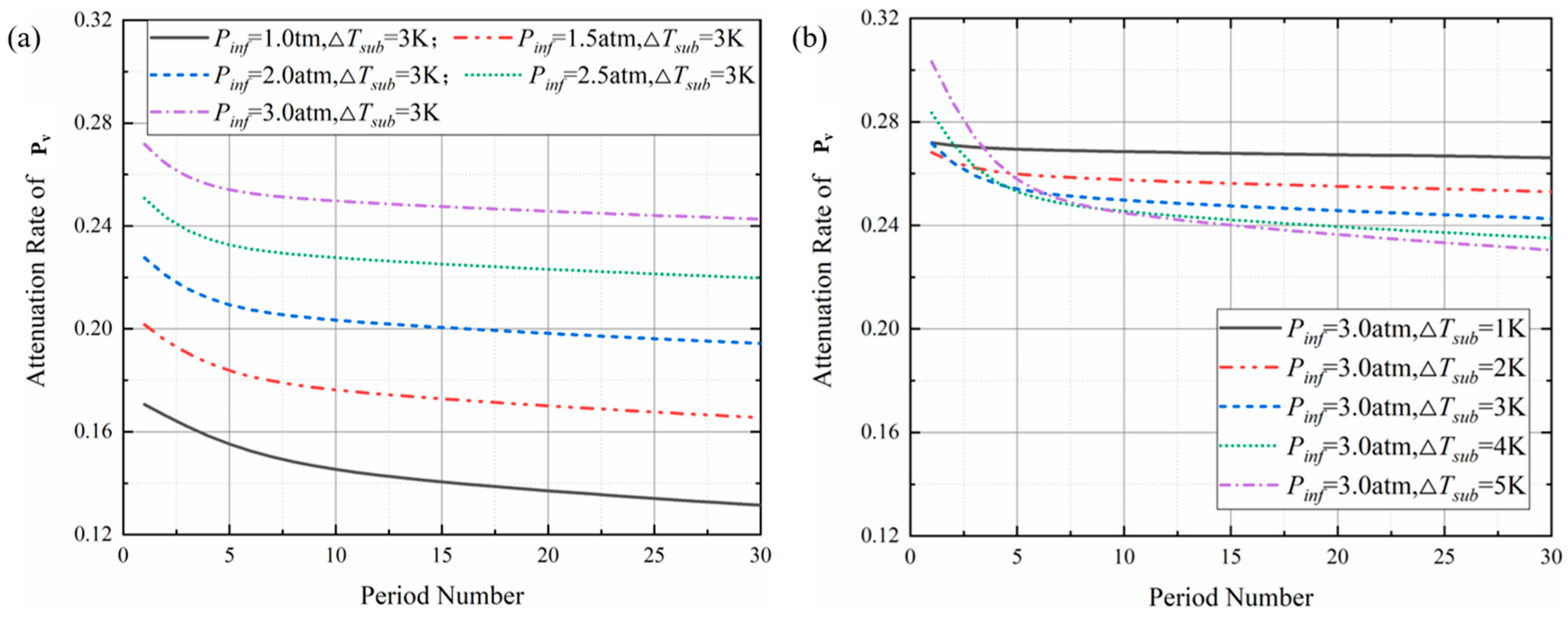
4. Analysis of Periodicity and Attenuation Rate of Bubble Collapse
5. Conclusions and Discussions
- The amplitude of physical parameters increased with the supercooling degree and decreased with the operating pressure. The influence of the supercooling degree on the bubble collapse process was larger than that of the operating pressure. However, the supercooling degree and the operating pressure had different effects on the attenuation rates of the physical parameters. The attenuation rate of every parameter was suppressed with higher operating pressure obviously, and slightly decreased with the supercooling degree. For bubbles in various fluids, the oscillation period was shortened under larger operating pressure and supercooling degree.
- The amplitudes and frequencies of various parameters of bubbles in cryogenic media were higher than those in normal media. Specifically, the amplitude and frequency of every bubble parameter in liquid hydrogen were much larger than that in the other fluids. Moreover, it took the liquid hydrogen bubble the shortest time to reach equilibrium. For different liquids, the magnitude of the attenuation rates of parameters was roughly consistent with that of the standard temperature drop (ΔT) and thermal effect parameters (∑(Tinf)). Moreover, all attenuation rates of bubbles increased with the ambient pressure and decreased with the supercooling degree of the fluid.
- The maximum peak pressure and maximum attenuation rate of the temperature could be roughly predicted using dimensionless numbers. The maximum pressure peak increased monotonically with the dimensionless parameter (Wb/Re) and presented a roughly exponential relationship. Moreover, the maximum attenuation rate of temperature inside the bubble increased with the dimensionless parameter (ΔT/Tinf) monotonously and presented a roughly logarithmic relationship.
Author Contributions
Funding
Institutional Review Board Statement
Informed Consent Statement
Conflicts of Interest
Nomenclature
| L | latent heat of the fluid | μ | dynamic viscosity | |
| P | pressure | ν | kinematic viscosity | |
| R | bubble radius | ρ | density | |
| S | surface tension | molar gas constant | ||
| T | temperature | |||
| c | speed of sound | Subscripts | ||
| k | polytropic exponent | G | noncondensable gases | |
| kl | thermal conductivity of liquid | v | vapor inside bubble | |
| m | mass in boundary layer | l | liquid near bubble boundary | |
| n | species of substances | inf | operating parameters at infinity | |
| t | time | 0 | initial constant | |
| u | radial velocity | |||
| Superscript | ||||
| Greek symbols | i | time step | ||
| α | thermal diffusivity | |||
References
- Frank, D.; Nast, T.; Mix, J. Concept for on orbit liquid hydrogen test bed. Cryogenics 2012, 52, 226–230. [Google Scholar] [CrossRef]
- Zou, D.; Hao, Y.; Wu, H.; Sun, J.; Xu, L.; Li, J. Safety assessment of large-scale all steel LNG storage tanks under wind-borne missile impact. Thin-Walled Struct. 2022, 174, 109078. [Google Scholar] [CrossRef]
- Li, C.; Zheng, S.; Chen, Y.; Zeng, Z. Proposal and parametric analysis of an innovative natural gas pressure reduction and liquefaction system for efficient exergy recovery and LNG storage. Energy 2021, 223, 120022. [Google Scholar] [CrossRef]
- Nitin, B.; Sandilya, P.; Chakraborty, G. Revisiting the dewar design for liquid oxygen storage in fuel cell energy systems. Int. Commun. Heat Mass Transf. 2022, 134, 105975. [Google Scholar] [CrossRef]
- Yang, Q.; Shi, W.; Chang, J.; Bao, W. Maximum thrust for the rocket-ejector mode of the hydrogen fueled rocket-based combined cycle engine. Int. J. Hydrogen Energy 2015, 40, 3771–3776. [Google Scholar] [CrossRef]
- Sun, X.-W.; Guo, Z.-Y.; Huang, W. Passive zero-boil-off storage of liquid hydrogen for long-time space missions. Int. J. Hydrogen Energy 2015, 40, 9347–9351. [Google Scholar] [CrossRef]
- Mayer, T.; Semmel, M.; Morales, M.A.G.; Schmidt, K.M.; Bauer, A.; Wind, J. Techno-economic evaluation of hydrogen refueling stations with liquid or gaseous stored hydrogen. Int. J. Hydrogen Energy 2019, 44, 25809–25833. [Google Scholar] [CrossRef]
- Bauer, A.; Mayer, T.; Semmel, M.; Morales, M.A.G.; Wind, J. Energetic evaluation of hydrogen refueling stations with liquid or gaseous stored hydrogen. Int. J. Hydrogen Energy 2019, 44, 6795–6812. [Google Scholar] [CrossRef]
- Chen, T.; Wang, G.; Huang, B.; Wang, K. Numerical study of thermodynamic effects on liquid nitrogen cavitating flows. Cryogenics 2015, 70, 21–27. [Google Scholar] [CrossRef]
- Brennen, C.E. Cavitation and Bubble Dynamics; Oxford University Press: Oxford, UK, 1995. [Google Scholar]
- Li, G.; Caldwell, S.; Clark, J.A.; Gulick, S.; Hecht, A.; Lascar, D.D.; Levand, T.; Morgan, G.; Orford, R.; Savard, G.; et al. A compact cryogenic pump. Cryogenics 2016, 75, 35–37. [Google Scholar] [CrossRef]
- Lien, Y.C. Bubble Growth Rates at Reduced Pressure; Massachusetts Institute of Technology: Cambridge, MA, USA, 1969. [Google Scholar]
- Board, S.; Duffey, R. Spherical vapour bubble growth in superheated liquids. Chem. Eng. Sci. 1971, 26, 263–274. [Google Scholar] [CrossRef]
- Abdelmessih, A.H. Cocurrent Gas-Liquid Flow; Plenum Press: New York, NY, USA, 1969. [Google Scholar]
- Anderson, L.M.; Hord, J.; Hall, W.J. Cavitation in Liquid Cryogens. 1: Venturi; NASA Center for Aerospace Information (CASI): Cleveland, OH, USA, 1972. Available online: http://ntrs.nasa.gov/search.jsp?R=19720016713 (accessed on 23 September 2022).
- Hord, J. Cavitation in Liquid Cryogens. 2: Hydrofoil; NASA Center for Aerospace Information (CASI): Cleveland, OH, USA, 1973. Available online: http://ntrs.nasa.gov/search.jsp?R=19730007528 (accessed on 23 September 2022).
- Hord, J. Cavitation in Liquid Cryogens. 3: Ogives; NASA Center for Aerospace Information (CASI): Cleveland, OH, USA, 1973. Available online: http://ntrs.nasa.gov/search.jsp?R=19730019421 (accessed on 23 September 2022).
- Hord, J. Cavitation in Liquid Cryogens. 4: Combined Correlations for Venturi, Hydrofoil, Ogives, and Pumps; NASA Center for Aerospace Information (CASI): Cleveland, OH, USA, 1974. Available online: http://ntrs.nasa.gov/search.jsp?R=19740026591 (accessed on 23 September 2022).
- Ball, C.L.; Meng, P.R.; Reid, L. Cavitation Performance of 84deg Helical Inducer Operated in 37degR and 42degR Liquid Hydrogen; National Aeronautics and Space Administration: Washington, DC, USA, 1969; Report No. TM X-1360.
- Ito, Y. The World’s First Test Facility That Enables the Experimental Visualization of Cavitation on a Rotating Inducer in Both Cryogenic and Ordinary Fluids. J. Fluids Eng. 2021, 143, 121105. [Google Scholar] [CrossRef]
- Hewitt, H.C.; Parker, J.D. Bubble Growth and Collapse in Liquid Nitrogen. J. Heat Transf. 1968, 90, 22–26. [Google Scholar] [CrossRef]
- Zwart, P.J.; Gerber, A.G.; Belamri, T. A two-phase flow model for predicting cavitation dynamics. In Proceedings of the Fifth International Conference on Multiphase Flow, Yokohama, Japan, 30 May–3 June 2004. [Google Scholar]
- Habil, S.I. Physical and Numerical Modeling of Unsteady Cavitation Dynamics. In Proceedings of the ICMF-2001, 4th International Conference on Multiphase Flow, New Orleans, LA, USA, 27 May–1 June 2001. [Google Scholar]
- Singhal, A.K.; Athavale, M.M.; Li, H.; Jiang, Y. Mathematical Basis and Validation of the Full Cavitation Model. J. Fluids Eng. 2002, 124, 617–624. [Google Scholar] [CrossRef]
- Robinson, A.; Judd, R. Bubble growth in a uniform and spatially distributed temperature field. Int. J. Heat Mass Transf. 2001, 44, 2699–2710. [Google Scholar] [CrossRef]
- Robinson, A.; Judd, R. The dynamics of spherical bubble growth. Int. J. Heat Mass Transf. 2004, 47, 5101–5113. [Google Scholar] [CrossRef]
- Zhang, X.; Qiu, L.; Gao, Y. Computational fluid dynamic study on cavitation in liquid nitrogen. Cryogenics 2008, 48, 432–438. [Google Scholar] [CrossRef]
- Xu, B.; Feng, J.; Wan, F.; Zhang, D.; Shen, X.; Zhang, W. Numerical investigation of modified cavitation model with thermodynamic effect in water and liquid nitrogen. Cryogenics 2020, 106, 103049. [Google Scholar] [CrossRef]
- Le, A.D.; Okajima, J.; Iga, Y. Numerical simulation study of cavitation in liquefied hydrogen. Cryogenics 2019, 101, 29–35. [Google Scholar] [CrossRef]
- Li, D.; Ren, Z.; Li, Y.; Gong, R.; Wang, H. Thermodynamic effects on the cavitation flow of a liquid oxygen turbopump. Cryogenics 2021, 116, 103302. [Google Scholar] [CrossRef]
- Ito, Y. Numerical Model and Validation for Cryogenic High-Speed Cavitating Flow Based on Bubble Size Distribution Model in Consideration of Rigorous Heat Transfer around Bubble and Bubble Oscillation. J. Jpn. Soc. Aeronaut. Space Sci. 2008, 56, 456–463. [Google Scholar] [CrossRef][Green Version]
- Ito, Y.; Zheng, X.; Nagasaki, T. One-way Coupling Numerical Simulation of Cryogenic Cavitation Around an Inducer. Int. J. Fluid Mach. Syst. 2019, 12, 235–243. [Google Scholar] [CrossRef]
- Kimoto, H. Experimental Evaluation of the Effects of a Water Microjet and a Shock Wave by a Local Pressure Sensor; American Society of Mechanical Engineers, Fluids Engineering Division (Publication) FED: New York, NY, USA, 1987; Volume 57, pp. 217–224. Available online: https://search.ebscohost.com/login.aspx?direct=true&db=edselc&AN=edselc.2-52.0-0023566640&lang=zh-cn&site=eds-live. (accessed on 23 September 2022).
- Rayleigh, L. VIII. On the pressure developed in a liquid during the collapse of a spherical cavity. Lond. Edinb. Dublin Philos. Mag. J. Sci. 1917, 34, 94–98. [Google Scholar] [CrossRef]
- Plesset, M.S. The Dynamics of Cavitation Bubbles. J. Appl. Mech. 1949, 16, 277–282. [Google Scholar] [CrossRef]
- Herring, G. Theory of the pulsations of the gas bubble produced by an underwater explosion. OSRD Rpt. 1950, 236, 1941. [Google Scholar]
- Trilling, L. The Collapse and Rebound of a Gas Bubble. J. Appl. Phys. 1952, 23, 14–17. [Google Scholar] [CrossRef]
- Liu, Y.; Chen, W.; Huang, W.; Gao, X.; Jiang, L.; Xu, J.; Zhu, Y. High Precision Measurement Technique of Steady State Acoustic Cavitation Bubble. Chin. Sci. Bull. 2005, 50, 2458–2462. (In Chinese) [Google Scholar] [CrossRef]
- Akira, S.; Yukio, T. On the Behavior of a Spherical Bubble and the Impulse Pressure in a Viscous Compressible Liquid. Bull. JSME 2011, 20, 1453–1460. [Google Scholar]
- Moradi, R.; Groth, K.M. Hydrogen storage and delivery: Review of the state of the art technologies and risk and reliability analysis. Int. J. Hydrogen Energy 2019, 44, 12254–12269. [Google Scholar] [CrossRef]























| Publisher’s Note: MDPI stays neutral with regard to jurisdictional claims in published maps and institutional affiliations. | 
© 2022 by the authors. Licensee MDPI, Basel, Switzerland. This article is an open access article distributed under the terms and conditions of the Creative Commons Attribution (CC BY) license (https://creativecommons.org/licenses/by/4.0/).
Share and Cite
Yan, S.; Lai, T.; Zhao, Q.; Qiang, M.; Liu, M.; Ding, W.; Liu, Y.; Hou, Y. Numerical Study on Single-Bubble Contraction–Rebound Characteristics in Cryogenic Fluids. Appl. Sci. 2022, 12, 10839. https://doi.org/10.3390/app122110839
Yan S, Lai T, Zhao Q, Qiang M, Liu M, Ding W, Liu Y, Hou Y. Numerical Study on Single-Bubble Contraction–Rebound Characteristics in Cryogenic Fluids. Applied Sciences. 2022; 12(21):10839. https://doi.org/10.3390/app122110839
Chicago/Turabian StyleYan, Shaohang, Tianwei Lai, Qi Zhao, Mingchen Qiang, Mingzhe Liu, Wenjing Ding, Yutao Liu, and Yu Hou. 2022. "Numerical Study on Single-Bubble Contraction–Rebound Characteristics in Cryogenic Fluids" Applied Sciences 12, no. 21: 10839. https://doi.org/10.3390/app122110839
APA StyleYan, S., Lai, T., Zhao, Q., Qiang, M., Liu, M., Ding, W., Liu, Y., & Hou, Y. (2022). Numerical Study on Single-Bubble Contraction–Rebound Characteristics in Cryogenic Fluids. Applied Sciences, 12(21), 10839. https://doi.org/10.3390/app122110839
 
        




