Influence of the Mesh Topology on the Accuracy of Modelling Turbulent Natural and Excited Round Jets at Different Initial Turbulence Intensities
Abstract
1. Introduction
2. Numerical Modelling
2.1. Computational Configurations
3. Results
- Non-excited jets, where the influence of the coordinate system (Cartesian vs. cylindrical) on an evolution of the natural free jet and analysis of how it changes with the turbulence intensity level is presented;
- Excited jets, where an attempt was made to explain and demonstrate the mechanism of side-jet formation and to show differences in their occurrence when the jets are modelled applying the Cartesian and cylindrical coordinate systems at different turbulence intensity levels.
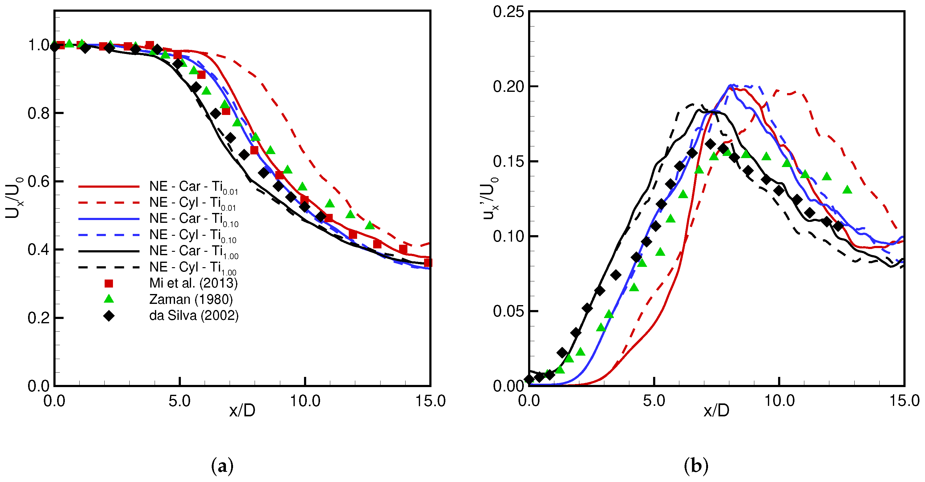
3.1. Non-Excited Jets
3.1.1. Evolution of the Amplitude Spectra
3.1.2. Instantaneous vs. Time-Averaged Results
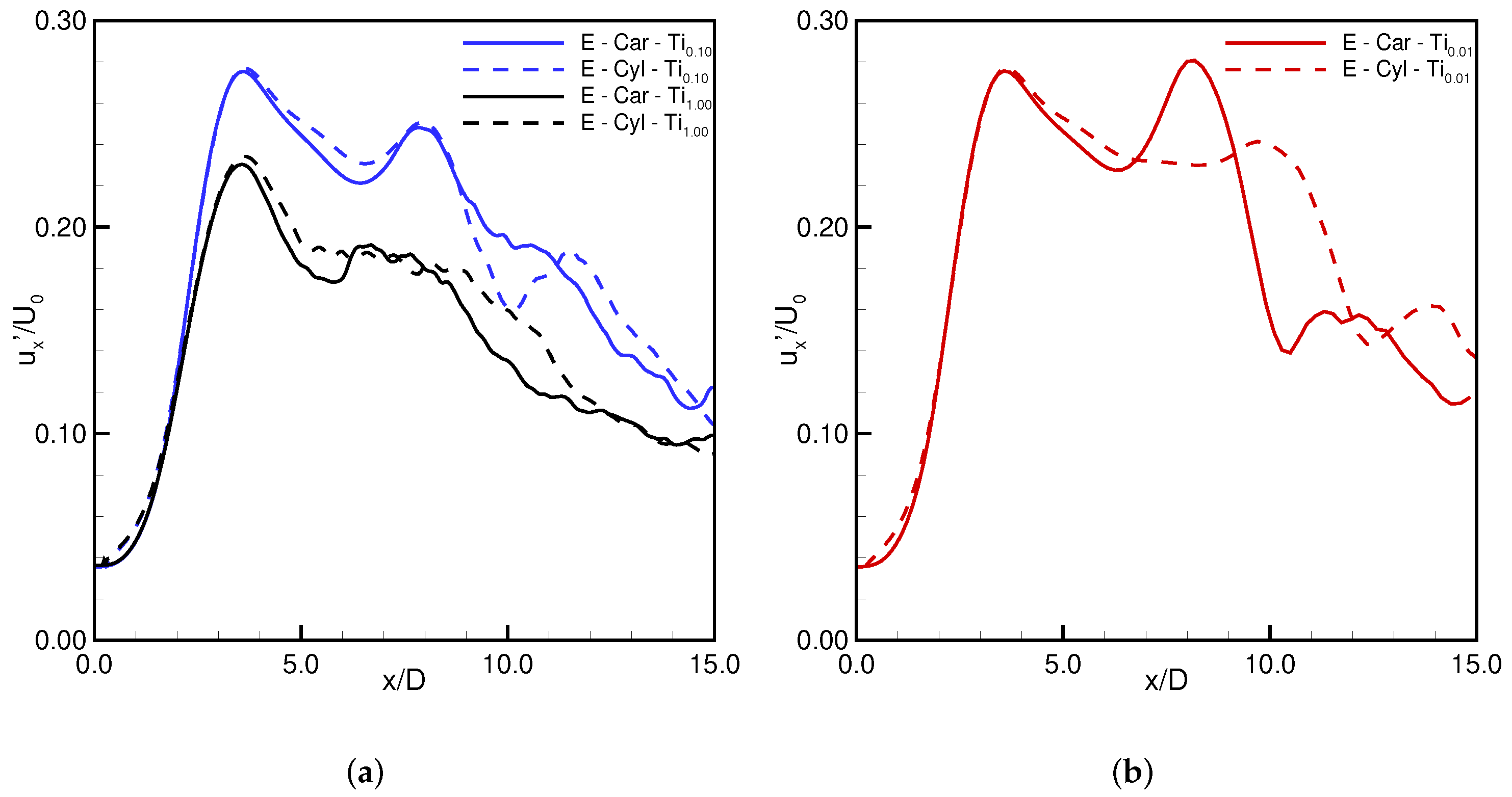
3.2. Excited Jet
3.3. Physics of the Side-Jets Formation Phenomenon
3.3.1. Generation of Longitudinal Streamwise Vortices
3.3.2. Mechanism of the Formation of Side-Jets
3.3.3. Impact of on the Formation of Side-Jets
4. Conclusions
Author Contributions
Funding
Institutional Review Board Statement
Informed Consent Statement
Data Availability Statement
Acknowledgments
Conflicts of Interest
References
- Monkewitz, P.A.; Lehmann, B.; Barsikow, B.; Bechert, D.W. The spreading of self-excited hot jets by side jets. Phys. Fluids A Fluid Dyn. 1989, 1, 446–448. [Google Scholar] [CrossRef]
- Sreenivasan, K.R.; Raghu, S.; Kyle, D. Absolute instability in variable density round jets. Exp. Fluids 1989, 7, 309–317. [Google Scholar] [CrossRef]
- Monkewitz, P.A.; Bechert, D.W.; Barsikow, B.; Lehmann, B. Self-excited oscillations and mixing in a heated round jet. J. Fluid Mech. 1990, 213, 611–639. [Google Scholar] [CrossRef]
- Kyle, D.; Sreenivasan, K.R. The instability and breakdown of a round variable-density jet. J. Fluid Mech. 1993, 249, 619–664. [Google Scholar] [CrossRef]
- Hallberg, M.; Strykowski, P. On the universality of global modes in low-density axisymmetric jets. J. Fluid Mech. 2006, 569, 493–507. [Google Scholar] [CrossRef]
- Monkewitz, P.A.; Pfizenmaier, E. Mixing by side jets in strongly forced and self-excited round jets. Phys. Fluids A Fluid Dyn. 1991, 3, 1356–1361. [Google Scholar] [CrossRef]
- Raghu, S.; Monkewitz, P.A.; Lehmann, B. On the mechanism of side-jet generation in periodically excited axisymmetric jets. In Advances in Turbulence 3; Johansson, A.V., Alfredsson, P.H., Eds.; Springer: Berlin, Germany, 1991; pp. 221–226. [Google Scholar]
- Widnall, S.E.; Bliss, D.B.; Tsai, C.Y. The instability of short waves on a vortex ring. J. Fluid Mech. 1974, 66, 35–47. [Google Scholar] [CrossRef]
- Brancher, P.; Chomaz, J.; Huerre, P. Direct numerical simulations of round jets: Vortex induction and side jets. Phys. Fluids 1994, 6, 1768–1774. [Google Scholar] [CrossRef]
- Boguslawski, A.; Tyliszczak, A.; Wawrzak, K. Large eddy simulation predictions of absolutely unstable round hot jet. Phys. Fluids 2016, 28, 025108. [Google Scholar] [CrossRef]
- Gohil, T.B.; Saha, A.K.; Muralidhar, K. Direct numerical simulation of forced circular jets: Effect of varicose perturbation. Int. J. Heat Fluid Flow 2013, 44, 524–541. [Google Scholar] [CrossRef]
- Wawrzak, K.; Boguslawski, A. Impact of numerical method on a side jets formation in a round jet. J. Phys. Conf. Ser. 2016, 760, 012040. [Google Scholar] [CrossRef]
- Gnanaskandan, A.; Bellan, J. Side-jet effects in high-pressure turbulent flows: Direct Numerical Simulation of nitrogen injected into carbon dioxide. J. Supercrit. Fluids 2018, 140, 165–181. [Google Scholar] [CrossRef]
- Sagaut, P. Large Eddy Simulation for Incompressible Flows: An Introduction, 3rd ed.; Springer: Berlin/Heidelberg, Germany, 2006. [Google Scholar]
- Wawrzak, K.; Boguslawski, A.; Tyliszczak, A. LES predictions of self-sustained oscillations in homogeneous density round free jet. Flow Turbul. Combust. 2015, 95, 437–459. [Google Scholar] [CrossRef]
- Vreman, A. An eddy-viscosity subgrid-scale model for turbulent shear flow: Algebraic theory and applications. Phys. Fluids 2004, 16, 3670–3681. [Google Scholar] [CrossRef]
- Boguslawski, A.; Tyliszczak, A.; Wawrzak, A.; Wawrzak, K. Numerical simulation of free jets. Int. J. Numer. Methods Heat Fluid Flow 2017, 27, 1056–1063. [Google Scholar] [CrossRef]
- Lele, S.K. Compact finite difference schemes with spectral-like resolution. J. Comput. Phys. 1992, 103, 16–42. [Google Scholar] [CrossRef]
- Tyliszczak, A. A high-order compact difference algorithm for half-staggered grids for laminar and turbulent incompressible flows. J. Comput. Phys. 2014, 276, 438–467. [Google Scholar] [CrossRef]
- Constantinescu, G.S.; Lele, S.K. A highly accurate technique for the treatment of flow equations at the polar axis in cylindrical coordinates using series expansions. J. Comput. Phys. 2002, 183, 165–186. [Google Scholar] [CrossRef]
- Klein, M.; Sadiki, A.; Janicka, J. A digital filter based generation of inflow data for spatially developing direct numerical or large eddy simulations. J. Comput. Phys. 2003, 186, 652–665. [Google Scholar] [CrossRef]
- Tyliszczak, A. Parametric study of multi-armed jets. Int. J. Heat Fluid Flow 2018, 73, 82–100. [Google Scholar] [CrossRef]
- Ball, C.G.; Fellouah, H.; Pollard, A. The flow field in turbulent round free jets. Prog. Aerosp. Sci. 2012, 50, 1–26. [Google Scholar]
- Hunt, J.C.R.; Wray, A.A.; Moin, P. Eddies, Streams, and Convergence Zones in Turbulent Flows. Studying Turbulence Using Numerical Simulation Databases, 2. Available online: https://ntrs.nasa.gov/citations/19890015184 (accessed on 10 September 2022).
- Sadeghi, H.; Pollard, A. Effects of passive control rings positioned in the shear layer and potential core of a turbulent round jet. Phys. Fluids 2012, 24, 115103. [Google Scholar] [CrossRef]
- Mi, J.; Xu, M.; Zhou, T. Reynolds number influence on statistical behaviors of turbulence in a circular free jet. Phys. Fluids 2013, 25, 075101. [Google Scholar] [CrossRef]
- da Silva, C.B.; Metais, O. Vortex control of bifurcating jets: A numerical study. Phys. Fluids 2002, 14, 3798–3819. [Google Scholar] [CrossRef]
- Zaman, K.B.M.Q.; Hussain, A.K.M.F. Vortex pairing in a circular jet under controlled excitation. Part 1. general jet response. J. Fluid Mech. 1980, 101, 449–491. [Google Scholar] [CrossRef]
- Tyliszczak, A.; Geurts, B.J. Parametric analysis of excited round jets–numerical study. Flow Turbul. Combust. 2014, 93, 221–247. [Google Scholar] [CrossRef]
- Crow, S.C.; Champagne, F.H. Orderly structure in jet turbulence. J. Fluid Mech. 1971, 48, 547–691. [Google Scholar] [CrossRef]
- Boguslawski, A.; Wawrzak, K.; Tyliszczak, A. A new insight into understanding the Crow and Champagne preferred mode: A numerical study. J. Fluid Mech. 2019, 869, 385–416. [Google Scholar] [CrossRef]
- Tyliszczak, A.; Kuban, L.; Stempka, J. Numerical analysis of non-excited and excited jets issuing from non-circular nozzles. Int. J. Heat Fluid Flow 2022, 94, 108944. [Google Scholar] [CrossRef]

















Publisher’s Note: MDPI stays neutral with regard to jurisdictional claims in published maps and institutional affiliations. |
© 2022 by the authors. Licensee MDPI, Basel, Switzerland. This article is an open access article distributed under the terms and conditions of the Creative Commons Attribution (CC BY) license (https://creativecommons.org/licenses/by/4.0/).
Share and Cite
Wawrzak, K.; Tyliszczak, A. Influence of the Mesh Topology on the Accuracy of Modelling Turbulent Natural and Excited Round Jets at Different Initial Turbulence Intensities. Appl. Sci. 2022, 12, 11244. https://doi.org/10.3390/app122111244
Wawrzak K, Tyliszczak A. Influence of the Mesh Topology on the Accuracy of Modelling Turbulent Natural and Excited Round Jets at Different Initial Turbulence Intensities. Applied Sciences. 2022; 12(21):11244. https://doi.org/10.3390/app122111244
Chicago/Turabian StyleWawrzak, Karol, and Artur Tyliszczak. 2022. "Influence of the Mesh Topology on the Accuracy of Modelling Turbulent Natural and Excited Round Jets at Different Initial Turbulence Intensities" Applied Sciences 12, no. 21: 11244. https://doi.org/10.3390/app122111244
APA StyleWawrzak, K., & Tyliszczak, A. (2022). Influence of the Mesh Topology on the Accuracy of Modelling Turbulent Natural and Excited Round Jets at Different Initial Turbulence Intensities. Applied Sciences, 12(21), 11244. https://doi.org/10.3390/app122111244

