Abstract
The shield tunnel end reinforcement is important in the water-rich sandy strata. In this paper, a trapezoidal freezing soil mass was proposed to reinforce the shield tunnel end, and the reinforcement effects were evaluated based on the Wuhu River-Crossing Tunnel. Firstly, the influences of the freezing soil mass geometric dimensions on the stability of the tunnel portal were analyzed. Then, displacements of the tunnel portal with different trapezoidal freezing soil masses were simulated. Finally, the trapezoidal freezing soil mass was applied in the Wuhu River-Crossing Tunnel. The results show that the portal’s stability is improved significantly with increased freezing soil mass longitudinal length if the length is less than the tunnel diameter. The lower side of the trapezoidal freezing soil mass has a greater influence on the tunnel portal stability than the upper side. The trapezoidal freezing soil mass is more effective than the rectangular freezing soil mass for the Wuhu River-Crossing Tunnel end reinforcement. The trapezoidal freezing soil mass is a good choice for the shield tunnel end soil reinforcement in water-rich sandy strata. This study provides a freezing reinforcement method for the large-diameter shield tunnel end, which provides guidelines for similar engineering.
1. Introduction
With population growth and economic development, the demand for underground space is stronger and stronger. Therefore, tunnel construction is reaching its peak [,]. For tunnel construction, the shield method is commonly used. In the construction process of the shield tunnel, after the sealed gate is broken, the tunnel’s end soil stress distribution changes greatly, which seriously endangers the stability of the end soil. Especially for large-diameter shield tunnels in water-rich sand layers, portal breakage will cause serious engineering accidents easily if the end reinforcement method is unreasonable [,,,]. Thus, a reasonable tunnel-end reinforcement method is required to avoid the engineering accidents.
Many studies have been carried out on tunnel-end soil reinforcement. Chambon [] studied the effects of the length of the tunnel’s unlined segment on the instability of the tunnel face in a sand soil layer using centrifugal model tests. Leca and Dormieux [] believed that the tunnel face could be maintained in a self-stability state if a positive uniformly distributed force of 10 kPa were provided on the tunnel face. Anagnoston and Kovari [] concluded that the destabilizing load of the tunnel face is linearly related to the tunnel diameter, and is not affected by the tunnel’s burial depth and soil density. Wei et al. [] carried out a theoretical analysis of the portal soil stability, using different computational models, based on the Fuxing East Road river-crossing tunnel in Shanghai, China. It was verified that the stability calculated by the sliding theory was conservative and the soil cohesion c was a dominant factor in the stability.
The three-axis mixing pile and artificial freezing method are commonly used for shield tunnel end reinforcement. The three-axis mixing pile can significantly improve soil strength, and is often used to reinforce the shield’s initial end []. However, the sealing effect of the three-axis mixing pile is poor, which causes the water and mud inrush to occur in water-rich sand layers. The artificial freezing method can overcome the above shortcomings. The rectangular freezing soil mass formed by the artificial freezing method not only significantly improves the strength of the tunnel end soil, but also can stop water fully. It has strong collapse resistance, and the construction safety can be greatly improved. The artificial freezing method is an ideal shield tunnel end reinforcement technology. It is especially suitable for the high water-pressure sand soil layer [,,]. After the 1990s, the application of artificial ground-freezing technology became more widespread. The artificial freezing method was used to effectively avoid water gushing in the Valencia subway []. The strength of the frozen soil mass was improved by increasing the water content of the soil in the Dusseldorf central railway station construction []. Li et al. [] summarized the basic principles and characteristics of the artificial freezing method. Compared with other methods of ground reinforcement, the artificial freezing method is more effective at controlling surface displacement and vault settlement. Hu et al. [] pointed out that the freezing method cannot be replaced by other methods for tunnel construction in water-rich soft soil layers, due to its good performance. Yang et al. [] discussed the rectangular freezing soil mass’ design, construction, and influences on the surrounding environment based on the Zhangfuyuan Station of Nanjing Metro, and concluded that the rectangular freezing soil mass was efficient for portal reinforcement. The rectangular freezing soil mass would swell during the construction of the tunnel portal, which would have negative influences on the surrounding environment. It was concluded that a reasonable model must be used to predict the ground swelling deformation during the design stage of the tunnel [,]. Zhang [] studied the performance of a cup-shaped freezing body through field monitoring and numerical analysis, and proposed a model of water-thermal-force coupling to evaluate the swelling deformation of the ground surface. Chen [] conducted two types of frost heaving tests, namely vertical freezing and lateral freezing tests of remodeled clay soils. The swelling characteristics of the rectangular freezing soil mass were revealed by analyzing the differences between the two types of test results.
In summary, the above research mainly focused on the performance of the rectangular freezing soil mass, and there is little research on the trapezoidal freezing soil mass for tunnel portal reinforcement. For the rectangular freezing soil mass, the differences in soil load between the top and bottom of the large-diameter tunnel were not taken into account, and the top and bottom of the tunnel were reinforced in the same way. This caused a huge economic waste.
In this paper, trapezoidal freezing soil mass was proposed to reinforce the soil at the tunnel’s initial end. Based on the Wuhu River-Crossing Tunnel, the relationship between the longitudinal length of trapezoidal freezing soil mass and portal stability is established according to the tunnel portal damage mode. Then, the numerical simulation method is applied to study the influences of the length of the upper and lower sides of the trapezoidal freezing soil mass on the displacement of the tunnel portal. Finally, the trapezoidal freezing soil mass was applied in the Wuhu River-Crossing Tunnel and the reinforcement effects were analyzed. This study provides an optimized solution for the soil reinforcement of shield tunnel portals in the water-rich sand layer, which has important engineering significance.
2. Project Profile
The Wuhu River-Crossing Tunnel is located at the Yangtze River in Wuhu City, Anhui Province, China, as shown in Figure 1. The river-crossing tunnel is an urban expressway tunnel. The expressway has six lanes and the design speed is 80 km/h. The inner diameter of the shield tunnel is 13.3 m and the outer diameter is 14.5 m.

Figure 1.
Position of Wuhu River-Crossing Tunnel.
The landform of the engineering site belongs to the alluvial plain of the middle and lower reaches of the Yangtze River, which is mainly the first-class terrace of the Yangtze River. The elevation of Wuwei bank ranges from 2.0 to 11.5 m, and that of Wuhu bank ranges from 3.5 to 11.7 m. The Yangtze River flows through the tunnel site area in the southwest–northeast direction, and the riverbed is irregularly U-shaped. The perennial water depth is about 30 m. As shown in Figure 2, the stratigraphic structure of this site is complex. The strata from top to bottom are silty clay, silty powder clay, powder sand, and fine sand. The thicknesses of the strata are about 1 m, 7.5 m, 18 m, and 20 m, respectively. The buried depth of the tunnel’s initial end is approximately 10.43 m. During the tunneling process, monitoring points were set up at the top, bottom, left, and right sides of the tunnel, as shown in Figure 2.

Figure 2.
Geological profile of the site.
The rectangular freezing soil mass and three-axis mixing pile were used for reinforcing the right line’s initial end. Figure 3 shows the schematic diagram of the Wuhu River-Crossing Tunnel end reinforcement. The reinforcement body’s dimensions are as follows: the longitudinal length of the mixing pile (along the tunnel axis) is 20 m; the height of the mixing pile is 29.93 m; and the width of the mixing pile and freezing soil mass is 45.5 m. The longitudinal length of the rectangular freezing soil mass is 3 m, and the height of the freezing soil mass is 28.93 m.

Figure 3.
The schematic diagram of the Wuhu River-Crossing Tunnel end reinforcement.
3. Theoretical Analysis of Tunnel Portal Stability
The soil body of the tunnel portal is subjected to the upper soil body load and ground load P. When the sealing door is removed, the tunnel portal soil body equilibrium is broken and a sliding surface may be formed. Thus, damage occurs, as shown by the dashed line in Figure 4. This sliding surface is assumed to be a circular arc, with the top of the tunnel portal as the center and the diameter D1 of the tunnel portal as the radius. The sliding moment is greater than the resistance moment on the circular arc surface. To enhance the stability of the soil body in the tunnel portal area, it is necessary to reinforce the soil body and enhance the resistance moment on the sliding surface. The sliding moment of the soil body consists of three parts, which are the sliding moment caused by the ground load P, the sliding moment caused by the self-weight of the upper soil body, and the sliding moment caused by the self-weight of the sliding soil body. The resistance moment of the soil body is composed of the resistance moment of the soil body before reinforcement and the increasing resistance moment after reinforcement of the soil body. The increased resistance moment after reinforcement of the soil body is especially critical for tunnel portal stability. These expressions can be computed as followed.

Figure 4.
The stability calculation model of the tunnel portal with rectangular freezing soil mass.
M1(kN·m) is the sliding moment due to ground load P;
M2(kN·m) is the sliding moment caused by the self-weight of the upper soil;
M3(kN·m) is the sliding moment caused by the sliding soil body.
Mr(kN·m) is the resistance moment before soil reinforcement;
∆Mr(kN·m) is the increased resistance moment after soil body reinforcement.
Increased resistance moment after soil body reinforcement ΔMr:
∆c(kPa) is the increased value of cohesion after soil body reinforcement;
θ is the center angle of the circle corresponding to the reinforcement body, ;
D1(m) is the diameter of the tunnel portal;
L(m) is the longitudinal length of the rectangular freezing soil mass.
The equilibrium condition for the stable soil mass:
K is the slip stability coefficient.
The relationship between slip stability coefficient K and θ is as follows.
When the rectangular freezing soil mass longitudinal length L is smaller than the diameter of tunnel portal D1, i.e., , the center angle of circle θ increases with the increase in longitudinal length L. According to Equation (5), the stability coefficient of the tunnel portal also increases with increase in the center angle of the circle θ. When the longitudinal length L is greater than the diameter of tunnel portal D1, the center angle of circle θ equal π/2 and the slip stability coefficient will be constant.
From the Equations (3) and (5), it is known that with the reinforcement width increasing, the resistance moment of the soil body will not increase, and the stability coefficient of the tunnel portal will remain unchanged. Compared with the freezing soil mass length L, the influences of freezing soil mass width on the resistant moment are very small. The influences of freezing soil mass width were ignored, and the width was kept the same in the paper.
From the above analysis, it is clear that the magnitude of the sliding resistance moment is determined by the central angle θ. In addition, the angle affects the stability coefficient of the tunnel portal. Figure 5 and Figure 6 show the theoretical calculation model diagram and the trapezoidal freezing soil mass local enlargement diagram, respectively. The effects of upper side L1 and lower side L2 of trapezoidal freezing soil mass on the central angle θ are analyzed as follows.

Figure 5.
The stability calculation model of the tunnel portal with the trapezoidal freezing soil mass.

Figure 6.
The trapezoidal freezing soil mass.
The trapezoidal freezing soil mass, which is shown in Figure 6a, is separated from Figure 5. The dimensions in Figure 6a have the following relationship.
Substitute Equation (6) into Equation (7), the Equation (10) can be gained.
Substitute Equation (8) into Equation (9), the Equation (11) can be gained.
The part in the red box of Figure 6a was isolated, as shown in Figure 6b. The tunnel portal with trapezoidal freezing soil mass was analyzed separately. The dimensions in Figure 6b have the following relationship.
Substitute Equations (13) and (14) into Equation (15), Equation (16) is obtained.
Substitute Equations (10), (11), and (12) into Equation (16), the center angle of the circle can be computed by Equation (17).
L1(m) is the upper side length of the trapezoidal freezing soil mass;
L2(m) is the lower side length of the trapezoidal freezing soil mass;
d(m) is the length from upper side of the trapezoidal freezing soil mass to the top of the tunnel;
D1(m) is the diameter of the tunnel portal, D1 = 14.5 m.
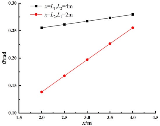
Firstly, the lower side’s length L2 of the trapezoidal freezing soil mass is 4 m, while the upper side’s length L1 ranges from 2 m to 4 m. The upper side length of the trapezoidal soil mass is 2 m, while the lower side’s length L2 ranges from 2 m to 4 m. Figure 7 shows the value of the central angle θ for different L1, and L2. The relationship between θ and L1 can be obtained by linear fitting with when the correlation coefficient is above 0.99. The relationship between θ and L2 can be obtained by linear fitting with , and the correlation coefficient is also above 0.99.

Figure 7.
The value of the central angle θ for different L1, L2.
From the above fitting formulas, it can be seen that the central angle θ increases with the increase in L1 and L2, respectively. The increasing ratio of θ with the L2 increasing is 4.83 times greater than that with the L1 increasing. It means that the central angle θ is more sensitive to L2 than to L1, and that L2 has greater influences on the central angle θ. From Equation (5), it is known that the tunnel portal stability coefficient is proportional to the central angle θ. Therefore, increasing L2 is more effective than increasing L1 for tunnel portal stability. To improve the reinforcement effect, the upper side length of the freezing soil mass can be reduced and the lower side length can be increased. Thus, the trapezoidal freezing soil mass can be used to reinforce the tunnel portal, and its reinforcement effects are superior to the rectangular freezing soil mass.
From the above analysis, it is known that the freezing reinforcement scheme of the Wuhu River-Crossing Tunnel can be optimized. The optimized scheme is as follows. The upper side length of the freezing soil mass is reduced (from 3 m to 2 m), while the lower side length freezing soil mass is increased (from 3 m to 4 m). The freezing soil mass transverse dimensions remain unchanged. The optimized freezing reinforcement body profile is shown in Figure 8.

Figure 8.
Optimized reinforcement scheme diagram of the Wuhu River Crossing end.
4. Three-Dimensional Numerical Simulation on the Influences of Trapezoidal Freezing Soil Mass on Tunnel Portal Displacement
The above derivation process of the theoretical formula is somewhat simplified. For example, the increased cohesion of different soils after reinforcement are regarded as the same. The soil in the freezing area is composed of two types of layers, namely clay and sand, and the cohesion of the reinforced soils is different for the two types of layers. The above theory roughly reveals the influences of trapezoidal freezing soil mass on tunnel portal stability. Therefore, it is necessary to further study the tunnel portal’s stability.
Due to the requirements of complex equipment and the high cost of the experiment, numerical simulation has become an effective method for further research. The numerical simulation method was used to further study the influences of trapezoidal freezing soil mass on the deformation of the tunnel portal.
4.1. Model Establishment
In this section, the numerical simulation method is used to study the influences of upper and lower side dimensions of trapezoidal freezing soil mass on portal deformation.
According to the engineering design data, the outer and inner diameters of the tunnel are 14.5 m and 13.3 m, respectively. The distance between the two tunnels is 21 m, and the buried depth of the tunnel center is 17.68 m. The length of the numerical model is 151.5 m, the width is 90 m, and the height is 69.93 m. The model is divided into five strata: silty clay, muddy silty clay, silt, fine sand, and medium-weathered siltstone, from top to bottom. The thickness for each stratum is 1 m, 7.5 m, 18 m, 20.5 m, and 22.93 m, respectively. The numerical calculation model is shown in Figure 9, and was established using FLAC3D numerical simulation software.

Figure 9.
Three-dimensional numerical calculation model.
The boundary condition was set as followed. The Y direction displacement was fixed on the front and rear boundary of the model; the X direction displacement was fixed on the left and right boundary of the model. The upper boundary of the model was free, and the lower boundary was fixed in the X, Y, and Z directions. The Mohr–Coulomb constitutive model was adopted for every soil layer.
The physical and mechanical parameters of the in situ soil, cement-soil, and freezing cement-soil are shown in Table 1, Table 2 and Table 3, respectively. These parameters were obtained as follows. Firstly, a series of indoor experiments were conducted, including an unconfined compressive test, a triaxial compression test, and a physical parameters test. Thus, the physical and mechanical parameters of soil, cement-soil, and freezing cement-soil were obtained. However, the indoor test conditions were not exactly the same as those of the field. Therefore, the obtained parameters cannot be used in the numerical model. Thus, the parameters should be corrected. In order to guarantee the model to be in reasonable agreement with the field observations, the parameters were corrected according to the field observations. The corrected parameters are shown in Table 1, Table 2 and Table 3, and were used in the numerical model.

Table 1.
Physical and mechanical parameters of the in situ soil.

Table 2.
Physical and mechanical parameters of the cement-soil.

Table 3.
Physical and mechanical parameters of the freezing cement-soil.
4.2. Model Validation
4.2.1. Deformation of the Unreinforced Tunnel Portal
Figure 10 shows the z-direction displacement contour of the unreinforced end when the tunnel portal was broken. It can be seen from the figure that the maximum z-direction displacement is 4.09 m at the top of the portal. The value is much larger than the allowable value. This shows that the tunnel portal is unstable if the tunnel end soils are not reinforced. Therefore, it is necessary to reinforce the tunnel end before the tunnel portal is broken.

Figure 10.
The z-direction displacement contour of the unreinforced tunnel end (unit: m).
4.2.2. Portal Deformation of the Wuhu River-Crossing Tunnel
The portal deformation of the Wuhu River-Crossing Tunnel with the real end reinforcement method was simulated. Figure 11 shows the x and z direction displacement contour of the portal with the real reinforcement method.

Figure 11.
The displacement contour of the portal with the real reinforcement method (unit: m).
From Figure 11, it can be seen that the x-direction displacement is the largest on the left and right sides of the portal, which are −1.74 mm and 1.34 mm, respectively. The z-direction displacement is the largest at the top and bottom of the tunnel, which are 1.49 mm and −1.56 mm, respectively. Compared with the displacement of the unreinforced portal, the z-direction displacement of the reinforced portal decreases significantly.
Figure 12 is the y-direction displacement contour on the longitudinal section of the tunnel with the real end reinforcement method. It can be seen from the figure that when the portal is broken, the soil behind the portal shows an outward movement trend. The y-direction displacement at the center of the portal is the largest, at −9.91 mm.

Figure 12.
The y-direction displacement contour on the longitudinal section of the tunnel with the real reinforcement method (unit: m).
Figure 13 shows field observation displacement and numerical displacement at the portal monitoring point. From the figure, it can be seen that the numerical results at the portal are consistent with the field observation results, and the error does not exceed 10%. This demonstrates that the simulated model is in reasonable agreement with the field observation.

Figure 13.
Observation results and numerical results of the portal monitoring point.
4.3. Influences of Upper and Lower Side Dimensions of Trapezoidal Freezing Soil Mass on the Portal Deformation
From the theoretical analysis in Section 2, it can be seen that the trapezoidal freezing soil mass has a better reinforcement effect than the rectangle freezing soil mass. To further evaluate the performance of trapezoidal freezing soil mass, the influences of trapezoidal freezing soil mass dimensions on the tunnel portal deformation were studied in this section. Firstly, the upper side length of the trapezoidal freezing soil mass L1 was 3 m, while the lower side length L2 was 3 m, 4 m, and 5 m, respectively. The influences of the lower side length of the trapezoidal freezing soil mass on the tunnel portal deformation were analyzed. Then, the lower side length L2 was 3 m, while the upper side length L1 was 1 m, 2 m, and 3 m, respectively. The influences of the upper side length on portal deformation were studied. Finally, the deformation of the tunnel portal, with a longitudinal length of 3 m of rectangular freezing soil mass, was simulated.
The triaxial mixing pile and rectangle freezing method were used in the Wuhu River-Crossing Tunnel. The authors have carried out many studies on the triaxial mixing piles reinforcing the tunnel end alone. The results show that if the triaxial mixing pile’s longitudinal length is 5 m, the maximum tunnel portal deformation is approximately 25 mm. The deformation value is above the allowable value of 15 mm [,]. To highlight the effect of the freezing soil mass, the triaxial mixing pile’s longitudinal length was 5 m in this section.
4.3.1. Influences of the Lower Side Length on the Portal Deformation
Figure 14 shows maximum displacement of the tunnel portal to different lower side lengths of the trapezoidal freezing soil mass. The maximum displacements of the portal were all less than the allowable value of 15 mm. The maximum displacement of the tunnel portal gradually decreased, with the lower side’s length increasing. When the lower side length increased from 3 m to 5 m, the maximum displacement of the tunnel portal decreased by an average of 4.76 mm. This means that the lower side length of the trapezoidal freezing soil mass has an obvious effect on the tunnel portal.

Figure 14.
Maximum displacement of tunnel portal corresponding to different lower side lengths of the trapezoidal freezing soil mass.
4.3.2. Influences of the Upper Side Length on the Portal Deformation
Figure 15 shows the maximum displacement of tunnel portal, corresponding to different upper side lengths of the trapezoidal freezing soil mass. It can be seen from the figure that the maximum displacement of the tunnel portal gradually decreases with the increase in the upper side length. When the upper side length increased from 1 m to 3 m, the maximum displacement of the tunnel portal decreased by an average of 0.93 mm. The decreased value of the maximum tunnel portal displacement with the increase in the lower side length is 5.12 times that with the increase in the upper side length. It can be concluded that increasing the lower side length is more effective than increasing the upper side length for the stability of the tunnel portal, which is consistent with the theoretical analysis results.

Figure 15.
Maximum displacement of tunnel portal corresponding to different upper side lengths of the trapezoidal freezing soil mass.
When the longitudinal length of the rectangular freezing soil mass was 3 m and the upper and lower side length of the trapezoidal freezing soil mass were 2 m and 4 m, respectively, the volumes of the freezing soil masses were the same. The maximum displacements of the tunnel portal in the x, y, and z directions are shown in Table 4. The maximum displacements of the portal reinforced by the trapezoidal freezing soil mass were all lower than those of the portal reinforced by the rectangular freezing soil mass. Thus, when the portal is broken, the trapezoidal freezing soil mass is safer and more reliable than the rectangular freezing soil mass. This also verifies the accuracy of the above theoretical analysis.

Table 4.
Displacement of the tunnel portal with trapezoidal freezing soil mass or rectangular freezing soil mass.
5. The Application of Trapezoidal Freezing Soil Mass in the Wuhu River-Crossing Tunnel
In order to verify the reinforcement effects of the trapezoidal freezing soil mass, it was applied in the Wuhu River-Crossing Tunnel. As mentioned in Section 3, the optimized freezing soil mass dimensions are as follows. The upper and lower side lengths of the trapezoidal freezing soil mass were 2 m and 4 m, respectively. The height and width of the freezing soil mass were unchanged. The mixing pile dimensions were also the same as those in real engineering. The portal displacement was analyzed by the numerical simulation method.
Figure 16 shows the displacement contour of the tunnel portal with the optimization scheme. Figure 16a shows that x-direction displacement is relatively larger on the left and right sides of the portal. The maximum x-direction displacements are −1.09 mm and 1.14 mm, respectively, on the left and right sides of the tunnel portal. Figure 16b shows that the z-direction displacement is relatively larger on the top and bottom of the tunnel portal. The maximum z-direction displacements of the portal are −1.12 mm and 1.14 mm, respectively, on the top and bottom of the tunnel portal.

Figure 16.
The displacement contour of the portal with the optimization scheme (unit: m).
Figure 17 is the y-direction displacement contour on the longitudinal section of the tunnel with the optimization scheme. From the figure, it can be seen that the portal’s central displacement is the highest. The maximum y-direction displacement is −5.66 mm. The maximum displacement value is much less than the allowable value of 15 mm [,]. This means the optimized scheme can also meet the safety requirements of real engineering.

Figure 17.
The y-direction displacement contour on the longitudinal section of the tunnel with the optimization scheme (unit: m).
Figure 18 shows the monitoring point displacement of the tunnel portal with the optimization scheme or the original scheme. From the figure, it can be seen that the displacement of the portal with the optimization scheme is always lower than that of the portal with the original scheme. The maximum reduction ratio is 37.4% and the minimum reduction ratio is 14.2%.

Figure 18.
The monitoring point displacement of the tunnel portal with the optimization scheme and the original scheme.
The portal’s central displacement was 9.91 mm for the original scheme, while it was 5.56 mm for the optimization scheme. The reduction rate was 42.9%. This means that the optimization scheme is more effective than the original scheme in controlling the portal displacement. It can be concluded that the trapezoidal freezing soil mass is more effective for the tunnel end soil reinforcement compared with the rectangular freezing soil mass.
6. Conclusions
In this paper, the trapezoidal freezing soil mass was proposed to reinforce the shield tunnel end, and the reinforcing effect was analyzed by theoretical analysis and numerical simulation. The trapezoidal freezing soil mass was applied in the Wuhu River-Crossing Tunnel, and the following conclusions were drawn.
- When the longitudinal length of the freezing soil mass is less than the tunnel diameter, the tunnel portal stability is improved significantly, with the longitudinal reinforcement length increasing. When the longitudinal reinforcement length is greater than the tunnel diameter, the tunnel portal’s stability is not improved significantly with the increase in longitudinal reinforcement length.
- The lower side length of the trapezoidal freezing soil mass has a greater influence on the deformation of the portal than the upper side length of the trapezoidal freezing soil mass. The decreased value of the maximum tunnel portal displacement with the increase in the lower side length is more than five times that with the increase in the upper side length.
- For the Wuhu River-Crossing Tunnel end reinforcement, the trapezoidal freezing soil mass is more effective than the rectangular freezing soil mass. The trapezoidal freezing soil mass can be used to replace the rectangular freezing soil mass in order to reinforce the tunnel end.
Author Contributions
Conceptualization, F.X.; methodology, S.P., F.X., L.H. and X.W.; software, S.P. and F.Y.; validation, F.X. and F.L.; investigation, S.P. and L.H.; resources, F.X.; data, S.P.; writing—original draft preparation, S.P.; writing—review and editing, S.P. and F.X.; visualization, L.H. and F.L.; supervision, F.X. and F.L.; project administration, S.P. and L.H.; funding acquisition, F.X. All authors have read and agreed to the published version of the manuscript.
Funding
This research was funded by the Natural Science Foundation of Anhui province (Funding No. 2108085ME190).
Institutional Review Board Statement
Not applicable.
Informed Consent Statement
Not applicable.
Data Availability Statement
The raw data required to reproduce these findings cannot be shared at this time due to time limitations. The processed data required to reproduce these findings cannot be shared at this time due to time limitations.
Acknowledgments
The authors would like to acknowledge the Wuhu Railway (Tunnel) Traffic Engineering Quality and Safety Supervision Station.
Conflicts of Interest
The authors declare no conflict of interest.
References
- Wang, M.S.; Tan, Z.S. Construction Technology of Tunnel and Underground Engineering in China. Chin. Eng. Sci. 2010, 12, 1–112. (In Chinese) [Google Scholar]
- Zhang, F.X.; Zhu, H.H.; Fu, D.M. Shield Tunnel; China Communications Press: Beijing, China, 2004. [Google Scholar]
- Einstein, H.H. Risk and risk analysis in rock engineering. Tunn. Undergr. Technol. 1996, 11, 141–155. [Google Scholar] [CrossRef]
- Nakamura, H.; Kubota, T.; Furukawa, M.; Nakao, T. Unified construction of running track tunnel and crossover tunnel for subway by rectangular shape double track cross-section shield machine. Tunn. Undergr. Space Technol. 2003, 18, 253–262. [Google Scholar] [CrossRef]
- Yamaguchi, I.; Yamazaki, I.; Kiritani, Y. Study of ground-tunnel interactions of four shield tunnels driven in close proximity, in relation to design and construction of parallel shield tunnels. Tunn. Undergr. Space Technol. 1998, 13, 289–304. [Google Scholar] [CrossRef]
- Snel, A.J.M.; Van Hasselt, D.R.S. Risk management in the Amsterdam north/south metroline, a matter of process-communication instead of calculation. In Proceedings of the World Tunnel Congress’ 99 Challenges for the 21st Century, Oslo, Norway, 31 May–3 June 1999; Volume 5, pp. 179–186. [Google Scholar]
- Chambon, P.; Corte, J.F. Shallow tunnels in cohesionless soil: Stability of tunnel face. J. Geotech. Eng. 1994, 120, 1148. [Google Scholar] [CrossRef]
- Leca, E.; Dormieux, L. Upper and lower bound solutions for the face stability of shallow circular tunnels in frictional material. Geotechnique 1990, 40, 581–606. [Google Scholar] [CrossRef]
- Anagnostou, G.; Kovari, K. Face stability in slurry and EPB shield tunneling. In Proceedings of the International Symposium on Geotechnical Aspects of Underground Construction in Soft Ground, London, UK, 15–17 April 1996; Volume 28, pp. 35–42. [Google Scholar]
- Wei, L.W.; Wu, T.; Zhang, Q.H. Analysis of soil stability in the exit section of large-diameter shield tunnels. Low Temp. Build. Technol. 2006, 110, 85–86. (In Chinese) [Google Scholar]
- Meguid, M.A.; Mattar, J. Investigation of tunnel-soil-pile interaction in cohesive soils. J. Geotech. Geoenviron. Eng. 2009, 135, 973–979. [Google Scholar] [CrossRef]
- Qiu, P.; Li, P.T.; Hu, J.; Liu, Y. Modeling Seepage Flow and Spatial Variability of Soil Thermal Conductivity during Artificial Ground Freezing for Tunnel Excavation. Appl. Sci. 2021, 11, 6275. [Google Scholar] [CrossRef]
- Phillips, M.; Ing, H.F.; Raafat, I. Use of artificial ground freezing in construction of cross passages under Suez Canal. Geomech. Tunn. 2021, 14, 298–307. [Google Scholar] [CrossRef]
- Sun, J.L.; Chen, X.Z.; Qiu, M.M.; Cao, X.Y.; Chen, S.J. Physical Model Test of Artificial Freezing-Inclined Shaft. Adv. Civ. Eng. 2021, 2021, 6640722. [Google Scholar] [CrossRef]
- Rojo, J.L.; Novillo, A.; Alocen, J.R. Soil freezing for the Valencia underground railway work. Int. Symp. Ground Freez. 1991, 1, 359–367. [Google Scholar]
- Jordan, P.; Hass, H.; JESSBERGER, H. Use of artificial ground freezing in three sections of the Düsseldorf subway. In Proceedings of the Ground Freezing 94, Seventh International Symposium on Ground Freezing, Nancy, France, 24–28 October 1994; Volume 10, pp. 327–339. [Google Scholar]
- Li, J.; Li, J.K.; Cai, Y.C.; Wu, D.Y.; Guo, C.X.; Zhao, W.C.; Tang, K.J.; Liu, Y.H. Application of Artificial Freezing Method in Deformation Control of Subway Tunnel. Adv. Mater. Sci. Eng. 2022, 2022, 3251318. [Google Scholar] [CrossRef]
- Hu, X.; Deng, S. Ground freezing application of intake installing construction of an underwater tunnel. Procedia Eng. 2016, 165, 633–640. [Google Scholar] [CrossRef]
- Yang, P.; She, C.G.; Dong, C.W.; Ke, J.M.; Zhang, T. Application of artificial freezing method in Zhangfuyuan Station of Nanjing Metro. Geomechanics 2003, 24, 388–391. (In Chinese) [Google Scholar]
- Russo, G.; Corbo, A.; Cavuoto, F.; Autuori, S. Artificial ground freezing to excavate a tunnel in sandy soil. Tunn. Undergr. Space Technol. 2015, 50, 226–238. [Google Scholar] [CrossRef]
- Han, L.; Ye, G.; Li, Y.; Xia, X.; Wang, J. In situ monitoring of frost heave pressure during cross-passage construction using ground-freezing method. Can. Geotech. J. 2015, 53, 530–539. [Google Scholar] [CrossRef]
- Zhang, T.; Yang, P.; Zhang, Y.X. Investigation of Frost-Heaving Characteristics of Horizontal- Cup-Shape Frozen Ground Surface for Reinforced End Soil Mass in Shield Tunnel Construction. Period. Polytech. Civ. Eng. 2017, 61, 541–547. [Google Scholar] [CrossRef]
- Chen, J.H. Study on the Frost Heave Characteristics of Artificial Frozen Soil Under Different Freezing Modes. Appl. Mech. Mater. 2012, 1975, 599–603. [Google Scholar] [CrossRef]
- An, Y.L.; Peng, L.M.; Zhang, F.; Wu, B. Discussion on monitoring and control standard of surface settlement during tunnel construction. Rock Soil Mech. 2009, 30, 446–451. (In Chinese) [Google Scholar]
- Hu, J. Research on Reinforcement Method and Key Problems of Shield Tunnel End in Suzhou Metro; Nan Jing, Forestry University: Nanjing, China, 2009. [Google Scholar]
Publisher’s Note: MDPI stays neutral with regard to jurisdictional claims in published maps and institutional affiliations. |
© 2022 by the authors. Licensee MDPI, Basel, Switzerland. This article is an open access article distributed under the terms and conditions of the Creative Commons Attribution (CC BY) license (https://creativecommons.org/licenses/by/4.0/).