Featured Application
Climate Impact of Aviation.
Abstract
A significant part of the current aviation climate impact is caused by non-carbon-dioxide emissions, mainly nitrogen oxides (NOx) and contrails. It is, therefore, important to have a holistic view on climate metrics. Today’s conventional, but already well-developed, aero-engines are based on the Joule–Brayton cycle, and leave only limited room for improvement in climate impact. The revolutionary Water-Enhanced Turbofan (WET) concept represents a technical step change addressing all relevant emissions by implementing the Cheng cycle, which combines the gas turbine cycle with a Clausius–Rankine steam cycle. This paper builds upon previous publications regarding the WET concept, and outlines the evolution since then. Promising WET configurations are evaluated according to their ability to reduce global warming potential compared to an evolutionarily advanced turbofan engine. A quantitative approach to estimate reduction of NOx emissions through steam injection is presented. The impact on the creation of contrails is considered using the Schmidt-Appleman criterion. In conclusion, all three climate-relevant emissions can be reduced with the WET concept compared to a technologically similar turbofan in terms of CO2 (up to 10%), NOx (more than 90%), and contrails (more than 50%). The resulting in-flight climate impact can be reduced by more than 40% when using fossil kerosene, paving the way to climate-neutral aviation.
1. Introduction
Since the first gas turbine-powered commercial jet airliner was deployed about 70 years ago, aviation transport efficiency has improved by approximately eight-fold [1]. Both aircraft and engines are constantly being further developed and technologically improved. The latest turbofan engine generation, the geared-turbofan PW1100G, introduced in 2016, achieves an efficiency improvement of approximately 16% compared to previous generation technology [2]. With respect to fuel burn and CO2 emissions, this evolutionary progress was not sufficient to compensate for the increase in air travel, as the sector has grown steadily ever since the 1960s and up until the outbreak of the COVID-19 pandemic [3]. With an average growth rate of worldwide air traffic of approximately 5% per year (pre-pandemic), and an overall aircraft efficiency improvement of approximately 1.5% per year, the global aviation kerosene consumption increases by approximately 3.5% annually [4]. Globalization, low-cost airlines, cheap fuel, low interest rates, and growing prosperity—all of these factors have also made flying affordable for increasing portions of the population. With this increase, CO2 emissions have continued to increase.
With respect to sustainability, aviation is in the spotlight of politics and society. In recent years, the focus has expanded beyond CO2 and local air quality around airports towards climate impact. Following the Paris Agreement and the 1.5 °C target [5], aviation-specific targets have been derived. The European Green Deal targets climate neutrality until 2050 [6], and was further broken down into the “Fit for 55” plan, targeting a 55% reduction by 2030 (compared to year 1990 level) [7]. With respect to aviation, this includes phasing out of free emission allowances and inclusion into the European Trading System (ETS) for greenhouse gas emissions, as well as a ramp-up of Sustainable Aviation Fuels (SAF) to 6% by 2030 and 63% by 2050. The industry has begun to adopt this paradigm shift to climate impact. For example, MTU published a Clean Air Agenda (Claire) with targets for climate impact and mission energy consumption [8].
The increasing growth in air traffic and the approaching physical limits of the known gas turbine cycle require revolutionary ideas for novel aero engine concepts. In 2020, Schmitz et al. published a paper series on innovative aero engine concepts [9,10,11], including the novel Water-Enhanced Turbofan (WET) concept (at that time, still referred to as “the steam injecting and recovering aero engine (SIRA)”). It addresses the three most climate-relevant emissions. The new dual-fluid propulsion concept was described, and, based on preliminary thermodynamic studies, the potential to reduce climate-effective emissions was derived. The present article outlines the evolution since then. The most promising WET configuration is evaluated regarding its ability to reduce global warming potential compared to an evolutionarily advanced turbofan engine at the same technology level. The climate impact assessment was refined beyond the last state published [12], with a quantitative approach to estimate reduction of NOx emissions through steam injection. The potential to reduce contrails is outlined, applying the Schmidt–Appleman criterion.
2. Climate Impact of Aviation
The combustion of kerosene (Jet A-1/A) in the gas turbine produces carbon dioxide (CO2), water vapor (H2O), nitrogen oxides (NOx), unburned hydrocarbons (UHC), carbon monoxide (CO), sulfur oxides (SOx), aerosols, and soot particles. In 2018, civil aviation accounted for only 2.4% [1] of the emitted anthropogenic CO2 emissions. Its climate impact through radiative forcing is estimated to be three times higher [1]. Besides the commonly discussed CO2 emissions, condensation trails (contrails) and NOx are main contributors to climate change.
2.1. Carbon Dioxide (CO2)
The impact of CO2 on the climate is well understood, and CO2 emissions of novel combustion engine-based vehicles can be predicted with low uncertainty, as they directly correspond to fuel burn. To predict mission fuel burn, the engine’s specific fuel consumption (SFC), weight, nacelle geometry, and volume must be known. Beyond, on the aircraft side, the sensitivity of the aforementioned parameters to mission fuel burn must be determined. All of these parameters can be predicted with high certainty based on the methods presented in this paper and the use of standard aero-engine thermodynamics. The highest uncertainty is associated with the prediction of two-phase heat exchanger performance, pressure losses, and weight. As large heat exchangers are required to transfer high amounts of heat, small relative uncertainties result in large absolute deviations in weight and fuel burn prediction. Additional uncertainties connected to this concept originate from viability of material choices, lifing, combustion stability with steam, and general uncertainties regarding the assumed future technology level of engines and aircraft.
2.2. Nitrogen Oxide (NOx)
Nitrogen oxides are produced in temperature peaks (hot spots) within the combustor. Hot spots are time- and space-dependent, and occur when the mixture of fuel and air is close to stoichiometric. Research, experiments, and, last but not least, operational stationary power plants have already proven that water or steam injection enables lower NOx emissions. This is achieved through water acting as an inert, high-capacity heat sink; a better heat propagation, leading to a more homogeneous temperature distribution; and a reduced oxygen fraction. The WET concept directly makes use of this known effect and, therefore, has the potential to reduce NOx emissions significantly, compared to conventional combustor technology.
Very generally, the prime dependencies of the NOx creation are the combustion process parameter of fuel- and water-to-air ratio, as well as inlet pressure and temperature. However, if these parameters are only known as average values at the combustion inlet and outlet, as used in low-order modeling, the exact NOx generation cannot be calculated accurately. The NOx generation process depends on local flow conditions and dwell time, which depend on 3D flow field and time-dependent propagation of fuel injection and combustion control. Therefore, in state-of-the-art low-order engine performance modeling, semi-empirical correlations are used to estimate NOx emission. These correlations are typically not suited for high contents of water or steam injection. Therefore, an adapted correlation is proposed in this paper.
2.3. Water Emission (H2O) and Condensation Trails (Contrails)
Contrails result not only from the water within the exhaust gas, but also predominantly from the interaction of the environment with the engine exhaust. Water from the exhaust and the ambience form small droplets around emitted particles created during combustion, which quickly freeze to ice crystals. Contrails and contrail-induced cirrus have a similar impact to global warming as CO2 or NOx emissions [1]. The water emitted in the stratosphere in the form of steam has a minor impact on climate warming. Assessment of climate impact due to contrails and induced cirrus cloud formation depends on atmospheric conditions and exhaust conditions, including exhaust gas particle composition. Without experimental evidence about particle emissions from humidified combustion and exhaust composition after water separation, this impact is difficult to predict on the low-order conceptual level. Thus, this paper will motivate the reduction in contrails via the Schmidt–Appleman criterion, and quantify the impact via an assumed range of potential climate impact reduction.
2.4. Particulate Matter and Soot
The combustion of fuel containing carbon produces very small soot particles, which are typically emitted into the environment by the engine exhaust. Those particles have a negative impact on both the climate, when being released at high altitudes through contrail formation and radiative forcing through soot directly, and the local air quality near the ground, e.g., around airports, causing respiratory diseases. In the WET concept, cooling the humidified core flow in order to condense and then recover the injected water is expected to have a cleaning effect. Condensation processes and water droplet growth typically begin with condensation nuclei, e.g., the aforementioned combustion particles. Through recovery of the water in the WET concept, these particles are “washed out” and can be filtered. Therefore, they are not released into the environment.
Fuel is another factor which has a major influence on the climate impact of aviation. Sustainable aviation fuels (SAF) close the CO2 cycle, and—neglecting auxiliary CO2 emissions along the supply chain—enable carbon-neutral aviation. Including the life cycle, a net CO2 reduction of up to 80% may be achieved in the future [13]. Moreover, SAF reduces particle emissions through minimal levels of aromatic species. A 50-50 blend of kerosene and SAF results in a reduction in particles of 50–70% [14], which corresponds to a change in radiative forcing due to contrail cirrus of 20–40% [15]. The availability of fuels from biomass is of the order of the demand from aviation alone [16]. The US government has declared the target of covering 100% of aviation fuel demand with SAF by 2050 with the Sustainable Aviation Fuel Grand Challenge. Other estimates foresee SAF potential in the EU at a modest 5.5% of jet fuel demand by 2030 in the optimistic scenario, and only 1.9% in case of weak incentives [17]. A major challenge lies in the high prices, with HEFA-based fuels costing twice as much and power-to-liquid fuels costing at least six times as much as conventional jet fuel [18,19].
In the long run, hydrogen could become viable for commercial aviation. For short-range aircraft, fuel cells could be used to convert hydrogen into electricity to drive electro-motors. Emissions of NOx and non-volatile particles would be eliminated, as well as in-flight CO2 emissions, effectively eliminating almost any in-flight climate impact. For larger aircraft, direct combustion of hydrogen instead of kerosene could become viable once aircraft, as well as the ground infrastructure, are adapted. While CO2 and particle emissions would be eliminated, NOx would still be emitted. Higher H2O emissions might pose a problem, as condensation would still occur in volatile particles. While green hydrogen has good availability potential through electrolysis of renewable electricity, the projected price is three to eight times as high as that of kerosene for the same energy content [19]. Hydrogen is also a precursor for SAF through Fischer–Tropsch synthesis.
3. The Water-Enhanced Turbofan
The Water-Enhanced Turbofan (WET) concept is a dual-fluid, highly efficient, highly specific power gas turbine recovering exhaust heat. Unlike conventional heat-recuperating aero-engine concepts, the WET concept transfers significant parts of its exhaust heat back into a cycle-integrated, quasi-closed water circuit during cruise. The water humidifies the primary working fluid and allows the achievement of unmatched specific power featuring low turbomachinery weights and a significant reduction in emissions.
To provide an initial introduction, the illustration shown in Figure 1 represents the basic WET concept architecture. Pressurized water is injected as superheated steam into the combustion process. The resulting heat capacity and mass flow rate of the humidified working gas increases significantly and allows the turbine to extract more specific work. The resulting increase is leveraged by the incompressibility of liquid water, so that pumping to a given pressure costs much less power than compressing an equal mass of gas. Thus, the engine-internal power demand to provide a mixed working fluid at high pressure decreases considerably. Compared to a conventional aero engine of the same technology and thrust requirements, the core size of the WET concept is less than half the size, allowing for substantially smaller and lighter turbo components.
Figure 1.
Basic schematic of the WET concept in a half-side arrangement supplemented with international engine station nomenclature [9].
The WET concept uniquely features operations such as a closed circuit with water, enabled through its ability to recover water from the exhaust gas. The water is partially injected and partially produced during combustion of kerosene. By evaporating the recovered and pressurized liquid water in the vaporizer, the WET concept not only returns a large amount of exhaust heat back into its thermodynamic cycle, but also, above all, reduces the temperature of the humidified exhaust gas. To lower the temperature of the gas below its dew point and, thus, cause the water to condense, a second, colder heat exchanger is necessary. Similar to the vaporizer, the extracted heat from the condenser is also transferred back into the thermodynamic cycle.
The WET concept has evolved over multiple phases since the original publication [9] and first patents [20,21,22], as shown in Figure 2. During the first stage, the integration was improved: All WET components were integrated into the nacelle and pylon control volume. The condenser was placed into the bypass flow, which was used as the heat sink. From a practical standpoint, this reduces the interdependence between engine and aircraft design. In comparison, previous WET designs utilized the wing root for condensation and would have complicated aircraft integration. The added components in the nacelle increase the weight and volume of the nacelle. The added weight reduces the wing bending moment (wing bending relief). This concept served as the baseline for the following studies.
Figure 2.
Investigated measures to improve WET concept from an aircraft-mounted water condensation and recovery, published in [9], to a fully nacelle-integrated, simplified concept.
In a second stage, measures for cycle improvement were investigated. The focus was placed on optimizing the usage of water and steam within the cycle and maximizing the heat recovery. Splitting the last turbine stage to increase the vaporizer temperature level was investigated, as well as splitting the vaporizer to optimize the temperature difference between the exhaust side and the water side. Moreover, sequential super-heating of the steam with an auxiliary combustor was investigated to maximize the steam work potential. In the compressor, intercooling via either an intercooler using water or direct water or steam injection was investigated.
In a third stage, the concept was simplified based on the findings from the second stage to derive a concept with minimum viable complexity, which retains as much as possible of the thermodynamic benefit. The resulting concept is schematically shown in Figure 3. The configuration features a vaporizer to recover waste heat after the LPT. The vaporizer evaporates and super-heats water, which is then expanded in a steam turbine. This steam turbine support the low-pressure spool driving the fan, which is separate from that mainly driven by the LPT. The resulting architecture has two shafts. The steam is then injected into the combustor, reducing NOx emissions and increasing turbine-specific work, as in previous configurations of the concept. The high-pressure turbine (HPT) drives the high-pressure compressor (HPC). After the vaporizer, the condenser further extracts heat from the core until sufficient water is condensed. The condenser heats a part of the bypass air. In the bypass, the resulting thrust loss through pressure loss is overcompensated by the added heat, known as the Meredith effect [23]. The core flow is then diverted into the nacelle, where devices for water separation recover the condensed water. During cruise, sufficient water is separated to sustain the semi-closed water cycle. The nacelle will be longer in order to house the heat exchangers, as well as the upper core exhaust duct from which the water is recovered.
Figure 3.
Schematic of the resulting WET configuration with reduced complexity and full nacelle integration.
The heat recovery to steam was improved in the cycle by considerably increasing cruise T4. Thus, the LPT exit temperature was sufficiently high to evaporate and super-heat the steam. The resulting turbomachinery configuration is similar to state-of-the-art turbofans, potentially dispensing with the intermediate pressure compressor (IPC) or booster between fan and HPC. This could be enabled by a lower overall pressure ratio (OPR), which is optimal for the WET concept. Higher pressure ratios result in lower LPT exit temperature, with lower heat recovery potential.
Increasing cruise T4 is possible without compromising take-off and climb T4, because water injection rates can be modulated in the WET concept. Higher water injection rates in high-power points buffer T4, reducing the overall spread between cruise and take-off temperature levels. The effect on HPC operating behavior due to modulated steam injection appears to be moderate in the first studies, but needs to be investigated further.
In conclusion, the WET concept builds upon the basis of mature gas turbine technology. It is compatible with any ducted or open propulsive device, and can be operated with any available or future aviation fuel, i.e., drop-in fuels such as fossil kerosene or SAF, as well as non-drop-in fuels such as hydrogen. The WET concept would synergize with hydrogen combustion. First, NOx emissions—which usually can be an issue due to high hydrogen flame temperatures—could be effectively reduced with water injection. Second, the quantity of water generated from hydrogen combustion is about three times that from kerosene for a given heat release. Hence, water recovery becomes easier. Third, liquid hydrogen could be used as a cryogenic heat sink in the water condensation process in the WET concept, enabling a lighter and smaller condenser.
4. Engine Performance and Climate Impact Evaluation Methods
4.1. Thermodynamics
The WET concept is modeled and simulated using the object-oriented modeling environment Numerical Propulsion System Simulation (NPSS). The engine components are represented as individual objects and connected as indicated in Figure 4. The objects are then calculated in sequential order, following the main gas path. The fluid conditions of the semi-closed water cycle are first guessed at the mixing station after station 31, and later matched to the conditions obtained after simulating the water line by iteration.
Figure 4.
Simplified schematic of WET configuration as implemented in NPSS with station nomenclature.
The fluid conditions within the WET concept are simulated by combining two separate gas models, namely NASA Chemical Equilibrium with Applications (CEA) [24] for the main gas path, and the industrial formulation IF97 by the International Association for the Properties of Water and Steam (IAPWS) for the water line [25]. CEA is used to calculate the thermodynamic properties of equilibrium composition with high water-to-air ratios of up to 40% along the main gas path. For computational efficiency, the composition was precomputed and tabulated for variations of T, p, fuel-to-air ratio (FAR), and water-to-air ratio (WAR). The relevant fluid properties, such as enthalpy h and entropy s, were then obtained using the NASA CEA seven-term formulation for each species [26]. To avoid interpolation errors in the condensation region, the amount of liquid water was calculated with the saturation pressure rather than using the interpolated, tabulated value. IF97 was used in the water line for pure water, both liquid and vaporous. This is necessary, as CEA cannot appropriately represent the two-phase state in the vaporizer, and does not represent real gas effects. The latter are highly relevant at high pressures and medium temperatures in the gaseous state after evaporation. The deviation is maximum around the critical point (Tcr = 647 K, pcr = 22.1 MPa), with up to 1 MJ/kg.
To avoid conversion errors at the interfaces between the two fluid models, two measures were taken: First, a common reference state for enthalpy was defined in reference conditions (Tref = 298.15 K, pref = 101.325 kPa). Both models were aligned at that reference state and at interfaces between both fluid models. In particular, when mixing the steam into the main gas path, the enthalpy, with respect to reference conditions, is kept constant. Thus, conservation of energy according to the first law of thermodynamics is ensured. Second, the NASA CEA integration constants were modified in such a way that the reference enthalpy of liquid water and CO2 is zero, rather than that of H2 and O2, in the base formulation. This avoids a large, artificial enthalpy offset in mixtures of air and water.
The heat exchangers were modeled in the performance model using only the high-level module characteristics, namely the pressure losses Δp on both sides, and the heat exchanger ε effectiveness, which is defined as
using the enthalpies resulting from the respective compositions from hot side Ch and cold side Cc, and temperatures Th and Tc. These values were obtained from 1D-simulations of the heat exchanger with linear discretization in hot gas path direction for both the vaporizer and the condenser. The heat transfer and pressure loss in each discretized cell was simulated using correlations based on non-dimensional parameters, such as the Reynolds number and the Prandtl number, distinguishing between single-phase and two-phase flow [27]. The heat exchanger technology used is state-of-the-art, using plate-fin heat exchangers for the condenser with plain fins, and a tube bundle heat exchanger for the vaporizer.
Cooling air was estimated based on cooling fluid temperature, main gas path temperature, and estimated temperature distribution for each rotor and stator. The cooling air was sized for turbine life equal to a reference application. The amount of water injected was prescribed as an input via WAR. In operating points, where more water is injected than recovered from the exhaust, excess water was drawn from a water tank.
4.2. Cycle Definition
The WET concept was simulated for a typical short-to-mid-range application, assuming extrapolated year 2030+ technology level. The results were compared to a generic evolutionary extrapolated turbofan, labeled as TF2030+. In Table 1, the main conditions of the cycle are shown. Fan diameter was increased from that of a state-of-the-art engine from 2.05 m (81″) to 2.20 m (87″), assuming that the trend to lower specific thrust and higher propulsive efficiency would persist. The resulting specific thrust of 75 m/s was about 12% lower than the state-of-the-art. The WET cycle featured an ultra-high bypass ratio BPR of 34.5, because of very high core specific work due to steam injection. The fuel-to-air ratio was, accordingly, higher. The amount of injected steam corresponded to a water-to-fuel ratio of four to six (depending on operating point). The resulting T4 in cruise is 1700 K. By modulating WAR to higher levels in high-power conditions, T4 can be kept at levels that allow for same turbine target life while maintaining a similar level of relative cooling air.
Table 1.
Results summary of WET cycle at cruise conditions (35,000 ft, M0.78, ISA + 0 K).
4.3. Weight and Volume
Weight of the WET concept was estimated to assess mission fuel burn, as well as, qualitatively, the potential impact on manufacturing and maintenance cost. Component weights were estimated bottom-up and summed up to an overall power plant system weight, including nacelle. Turbo component weights were estimated by designing a flow path with a mean line design and by applying typical design guidelines, such as hub-to-tip ratios and axial Mach numbers. Weights were then obtained by scaling weights of known turbomachinery. Heat exchanger weights were obtained using the resulting geometry from the 1D-simulation and multiplying with the density of the foreseen material—a nickel-based alloy for the vaporizer and aluminum for the condenser. Additional weights for mounting, end walls, and other structures were estimated based on required surface area and typical material strength.
Volumes of the WET concept components were estimated to support conceptual design and component arrangement. Turbo component volumes were estimated based on the preliminary design mentioned above. Ducts and combustor volumes were estimated by scaling known designs. At the aircraft level, the volume has an impact on the overall nacelle dimensions (length and diameter), which affect wetted area and, therefore, drag. This change in drag was accounted for in the overall mission fuel burn assessment.
4.4. Aircraft-Level Effects
Aircraft-level assessment was conducted using results from mission simulations from an aircraft simulation environment to simulate changes in mission fuel burn (block fuel). A typical short-to-medium range A320-class aircraft with extrapolated year 2030+ technology standard was simulated. A base design was laid out with an extrapolated year 2030+ technology standard-geared turbofan engine, and this was used as a reference. For the WET concept, both SFC and weight changed considerably compared to the geared turbofan. Hence, linear trade factors yield misleading results. Therefore, a full-factorial grid of engines with stepwise modification of SFC and engine weight was simulated, and changes in mission fuel burn were, respectively, captured, similarly to the approach laid out in [28]. The resulting change in mission fuel burn was then obtained by interpolating SFC and weight of a specific design within this grid. Moreover, sensitivities for added nacelle length and diameter were quantified. This approach represents full cascading effects by scaling the full aircraft to the requirements, in particular, wings and aircraft structure—sometimes also referred to as “rubber aircraft”.
4.5. Climate Impact Methodology
To estimate climate impact of the WET concept, the three climate-relevant effects from CO2, NOx, and contrails were assessed, as shown in the following sections.
4.5.1. Carbon Dioxide Emissions
CO2 emissions were directly proportional to the mission fuel burn, calculated according to Section 4.4.
4.5.2. Contrails
Three main effects suggest a reduced contrail impact: lower particle emissions due to particle washout, favorable exhaust conditions with respect to the Schmidt–Appleman criterion, and lower overall water emissions.
As the first effect, particle emissions are reduced in the condensation and water recovery process. The WET concept is expected to wash out particles from the exhaust, as condensation is expected to begin in particles serving as condensation nuclei. According to Kärcher [29], the emitted soot particle number is related to the number of nucleated ice crystals. The dependency is non-linear, and depends on, e.g., ambient aerosol levels and ambient temperature. The WET concept is expected to reach a minimum reduction of 80% in initial ice crystal numbers through the washout of soot particles, which would translate into a 50% reduction in contrail RF [15]. Beyond that point, background particle levels become relevant. As a challenge, the addition of steam and higher fuel-to-air ratio in the combustor may lead to increased non-volatile particles (soot).
As the second effect, the exhaust conditions, with respect to the Schmidt–Appleman criterion [30,31,32], are favorable. It models the conditions under which contrails are formed from the exhaust of an aero engine. Based on a simple thermodynamic approach on the mixing of the engine exhaust with the environment, a mixing line with the gradient G was constructed,
with partial pressure of water and temperature , as a function of the emission index of water , specific heat , atmospheric pressure , molar mass ratio of water to air , fuel lower heating value , and propulsion system overall efficiency . If the mixing line crosses the vapor saturation pressure with respect to water for the given ambient conditions, condensation will occur and droplets will form which quickly freeze, and thus, a contrail is formed [29,32]. When the ambience is supersaturated with respect to ice, these contrails will be persistent. Otherwise, they will sublimate during the mixing process with ambient air [32].
The processes in the WET concept core, based on the cycle presented in Section 4.2, are outlined in Figure 5, showing the partial pressure of water over temperature for different stations and mixed conditions. The air is saturated with respect to water when the condenser is left at station 7 and when neglecting the liquid water, which could not be removed by the water recovery unit. This assumption is motivated assuming the liquid droplets leaving the engine are sufficiently large so as not to interfere with the ice-crystal formation process. In the core nozzle, the flow is accelerated, leading to decreasing static temperatures and pressures (station 9). Therefore, oversaturated conditions will occur in the core nozzle, possibly already leading to condensation. An impact on the engine performance due to this effect is neglected. From this static nozzle exit condition, the frame of reference is switched to ambient, and total conditions are recalculated based on flight velocity (station 9a). The same is assumed for the bypass flows (station 19a and 29a). Due to low velocity relative to ambience, stations 9 and 9a are nearly identical in Figure 5 for the WET concept. Through mixing of the core flow with the warm bypass by a suitable nozzle arrangement, a mixing line, as shown in Figure 5, can be obtained. The resulting mixture (station 9a + 29a) is unsaturated. Therefore, possible additional condensate in the core nozzle due to expansion is assumed to evaporate again. Liquid water that has not been recovered in the water recovery unit is expected to persist under these conditions, assuming sufficiently large droplet diameters, which do not evaporate quickly. Since large droplets have a small optical density, these are neglected for the assessment of contrail impact. In case parts or all of the unrecovered liquid water were to evaporate again, the gradient of the mixing line with the ambience of the WET concept would increase.
Figure 5.
Partial pressure of water over temperature at different engine stations. Circles refer to the WET concept, and triangles to the reference TF2030+. Mixing of the core and bypass air is shown by dotted lines. Mixing of the engine plume with ambience is shown with a dashed–dotted line. Ambient conditions are ISA at 35.000 ft with dry air. While the TF2030+ would produce contrails, no contrails would form for the WET concept.
Subsequently, the core and warm bypass (station 9a + 29a) mix with the cold bypass (station 9a + 29a + 19a). Finally, the engine plume mixes with ambience as indicated by the dashed-dotted line. For the depicted ambient conditions, the WET concept would not trigger contrails.
In Figure 5, the exhaust conditions at station 9 are shown for the reference TF2030+, followed by the flow deceleration in the ambient frame of reference (station 9a). Subsequently, it mixes with the bypass air (station 9a + 19a) and then with the ambience along the dashed–dotted mixing line. As this line crosses the vapor saturation curve with respect to water, the formation of contrails would be expected for the TF2030+. As the ambient conditions modeled here are dry air, the contrails would not be persistent, and would dissipate once the plume is mixed with enough ambient air such that the mixture is no longer saturated with respect to ice.
The gradient G of the final mixing line for the WET concept is and for the TF2030+, almost twice as high with . When considering the liquid water in the WET exhaust and assuming all would evaporate, the resulting WET concept gradient would be , which is still smaller than that of the TF2030+.
The critical ambient temperature Tc, below which contrails would form when the ambience is saturated (with respect to liquid water), is lower for the WET concept. Using the approximation of Schumann [32] for the critical temperature Tc at a relative humidity of 100%,
a critical temperature (ISA+6.8 K) is observed for the WET concept, and (ISA+13.4 K) for the TF2030+ results. For lower relative humidity, the critical temperature is lower. To transform these findings into a quantifiable reduction in contrails, a simulation of representative missions will be necessary in a next step.
As the third effect, water emissions are lower overall due to lower fuel burn. In addition, due to higher water recovery than water injection, the water content in the exhaust is lower than that of the TF2030+. Hence, a potential contrail would also contain less water overall, with potentially lower optical density and/or volume, and, hence, radiative forcing. The surplus water recovery can either be recollected to the tank for the subsequent mission, or released in particle form with low optical density.
The model used in this paper does not incorporate detailed models to quantify the impact on contrails and contrail-induced cirrus clouds of the Schmidt–Appleman effect, nor the lower water emission effect. Therefore, only a 50% reduction in contrail climate impact for the will be assumed in this paper, based on the particle reduction effect. The other two effects suggest that the effect could be notably higher.
4.5.3. Nitrogen Oxide Emissions
In general, NOx is mainly generated at high temperatures and high concentrations, i.e., high pressure. Following the fundamental Arrhenius Equation (4), the reaction rate k increases exponentially with increasing T. The three reactions of the Thermal NOx or Zeldovich pathway, the prevalent pathway in gas turbines for flame temperatures above 1700 K [33], is shown in Equation (5). The NOx generation rates depend on the concentration of the educts. Since all three pathways have two educts, respectively, the rate for molecular concentration depends on pressure squared, and, therefore, the rate of mass is linearly correlated with pressure. In practice, higher pressures demote the creation of radicals such as O, N, and OH, which are also educts of the thermal NOx mechanism. In consequence, the dependency on pressure is less than linear. Moreover, the concentration of radicals such as N and O is highly dependent on temperature.
In real combustors, the conditions are not constant, but highly space- and time-dependent. Therefore, a simplistic consideration, as shown above, can only explain qualitative trends. For aero engine predesign, simple (semi-) empirical correlations are used to quantify NOx emissions. Common methods such as P3T3 or the Boeing 2 method [34,35] are considered not useful for the present application, as they were derived for standard turbofan cycles. Many other direct correlations exist; some direct emission correlations for the NOx emission index EINOx of aero engine combustors are summarized in Table 2.
Table 2.
NOx emission correlations in the form of [g/kg] for (conventional) aero engine combustors. All variables are to be inserted in SI-units. The units of all constants are neglected here for simplicity. is the combustor inlet pressure, the combustor inlet temperature, is the combustor outlet temperature, is the stoichiometric flame temperature, is the primary zone temperature, is the flame temperature, is the combustor volume, is the air mass flow, is the water air ratio, is the combustion temperature difference, is a technology factor, is the residence time, is the residence time in the primary zone, is the fuel evaporation time, is the specific gas constant, and is the pressure difference between combustor inlet and outlet.
In combustors, most of the NOx is created in hot zones with near-stoichiometric conditions [42]. Therefore, most of the correlations include the combustor inlet temperature , which directly affects the stoichiometric flame temperature , or directly uses it. Furthermore, most of the correlations include the effect of the combustor inlet pressure on NOx formation. In addition, the residence time τ is known to affect the level of NOx, and is included in some of the correlations, which requires knowledge of the combustion chamber volume and flow field.
NOx emissions by the WET concept are expected to reduce significantly. Three main effects have an impact:
- Reduced stoichiometric flame temperature Tst,fl,ad due to added steam, which acts as an inert species in the combustion process;
- Reduced combustor inlet temperature T37 due to reduced OPR and mixing with (colder) steam;
- Reduced combustion pressure p37 due to reduced OPR.
The addition of steam not only affects the temperatures of the combustion process, but also has a chemical effect. As described in [33], important species such as O, H, and OH are affected in their concentration through the chemical influence of steam during the combustion process. However, there is no agreement within the scientific community on how the radical concentrations are affected [33]. A recent study with a methane flame suggested that the chemical effect leads to a further, minor reduction of NOx generation [43].
To compare relative NOx emissions of the WET concept to an evolutionary TF2030+ at the same technology level, available correlations were extended to include the effect of steam injection. Assuming that both engines use an RQL combustor, most of the NOx is generated in near-stoichiometric conditions [42]. Thus, a change in overall equivalence ratio is assumed to have no significant influence on NOx generation. Therefore, the GasTurb correlation published in [38] is used as a basis for the NOx emission, neglecting the ambient humidity term and extending it by the term as a technology factor, and by the steam correction factor to include the effect of steam injection:
The technology factor was calibrated to represent the NOx emissions of state-of-the-art engines [44], and is assumed to be constant for the TF2030+ and the WET. This simple semi-empirical approach to model NOx emissions is subject to high uncertainty for significant changes in combustor architecture, operating conditions, and technology level.
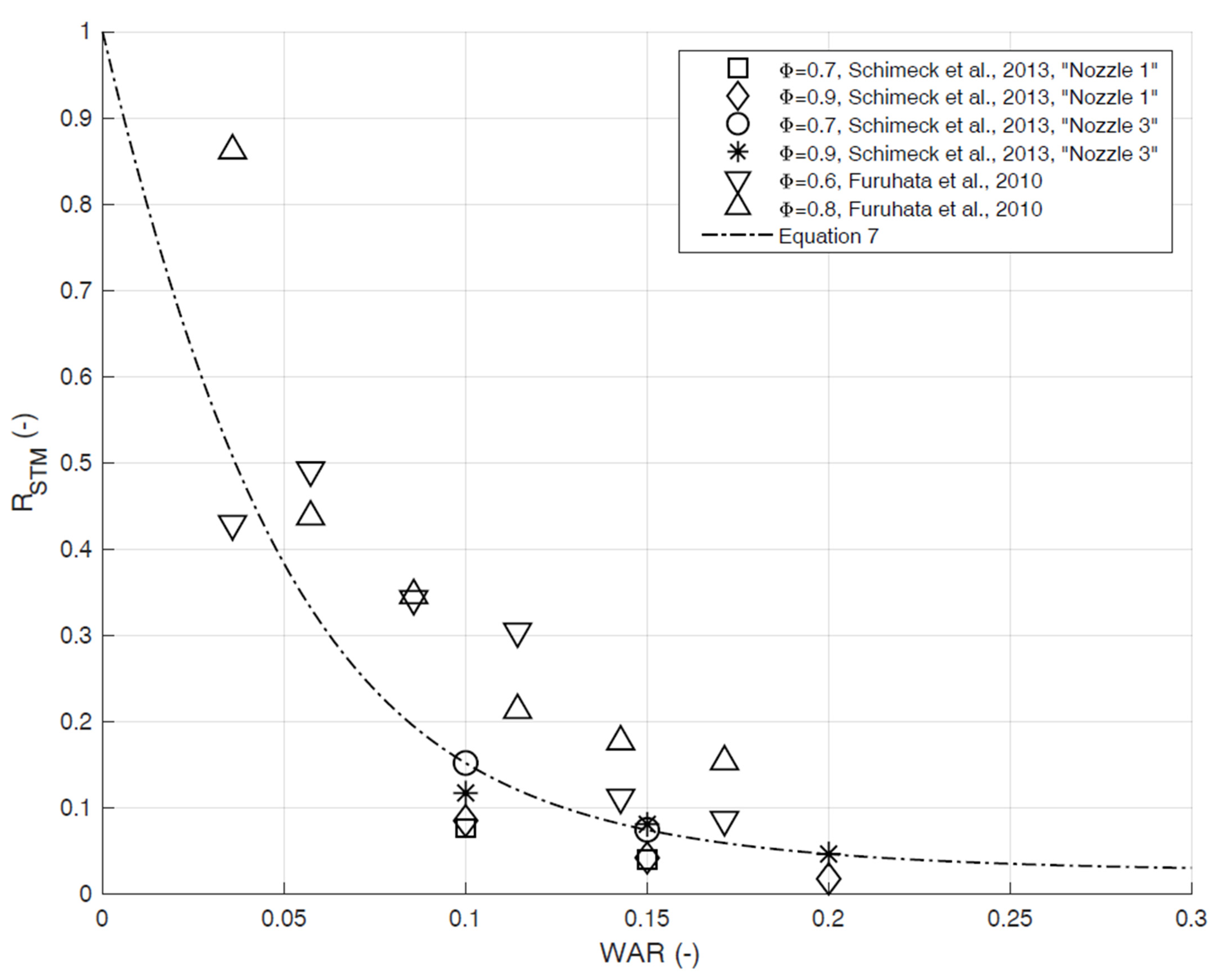
Published experimental data regarding kerosene combustion with steam addition, shown in Figure 6, is used to derive . There, the relative NOx emissions of wet combustion to emissions of dry combustion at a constant equivalence ratio are shown. For all of the data points, the combustor was supplied with premixed steam and air. The inlet conditions (p3, T3) were kept constant in each experiment. Despite the scatter of experimental data, a clear trend towards >80% emission reduction for greater than 0.12, can be seen.
Figure 6.
Relative NOx emissions (dry volumetric ppm) between dry and wet operations at constant eqivalence ratio from published experimental data [45,46]. Premixed steam and air with constant inlet temperature T37 for each data set and atmospheric pressure. The proposed term shown in Equation (7), based on the available experimental data of [45], is shown with a dashed–dotted line. “Nozzle 1” and “Nozzle 3” refer to the nozzle types as published in [45]. Note that the experimental data are based on volumetric ratios, and it is assumed that the derived term can be applied as a gravimetric ratio in Equation (6), due to nearly constant molar mass ratios of NOx and the combustion gases.
From stationary applications, some correlations for the effect of steam injection exist. In the work of Hung [47], combustors were investigated which were originally made for water injection, but adjustable to steam injection by dividing the water-to-fuel ratio by a constant factor, representing the differences in heat capacity and missing evaporation heat [48]. A similar difference for water and steam injection was reported by Bahr and Lyon [49]. As these correlations for the effect of steam are a function of the water-to-fuel ratio rather than the water-to-air ratio, a difference in was predicted for different equivalence ratios. This, however, is not in agreement with the experimental data for kerosene combustion shown in Figure 6, where no clear dependency on equivalence ratio is observable. Moreover, the effect on the stoichiometric flame temperature Tst is independent of the overall fuel-to-air ratio. Therefore, a new term is proposed to consider the steam injection:
which is derived using the experimental data published in Schimek et al. [45] for the measurements with their “Nozzle 3”, exhibiting lower NOx reduction compared to “Nozzle 1”, yielding a more conservative estimate. The constants in Equation (7) are a fit of the published data for at and as well as for at . The form of the formula was selected to replicate a steep characteristic up to and a diminishing effect towards higher WAR.
The absolute NOx emission for the cycle presented in Section 4.2 was assessed using Equations (6) and (7). The effective WAR in the primary zone of the combustor might be lower than the overall WAR to ensure flame stability. Hence, simulation of NOx emissions was investigated for three effective levels: 50%, 75%, and 100% of the overall WAR at Station 37. To assess the individual influence of the three parameters , and , the was calculated, varying each parameter separately while keeping the other two parameters at the value of the TF2030+. The ratio of the resulting compared to the TF2030+ is shown in Table 3. The reduction in the flame temperature due to the introduction of steam has the biggest impact, with a reduction of 84–95%. The reduced alone would reduce the by 45%. The reduced combustor inlet pressure has a smaller effect (−16%). Combining the three effects results in a reduction in of 93% to 98%. The absolute NOx emissions are reduced by up to another 10% due to reduced fuel flow. Even though the uncertainty band of the condition in the primary zone in the combustor is high for a prediction at the conceptual phase, the uncertainty in absolute NOx emissions is lesser. These results suggest a NOx emission reduction potential of more than 90%.
Table 3.
Change in in WET concept vs. TF2030+ separated by each influence parameter.
4.5.4. Climate Metric
A typical metric to quantify the impact of emissions is the radiative forcing (RF). However, it is a backward-looking metric that is often used to evaluate the impact of the entire aviation up to a certain date, e.g., in [1]. Another well-established metric that builds upon the RF is the absolute pulse global warming potential (), defined as . It considers the RF of a pulse emission over time, such that the lifetime of the emitted species has an influence. The timeframe is arbitrary and has a significant impact on the relative impact of different emissions. A typical timeframe—also chosen in this paper—is 100 years.
Similarly to the first estimation of the WET concept’s climate impact potential in [12], the approach of the Low Emission Effect Aircraft (LEEA) project [50,51] has been used for this study. The LEEA method uses sensitivity studies, based on a global emission scenario, to determine the change of RF in terms of dependence on emissions and flown kilometers. The location of emissions is discretized into 16 altitude levels, between Flight Level (FL) 165 and FL 485. No lateral or longitudinal differences were considered. Using a background scenario from flights in 2002, the emissions and flown kilometers were increased (perturbation) in each of the 16 levels to derive a response surface [52].
With a radiative transfer model and two global chemistry transport models, the effect of NOx emission perturbations on the atmospheric chemistry was investigated in [50]. A linear relation between the atmospheric response and a small change in emissions was found for NOx, given that the geographical distribution of the emissions was not altered significantly [50].
A similar approach was followed to assess the influence of contrails, as presented in [51] and described here briefly. To determine the number of flights per altitude level in ice supersaturated regions, meteorological data were merged with the same background scenario. At each level, the contrail coverage was assumed to be proportional to the distance flown, multiplied by the probability of ice-supersaturated conditions. By using a normalization factor on the result, the contrail coverage was matched for an area where satellite measurements are available. This normalization factor was used globally afterwards. A linear relationship between the increase in traffic and RF, depending on the altitude, was found. With a simple multiplier, the influence of contrail-induced cirrus clouds was taken into account.
For CO2 emissions, due to their long lifetime, the RF per kg was assumed to be constant, independent of the altitude [52]. The was then calculated with the same approach as described in [12], using the formulas in [53], with the equilibrium RF values from [50,51] and the parameters in [52]. As in [12], the impact of contrail cirrus was included by multiplying line-shaped contrail estimations by five.
5. Climate Impact Evaluation
The WET climate impact was evaluated for cruise conditions based on the cycle presented in Section 4.2 and the methodology presented in Section 4 for CO2, NOx, and contrails. WET reduced SFC by 13% compared to a turbofan with an equal technology level, based on the cycle presented in Section 4.2. The resulting engine weight is of the order of 40% higher, mainly driven by heat exchanger weights. The weight increase incorporates heat exchanger designs using advanced fin geometries and surface treatments, as well as geometry optimization, on the engine level. Nacelle length increases by 40% to incorporate condensers. The resulting fuel burn improvement on the design mission is estimated, on the aircraft level, to be up to 10%. Hence, mission CO2 emissions are 10% lower.
The influence on contrail formation was quantified as a reduction of more than 50%, based on the discussion in Section 4.5.2. The was calculated for a cruise segment at 35,000 ft and ISA conditions, using the LEEA methodology described in Section 4.5.4. To represent the higher engine weight of the WET concept, as a first order estimate, the cruise thrust was increased such that the fuel flow was matched to the 10% fuel flow improvement compared to the TF2030+.
The fuel burn reduces by up to 10%, and, thus, CO2 emissions and APGWP of CO2 reduce by the same percentage. Depending on the amount of WAR that can be effectively used to suppress NOx formation and combined with this fuel burn reduction, NOx emissions can be reduced by more than 90% in cruise.
The results for the relevant climate effects, and the total climate impact reduction in terms of are shown in Figure 7. The NOx emissions are divided into three separate effects: a short-term ozone (O3) increase, a reduction in methane (CH4) lifetime and abundance, and a long-term ozone decrease resulting from methane reduction (O3 ← CH4). The overall achievable climate impact reduction with the WET concept is more than 40%, composed of a 10% fuel burn reduction (CO2), a 90% NOx reduction through the steam injection, and a 50% reduction in contrail RF. The share of the different emissions results from the methodology described in Section 4.5.4. It can be seen that the uncertainty regarding contrail reduction has a strong influence on the overall result. Only a cruise segment at 35,000 ft is considered here for simplicity. In a complete flight, CO2 emissions would have a higher relative share, while the share of contrails and NOx would be reduced. Therefore, the overall climate impact reduction is over-predicted here compared to a full mission assessment. Furthermore, the climate impact of contrails and NOx emissions is influenced by flight altitude, such that using higher or lower cruise flight levels results in different shares of the different emissions.
Figure 7.
Absolute Pulse Global Warming Potential (APGWP) over one hundred years of the WET concept relative to TF2030+ at same technology level. We assume 10% fuel burn reduction, 50% contrail reduction, and 90% NOx reduction. For simplicity, only the cruise segment at 35,000 ft is considered. Concerning the climate impact, scientific uncertainties are omitted.
Further reductions in climate impact can be expected using SAF, which has the potential to remove the CO2 impact and reduces particles created during combustion. When burning hydrogen, in-flight CO2 and non-volatile particle emissions would be eliminated, while NOx emissions would persist at a low level. Contrails would form, instead, on volatile particles. To date, this process is not well understood. Applying WET technology would still be beneficial, considering the Schmidt–Appleman criterion, by condensing significant parts of water from the core exhaust.
6. Conclusion and Outlook
This paper provides a comprehensive description of the WET configuration and cycle. Compared to a technologically similar turbofan, the WET concept features wet combustion, two heat exchangers in the exhaust (vaporizer and condenser), a water recovery device, a water pump, and a steam turbine. The complete configuration was adapted so that it could fit entirely into the engine nacelle. The resulting cycle improvement through heat recovery from the exhaust added power extraction in a steam turbine, and increased specific work in the turbines improved SFC by 13%. The resulting fuel burn, considering efficiency improvement, weight penalty, and added nacelle drag, reduces by up to 10%.
The paper introduces two new aspects for the quantification of climate impact of the WET concept. First, an approach to quantify the NOx reduction potential through steam addition is presented. Second, reduced impact of contrail formation is motivated through application of the Schmidt–Appleman criterion to show that the WET concept is less inclined to form contrails. As a result, all three main drivers of climate warming from aviation are significantly reduced, paving the way to climate-neutral aviation. CO2 reduces proportionately to fuel burn by up to 10%. NOx can be reduced by more than 90% through steam addition and cycle adaptation. Contrails could be reduced by more than 50%. The resulting in-flight climate impact is reduced by more than 40%.
The WET concept is now in a proof-of-concept phase. All new components, i.e., wet combustion, condenser, vaporizer, water separation, and steam turbine, will be experimentally demonstrated, in order to improve the prediction of target performance of all components under given boundary conditions, or to reveal unknown challenges or even show-stoppers.
Additionally, the concept will still be further optimized, in particular, with respect to weight and heat exchanger design. Advanced heat exchanger designs optimized for the given boundary conditions promise significant reductions in size and weight, which will benefit fuel burn, reduce nacelle drag, and thus simplify integration. Further improvement potentials might also be achieved by optimizing the heat recovery in the vaporizer and condenser, minimizing the required temperature differences.
Author Contributions
Conceptualization, S.K., O.S. and P.Z.; methodology, S.K., O.S. and P.Z.; software, S.K. and P.Z.; validation, S.K. and P.Z.; formal analysis, S.K., O.S. and P.Z.; investigation, S.K. and P.Z.; writing—original draft preparation, S.K., O.S. and P.Z.; writing—review and editing, S.K., O.S., P.Z. and H.K.; visualization, S.K., O.S., P.Z. and H.K.; supervision, S.K., O.S. and H.K.; project administration, O.S. and S.K.; funding acquisition, O.S. All authors have read and agreed to the published version of the manuscript.
Funding
This research was supported by the German Federal Ministry for Economic Affairs and Climate Action (BMWK) under the DLR-contract D/442/67294977.
Institutional Review Board Statement
Not applicable.
Informed Consent Statement
Not applicable.
Data Availability Statement
Not applicable.
Acknowledgments
We: the authors, would like to thank MTU Aero Engines for permission to publish this research. We would like to thank the WET team, the performance department and the combustor team for fruitful discussions and contributions to the concept, in simulating the concept and assessing climate impact. We thank colleagues from Bauhaus Luftfahrt for their expertise in assessing aircraft integrated effects.
Conflicts of Interest
The authors declare no conflict of interest. The funders had no role in the design of the study; in the collection, analyses, or interpretation of data; in the writing of the manuscript; or in the decision to publish the results.
References
- Lee, D.S.; Fahey, D.W.; Skowron, A.; Allen, M.R.; Burkhardt, U.; Chen, Q.; Doherty, S.J.; Freeman, S.; Forster, P.M.; Fuglestvedt, J.; et al. The Contribution of Global Aviation to Anthropogenic Climate Forcing for 2000 to 2018. Atmos. Environ. 2021, 244. [Google Scholar] [CrossRef] [PubMed]
- Pratt & Whitney–PurePower–Family of Engines. Brochure. East Hartford, Connecticut: Pratt & Whitney. 2015. Available online: http://newsroom.pw.utc.com/download/PurePowerFamily-S16154.pdf (accessed on 15 November 2022).
- Chen, S. Effects of Novel Coronavirus (COVID-19) on Civil Aviation: Economic Impact Analysis; International Civil Aviation Organization (ICAO), Economic Development—Air Transport Bureau: Montréal, QC, Canada, 2022. [Google Scholar]
- The Right Flightpath to Reduce Aviation Emissions; Brochure; Air Transport Action Group (ATAG): Durban, South Africa, 2011.
- United Nations Framework Convention on Climate Change (UNFCCC). The Paris Agreement. In Proceedings of the Paris Climate Change Conference (COP 21), Paris, France, 30 November–12 December 2015. [Google Scholar]
- European Commission. The European Green Deal; Document 52019DC0640; European Commission: Brussels, Belgium, 2019. [Google Scholar]
- European Commission. ‘Fit for 55’: Delivering the EU’s 2030 Climate Target on the Way to Climate Neutrality; Document 52021DC0550; European Commission: Brussels, Belgium, 2021. [Google Scholar]
- Geffert, N. Zero Emissions—Clean Air Engine (Claire) Technology Agenda; Aero Report; Issue 06/2022; MTU Aero Engines AG: Munich, Germany, 2022. [Google Scholar]
- Schmitz, O.; Klingels, H.; Kufner, P. Aero Engine Concepts Beyond 2030: Part 1—The Steam Injecting and Recovering Aero Engine. ASME J. Eng. Gas Turbines Power 2021, 143, 021001. [Google Scholar] [CrossRef]
- Kaiser, S.; Schmitz, O.; Klingels, H. Aero Engine Concepts Beyond 2030: Part 2—The Free-Piston Composite Cycle Engine. ASME J. Eng. Gas Turbines Power 2021, 143, 021002. [Google Scholar] [CrossRef]
- Schmitz, O.; Klingels, H.; Kufner, P.; Obermüller, M.; Henke, M.; Zanger, J.; Grimm, F.; Schuldt, S.; Marcellan, A.; Cirigliano, D. Aero Engine Concepts Beyond 2030—Part 3: Experimental Demonstration of Technological Feasibility. ASME J. Eng. Gas Turbines Power 2021, 143, 021003. [Google Scholar] [CrossRef]
- Pouzolz, R.; Schmitz, O.; Klingels, H. Evaluation of the Climate Impact Reduction Potential of the Water-Enhanced Turbofan (WET) Concept. Aerospace 2021, 8, 59. [Google Scholar] [CrossRef]
- Grewe, V.; Rao, A.G.; Grönstedt, T.; Xisto, C.; Linke, F.; Melkert, J.; Middel, J.; Ohlenforst, B.; Blakey, S.; Christie, S.; et al. Evaluating the climate impact of aviation emission scenarios towards the Paris agreement including COVID-19 effects. Nat. Commun. 2021, 12, 3841. [Google Scholar] [CrossRef] [PubMed]
- Moore, R.H.; Thornhill, K.L.; Weinzierl, B.; Sauer, D.; D’Ascoli, E.; Kim, J.; Lichtenstern, M.; Scheibe, M.; Beaton, B.; Beyersdorf, A.J.; et al. Biofuel blending reduces particle emissions from aircraft engines at cruise conditions. Nature 2017, 543, 411–415. [Google Scholar] [CrossRef] [PubMed]
- Burkhardt, U.; Bock, L.; Bier, A. Mitigating the contrail cirrus climate impact by reducing aircraft soot number emissions. npj Clim. Atmos Sci. 2018, 1, 37. [Google Scholar] [CrossRef]
- Langholtz, M.H.; Stokes, B.J.; Eaton, L.M. 2016 Billion-Ton Report: Advancing Domestic Resources for a Thriving Bioeconomy, Volume 1: Economic Availability of Feedstock. U.S. Department of Energy; ORNL/TM-2016/160; Oak Ridge National Laboratory: Oak Ridge, TN, USA, 2016; 411p.
- O’Malley, J.; Pavlenko, N.; Searle, S. Estimating Sustainable Aviation Fuel Feedstock Availability to Meet Growing European Union Demand; Working Paper 2021-13; International Council on Clean Transportation (ICCT): Washington DC, USA, 2021. [Google Scholar]
- Pavlenko, N.; Searle, S.; Christensen, A. The Cost of Supporting Alternative Jet Fuels in the European Union; International Council on Clean Transportation (ICCT): Washington DC, USA, 2019. [Google Scholar]
- Dahal, K.; Brynolf, S.; Xisto, C.; Hansson, J.; Grahn, M.; Grönstedt, T.; Lehtveer, M. Techno-economic review of alternative fuels and propulsion systems for the aviation sector. Renew. Sustain. Energy Rev. 2021, 151, 111564. [Google Scholar] [CrossRef]
- Klingels, H. Flugzeug mit Mantelstromtriebwerk. German Patent No. DE 10 2019 203 59.7, 27 May 2019. [Google Scholar]
- Klingels, H. Reduction of Contrails During Operation of Aircraft. German Patent No. DE 10 2018 203 159 A1/International Patent No. WO 2019/166040 A1, 5 September 2019. [Google Scholar]
- Klingels, H.; Schmitz, O. Exhaust-Gas Treatment Device, Aircraft Propulsion System, and Method for Treating an Exhaust-Gas Stream. International Patent No. WO 2019/223823 A1, 28 November 2019. [Google Scholar]
- Meredith, F.W. Cooling of Aircraft Engines with Special Reference to Ethylene Glycol Radiators Enclosed in Ducts; HM Stationery Office: London, UK, 1935. [Google Scholar]
- Sanford, G.; McBride, B.J. Computer Program for Calculation of Complex Chemical Equilibrium Compositions and Applications, I. Analysis; NASA Technical Report; NASA-RP-1311; Lewis Research Center: Cleveland, OH, USA, 1994. [Google Scholar]
- Wagner, W.; Cooper, J.R.; Dittmann, A.; Kijima, J.; Kretzschmar, H.; Kruse, A.; Mares, R.; Oguchi, K.; Sato, H.; Stöcker, I.; et al. The IAPWS Industrial Formulation 1997 for the Thermodynamic Properties of Water and Steam. ASME J. Eng. Gas Turbines Power 2000, 122, 150–184. [Google Scholar] [CrossRef]
- McBride, B.J.; Zehe, M.J.; Gordon, S. NASA Glenn Coefficients for Calculating Thermodynamic Properties of Individual Species; NASA Glenn Research Center at Lewis Field: Cleveland, OH, USA, 2002.
- Baumann, N. Konzeptionierung und Optimierung von Wärmeübertragern für die WET-Engine. Master’s Thesis, Karlsruhe Institute of Technology, Karlsuhe, Germany, 2022. [Google Scholar]
- Philipp, H.; Panagiotou, P.; Vratny, P.; Kaiser, S.; Hornung, M.; Yakinthos, K. Advanced tube and wing aircraft for year 2050 timeframe. In Proceedings of the 55th AIAA Aerospace Sciences Meeting, Grapevine, TX, USA, 9–13 January 2017. [Google Scholar]
- Kärcher, B. Formation and radiative forcing of contrail cirrus. Nat. Commun. 2018, 9, 1824. [Google Scholar] [CrossRef] [PubMed]
- Schmidt, E. Die Entstehung von Eisnebel aus den Auspuffgasen von Flugmotoren. In Schriften der Deutschen Akademie der Luftfahrtforschung Heft 44; Verlag R. Oldenbourg: München, Germany, 1941; pp. 1–15. [Google Scholar]
- Appleman, H. The Formation of Exhaust Condensation Trails by Jet Aircraft. Bull. Am. Meteorol. Soc. 1953, 34, 14–20. [Google Scholar] [CrossRef]
- Schumann, U. On Conditions for Contrail Formation from Aircraft Exhausts. Meteorol. Z. 1996, 5, 4–23. [Google Scholar] [CrossRef]
- Göke, S. Ultra Wet Combustion: An Experimental and Numerical Study. Ph.D. Thesis, TU Berlin, Berlin, Germay, 2012. [Google Scholar]
- DuBois, D.; Paynter, G.C. “Fuel Flow Method2” for Estimating Aircraft Emissions. In SAE Technical Paper Series; Non-Conference Specific Technical Papers–2006; SAE International: Warrendale, PA, USA, 2006. [Google Scholar]
- Baughcum, S.L.; Tritz, T.G.; Henderson, S.C.; Pickett, D.C. Scheduled Civil Aircraft Emission Inventories for 1992: Database Development and Analysis; NASA Contractor Report No. 4700; NASA: Hampton, VA, USA, 1996.
- Lefebvre, A.H. Fuel effects on gas turbine combustion-liner temperature, pattern factor, and pollutant emissions. J. Aircr. 1984, 21, 887–898. [Google Scholar] [CrossRef]
- Odgers, J.; Kretschmer, D. The Prediction of Thermal NOx in Gas Turbines. In Volume 2: Coal, Biomass and Alternative Fuels, Proceedings of the ASME 1985 Beijing International Gas Turbine Symposium and Exposition, Beijing, China, 1–7 September 1985; Combustion and Fuels; American Society of Mechanical Engineers: New York, NY, USA, 1985; ISBN 978-0-7918-7943-6. [Google Scholar]
- GasTurb GmbH. GasTurb 14: Design and Off-Design Performance of Gas Turbines; GasTurb GmbH: Aachen, Germany, 2021. [Google Scholar]
- Kyprianidis, K.G.; Nalianda, D.; Dahlquist, E. A NOx Emissions Correlation for Modern RQL Combustors. Energy Procedia 2015, 75, 2323–2330. [Google Scholar] [CrossRef][Green Version]
- Rizk, N.; Mongia, H. Emissions predictions of different gas turbine combustors. In Proceedings of the 32nd Aerospace Sciences Meeting and Exhibit, Reno, NV, USA, 10–13 January 1994. [Google Scholar]
- Tsalavoutas, A.; Kelaidis, M.; Thoma, N.; Mathioudakis, K. Correlations Adaptation for Optimal Emissions Prediction. In Volume 3: Turbo Expo 2007, Proceedings of the ASME Turbo Expo 2007: Power for Land, Sea, and Air, Montreal, QC, Canada, 14–17 May 2007; ASMEDC: Houston, TX, USA, 2007; pp. 545–555. ISBN 0-7918-4792-6. [Google Scholar]
- Daggett, L.D.; Hendricks, R.C. Water Misting and Injection of Commercial Aircraft Engines to Reduce Airport NOx; Technical Report NASA/CR—2004-212957; National Aeronautics and Space Administration: Seattle, WA, USA, 2004.
- Hiestermann, M.; Konle, M.; de Guillebon, L. Numerical Investigation of the Effect of high Steam Loads on the Combustion of an Academic Premixed Swirl Stabilized Combustor. In Proceedings of the Global Power and Propulsion Society, GPPS-TC-2022-0094, Chania, Zurich, Switzerland, 12–13 January 2022. [Google Scholar]
- ICAO Committee on Aviation Environmental Protection (CAEP). ICAO Aircraft Engine Emissions Databank—Version 28C. Jul. 2021. Available online: https://www.easa.europa.eu/en/domains/environment/icao-aircraft-engine-emissions-databank (accessed on 15 November 2022).
- Schimek, S.; Göke, S.; Paschereit, C. Emission formation of liquid fuel combustion under humidified conditions. In Proceedings of the 51st AIAA Aerospace Sciences Meeting including the New Horizons Forum and Aerospace Exposition, Grapevine, TX, USA, 7–10 January 2013; American Institute of Aeronautics and Astronautics: Reston, VA, USA, 2013. ISBN 978-1-62410-181-6. [Google Scholar]
- Furuhata, T.; Kawata, T.; Mizukoshi, N.; Arai, M. Effect of steam addition pathways on NO reduction characteristics in a can-type spray combustor. Fuel 2010, 89, 3119–3126. [Google Scholar] [CrossRef]
- Hung, W.S.Y. Accurate Method of Predicting the Effect of Humidity or Injected Water on NOx Emissions from Industrial Gas Turbines; ASME Paper 74-WA/GT-6; ASME: New York, NY, USA, 1974. [Google Scholar]
- Touchton, G.L. Influence of Gas Turbine Combustor Design and Operating Parameters on Effectiveness of NOx Suppression by Injected Steam or Water. In 1984 Joint Power Generation Conference: GT Papers, Proceedings of the 1984 Joint Power Generation Conference: GT Papers, Toronto, ON, Canada, 30 September–4 October 1984; American Society of Mechanical Engineers: New York, NY, USA, 1984; ISBN 978-0-7918-7935-1. [Google Scholar]
- Bahr, D.W.; Lyon, T.F. NOx Abatement via Water Injection in Aircraft-Derivative Turbine Engines. In Volume 3: Coal, Biomass and Alternative Fuels; Combustion and Fuels; Oil and Gas Applications; Cycle Innovations, Proceedings of the ASME 1984 International Gas Turbine Conference and Exhibit, Amsterdam, The Netherlands, 4–7 June 1984; American Society of Mechanical Engineers: New York, NY, USA, 1984; ISBN 978-0-7918-7948-1. [Google Scholar]
- Köhler, M.O.; Rädel, G.; Dessens, O.; Shine, K.P.; Rogers, H.L.; Wild, O.; Pyle, J.A. Impact of Perturbations to Nitrogen Oxide Emissions from Global Aviation. J. Geophys. Res. 2008, 113, D11305. [Google Scholar] [CrossRef]
- Rädel, G.; Shine, K.P. Radiative Forcing by Persistent Contrails and its Dependence on Cruise Altitudes. J. Geophys. Res. 2008, 113, D07105. [Google Scholar] [CrossRef]
- Egelhofer, R. Aircraft Design Driven by Climate Change. Ph.D. Thesis, Technische Universität München, München, Germany, 2008. [Google Scholar]
- Shine, K.P.; Fuglestvedt, J.S.; Hailemariam, K.; Stuber, N. Alternatives to the Global Warming Potential for Comparing Climate Impacts of Emissions of Greenhouse Gases. Clim. Chang. 2005, 68, 281–302. [Google Scholar] [CrossRef]
Publisher’s Note: MDPI stays neutral with regard to jurisdictional claims in published maps and institutional affiliations. |
© 2022 by the authors. Licensee MDPI, Basel, Switzerland. This article is an open access article distributed under the terms and conditions of the Creative Commons Attribution (CC BY) license (https://creativecommons.org/licenses/by/4.0/).






