Short-Term Prediction of Bike-Sharing Demand Using Multi-Source Data: A Spatial-Temporal Graph Attentional LSTM Approach
Abstract
1. Introduction
- A novel GC-LSTM model with spatio-temporal attentional matrices is proposed to predict the short-term demand for bike-sharing rental and return at the station level.
- Exogenous factors (e.g., weather information, POIs data, and users’ personal information) are considered in the prediction model.
- Comprehensive performance comparisons are performed based on real-world datasets.
2. Literature Review
3. Methodology
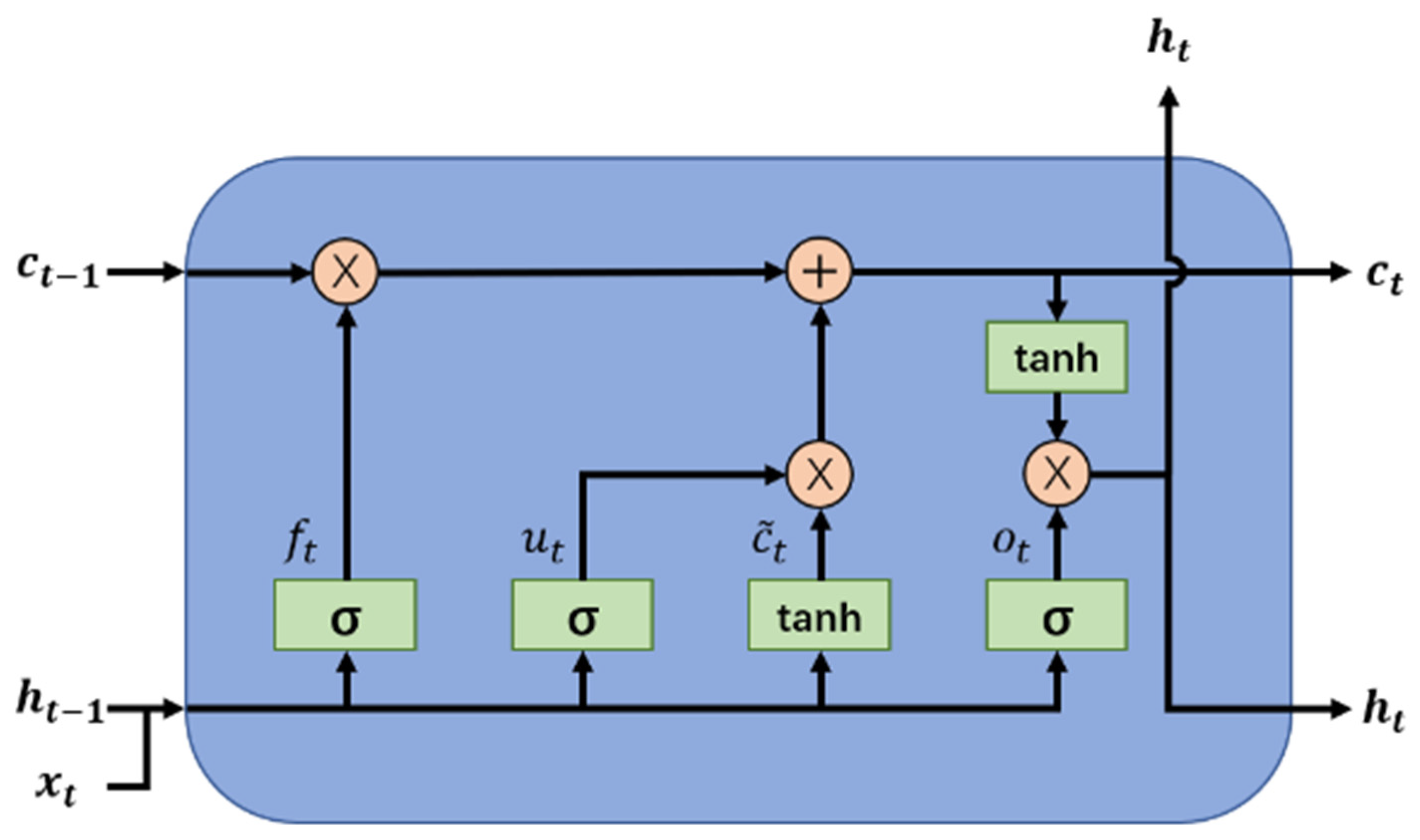
3.1. Long Short-Term Memory (LSTM)
3.2. Graph Convolutional Network (GCN)
3.3. Attention Mechanism
3.4. Spatial-Temporal Graph Attentional Long Short-Term Memory (STGA-LSTM)
4. Experiment
4.1. Dataset Description
4.2. Data Pre-Processing
4.3. Experimental Setting
- (1)
- HA: Historical average prediction method. Using the average demand at the given location of the same related prediction horizon (i.e., the same time of the day) as the prediction value;
- (2)
- SVR: The radial basis function kernel-based Support Vector Regression (SVR). Fitting the curves by mapping the feature vectors into a high-dimension space. The cross validation is used to learn the kernel function and hyper parameters;
- (3)
- XGBoost: An implementation of Gradient Boosting Decision Trees (XGBoost), which is a scalable end-to-end tree boosting system. Compared with other tree boosting system, it uses fewer resources to scale beyond billions of datasets;
- (4)
- ANN: An artificial neural network that has two hidden layers. The hidden layers have the same number of dimensions as that of bike-sharing stations.
- (5)
- GCN: The number of dimensions of hidden layers and output layer is same as the ANN setting. The number of vertices in the graph equals that of bike-sharing stations.
- (6)
- LSTM: The number of dimensions of the hidden layers and output layer is same as the ANN setting. The number of LSTM units equals the number of time steps in different prediction horizon.
- (7)
- GC-LSTM: A Long Short-Term Memory neural network combined with a graph convolution operator. The number of dimensions of the hidden layers and output layer is same as the ANN setting. The number of vertices in the graph is equal to the number of bike-sharing stations. The number of LSTM units equals that of time steps in different prediction horizon.
4.4. Experimental Results and Discussion
4.5. Efficiency Comparison
4.6. Models with Exogenous Variables
4.7. Temporal and Spatial Attention Mechanism
5. Conclusions
Author Contributions
Funding
Institutional Review Board Statement
Informed Consent Statement
Data Availability Statement
Conflicts of Interest
References
- Yang, Z.; Chen, J.; Hu, J.; Shu, Y.; Cheng, P. Mobility Modeling and Data-Driven Closed-Loop Prediction in Bike-Sharing Systems. IEEE Trans. Intell. Transp. Syst. 2019, 20, 4488–4499. [Google Scholar] [CrossRef]
- Yang, M.; Liu, X.; Wang, W.; Li, Z.; Zhao, J. Empirical Analysis of a Mode Shift to Using Public Bicycles to Access the Suburban Metro: Survey of Nanjing, China. J. Urban Plan. Dev. 2016, 142, 05015011. [Google Scholar] [CrossRef]
- Lin, L.; He, Z.; Peeta, S. Predicting station-level hourly demand in a large-scale bike-sharing network: A graph convolutional neural network approach. Transp. Res. Part C Emerg. Technol. 2018, 97, 258–276. [Google Scholar] [CrossRef]
- The Meddin Bike-Sharing World Map. Available online: https://bikesharingworldmap.com/ (accessed on 23 April 2021).
- Gu, T.; Kim, I.; Currie, G. To be or not to be dockless: Empirical analysis of dockless bikeshare development in China. Transp. Res. Part A Policy Pract. 2019, 119, 122–147. [Google Scholar] [CrossRef]
- Pal, A.; Zhang, Y. Free-floating bike sharing: Solving real-life large-scale static rebalancing problems. Transp. Res. Part C Emerg. Technol. 2017, 80, 92–116. [Google Scholar] [CrossRef]
- Lazarus, J.; Pourquier, J.C.; Feng, F.; Hammel, H.; Shaheen, S. Micromobility evolution and expansion: Understanding how docked and dockless bikesharing models complement and compete—A case study of San Francisco. J. Transp. Geogr. 2020, 84, 102620. [Google Scholar] [CrossRef]
- Szeto, W.; Shui, C. Exact loading and unloading strategies for the static multi-vehicle bike repositioning problem. Transp. Res. Part B Methodol. 2018, 109, 176–211. [Google Scholar] [CrossRef]
- Almannaa, M.H.; Elhenawy, M.; Rakha, H.A. Dynamic linear models to predict bike availability in a bike sharing system. Int. J. Sustain. Transp. 2020, 14, 232–242. [Google Scholar] [CrossRef]
- Yang, H.; Xie, K.; Ozbay, K.; Ma, Y.; Wang, Z. Use of Deep Learning to Predict Daily Usage of Bike Sharing Systems. Transp. Res. Rec. J. Transp. Res. Board 2018, 2672, 92–102. [Google Scholar] [CrossRef]
- Chen, L.; Zhang, D.; Wang, L.; Yang, D.; Ma, X.; Li, S.; Wu, Z.; Pan, G.; Nguyen, T.M.T.; Jakubowicz, J. Dynamic cluster-based over-demand prediction in bike sharing systems. In Proceedings of the 2016 ACM International Joint Conference on Pervasive and Ubiquitous Computing, Heidelberg, Germany, 12–16 September 2016; pp. 841–852. [Google Scholar]
- Du, B.; Peng, H.; Wang, S.; Alam Bhuiyan, Z.; Wang, L.; Gong, Q.; Liu, L.; Li, J. Deep Irregular Convolutional Residual LSTM for Urban Traffic Passenger Flows Prediction. IEEE Trans. Intell. Transp. Syst. 2020, 21, 972–985. [Google Scholar] [CrossRef]
- Lin, F.; Jiang, J.; Fan, J.; Wang, S. A stacking model for variation prediction of public bicycle traffic flow. Intell. Data Anal. 2018, 22, 911–933. [Google Scholar] [CrossRef]
- Do, L.N.; Vu, H.L.; Vo, B.Q.; Liu, Z.; Phung, D. An effective spatial-temporal attention based neural network for traffic flow prediction. Transp. Res. Part C Emerg. Technol. 2019, 108, 12–28. [Google Scholar] [CrossRef]
- Amap. Available online: https://lbs.amap.com (accessed on 27 June 2020).
- OpenStreetMap. Available online: https://www.openstreetmap.org (accessed on 13 July 2020).
- Weather Underground. TWC Product and Technology LLC. Available online: https://www.wunderground.com/ (accessed on 20 July 2020).
- Sohrabi, S.; Paleti, R.; Balan, L.; Cetin, M. Real-time prediction of public bike sharing system demand using generalized extreme value count model. Transp. Res. Part A Policy Pr. 2020, 133, 325–336. [Google Scholar] [CrossRef]
- Li, Y.; Zhu, Z.; Kong, D.; Xu, M.; Zhao, Y. Learning Heterogeneous Spatial-Temporal Representation for Bike-Sharing Demand Prediction. In Proceedings of the AAAI Conference on Artificial Intelligence; Association for the Advancement of Artificial Intelligence (AAAI), Honolulu, HI, USA, 27 January–1 February 2019; Volume 33, pp. 1004–1011. [Google Scholar]
- Kaltenbrunner, A.; Meza, R.; Grivolla, J.; Codina, J.; Banchs, R. Urban cycles and mobility patterns: Exploring and predicting trends in a bicycle-based public transport system. Pervasive Mob. Comput. 2010, 6, 455–466. [Google Scholar] [CrossRef]
- Yoon, J.W.; Pinelli, F.; Calabrese, F. Cityride: A predictive bike sharing journey advisor. In Proceedings of the 2012 IEEE 13th International Conference on Mobile Data Management, Bengaluru, India, 2–26 July 2012; pp. 306–311. [Google Scholar]
- Gallop, C.; Tse, C.; Zhao, J. A Seasonal Autoregressive Model of Vancouver Bicycle Traffic Using Weather Variables. i-Manager’s J. Civ. Eng. 2011, 1, 9–18. [Google Scholar] [CrossRef][Green Version]
- Wang, W. Forecasting Bike Rental Demand Using New York Citi Bike Data. Master’s Thesis, Dublin Institute of Technology, Dublin, Ireland, 2016. [Google Scholar]
- Froehlich, J.E.; Neumann, J.; Oliver, N. Sensing and predicting the pulse of the city through shared bicycling. In Proceedings of the Twenty-First International Joint Conference on Artificial Intelligence, Los Angeles, CA, USA, 12–17 July 2009; pp. 1420–1426. [Google Scholar]
- Hulot, P.; Aloise, D.; Jena, S.D. Towards station-level demand prediction for effective rebalancing in bike-sharing systems. In Proceedings of the 24th ACM SIGKDD International Conference on Knowledge Discovery & Data Mining, London, UK, 19–23 August 2018; pp. 378–386. [Google Scholar]
- Liu, J.; Li, Q.; Qu, M.; Chen, W.; Yang, J.; Xiong, H.; Zhong, H.; Fu, Y. Station site optimization in bike sharing systems. In Proceedings of the 2015 IEEE International Conference on Data Mining, Atlantic City, NJ, USA, 14–17 November 2015; pp. 883–888. [Google Scholar]
- Wang, B.; Kim, I. Short-term prediction for bike-sharing service using machine learning. Transp. Res. Procedia 2018, 34, 171–178. [Google Scholar] [CrossRef]
- Chen, P.; Hsieh, H.; Su, K.; Sigalingging, X.K.; Chen, Y.; Leu, J. Predicting station level demand in a bike-sharing system using recurrent neural networks. IET Intell. Transp. Syst. 2020, 14, 554–561. [Google Scholar] [CrossRef]
- Zhang, C.; Zhang, L.; Liu, Y.; Yang, X. Short-term prediction of bike-sharing usage considering public transport: A LSTM approach. In Proceedings of the 2018 21st International Conference on Intelligent Transportation Systems (ITSC), Maui, HI, USA, 4–7 November 2018; pp. 1564–1571. [Google Scholar]
- Ai, Y.; Li, Z.; Gan, M.; Zhang, Y.; Yu, D.; Chen, W.; Ju, Y. A deep learning approach on short-term spatiotemporal distribution forecasting of dockless bike-sharing system. Neural Comput. Appl. 2019, 31, 1665–1677. [Google Scholar] [CrossRef]
- Xu, M.; Liu, H.; Yang, H. A Deep Learning Based Multi-Block Hybrid Model for Bike-Sharing Supply-Demand Prediction. IEEE Access 2020, 8, 85826–85838. [Google Scholar] [CrossRef]
- Kim, T.S.; Lee, W.K.; Sohn, S.Y. Graph convolutional network approach applied to predict hourly bike-sharing demands considering spatial, temporal, and global effects. PLoS ONE 2019, 14, e0220782. [Google Scholar] [CrossRef]
- Pandya, D.A. Station-Graph: Bike Flow Prediction Using Spatio-Temporal Graph Convolutional Network. Master’s Thesis, California State University, California, CA, USA, 2020. [Google Scholar]
- Guo, R.; Jiang, Z.; Huang, J.; Tao, J.; Wang, C.; Li, J.; Chen, L. BikeNet: Accurate Bike Demand Prediction Using Graph Neural Networks for Station Rebalancing. In Proceedings of the 2019 IEEE Smart World, Ubiquitous Intelligence & Computing, Advanced & Trusted Computing, Scalable Computing & Communications, Cloud & Big Data Computing, Internet of People and Smart City Innovation (SmartWorld/SCALCOM/UIC/ATC/CBDCom/IOP/SCI), Leicester, UK, 19–23 August 2019; pp. 686–693. [Google Scholar]
- Yoshida, A.; Yatsushiro, Y.; Hata, N.; Higurashi, T.; Tateiwa, N.; Wakamatsu, T.; Tanaka, A.; Nagamatsu, K.; Fujisawa, K. Practical End-to-End Repositioning Algorithm for Managing Bike-Sharing System. In Proceedings of the 2019 IEEE International Conference on Big Data (Big Data), Los Angeles, CA, USA, 9–12 December 2019; pp. 1251–1258. [Google Scholar]
- Chai, D.; Wang, L.; Yang, Q. Bike flow prediction with multi-graph convolutional networks. In Proceedings of the 26th ACM SIGSPATIAL International Conference on Advances in Geographic Information Systems, Washington, DC, USA, 6–9 November 2018; pp. 397–400. [Google Scholar]
- Zhou, X.; Shen, Y.; Zhu, Y.; Huang, L. Predicting multi-step citywide passenger demands using attention-based neural networks. In Proceedings of the Eleventh ACM International Conference on Web Search and Data Mining, Los Angeles, CA, USA, 5–9 February 2018; pp. 736–744. [Google Scholar]
- Useche, S.A.; Esteban, C.; Alonso, F.; Montoro, L. Are Latin American cycling commuters “at risk”? A comparative study on cycling patterns, behaviors, and crashes with non-commuter cyclists. Accid. Anal. Prev. 2021, 150, 105915. [Google Scholar] [CrossRef] [PubMed]
- Lock, O. Cycling Behaviour Changes as a Result of COVID-19: A Survey of Users in Sydney, Australia. Transp. Find. 2020, 13405. [Google Scholar] [CrossRef]
- Li, X.; Useche, S.A.; Zhang, Y.; Wang, Y.; Oviedo-Trespalacios, O.; Haworth, N. Comparing the cycling behaviours of Australian, Chinese and Colombian cyclists using a behavioural questionnaire paradigm. Accid. Anal. Prev. 2021, 164, 106471. [Google Scholar] [CrossRef] [PubMed]
- Bengio, Y.; Simard, P.; Frasconi, P. Learning long-term dependencies with gradient descent is difficult. IEEE Trans. Neural Netw. 1994, 5, 157–166. [Google Scholar] [CrossRef] [PubMed]
- Hochreiter, S.; Schmidhuber, J. Long short-term memory. Neural Comput. 1997, 9, 1735–1780. [Google Scholar] [CrossRef] [PubMed]
- Bruna, J.; Zaremba, W.; Szlam, A.; LeCun, Y. Spectral networks and locally connected networks on graphs. arXiv 2013, arXiv:1312.6203. [Google Scholar]
- Xu, K.; Hu, W.; Leskovec, J.; Jegelka, S. How powerful are graph neural networks? arXiv 2018, arXiv:1810.00826. [Google Scholar]
- Luo, Y.; Liu, Q.; Zhu, H.; Fan, H.; Song, T.; Yu, C.W.; Du, B. Multistep Flow Prediction on Car-Sharing Systems: A Multi-Graph Convolutional Neural Network with Attention Mechanism. Int. J. Softw. Eng. Knowl. Eng. 2019, 29, 1727–1740. [Google Scholar]
- Veličković, P.; Cucurull, G.; Casanova, A.; Romero, A.; Liò, P.; Bengio, Y. Graph Attention Networks. arXiv 2017, arXiv:1710.10903. [Google Scholar]
- Krizhevsky, A.; Sutskeve, I.; Hinton, G.E. Imagenet classification with deep convolutional neural networks. Adv. Neural Inf. Process. Syst. 2017, 60, 84–90. [Google Scholar] [CrossRef]
- Zhao, D.; Ong, G.P.; Wang, W.; Hu, X.J. Effect of built environment on shared bicycle reallocation: A case study on Nanjing, China. Transp. Res. Part A Policy Pr. 2019, 128, 73–88. [Google Scholar] [CrossRef]
- Ji, Y.; Ma, X.; He, M.; Jin, Y.; Yuan, Y. Comparison of usage regularity and its determinants between docked and dockless bike-sharing systems: A case study in Nanjing, China. J. Clean. Prod. 2020, 255, 120110. [Google Scholar] [CrossRef]
- Xu, C.; Ji, J.; Liu, P. The station-free sharing bike demand forecasting with a deep learning approach and large-scale datasets. Transp. Res. Part C Emerg. Technol. 2018, 95, 47–60. [Google Scholar] [CrossRef]
- Ke, J.; Zheng, H.; Yang, H.; Chen, X.M. Short-term forecasting of passenger demand under on-demand ride services: A spatio-temporal deep learning approach. Transp. Res. Part C Emerg. Technol. 2017, 85, 591–608. [Google Scholar] [CrossRef]
- Elhenawy, M.; Bichiou, Y.; Rakha, H. A heuristic algorithm for rebalancing large-scale bike sharing systems using multiple trucks. In Proceedings of the Transportation Research Board 98th Annual Meeting, Washington, DC, USA, 13–17 January 2019. [Google Scholar]
- El-Assi, W.; Mahmoud, M.S.; Habib, K.N. Effects of built environment and weather on bike sharing demand: A station level analysis of commercial bike sharing in Toronto. Transportation 2017, 44, 589–613. [Google Scholar] [CrossRef]
- Ma, X.; Yuan, Y.; Oort, N.; Ji, Y.; Hoogendoorn, S. Understanding the difference in travel patterns between docked and dockless bike-sharing systems: A case study in Nanjing, China. In Proceedings of the 98th Transportation Research Board Annual Meeting, Washington, DC, USA, 13–17 January 2019; pp. 13–17. [Google Scholar]
- Ma, X.; Zhang, J.; Ding, C.; Wang, Y. A geographically and temporally weighted regression model to explore the spatiotemporal influence of built environment on transit ridership. Comput. Environ. Urban Syst. 2018, 70, 113–124. [Google Scholar] [CrossRef]
- Li, J.; Guo, X.; Zhang, X.; Lv, F. Operation Characteristics of Free-Floating Bike Sharing System as a Feeder Mode to Rail Transit Based on GPS Data: A case study in Beijing. In Proceedings of the Transportation Research Board 98st Annual Meeting, Washington, DC, USA, 13–17 January 2019. [Google Scholar]
- Vidotto, G.; Anselmi, P.; Filipponi, L.; Tommasi, M.; Saggino, A. Using Overt and Covert Items in Self-Report Personality Tests: Susceptibility to Faking and Identifiability of Possible Fakers. Front. Psychol. 2018, 9, 1100. [Google Scholar] [CrossRef]
- Alonso, F.; Faus, M.; Esteban, C.; Useche, S. Is There a Predisposition towards the Use of New Technologies within the Traffic Field of Emerging Countries? The Case of the Dominican Republic. Electronics 2021, 10, 1208. [Google Scholar] [CrossRef]










| Model | Rental Volume | Return Volume | Rental Volume | Rental Volume | ||||
|---|---|---|---|---|---|---|---|---|
| RMSE | MAE | RMSE | MAE | RMSE | MAE | RMSE | MAE | |
| 15 min | 45 min | |||||||
| HA | 1.2370 | 0.7269 | 1.2204 | 0.7194 | 2.5817 | 1.4848 | 2.5270 | 1.4594 |
| ANN | 0.8637 | 0.4951 | 0.8660 | 0.4976 | 0.9865 | 0.6190 | 1.1461 | 0.7451 |
| XGBoost | 0.8737 | 0.4953 | 0.8754 | 0.4986 | 1.0827 | 0.6738 | 1.0857 | 0.6803 |
| SVR | 0.9649 | 0.5635 | 0.9706 | 0.5663 | 1.1277 | 0.7307 | 0.9800 | 0.6106 |
| LSTM | 0.7139 | 0.3843 | 0.7397 | 0.4034 | 0.8513 | 0.5140 | 0.8509 | 0.5084 |
| GCN | 0.7600 | 0.4196 | 0.6815 | 0.3585 | 0.8477 | 0.5066 | 0.8475 | 0.5109 |
| GC-LSTM | 0.6415 | 0.3314 | 0.6735 | 0.3551 | 0.8410 | 0.5040 | 0.8452 | 0.5071 |
| STGA-LSTM | 0.6127 | 0.3101 | 0.6107 | 0.3088 | 0.7912 | 0.4663 | 0.7930 | 0.4690 |
| 30 min | 60 min | |||||||
| HA | 1.9530 | 1.1399 | 1.9087 | 1.1155 | 3.2052 | 1.8228 | 3.1310 | 1.7844 |
| ANN | 0.9450 | 0.5740 | 1.0903 | 0.6852 | 1.0845 | 0.6910 | 1.2304 | 0.8218 |
| XGBoost | 0.9848 | 0.5999 | 0.9917 | 0.6035 | 1.1825 | 0.7602 | 1.1700 | 0.7547 |
| SVR | 1.1041 | 0.6949 | 0.9454 | 0.5747 | 1.2613 | 0.8383 | 1.0775 | 0.6886 |
| LSTM | 0.7912 | 0.4573 | 0.8001 | 0.4651 | 0.9484 | 0.5839 | 0.9972 | 0.6218 |
| GCN | 0.8014 | 0.4651 | 0.7784 | 0.4480 | 1.0230 | 0.6414 | 0.9406 | 0.5834 |
| GC-LSTM | 0.7266 | 0.4078 | 0.7332 | 0.4134 | 0.9126 | 0.5527 | 0.9137 | 0.5586 |
| STGA-LSTM | 0.7098 | 0.3952 | 0.7118 | 0.3978 | 0.8979 | 0.5418 | 0.8998 | 0.5440 |
| Variables | RMSE | MAE |
|---|---|---|
| STGA-LSTM (historical data only) | 0.8979 | 0.5418 |
| STGA-LSTM (POIs and road density data) | 0.8966 | 0.5407 |
| STGA-LSTM (hourly weather data) | 0.8969 | 0.5413 |
| STGA-LSTM (personal data) | 0.8956 | 0.5395 |
| STGA-LSTM (full data) | 0.8919 | 0.5415 |
Publisher’s Note: MDPI stays neutral with regard to jurisdictional claims in published maps and institutional affiliations. |
© 2022 by the authors. Licensee MDPI, Basel, Switzerland. This article is an open access article distributed under the terms and conditions of the Creative Commons Attribution (CC BY) license (https://creativecommons.org/licenses/by/4.0/).
Share and Cite
Ma, X.; Yin, Y.; Jin, Y.; He, M.; Zhu, M. Short-Term Prediction of Bike-Sharing Demand Using Multi-Source Data: A Spatial-Temporal Graph Attentional LSTM Approach. Appl. Sci. 2022, 12, 1161. https://doi.org/10.3390/app12031161
Ma X, Yin Y, Jin Y, He M, Zhu M. Short-Term Prediction of Bike-Sharing Demand Using Multi-Source Data: A Spatial-Temporal Graph Attentional LSTM Approach. Applied Sciences. 2022; 12(3):1161. https://doi.org/10.3390/app12031161
Chicago/Turabian StyleMa, Xinwei, Yurui Yin, Yuchuan Jin, Mingjia He, and Minqing Zhu. 2022. "Short-Term Prediction of Bike-Sharing Demand Using Multi-Source Data: A Spatial-Temporal Graph Attentional LSTM Approach" Applied Sciences 12, no. 3: 1161. https://doi.org/10.3390/app12031161
APA StyleMa, X., Yin, Y., Jin, Y., He, M., & Zhu, M. (2022). Short-Term Prediction of Bike-Sharing Demand Using Multi-Source Data: A Spatial-Temporal Graph Attentional LSTM Approach. Applied Sciences, 12(3), 1161. https://doi.org/10.3390/app12031161

