Modeling Method to Characterize the Pore Structure of Fractured Tight Reservoirs
Abstract
:1. Introduction
2. Materials and Methods
2.1. Experimental Samples
2.2. Modeling Method
2.2.1. Calculating the Matrix Mineral Elastic Modulus
2.2.2. Calculating the Rock Matrix Elastic Modulus
2.2.3. Calculating the Elastic Modulus of Porous Dry Rock
2.2.4. Calculating the Stiffness Matrix of Fractured Dry Rock
2.2.5. Calculating the Stiffness Matrix of Fractured Saturated Rock
2.2.6. Calculating the Anisotropic Parameters of Fractured Saturated Rock
2.3. The Workflow of Rock Physics Model Construction
3. Results
3.1. Analyzing Pore Structure Characteristics Using the Rock Physics Model
3.2. Analyzing Reservoir Elastic Properties Using the Rock Physics Model
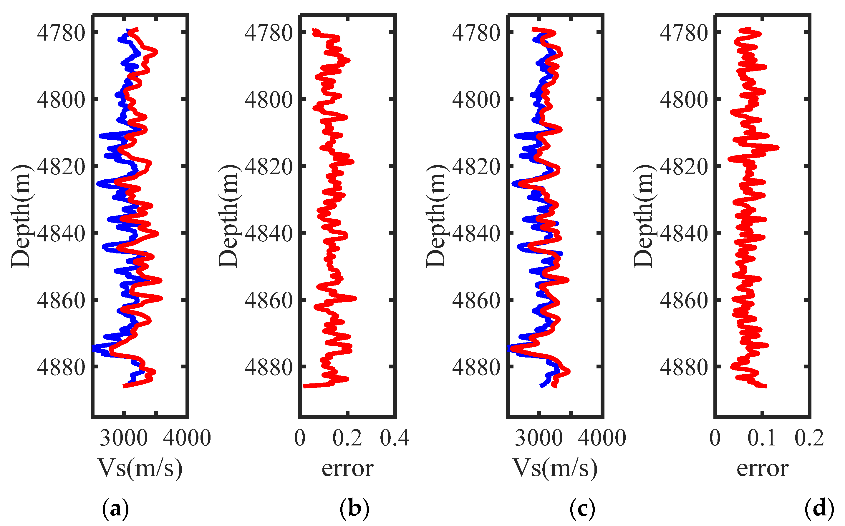
3.3. Predicting Reservoir Characteristic Parameters Using the Rock Physics Model
4. Discussion
5. Conclusions
Author Contributions
Funding
Institutional Review Board Statement
Data Availability Statement
Conflicts of Interest
Appendix A
Appendix B
References
- Zhang, B.; Zhao, T.; Jin, X.; Marfurt, K.J. Brittleness evaluation of resource plays by integrating petrophysical and seismic data analysis. Interpretation 2015, 3, 81–92. [Google Scholar] [CrossRef] [Green Version]
 - Wu, H.; Dong, X.; Xu, Y.; Xiong, G.; Shen, Z.; Wang, Y. Seepage Mechanism of Tight Sandstone Reservoir Based on Digital Core Simulation Method. Appl. Sci. 2021, 11, 3741. [Google Scholar] [CrossRef]
 - Avseth, P.; Johansen, T.A.; Bakhorji, A.; Mustafa, H.M. Rock-physics modeling guided by depositional and burial history in low-to-intermediate-porosity sandstones. Geophysics 2014, 79, D115–D121. [Google Scholar] [CrossRef]
 - Mavko, G.; Mukerji, T. A rock physics strategy for quantifying uncertainty in common hydrocarbon indicators. Geophysics 1998, 63, 1997–2008. [Google Scholar] [CrossRef]
 - Dvorkin, J.P.; Nur, A.M. Elasticity of high-porosity sandstones: Theory for two North Sea datasets. In Proceedings of the 65th Annual International Meeting, SEG, Expanded Abstracts, Houston, TX, USA, 8–13 October 1995; pp. 890–893. [Google Scholar] [CrossRef] [Green Version]
 - Castagna, J.P.; Batzle, M.L.; Eastwood, R.L. Relationships between compressional-wave and shear-wave velocities in clastic silicate rocks. Geophysics 1985, 50, 571–581. [Google Scholar] [CrossRef]
 - Mavko, G.; Mukerji, T. Comparison of the Krief and critical porosity models for prediction of porosity and VP/VS. Geophysics 1998, 63, 925–927. [Google Scholar] [CrossRef]
 - Smith, T.M.; Sayers, C.M.; Sondergeld, C.H. Rock properties in low-porosity/low-permeability sandstones. Lead. Edge 2009, 28, 48–59. [Google Scholar] [CrossRef]
 - Xu, S.; White, R.E. A physical model for shear-wave velocity prediction. Geophys. Prospect. 1996, 4, 687–717. [Google Scholar] [CrossRef]
 - Zhang, B.; Liu, Y.; Bhattacharya, S.; Huang, S.; Zhao, B.; Song, F. Introduction to special section: Reservoir characterization by integrating multidiscipline data. Interpretation 2020, 8, SMI. [Google Scholar] [CrossRef]
 - Ruiz, F.; Cheng, A. A rock physics model for tight gas sand. Lead. Edge 2010, 29, 1484–1489. [Google Scholar] [CrossRef]
 - Bai, J.-Y.; Yue, C.-Q.; Liang, Y.-Q.; Song, Z.-X.; Ling, S.; Zhang, Y.; Wu, W. Variable aspect ratio method in the Xu–White model for shear-wave velocity estimation. J. Geophys. Eng. 2013, 10, 035008. [Google Scholar] [CrossRef]
 - Li, J.-Y.; Chen, X.-H. A rock-physical modeling method for carbonate reservoirs at seismic scale. Appl. Geophys. 2013, 10, 1–13. [Google Scholar] [CrossRef]
 - Alkhimenkov, Y.; Bayuk, I.O. Unified Effective Medium Theory for Cracked Porous Rocks—Theory and Case Study. In Proceedings of the 79th Conference and Exhibition, EAGE, Paris, France, 12–15 June 2017; pp. 1–5. [Google Scholar] [CrossRef]
 - Vernik, L.; Kachanov, M. Modeling elastic properties of siliciclastic rocks. Geophysics 2010, 75, E171–E182. [Google Scholar] [CrossRef]
 - Markov, M.; Levine, V.; Mousatov, A.; Kazatchenko, E. Elastic properties of double-porosity rocks using the differential effective medium model. Geophys. Prospect. 2005, 53, 733–754. [Google Scholar] [CrossRef]
 - Berryman, J.G. Effective Medium Theories for Multicomponent Poroelastic Composites. J. Eng. Mech. 2006, 132, 519–531. [Google Scholar] [CrossRef]
 - Wang, P.; Li, J.; Chen, X.; Wang, B. Joint probabilistic fluid discrimination of tight sandstone reservoirs based on Bayes discriminant and deterministic rock physics modeling. J. Pet. Sci. Eng. 2020, 191, 107218. [Google Scholar] [CrossRef]
 - Yan, X.-F.; Yao, F.-C.; Cao, H.; Ba, J.; Hu, L.-L.; Yang, Z.-F. Analyzing the mid-low porosity sandstone dry frame in central Sichuan based on effective medium theory. Appl. Geophys. 2011, 8, 163–170. [Google Scholar] [CrossRef]
 - Zhu, W.; Wang, S.; Chang, X.; Zhai, H.; Wu, H. Three-Dimensional Ultrasonic Imaging and Acoustic Emission Monitoring of Hydraulic Fractures in Tight Sandstone. Appl. Sci. 2021, 11, 9352. [Google Scholar] [CrossRef]
 - Hudson, J.A. Wave speeds and attenuation of elastic waves in material containing cracks. Geophys. J. Int. 1981, 64, 133–150. [Google Scholar] [CrossRef]
 - Schoenberg, M. Reflection of Elastic waves from periodically stratified media with interfacial slip. Geophys. Prospect. 1983, 31, 265–292. [Google Scholar] [CrossRef]
 - Schoenberg, M.; Sayers, C. Seismic anisotropy of fractured rock. Geophysics 1995, 60, 204–211. [Google Scholar] [CrossRef]
 - Xu, M.; Yin, X.; Zong, Z.; Li, H. Rock-physics model of volcanic rocks, an example from Junggar Basin of China. J. Pet. Sci. Eng. 2020, 195, 107003. [Google Scholar] [CrossRef]
 - Pan, X.; Zhang, G.; Yin, X. Azimuthally pre-stack seismic inversion for orthorhombic anisotropy driven by rock physics. Sci. China Earth Sci. 2018, 61, 425–440. [Google Scholar] [CrossRef]
 - Xie, R.; Zhou, W.; Xiang, M.; Yin, S.; Zhang, M.; Wang, Y.; Chen, J. Development mode of reverse fault-associated fractures in deep tight sandstones: A case study in Xinchang Gas Field, Sichuan Basin, China. Geol. J. 2021, 56, 2997–3011. [Google Scholar] [CrossRef]
 - Skipochka, S.; Krukovskyi, O.; Palamarchuk, T.; Prokhorets, L. On the methodology for considering scale effect of rock strength. Min. Miner. Depos. 2020, 14, 24–30. [Google Scholar] [CrossRef]
 - Avseth, P.; Mavko, G.; Dvorkin, J.; Mukerji, T. Rock physics and seismic properties of sands and shales as a function of burial depth. In Proceedings of the 71th Annual International Meeting, SEG, Expanded Abstracts, San Antonio, TX, USA, 9–14 September 2001; pp. 1780–1783. [Google Scholar] [CrossRef]
 - Golab, A.N.; Knackstedt, M.A.; Averdunk, H.; Senden, T.; Butcher, A.; Jaime, P. 3D porosity and mineralogy characterization in tight gas sandstones. Lead. Edge 2010, 29, 1476–1483. [Google Scholar] [CrossRef]
 - Chen, H.; Yin, X.; Qu, S.; Zhang, G. AVAZ inversion for fracture weakness parameters based on the rock physics model. J. Geophys. Eng. 2014, 11, 065007. [Google Scholar] [CrossRef]
 - Hsu, C.; Schoenberg, M. Elastic waves through a simulated fractured medium. Geophysics 1993, 58, 964–977. [Google Scholar] [CrossRef]
 - Cheng, C.H. Crack models for a transversely isotropic medium. J. Geophys. Res. Earth Surf. 1993, 98, 675–684. [Google Scholar] [CrossRef]
 - Schoenberg, M.; Helbig, K. Orthorhombic media: Modeling elastic wave behavior in a vertically fractured earth. Geophysics 1997, 62, 1954–1974. [Google Scholar] [CrossRef]
 - Xu, S.; White, R.E. A new velocity model for clay-sand mixtures. Geophys. Prospect. 1995, 43, 91–118. [Google Scholar] [CrossRef]
 - Zhang, G.; Chen, H.; Wang, Q.; Yin, X. Estimation of S-wave velocity and anisotropic parameters using fractured carbonate rock physics model. Chin. J. Geophys. 2013, 56, 1707–1715. [Google Scholar] [CrossRef]
 - Saberi, M.R.; Ting, J. A workflow to model anisotropy in a vertical transverse isotropic medium. First Break 2016, 34, 34. [Google Scholar] [CrossRef]
 - Mavko, G.; Mukerji, T.; Dvorkin, J. The Rock Physics Handbook Tools for Seismic Analysis of Porous Media, 2nd ed.; Cambridge University Press: New York, NY, USA, 2009. [Google Scholar]
 - Zhang, C.; Shan, W.; Wang, X. Quantitative evaluation of organic porosity and inorganic porosity in shale gas reservoirs using logging data. Energy Sources Part A Recover. Util. Environ. Eff. 2018, 41, 811–828. [Google Scholar] [CrossRef]
 - Berryman, J.G. Long-wavelength propagation in composite elastic media II. Ellipsoidal inclusions. J. Acoust. Soc. Am. 1980, 68, 1820–1831. [Google Scholar] [CrossRef]
 - Backus, G.E. Long-wave elastic anisotropy produced by horizontal layering. J. Geophys. Res. 1962, 67, 4427–4440. [Google Scholar] [CrossRef] [Green Version]
 - Schoenberg, M. Elastic wave behavior across linear slip interfaces. J. Acoust. Soc. Am. 1980, 68, 1516–1521. [Google Scholar] [CrossRef] [Green Version]
 - Sil, S. Fracture parameter estimation from well-log data. Geophysics 2013, 78, D129–D134. [Google Scholar] [CrossRef]
 - Huang, L.; Stewart, R.R.; Sil, S.; Dyaur, N. Fluid substitution effects on seismic anisotropy. J. Geophys. Res. Solid Earth 2015, 120, 850–863. [Google Scholar] [CrossRef]
 - Brown, R.J.S.; Korringa, J. On the dependence of the elastic properties of a porous rock on the compressibility of the pore fluid. Geophysics 1975, 40, 608–616. [Google Scholar] [CrossRef]
 - Thomsen, L. Weak elastic anisotropy. Geophysics 1986, 51, 1954–1966. [Google Scholar] [CrossRef]
 - Rüger, A. P-wave reflection coefficients for transversely isotropic models with vertical and horizontal axis of symmetry. Geophysics 1997, 62, 713–722. [Google Scholar] [CrossRef] [Green Version]
 - Bakulin, A.; Grechka, V.; Tsvankin, I. Estimation of fracture parameters from reflection seismic data—Part I: HTI model due to a single fracture set. Geophysics 2000, 65, 1788–1802. [Google Scholar] [CrossRef] [Green Version]
 - Prioul, R.; Donald, A.; Koepsell, R.; El Marzouki, Z.; Bratton, T. Forward modeling of fracture-induced sonic anisotropy using a combination of borehole image and sonic logs. Geophysics 2007, 72, E135–E147. [Google Scholar] [CrossRef] [Green Version]
 - Pan, X.; Zhang, G.; Chen, H.; Yin, X. McMC-based nonlinear EIVAZ inversion driven by rock physics. J. Geophys. Eng. 2017, 14, 368–379. [Google Scholar] [CrossRef]
 - Zhou, Y.; Zhang, G.; Zhu, S. A method of pore structure parameters prediction for the deep tight sandstone reservoir. In Proceedings of the 90th Annual International Meeting, SEG, Expanded Abstracts, Houston, TX, USA, 11–16 October 2020; pp. 2484–2488. [Google Scholar] [CrossRef]
 - Olovyannyy, A.; Chantsev, V. Numerical experiments concerning long-term deformation of rock samples. Min. Miner. Depos. 2019, 13, 18–27. [Google Scholar] [CrossRef] [Green Version]
 










| Sample | Total Porosity (%)  | P-Wave Velocities (km/s)  | Quartz (%)  | Feldspar (%)  | Debris (%)  | 
|---|---|---|---|---|---|
| 1 | 1.79 | 5.49 | 57 | 11 | 27 | 
| 2 | 2.46 | 5.37 | 64 | 15 | 17 | 
| 3 | 3.26 | 5.47 | 61 | 23 | 12 | 
| 4 | 3.63 | 5.13 | 62 | 16 | 14 | 
| 5 | 4.84 | 5.33 | 55 | 27 | 11 | 
| 6 | 4.92 | 4.82 | 66 | 14 | 13 | 
| 7 | 5.34 | 5.28 | 55 | 31 | 10 | 
| 8 | 5.41 | 5.05 | 63 | 16 | 17 | 
| 9 | 5.37 | 4.69 | 68 | 12 | 13 | 
| 10 | 3.87 | 4.87 | 65 | 13 | 16 | 
| 11 | 6.15 | 4.61 | 71 | 11 | 13 | 
| 12 | 6.03 | 5.07 | 62 | 18 | 14 | 
| 13 | 6.53 | 4.95 | 61 | 17 | 17 | 
| 14 | 7.16 | 5.16 | 59 | 27 | 10 | 
| 15 | 9.05 | 5.12 | 60 | 28 | 8 | 
| 16 | 7.81 | 4.88 | 55 | 12 | 31 | 
| Mean values | 5.23 | 5.08 | 61.52 | 18.19 | 15.19 | 
| Standard deviation | 1.88 | 0.26 | 4.54 | 6.54 | 5.87 | 
Publisher’s Note: MDPI stays neutral with regard to jurisdictional claims in published maps and institutional affiliations.  | 
© 2022 by the authors. Licensee MDPI, Basel, Switzerland. This article is an open access article distributed under the terms and conditions of the Creative Commons Attribution (CC BY) license (https://creativecommons.org/licenses/by/4.0/).
Share and Cite
Zhou, Y.; Zhang, G.; Liu, J. Modeling Method to Characterize the Pore Structure of Fractured Tight Reservoirs. Appl. Sci. 2022, 12, 2078. https://doi.org/10.3390/app12042078
Zhou Y, Zhang G, Liu J. Modeling Method to Characterize the Pore Structure of Fractured Tight Reservoirs. Applied Sciences. 2022; 12(4):2078. https://doi.org/10.3390/app12042078
Chicago/Turabian StyleZhou, You, Guangzhi Zhang, and Junzhou Liu. 2022. "Modeling Method to Characterize the Pore Structure of Fractured Tight Reservoirs" Applied Sciences 12, no. 4: 2078. https://doi.org/10.3390/app12042078
APA StyleZhou, Y., Zhang, G., & Liu, J. (2022). Modeling Method to Characterize the Pore Structure of Fractured Tight Reservoirs. Applied Sciences, 12(4), 2078. https://doi.org/10.3390/app12042078
        
                                                
