Resonant Magnetoelectric Effect at Low Frequencies in Layered Polymeric Cantilevers Containing a Magnetoactive Elastomer
Abstract
:1. Introduction
2. Materials and Methods
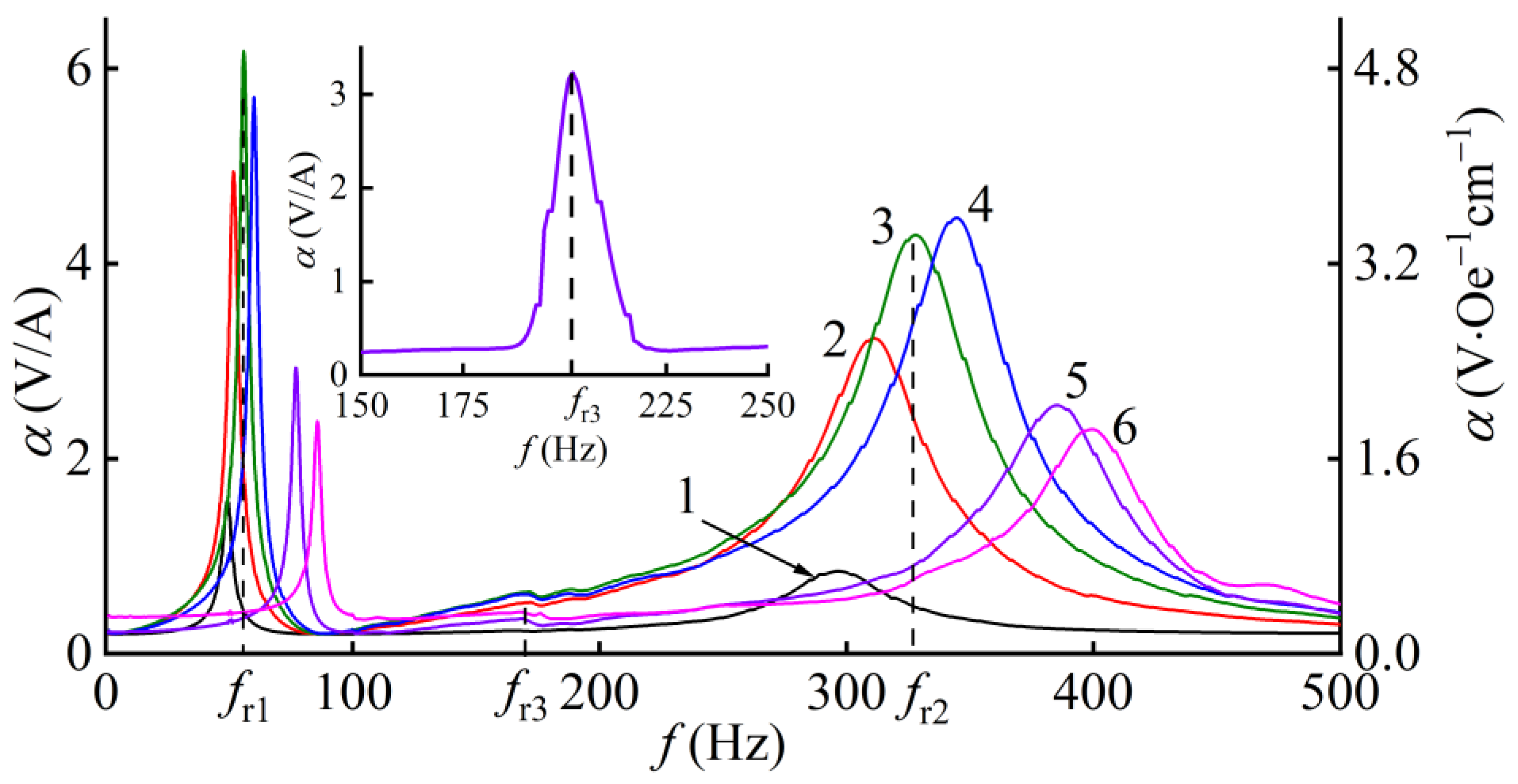
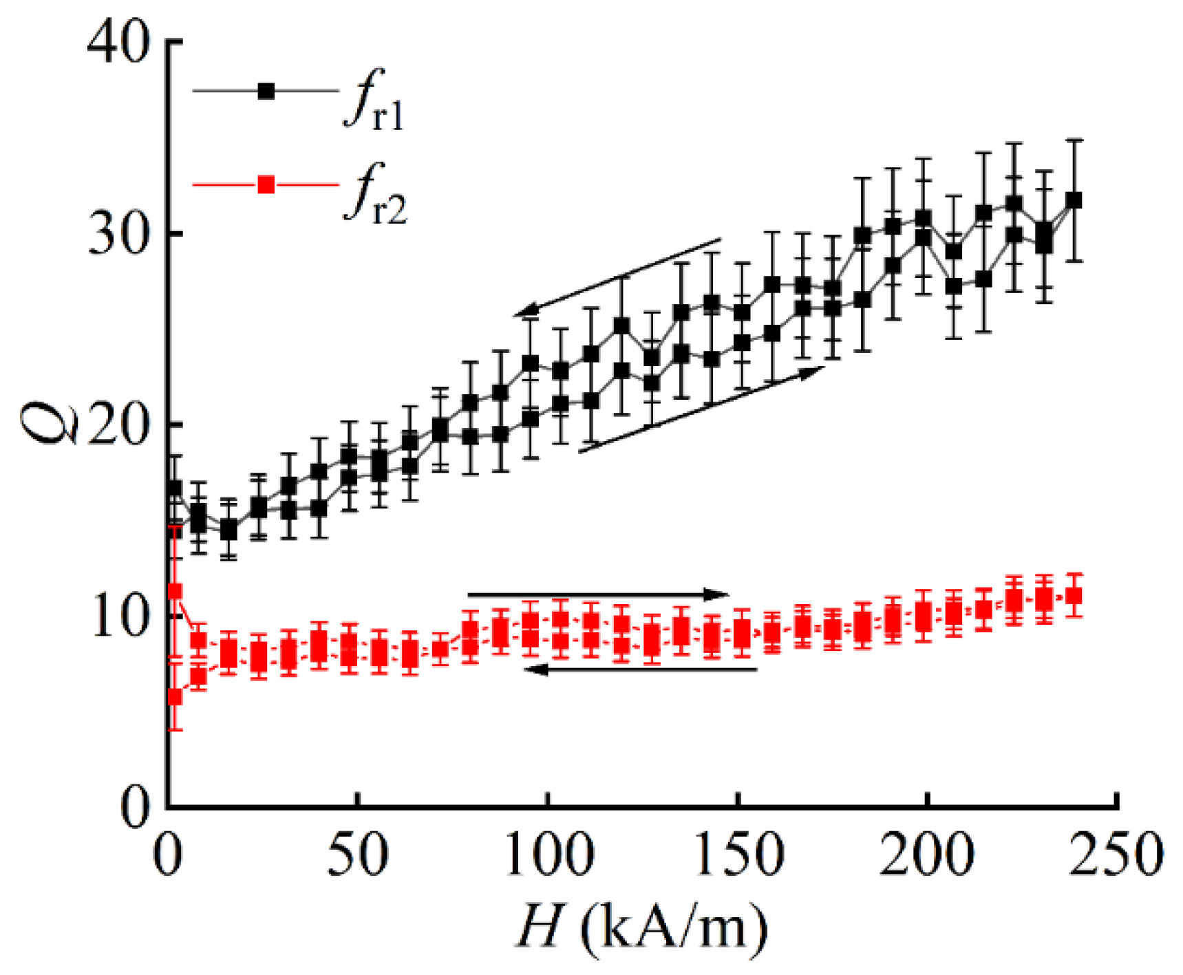
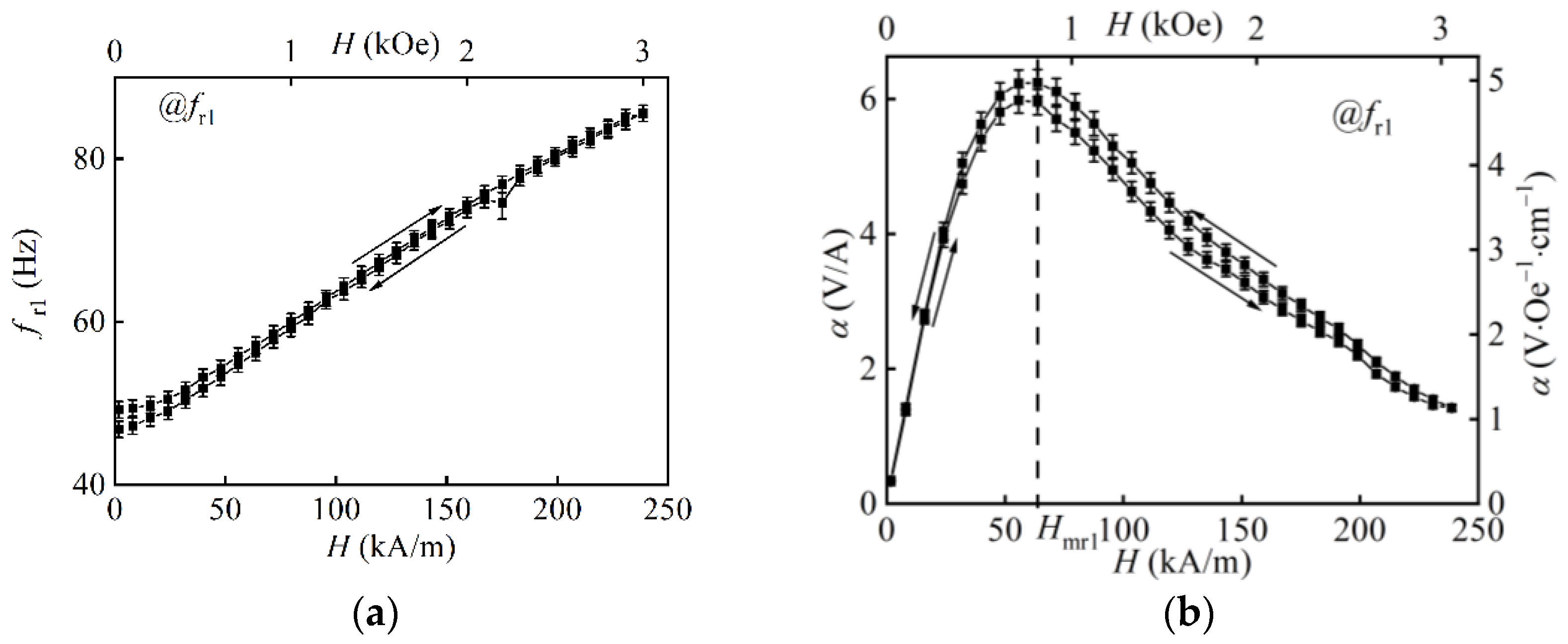
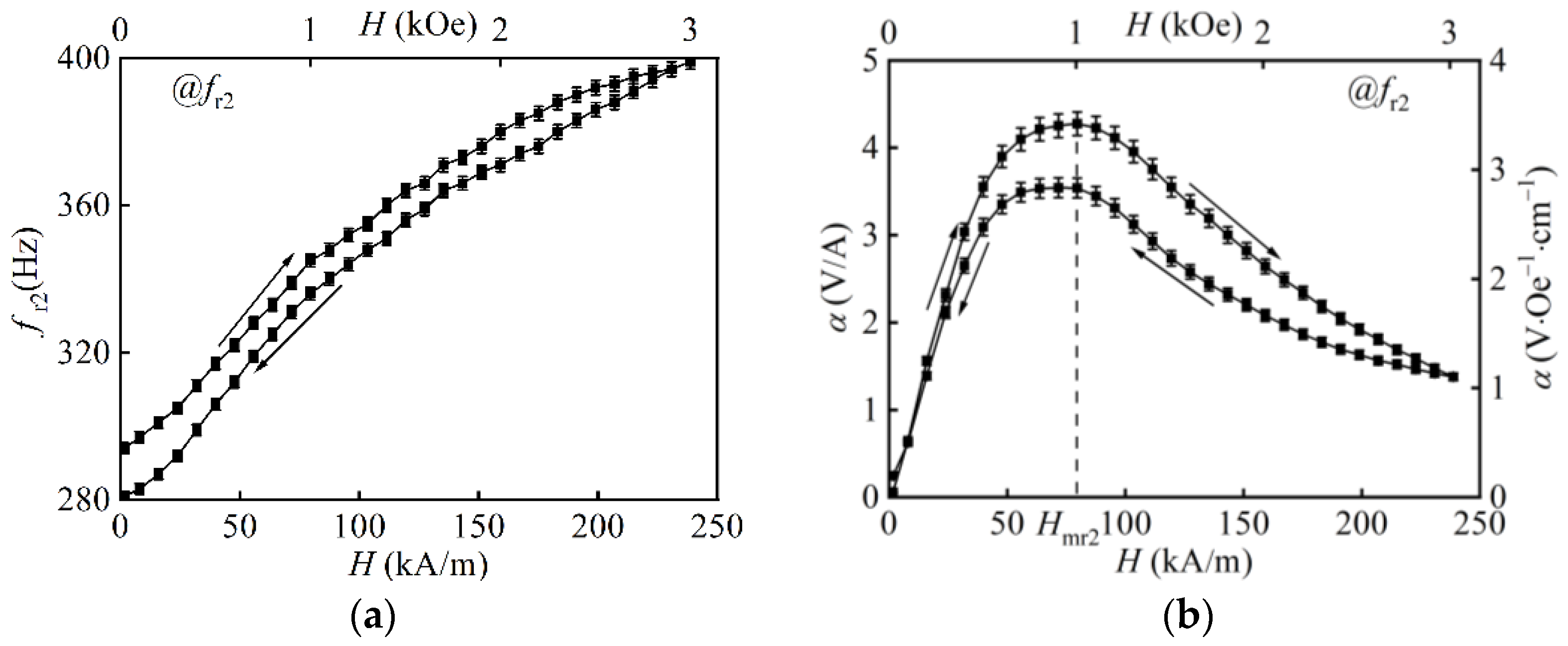
3. Results
4. Discussion
5. Conclusions
- The largest ME voltage coefficient of ≈7.85 V/A was measured on the fundamental resonance frequency of bending oscillations in an MAE-PEP cantilever comprising an MAE layer with an intermediate thickness of ≈2 mm.
- For three samples with thinner MAE layers, there was an optimum magnetic field where the magnetoelectric voltage coefficient at resonance frequencies fr1 and fr2 had a maximum. In the L–T-configuration, the mechanism of the resonance enhancement of the MAE voltage coefficient seemed to be the same as in conventional structures containing metallic FM layers.
- The softness of constitutive materials led to a significant reduction in the resonance frequency of bending oscillations in the absence of a magnetic field down to about 23 Hz.
- The resonance frequencies of the MAE/PEP heterostructure increased with an increase in the bias magnetic field. The change of the resonance frequency of the lowest bending mode in the bias magnetic field of ≈240 kA/m could reach approximately 200%.
- The hysteresis behavior of the ME voltage coefficient and the resonance frequency on the applied constant magnetic field was observed for the second lowest resonance frequency of bending oscillations.
Author Contributions
Funding
Institutional Review Board Statement
Data Availability Statement
Acknowledgments
Conflicts of Interest
References
- Srinivasan, G. Magnetoelectric Composites. Annu. Rev. Mater. Res. 2010, 40, 153–178. [Google Scholar] [CrossRef]
- Alameh, Z.; Yang, S.; Deng, Q.; Sharma, P. Emergent Magnetoelectricity in Soft Materials, Instability, and Wireless Energy Harvesting. Soft Matter 2018, 14, 5856–5868. [Google Scholar] [CrossRef]
- Bukharaev, A.A.; Zvezdin, A.K.; Pyatakov, A.P.; Fetisov, Y.K. Straintronics: A New Trend in Micro- and Nanoelectronics and Materials Science. Phys.-Uspekhi 2018, 61, 1175. [Google Scholar] [CrossRef]
- Kulkarni, A.; Meurisch, K.; Teliban, I.; Jahns, R.; Strunskus, T.; Piorra, A.; Knöchel, R.; Faupel, F. Giant Magnetoelectric Effect at Low Frequencies in Polymer-Based Thin Film Composites. Appl. Phys. Lett. 2014, 104, 022904. [Google Scholar] [CrossRef]
- Yu, Z.; Chu, Z.; Yang, J.; Pourhosseini Asl, M.J.; Li, Z.; Dong, S. Enhancing weak magnetic field MME coupling in NdFeB magnet/piezoelectric composite cantilevers with stress concentration effect. Appl. Phys. Lett. 2021, 118, 132902. [Google Scholar] [CrossRef]
- Zhai, J.; Dong, S.; Xing, Z.; Li, J.; Viehland, D. Giant Magnetoelectric Effect in Metglas/Polyvinylidene-Fluoride Laminates. Appl. Phys. Lett. 2006, 89, 083507. [Google Scholar] [CrossRef] [Green Version]
- Greve, H.; Woltermann, E.; Jahns, R.; Marauska, S.; Wagner, B.; Knöchel, R.; Wuttig, M.; Quandt, E. Low Damping Resonant Magnetoelectric Sensors. Appl. Phys. Lett. 2010, 97, 152503. [Google Scholar] [CrossRef]
- Jahns, R.; Piorra, A.; Lage, E.; Kirchhof, C.; Meyners, D.; Gugat, J.L.; Krantz, M.; Gerken, M.; Knöchel, R.; Quandt, E. Giant Magnetoelectric Effect in Thin-Film Composites. J. Am. Ceram. Soc. 2013, 96, 1673–1681. [Google Scholar] [CrossRef]
- Kirchhof, C.; Krantz, M.; Teliban, I.; Jahns, R.; Marauska, S.; Wagner, B.; Knöchel, R.; Gerken, M.; Meyners, D.; Quandt, E. Giant Magnetoelectric Effect in Vacuum. Appl. Phys. Lett. 2013, 102, 232905. [Google Scholar] [CrossRef]
- Fetisov, L.Y.; Chashin, D.V.; Saveliev, D.V.; Afanas’ev, M.S.; Simonov-Emel’yanov, I.D.; Vopson, M.M.; Fetisov, Y.K. Magnetoelectric Direct and Converse Resonance Effects in a Flexible Ferromagnetic-Piezoelectric Polymer Structure. J. Magn. Magn. Mater. 2019, 485, 251–256. [Google Scholar] [CrossRef]
- Wang, Y.; Gray, D.; Berry, D.; Gao, J.; Li, M.; Li, J.; Viehland, D. An Extremely Low Equivalent Magnetic Noise Magnetoelectric Sensor. Adv. Mater. 2011, 23, 4111–4114. [Google Scholar] [CrossRef]
- Reermann, J.; Durdaut, P.; Salzer, S.; Demming, T.; Piorra, A.; Quandt, E.; Frey, N.; Höft, M.; Schmidt, G. Evaluation of Magnetoelectric Sensor Systems for Cardiological Applications. Measurement 2018, 116, 230–238. [Google Scholar] [CrossRef]
- Petrov, V.M.; Srinivasan, G.; Bichurin, M.I.; Galkina, T.A. Theory of Magnetoelectric Effect for Bending Modes in Magnetostrictive-Piezoelectric Bilayers. J. Appl. Phys. 2009, 105, 063911. [Google Scholar] [CrossRef]
- Feng, J.; Xuan, S.; Ding, L.; Gong, X. Magnetoactive Elastomer/PVDF Composite Film Based Magnetically Controllable Actuator with Real-Time Deformation Feedback Property. Compos. Part A Appl. Sci. Manuf. 2017, 103, 25–34. [Google Scholar] [CrossRef]
- Makarova, L.A.; Rodionova, V.V.; Alekhina, Y.A.; Rusakova, T.S.; Omelyanchik, A.S.; Perov, N.S. New Multiferroic Composite Materials Consisting of Ferromagnetic, Ferroelectric, and Polymer Components. IEEE Trans. Magn. 2017, 53, 1–7. [Google Scholar] [CrossRef]
- Makarova, L.A.; Alekhina, Y.A.; Omelyanchik, A.S.; Peddis, D.; Spiridonov, V.V.; Rodionova, V.V.; Perov, N.S. Magnetorheological Foams for Multiferroic Applications. J. Magn. Magn. Mater. 2019, 485, 413–418. [Google Scholar] [CrossRef]
- Tan, K.; Wen, X.; Deng, Q.; Shen, S.; Liu, L.; Sharma, P. Soft Rubber as a Magnetoelectric Material—Generating Electricity from the Remote Action of a Magnetic Field. Mater. Today 2021, 43, 8–16. [Google Scholar] [CrossRef]
- Elhajjar, R.; Law, C.-T.; Pegoretti, A. Magnetostrictive Polymer Composites: Recent Advances in Materials, Structures and Properties. Prog. Mater. Sci. 2018, 97, 204–229. [Google Scholar] [CrossRef]
- Makarova, L.A.; Alekhina, Y.A.; Isaev, D.A.; Khairullin, M.F.; Perov, N.S. Tunable Layered Composites Based on Magnetoactive Elastomers and Piezopolymer for Sensors and Energy Harvesting Devices. J. Phys. Appl. Phys. 2020, 54, 015003. [Google Scholar] [CrossRef]
- Glavan, G.; Belyaeva, I.A.; Ruwisch, K.; Wollschläger, J.; Shamonin, M. Magnetoelectric Response of Laminated Cantilevers Comprising a Magnetoactive Elastomer and a Piezoelectric Polymer, in Pulsed Uniform Magnetic Fields. Sensors 2021, 21, 6390. [Google Scholar] [CrossRef]
- Vopson, M.M.; Fetisov, Y.K.; Caruntu, G.; Srinivasan, G. Measurement Techniques of the Magneto-Electric Coupling in Multiferroics. Materials 2017, 10, 963. [Google Scholar] [CrossRef]
- Newnham, R.E.; Skinner, D.P.; Cross, L.E. Connectivity and Piezoelectric-Pyroelectric Composites. Mater. Res. Bull. 1978, 13, 525–536. [Google Scholar] [CrossRef]
- LDT with Crimps Vibration Sensor/Switch. Available online: https://eu.mouser.com/datasheet/2/418/5/NG_DS_LDT_with_Crimps_A1-1130083.pdf (accessed on 11 August 2021).
- Becker, T.I.; Raikher, Y.L.; Stolbov, O.V.; Böhm, V.; Zimmermann, K. Magnetic Hybrid-Materials; De Gruyter: Berlin, Germany, 2021; Chapter 26; pp. 625–652. [Google Scholar]
- Zubarev, A.; Chirikov, D.; Borin, D.; Stepanov, G. Hysteresis of the Magnetic Properties of Soft Magnetic Gels. Soft Matter 2016, 12, 6473–6480. [Google Scholar] [CrossRef] [PubMed] [Green Version]
- Belyaeva, I.A.; Kramarenko, E.Y.; Shamonin, M. Magnetodielectric Effect in Magnetoactive Elastomers: Transient Response and Hysteresis. Polymer 2017, 127, 119–128. [Google Scholar] [CrossRef]
- Timoshenko, S. Vibration Problems in Engineering, Reprint ed.; Wolfenden Press: New York, NY, USA, 2007; ISBN 978-1-4067-7465-8. [Google Scholar]
- Sreenivasulu, G.; Qu, P.; Petrov, V.M.; Qu, H.; Srinivasan, G. Magneto-electric interactions at bending resonance in an asymmetric multiferroic composite: Theory and experiment on the influence of electrode position. J. Appl. Phys. 2015, 117, 174105. [Google Scholar] [CrossRef]
- Petrov, V.M.; Bichurin, M.I.; Srinivasan, G.; Laletin, V.M.; Petrov, R.V. Bending modes and magnetoelectric effects in asymmetric ferromagnetic-ferroelectric structure. Solid State Phenom. 2012, 190, 281–284. [Google Scholar] [CrossRef]
- Talleb, H.; Ren, Z. Finite element modeling of magnetoelectric laminate composites in considering nonlinear and load effects for energy harvesting. J. Alloys Compd. 2014, 615, 65–74. [Google Scholar] [CrossRef]
- Liu, Y.X.; Wan, J.G.; Liu, J.M.; Nan, C.W. Effect of magnetic bias field on magnetoelectric coupling in magnetoelectric composites. J. Appl. Phys. 2003, 94, 5118–5122. [Google Scholar] [CrossRef] [Green Version]
- Martins, P.; Lanceros-Méndez, S. Polymer-based magnetoelectric materials: To be or not to be. Appl. Mater. Today 2019, 15, 558–561. [Google Scholar] [CrossRef] [Green Version]
- Liang, X.; Matyushov, A.; Hayes, P.; Schell, L.; Dong, C.; Chen, H.; He, Y.; Will-Cole, A.; Quandt, E.; Martins, P.; et al. Roadmap on magnetoelectric materials and devices. IEEE Trans. Magn. 2021, 57, 400157. [Google Scholar] [CrossRef]
- Pereira, N.; Lima, A.C.; Lanceros-Mendez, S.; Martins, P. Magnetoelectrics: Three Centuries of Research Heading Towards the 4.0 Industrial Revolution. Materials 2020, 13, 4033. [Google Scholar] [CrossRef]
- Feng, M.; Wang, J.-J.; Hu, J.-M.; Wang, J.; Ma, J.; Li, H.-B.; Shen, Y.; Lin, Y.-H.; Chen, L.-Q.; Nan, C.-W. Optimizing direct magnetoelectric coupling in Pb(Zr,Ti)O3/Ni multiferroic film heterostructures. Appl. Phys. Lett. 2015, 106, 072901. [Google Scholar] [CrossRef] [Green Version]
- Chashin, D.V.; Fetisov, Y.K.; Tafintseva, E.V.; Srinivasan, G. Magnetoelctric effects in layered samples of lead zirconate titanate and nickel films. Solid State Commun. 2008, 148, 55–58. [Google Scholar] [CrossRef]
- Palneedi, H.; Annapureddy, V.; Priya, S.; Ryu, J. Status and Perspectives of Multiferroic Magnetoelectric Composite Materials and Applications. Actuators 2016, 5, 9. [Google Scholar] [CrossRef] [Green Version]
- Jing, W.; Fang, F. A flexible multiferroic composite with high self-biased magnetoelectric coupling. Compos. Sci. Technol. 2017, 153, 145–150. [Google Scholar] [CrossRef]
- Belouadah, R.; Guyomar, D.; Guiffard, B.; Zhang, J.W. Phase switching phenomenon in magnetoelectric laminate polymer composites: Experiments and modeling. Phys. B Condens. Matter 2011, 406, 2821–2826. [Google Scholar] [CrossRef]
- Yang, S.C.; Park, C.S.; Cho, K.H.; Priya, S. Self-biased magnetoelectric response in three-phase laminates. J. Appl. Phys. 2010, 108, 093706. [Google Scholar] [CrossRef] [Green Version]
- Guyomar, D.; Matei, D.; Guiffard, B.; Le, Q.; Belouadah, R. Magnetoelectricity in polyurethane films loaded with different magnetic particles. Mater. Lett. 2009, 63, 611–613. [Google Scholar] [CrossRef]
- Mu, X.; Zhang, H.; Zhang, C.; Yang, S.; Xu, J.; Huang, Y.; Xu, J.; Zhang, Y.; Li, Q.; Wang, X.; et al. Poly(vinylidene fluoride-trifluoroethylene)/cobalt ferrite composite films with a self-biased magnetoelectric effect for flexible AC magnetic sensors. J. Mater. Sci. 2021, 56, 9728–9740. [Google Scholar] [CrossRef]
- Omelyanchik, A.; Antipova, V.; Gritsenko, C.; Kolesnikova, V.; Murzin, D.; Han, Y.; Turutin, A.V.; Kubasov, I.V.; Kislyuk, A.M.; Ilina, T.S.; et al. Boosting Magnetoelectric Effect in Polymer-Based Nanocomposites. Nanomaterials 2021, 11, 1154. [Google Scholar] [CrossRef]
- Martins, P.; Kolen’ko, Y.V.; Rivas, J.; Lanceros-Méndez, S. Tailored magnetic and magnetoelectric responses of polymer-based composites. ACS Appl. Mater. Interfaces 2015, 7, 15017–15022. [Google Scholar] [CrossRef] [PubMed] [Green Version]
- Reis, S.; Silva, M.; Castro, N.; Correia, V.M.G.; Gutiérrez, J.; Lasheras, A.; Lanceros-Méndez, S.; Martins, P. Optimized anisotropic magnetoelectric response of Fe61.6Co16.4Si10.8B11.2/PVDF/Fe61.6Co16.4Si10.8B11.2laminates for AC/DC magnetic field sensing. Smart Mater. Struct. 2016, 25, 55050. [Google Scholar] [CrossRef]
- Silva, M.; Reis, S.; Lehmann, C.; Martins, P.; Lanceros-Méndez, S.; Lasheras, A.; Gutierrez, J.; Barandiaran, J. Optimization of the magnetoelectric response of poly(vinylidene fluoride)/Epoxy/Vitrovac laminates. ACS Appl. Mater. Interfaces 2013, 5, 10912–10919. [Google Scholar] [CrossRef] [PubMed]
- Fetisov, L.Y.; Baraban, I.A.; Fetisov, Y.K.; Burdin, D.A.; Vopson, M.M. Nonlinear magnetoelectric effects in flexible composite ferromagnetic—Piezopolymer structures. J. Magn. Magn. Mater. 2017, 441, 628–634. [Google Scholar] [CrossRef] [Green Version]
- Lu, S.G.; Jin, J.Z.; Zhou, X.; Fang, Z.; Wang, Q.; Zhang, Q.M. Large magnetoelectric coupling coefficient in poly (vinylidene fluoride-hexafluoropropylene)/Metglas laminates. J. Appl. Phys. 2011, 110, 104103. [Google Scholar] [CrossRef]
- Wang, J.J.; Hsu, T.H.; Yeh, C.N.; Tsai, J.W.; Su, Y.C. Piezoelectric polydimethylsiloxane films for MEMS transducers. J. Micromech. Microeng. 2011, 22, 015013. [Google Scholar] [CrossRef]
- Kachroudi, A.; Basrour, S.; Rufer, L.; Sylvestre, A.; Jomni, F. Micro-structured PDMS piezoelectric enhancement through charging conditions. Smart Mater. Struct. 2016, 25, 105027. [Google Scholar] [CrossRef]









| Parameter/Sample | S1 | S2 | S3 | S4 | S5 |
|---|---|---|---|---|---|
| Thickness of MAE layer tMAE, mm | 0.85 | 1.05 | 1.93 | 2.77 | 4.01 |
| Resonance frequency fr1(H = 0), Hz | 49.2 | 55.5 | 28.5 | 22.7 | 23.9 |
| Quality factor at fr1 in optimum magnetic field Hmr1 | 19 | 24 | 19 | 14 | 16 * |
| Maximum α @ fr1, V/A | 6.23 | 6.88 | 7.85 | 3.36 | 1.81 * |
| (fr1(Hmax) − fr1(0))/fr1(0), % | 74 | 60.4 | 145.6 | 215.9 | 164.4 |
| Resonance frequency fr2(H = 0), Hz | 294 | 301 | 216 | 170 ** | 163 *** |
| Quality factor at fr2 in optimum magnetic field Hmr2 | 9 | 16 | 8 | 6 | 9 |
| Maximum α @ fr2, V/A | 4.27 | 3.66 | 3.01 | 1.69 ** | 2.38 ** |
| (fr2(Hmax) − fr2(0))/fr2(0), % | 35.7 | 37.2 | 71.8 | 90 | 82.8 *** |
Publisher’s Note: MDPI stays neutral with regard to jurisdictional claims in published maps and institutional affiliations. |
© 2022 by the authors. Licensee MDPI, Basel, Switzerland. This article is an open access article distributed under the terms and conditions of the Creative Commons Attribution (CC BY) license (https://creativecommons.org/licenses/by/4.0/).
Share and Cite
Saveliev, D.V.; Glavan, G.; Belan, V.O.; Belyaeva, I.A.; Fetisov, L.Y.; Shamonin, M. Resonant Magnetoelectric Effect at Low Frequencies in Layered Polymeric Cantilevers Containing a Magnetoactive Elastomer. Appl. Sci. 2022, 12, 2102. https://doi.org/10.3390/app12042102
Saveliev DV, Glavan G, Belan VO, Belyaeva IA, Fetisov LY, Shamonin M. Resonant Magnetoelectric Effect at Low Frequencies in Layered Polymeric Cantilevers Containing a Magnetoactive Elastomer. Applied Sciences. 2022; 12(4):2102. https://doi.org/10.3390/app12042102
Chicago/Turabian StyleSaveliev, Dmitry V., Gašper Glavan, Viktoria O. Belan, Inna A. Belyaeva, Leonid Y. Fetisov, and Mikhail Shamonin. 2022. "Resonant Magnetoelectric Effect at Low Frequencies in Layered Polymeric Cantilevers Containing a Magnetoactive Elastomer" Applied Sciences 12, no. 4: 2102. https://doi.org/10.3390/app12042102
APA StyleSaveliev, D. V., Glavan, G., Belan, V. O., Belyaeva, I. A., Fetisov, L. Y., & Shamonin, M. (2022). Resonant Magnetoelectric Effect at Low Frequencies in Layered Polymeric Cantilevers Containing a Magnetoactive Elastomer. Applied Sciences, 12(4), 2102. https://doi.org/10.3390/app12042102

