Abstract
This study considered implementing an active road noise control (ARNC) system using an electronic sound generator (ESG) as a secondary actuator to suppress road noise in a car cabin. The ESG was installed to the cowl panel of a test car to generate structure-borne anti-noise by vibrating the panel. A robust multiple-reference single-input single-output (MR-SISO) ARNC algorithm based on the FxLMS was designed. Four 3-axis accelerometers and a microphone were adopted to acquire the reference signals and the error signal for the control algorithm. The radiated sound pressure from the ESG–cowl pair was high enough to suppress the road noise at a car speed of 60 kph. The optimized least number of reference signals and their locations were determined after computer simulation from the measured primary path data. Real-time control experiments showed an A-weighted sound pressure level reduction of 6.0 dB in the average of three dominant road booming noises in 100–250 Hz with the four optimized reference signals at 60 kph. More reference signals gave a further reduction such as 8.3 dB with 12 reference signals. Thus, this study suggests that the ESG coupled with the cowl panel can be an affordable alternative as a secondary actuator in an ARNC system to suppress road noise in a car.
1. Introduction
Road noise caused by the dynamic interaction between the tire and road surface is one of the main concerns in road vehicles including internal combustion engine vehicles and electric vehicles [1]. As an approach to suppress road noise of a car, active road noise control (ARNC) has been studied and applied for car manufacturing along with passive approaches.
For implementing an ARNC system including relevant electronics, the secondary actuators in active control are essential to generate anti-sound to suppress road noise. However, proper actuators for this purpose are limited because of some practical reasons such as implementation cost, size, and weight [2].
Loudspeakers have been widely used as secondary actuators in many active noise control applications [1,3]. Especially, built-in door loudspeakers included in the car audio system have been utilized in cars with various feedforward filtered-x least mean squares (FxLMS) algorithm-based ARNC systems [4,5,6,7]. Sutton et al. [4] used two front door loudspeakers and obtained a reduction of about 7 dBA at 100–200 Hz in a small city car, Citroen AX, at a speed of 60 kph using six accelerometers for reference signals at the front wheels with a multiple-input multiple-output (MIMO) ARNC system. Oh et al. [7] used several built-in loudspeakers for ARNC and achieved an averaged reduction of about 4.6 dBA at four seat-locations in the frequency range below about 500 Hz after a road test at 60 kph using five accelerometers for reference sensing with a Hyundai Nexo. Feedback control approaches using loudspeakers in cars were also investigated in-depth apart from feedforward control [8,9].
Although the FxLMS-based feedforward ARNC using built-in door loudspeakers achieved noticeable outcomes in various studies as summarized above, the commercialization of this approach was not easily adopted in the car industry, because it was almost impossible to implement such an ARNC logic into an existing audio processing board as the board was designed optimally, not considering such a new logic. As a result, it was required to re-design a new board completely to accommodate the necessary computation and memory to run an ARNC logic in real-time, as well as existing audio logics. Thus, the application of an ARNC system using a car audio unit in a car can cause a cost problem to the car industry. In addition, this can lead the car price to increase, which weakens the competitiveness of the car with the new board.
As an alternative to the built-in audio system, some vibration actuators as secondary actuators have been considered to reduce road noise by suppressing vibration levels of car structures [10,11,12], where the shakers were operated with their own control board and power amplifiers. Sas and Dehandschutter adopted six electro-dynamic inertia shakers mounted on a mini-sized wagon car body to attenuate road noise in the car cabin and presented a reduction of 6.1 dBA in the frequency range of 75–105 Hz on a rough asphalt road at 90 kph using an FxLMS-based active structural acoustical control algorithm [10,11]. Belgacem et al. [12] used two inertia shakers installed at a suspension system of a quarter-car and showed an averaged vibration level reduction of 4.6 dB in the frequency range of 50–250 Hz after a bench road noise test using an FxLMS-based active vibration control.
However, the electro-dynamic inertia shakers used were not adopted in the production of cars, because of practical issues as well as the superiority of built-in loudspeakers in terms of noise reduction performance and stability.
In this study, an electronic sound generator (ESG) [13] as a secondary actuator was studied in-depth for ARNC. The ESG is a kind of the voice-coil motor that can be combined with a structure such as a thin plate so that it can generate vibro-acoustic sound by vibrating the plate [13]. The ESG can be operated stand-alone with its own control and power unit that is completely separated from the other control systems of a car. Moreover, the ESG can easily be installed in a small space as it is smaller than a typical door loudspeaker or electro-dynamic inertia shaker. Nevertheless, it can generate low-frequency structure-borne sound for the use of ARNC by vibrating a panel structure. In addition, the sound generated from a panel with an ESG is more car-borne, which is comparable to the artificial sound from a typical door loudspeaker. With these advantages, the ESG has been applied to sound control in cars [14,15].
Therefore, an ESG was attached to a cowl panel of a car to generate structure-borne anti-noise, and its performance and stability were analyzed with an FxLMS-based multiple-reference single-input single-output (MR-SISO) ARNC system. However, there are some considerations in using this ESG–cowl pair arrangement due to the structural response of the pair. The sound pressure generated by the pair depends on its characteristics such as the location of the ESG and the size of the cowl panel, and the pair can have a longer impulse response in the secondary path model with more propagation delay than those of the loudspeakers. This comes from the nature of the mechanical properties such as damping of the metal panel. These features are described in detail in this paper. The real-time ARNC experiments were carried out on a paved road with a test car, and their results are discussed. Contributions of reference signals and the effects of road surface conditions and vehicle speeds were also investigated.
In this paper, Section 2 describes theoretical considerations for adopting an ESG as a secondary actuator in an ARNC system. Section 3 presents the experimental setup and path modeling. In Section 4, the results from real-time experiments are discussed to assess the performance of the ESG–cowl pair. Lastly, the conclusions of this paper are summarized in Section 5.
2. ARNC Using an ESG
2.1. A Pair of an ESG and a Cowl Panel
A cowl panel located between the engine room and the cabin of a car is a structure where an ESG can be easily installed and effectively generate vibro-acoustic sound. The panel is relatively far from the tires, the road noise sources, compared to other structures such as the suspension and chassis. This allows the ESG–cowl pair to produce a more precise anti-sound to cancel road noise. In addition, in feedforward control, due to the far physical distance from the source, the effect of the feedback path between the ESG and the reference sensors installed around the noise sources such as wheel hubs can be considered insignificant. Thus, the combination of the ESG and the cowl panel may be a reasonable arrangement for ARNC.
However, the combination has two major drawbacks. The first is that the impulse response of the secondary path of the pair can be longer than that of a typical built-in door loudspeaker. This causes an increase in computational complexity of adaptive algorithms using secondary path models. This can be solved by applying computationally efficient methods such as using the form of an infinite impulse response (IIR) filter for modeling the secondary path or operating the process in the frequency domain [16]. As this paper was not concerned about the computational burden, the secondary path model was designed as a finite impulse response (FIR) filter form, and all signals were handled in the time domain. However, this problem can be an issue for mass production as it can lead to a rise in implementation costs.
The other drawback is that the pair may have more vibro-acoustic propagation delay compared with the built-in door loudspeaker. This delay can lead to a decrease in the control performance of an ARNC system if the causality is not satisfied. When the delay of the ESG–cowl pair is a major factor in the degradation of the performance, it can be improved by relocating the reference sensors closer to the noise sources for measuring more time-advanced reference signals.
2.2. Anti-Sound Radiation Using the Cowl Panel Excited by the ESG
The dimension and boundary condition of the cowl panel can affect the sound radiation property and capability of the ESG–cowl pair. The actual cowl panel of the test car used in this study had a complex shape, but it was roughly similar to a rectangular plate. Most edge parts were welded to the car body, and this indicates that the cowl panel can be assumed as a thin rectangular plate (length width = ) with a completely clamped boundary condition, C–C–C–C.
When an ESG excites the cowl panel with a force at the location , as illustrated in Figure 1, the ESG–cowl pair can radiate anti-sound to the driver’s ear to suppress road noise. The governing equation of undamped vibration at an arbitrary position on the cowl panel at time can be expressed as [17]:
where is the flexural rigidity of the cowl panel, which is given by . The symbols , , , , and are Young’s modulus, the thickness, Poisson’s ratio, the density, and the displacement of the panel, respectively. The external force exerted on the panel is defined by .
Figure 1.
Radiated anti-sound from the cowl panel excited by the ESG propagating to the error microphone.
Considering the cowl panel is excited by a harmonic force with the frequency , then and can be represented as and , respectively.
The concentrated force generated by the ESG at the location of the cowl panel can be expressed by , where is the force amplitude and is the Dirac delta function. Finally, the displacement amplitude of the cowl panel can be written as [17]:
where and are the eigenfunctions of the mode shapes of the cowl panel to the and directions, respectively, and and are positive integers that denote mode numbers. Additionally, – are the values related to the eigenfunctions (see reference [17] for further details).
At the ear location , the sound pressure , which is radiated from the cowl panel as shown in Figure 1, can be defined by the Rayleigh’s integral and given by [18]:
where is the density of the air, and and are the area and the wavenumber of the cowl panel, respectively. The symbol , where , and is the velocity amplitude, which is equal to the amplitude of .
In practice, the actual sound pressure at the driver’s ear position may differ greatly from the estimated one through Equations (2) and (3) under ideal conditions. This is because the cowl panel in a car has a complex shape and many connections with surrounding structures, and the radiated sound from the cowl panel is affected by the acoustic characteristics in the cabin.
Thus, the radiated sound by the ESG–cowl pair measured at the driver’s ear can be estimated by using Equations (2) and (3). These equations can offer important information in the design of the cowl panel for the purpose of effective sound radiation to suppress road noise of a car.
2.3. Proposed MR-SISO ARNC System with an ESG
An MR-SISO ARNC system was proposed in this study to comprise multiple reference signals, a single error signal, and a single secondary actuator, as illustrated in Figure 2. The control system utilizes an adaptive feedforward FxLMS control algorithm that aims to minimize the road noise measured at the driver’s ear, that is, the disturbance signal. The reference signals are captured by accelerometers that are mounted around the wheels of a car, and these signals are represented by the reference signal vector . The error signal is measured by a single microphone at the ear location, and a single ESG installed at the cowl panel works as the secondary actuator to make canceling sound. The ESG is excited by the control signal calculated by Equation (4) in the proposed ARNC algorithm.
where is the MR-SISO control filter vector and is the reference signal vector. The length of is , where is the number of the control filter, which is the same as the number of reference signals, and is the length of each control filter. Thus, the control filter vector can be written as , where = 1, 2, . . . and . The reference signal vector is defined by , where .
Figure 2.
Illustration of an MR-SISO ARNC system with an ESG attached to the cowl panel using an FxLMS strategy.
In this system, the primary paths are defined as transfer functions between each reference signal and the disturbance signal. The secondary path is a transfer function between the control signal and the error signal.
In this system, a cost function is defined to consider the mean-square error and the sum of squared weighted control filter coefficients and is defined as [1]:
and its instantaneous gradient with respect to is given by, after some manipulation,
where is the filtered reference signal vector and is a positive weighting coefficient.
Thus, the MR-SISO ARNC system tries to cancel unwanted road noise adaptively by updating the control filter , and its update equation can be expressed as [1,3]:
where is the convergence coefficient for relevant adaptation. The coefficients is included to prevent the control filter from diverging in case excessive reference signals are involved, such as a loud peaky noise when a tire passes a pothole. The coefficient is known to be able to improve the robustness of the proposed control algorithm even though it is just small values [1].
3. Experimental Setup
3.1. Implementation of the ARNC System
The MR-SISO ARNC system was implemented in an actual car for the real-time control experiment. The engine of the 4-wheel car was a Hyundai gasoline 1600 cc with 4 cylinders.
For secondary actuation, the ESG was installed at the cowl panel to generate anti-sound against the road noise. For reference sensing, four 3-axis accelerometers (356A15, PCB Piezotronics, Depew, NY, USA), a total of 12 acceleration signals, were installed near each wheel to capture the relevant reference signals of road noise of the test car. For disturbance and error sensing, a microphone (377B02, PCB Piezotronics, USA) was located at the driver’s left ear to measure the acoustic signal in the cabin.
The MR-SISO ARNC algorithm in Equation (7) was embedded on a control unit (DS1401, dSPACE, Paderborn, Germany). The other devices included in the system were a power amplifier (Stereo Box S, Pro-Ject, Mistelbach, Austria) to operate the ESG, 13 signal conditioners (480E09, PCB Piezotronics, USA) to amplify the 12 reference signals from the accelerometers and the error signal from the microphone, and 14 low-pass filters (LPFs) for anti-aliasing and reconstruction of the input and output signals. The sampling rate of the MR-SISO ARNC algorithm was 3200 Hz, and the cut-off frequencies of the LPFs were set to 500 Hz.
The 3-D Euclidean distance between the ESG and the error microphone was about 1.2 m, and that between each accelerometer and the error microphone was approximately 1.6–1.8 m, as shown in Figure 2.
Before the real-time control experiment, the primary and secondary paths in the ARNC system of the test car were measured and analyzed. The car was driven on a paved road with a constant speed of 60 kph during the real-time control experiment.
3.2. Setup for the ESG–Cowl Pair
The ESG used in this study is shaped cylindrically with the specification, as summarized in Table 1, and is capable of vibrating a plate where it is attached to generate sound. It was attached to the cowl panel of the car, as shown in Figure 3. The cowl panel was a welded steel plate as a structural wall under the windshield between the engine room and the cabin of the test car, as shown in Figure 2, and was not for sound radiation. The size of the cowl panel of the test car in this study was length width thickness = about 1500 100 2 mm.
Table 1.
Specifications of the ESG.
Figure 3.
Setup of the ESG–cowl pair.
The cowl panel was just one of the candidate plates in the car that was appropriate to generate sound as a secondary actuator. In the selection process, the acoustic response of the combined pair of the ESG and each candidate plate was assessed using Equations (1)–(3). The ESG was assumed to be located at the center of each plate. The sound pressure output and the path property of the ESG–cowl pair were the most relevant to the proposed ARNC approach for suppressing the road noise in the cabin. The ESG was chosen with the cowl panel in the process at the same time as its specification satisfies the requirement to tackle road noise at 60 kph.
Then, the ESG was finally installed near the center of the cowl panel after some trials that can provide the most relevant secondary path property for the ARNC approach, as well as a sufficiently large sound pressure to suppress the road noise in the cabin.
Figure 4 shows the comparison of the measured sound pressure levels (SPLs) (at the driver’s ear position) between the road noise (dashed line) at 60 kph and the practically maximum radiated sound (solid line) from the ESG–cowl pair with white noise input at the driver’s ear. It was found that the ESG–cowl pair can make a high enough anti-sound to suppress road noise above about 100 Hz. Especially, the A-weighted SPLs of the anti-sound by the pair were about 5–12 dB higher than the road noise at 60 kph for the 3 dominant resonances in the frequency range of 100–250 Hz.
Figure 4.
Comparison between the measured SPLs (at the driver’s ear position) of the road noise (dashed line) at 60 kph and the practically maximum anti-sound (solid line) by the ESG–cowl pair.
3.3. Setup for the Reference Sensors
The proposed ARNC algorithm requires effective reference signals to suppress road noise in the cabin. Thus, the reference sensors, the 3-axis accelerometers in this study, had to be attached at those locations where the most time-advanced road–tire interaction exists, such as the lower arms around each wheel of the car. The reference signals also had to be strongly correlated with the road noise heard at the driver’s ear (the error microphone was installed) in the cabin, and this allows a higher coherence to be obtained in the primary path of the algorithm. In addition, the reference sensors must be located far enough from the engine in order to minimize the effect of the engine vibration.
Each 3-axis accelerometer was attached at some candidate locations around the lower arm of each wheel to obtain the proper reference signals. A number of measurements to obtain the primary path data were carried out while the car was driven at 60 kph. The measured data of the paths between the accelerometer at each candidate location and the error microphone gave the best locations of the candidates for reference sensing after analyzing the multiple coherence functions. For the measurement, each sensor at the two front wheels or the two rear wheels was attached at the locations that were symmetrically identical. However, the attachment locations at the rear wheels were different from the front wheels.
The properties of the primary path of the car including the reference signals are discussed in Section 4.2 in depth.
4. Experiment Results and Discussion
4.1. Property of the Secondary Path
The secondary path indicates the electronic relationship between the control signal to operate the ESG and the acoustic signal measured by the error microphone.
Figure 5 shows the magnitude response (upper) and the coherence (lower) of the secondary path in the frequency range of 50–500 Hz. The frequency range for ARNC was determined to utilize 100–250 Hz where the magnitude was large enough to suppress road noise and the coherence was sufficiently high as it reached almost 1. This indicates that the ESG–cowl pair is an effective sound radiator at that frequency range in the car cabin. It was observed that there were three dominant resonances at about 130, 175, and 220 Hz in that control frequency range and they were the three most eminent acoustic modes at the driver’s ear in the cabin.
Figure 5.
Frequency response of the secondary path between the ESG and the error microphone. (a) Magnitude response. (b) Coherence.
The frequency ranges out of 100–250 Hz were excluded in the control as its magnitude response was not sufficiently large and varied over time and the coherence was not high enough. This is because changes such as ambient temperature fluctuations can affect the mechanical property of the metallic cowl panel where the ESG was installed.
Then, the secondary path model was designed as an FIR filter with 250 coefficients at the sampling frequency of 3200 Hz, as shown in Figure 6 (upper). The FIR device was sufficiently long to contain the electro-acoustic characteristics of the secondary path as the decay of the impulse response was enough at that length. In addition, the computational resource of the controller (dSPACE 1401), when the number of the reference channels was 12, was considered to determine the length of the FIR device, although the longer impulse response in the path model offers a smaller mean square error in this control scheme.
Figure 6.
Comparison of the normalized impulse responses of the measured secondary paths when the ESG–cowl pair (a) or a typical built-in door loudspeaker (b) is used.
It is noted that the path model length of the ESG–cowl pair was almost twice that of a typical built-in door loudspeaker by the driver’s seat in a similar car, as plotted in Figure 6. The reasonable length of the impulse response of the loudspeaker was about 130 taps for the path modeling, as shown in Figure 6 (lower). This implies that the vibration of a cowl panel continues much longer than that of a loudspeaker against an impulse. The longer impulse response of the cowl panel limits the control performance of the ANC or ARNC algorithms based on the FxLMS approach. Thus, careful considerations on the design of the secondary path model and the decision on the control frequency range are necessary to adopt a structural actuator such as the ESG–cowl pair in this study.
In addition, the equalized eigenvalue approach was applied to design the secondary path model for achieving higher control performance by allowing a larger gain while maintaining control stability [19]. The filtered reference signal vector defined in Equation (7) was generated after passing through this impulse response.
It is noteworthy that the vibration of the cowl panel excited by the ESG can be detected by the reference sensors, and this can disturb the reference sensors in detecting the pure reference signals, which are strongly correlated with the road–tire interaction. This is a feedback path to the reference sensors caused by the actuation force of the ESG. However, the effect of the feedback path was sufficiently small compared to the pure reference signals when the test car was driven at 60 kph, so the feedback path was not considered in the proposed ARNC algorithm.
4.2. Multiple Coherences of the Primary Paths
Multiple coherence of the multiple primary paths was generated in which the 12 reference signals were the input and the acoustic disturbance signal at the error microphone in the cabin was the output. The multiple coherence of the primary paths allows the prediction of the achievable attenuation after control, which can be given by [5]:
where is the multiple coherence function.
Figure 7 shows the multiple coherence of the measured signals in the primary paths in the frequency range below 500 Hz after attaching the reference accelerometers at the chosen locations, as described in Section 3.3. It was observed that the multiple coherence was about 0.95 at the frequencies of the three most dominant resonances, as can be seen from the secondary path plot in Figure 5a. This means the disturbance signal was strongly correlated with the reference signals in the frequency range of interest between 100 and 250 Hz.
Figure 7.
Multiple coherence using the 12 measured reference acceleration signals and the acoustic signal measured at the driver’s ear.
From Figure 7, the achievable attenuations, which were predicted by using Equation (8), of the three resonances can be about 15 dB at maximum. In practice, however, the reductions obtained through the ARNC system in an actual car may be less than the calculated values above due to the effect of the secondary path variation and others.
During the measurement of the primary paths, the effect due to engine vibration to the reference and error sensors in the primary paths was analyzed because the car was driven at a constant speed of 60 kph with an engine rotation speed of 1500 rev/min. As the frequency of the second harmonic component of the engine speed, C2, was at 50 Hz, which was the most dominant in engine vibration of the four-cylinder car and was not overlapped with the frequency range of 100–250 Hz for the ARNC, the effect was negligible in this study. In addition, the physical locations of the reference sensors contributed to minimize the engine vibration effect in sensing pure reference signals, as discussed in Section 3.2. Thus, the multiple coherence of the primary paths can be improved by locating the reference sensors properly to reject various misleading noises from the ambient sources.
4.3. Number of Reference Signals
In the consideration of the purpose of using the ESG as the secondary actuator in this approach, computation cost is an important factor for implementation of the ARNC system. Hence, an intensive investigation based on computer simulation to optimize the proper least number of reference signals at the chosen locations was carried out.
For the optimization, the control performances obtained from computer simulation using the proposed ARNC algorithm against all possible acceleration directions (x, y, and z axes) and number variations of the reference signals from 1 to 12 were compared and assessed. The actual causality condition and the actual electro-acoustic features including the property of the ESG–cowl pair measured from the primary and secondary paths in the test car while driving were considered in the simulations. The control performance was estimated by averaging the A-weighed SPL reductions of the three dominant resonances in the frequency range between 100 and 250 Hz. When the number was greater than 3, a condition that accounts for at least one reference signal from each wheel in the combination of the reference signals was applied in the computer simulation.
After an intensive computer simulation, the averaged reduction levels of road noise at the driver’s ear position were estimated. Then, each best control performance in terms of the A-weighed SPL reduction in dB at each number (1–12) of the reference signals was acquired, and this is plotted (dashed line with triangles) in Figure 8.
Figure 8.
Comparison of the averaged reduction levels against the number variation of the reference signals. Computer simulation (dashed line with triangles). Actual real-time control experiment (solid line with circles).
The plot for the computer simulation shows that the reduction levels increased gradually with more reference signals, as 3 dB with 1 reference signal and 12 dB with 12 reference signals. It is noted that there was a large increase of about 4 dB in reduction level when the reference signal number increased from 2 to 3. Then, only a 2 dB increase from 8 dB to 10 dB was achieved even though the number of reference signals was augmented to 10 from 3. Based on the computer simulation results, the relevant combinations of the reference signals for the actual real-time ARNC experiment were decided.
Then, the actual real-time ARNC experiment was carried out with the test car at a speed of 60 kph. The experimental results using the suggested combinations of even numbers of reference signals are illustrated (solid line with circles) in Figure 8. Thus, there were six actual real-time ARNC experimental cases with different numbers of reference signals.
The comparison of the two lines (solid line for experiment and dashed line for simulation) in Figure 8 shows that they had similar trends that the reduction levels increased as more reference signals were used. Similar to the simulation, the slope of the reduction levels against the number of reference signals by the experimental results became less steep after the number of the signals reached a certain number, in this case, six. Especially, it was remarkable that the averaged A-weighted SPL reduction of 6 dB was achieved with only four reference signals in the ARNC experiment. This reduction level with 4 signals was just 2.3 dB less than that with all 12 signals in the experiment.
As a consequence, these four reference signals were considered the best cost-effective case for the proposed MR-SISO ARNC system. It is noted in this case that the four chosen reference signals were from each wheel and their acceleration directions were all lateral (y-axis).
However, the reduction levels in the actual control experiment were worse by about 1–4 dB than those in the computer simulation, as displayed in Figure 8. This is because there are some real-world limitations that were not considered in the computer simulation such as variations and uncertainties in the primary and secondary paths against driving conditions on roads in the actual ARNC experiment using the ESG–cowl pair.
The optimization problem in determining the number of required reference signals can be dependent upon the physical properties of a car, the specification, and the numbers/locations of reference sensors. The number of reference signals in this study is only relevant to the test car and may not be suitable for the other cars.
The experiment results above clearly show that the arrangement of the reference accelerometers can be applied for the proposed ARNC algorithm when the ESG–cowl panel is used as a secondary actuator.
4.4. Performance and Feasibility of the ESG in Suppressing Road Noise
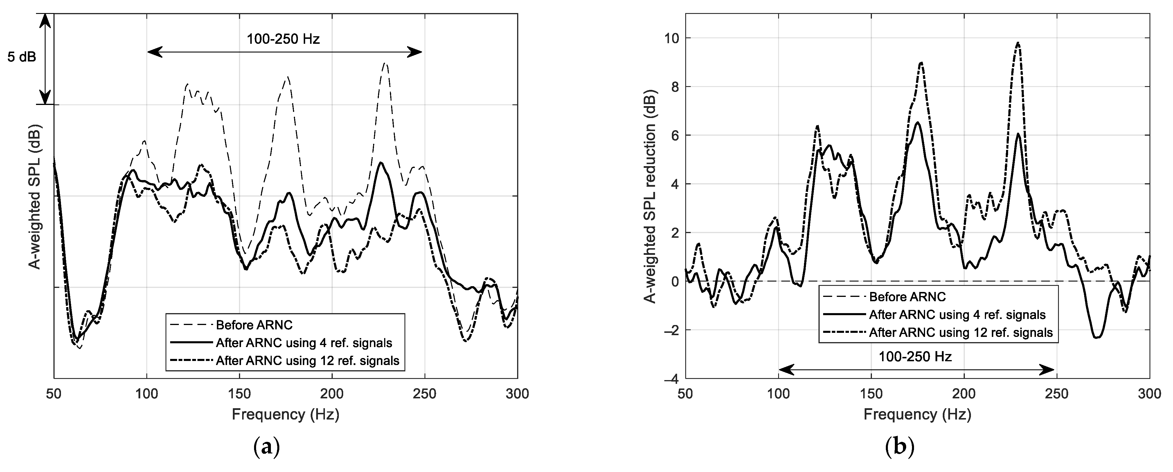
After determining the optimized number and locations of the reference sensors, the real-time ARNC experiment was carried out with the test car on a paved road at a constant speed of 60 kph. Among the six cases of the real-time ARNC experiments to demonstrate the feasibility of the ESG–cowl pair as a secondary actuator, the results of two different experiments, when the numbers of reference signals were 4 and 12, were compared with each other and analyzed, in which 4 reference signals indicate the proper least number obtained from all 6 real-time experiment cases. However, 12 reference signals specify the number of all reference signals, that is, the best control performance to suppress road noise can be acquired with this number. Thus, as plotted in Figure 9, the comparison of the two results shows the differences between “the best (thick dotted-dashed lines)” and “a properly optimized (thick solid lines)” performances in terms of the measured SPLs before and after controls at the driver’s ear in the cabin of the test car.
Figure 9.
Comparisons of the measured A-weighted SPLs before control (thin dashed lines), after controls with the 4 reference signals (thick solid lines) or the 12 reference signals (thick dotted-dashed lines), and their reductions with respect to the frequency. (a) A-weighted SPLs. (b) A-weighted SPL reductions.
In each ARNC experiment, the convergence coefficients in Equation (7) were adjusted according to the amplitude of the corresponding reference signal for maintaining the stability of the control algorithm and achieving more road noise reductions. The weighting factor was set the same value.
Figure 9a shows the comparison of the measured results in terms of the A-weighted SPLs from “before control” (a thin dashed line), “after control with the 4 reference signals” (a thick solid line), and “after control with the 12 reference signals” (a thick dotted-dashed line) in the frequency domain. Figure 9b displays the comparison of their reduction levels after control compared to the level before control.
As can be seen from Figure 9a, three dominant booming noises before ARNC were mainly measured in the frequency range of 100–250 Hz. Two of them were road booming noises at about 130 Hz and 175 Hz, and the remaining one at about 230 Hz was a tire cavity booming.
As shown in Figure 9a,b, after ARNC using all 12 reference signals, the A-weighted SPLs of these three booming noises dropped by about 6.2, 9.0, and 9.8 dB, and the averaged reduction level of the three booming noises was about −8.3 dB (refer to Figure 8). On the other hand, when the four optimal reference signals were applied, reduction levels of about 5.8, 6.3, and 6.0 dB were achieved at the three booming noises, respectively, and their averaged reduction level was about 6.0 dB (refer to Figure 8). This comparison of the two experimental results explains that the more reference signals, the further the averaged reduction levels, and this is coincident with the graph by computer simulation in Figure 8. However, it is also notable in Figure 9b that the two reduction levels at the first booming (130 Hz) were not clearly distinguishable, and this does not support more reference signals always guaranteeing better performances in suppressing the road noise.
Despite the fact that the performance with 4 reference signals was inferior to that with 12 reference signals, the achieved reduction levels at the three booming noises were almost 6 dB each in the real-time control experiment.
Therefore, the ESG as a secondary actuator used in this study was able to excite the cowl panel to produce anti-sound to suppress the road noise in the cabin. The actuator worked properly with the proposed ARNC algorithm in the real-time control experiment with the reference sensors and the error microphone and reduced the three dominant road booming noises that existed in 100–250 Hz by about 6.0 dB and 8.3 dB on average with 4 and 12 reference signals, respectively, at the car speed of 60 kph.
The ESG–cowl pair and its supportive hardware and software including the ARNC algorithm can be implemented in a stand-alone system, which is completely separated from a car audio system. Thus, the proposed ARNC system could be an option for suppressing road noise inside a car cabin, although the controllable frequency range is limited (100–250 Hz) and the suppressible road noise level, which is correlated with the car speed, is confined below a car speed of 60 kph.
As an extended study, the proposed ARNC system was also tested at a car speed of 100 kph to assess the stability and performance when the road noise level was increased dramatically. It was observed that the ARNC system became unstable. As the ESG was commanded by the control filter to produce much stronger anti-sound beyond the excitation force limit (about 5 N) of the ESG to suppress the increased road noise, the produced anti-sound from the ESG–cowl pair became distorted gradually and diverged. This made the ARNC system unstable against the increased road noise at 100 kph. This problem can be solved by applying another ESG-like actuator with an increased excitation force limit, for example, 10 N or 20 N. A new cowl panel as a better sound radiator with the actuator against road noise could be helpful.
5. Conclusions
This paper investigated the feasibility of an ESG as a secondary actuator for an active control system to suppress road noise in a passenger car. The control system adopted an MR-SISO ARNC algorithm with the ESG–cowl pair for anti-sound radiation and the algorithm was operated by referencing multiple acceleration signals near each tire and minimizing an error signal at the driver’s ear. After implementing the ARNC system in a test car, the real-time control experiment with the ARNC system was carried out along with intensive computer simulation. Their results can be summarized as:
- The secondary actuator using the ESG–cowl pair was able to radiate proper anti-noise for suppressing road booming in the frequency range of 100–250 Hz at the car speed of 60 kph. However, the impulse response of the structural actuator pair can be longer than a loudspeaker and this may restrict the stability of the control system.
- The optimization of the least number of reference sensors and their location at highly coherent positions with respect to the error signal were time-consuming processes, but the computer simulation contributed greatly to minimize the processes. The optimized least number of reference signals was 4 and this achieved an averaged A-weighted SPL reduction of about 6.0 dB compared to that of 8.3 dB reduction with all 12 reference signals.
- The proposed ARNC system can be an option for suppressing road noise instead of a car audio-based ARNC system. It can be implemented as a stand-alone system with its dedicated hardware and software and it is completely separated from the car audio.
Author Contributions
Conceptualization, C.L.; formal analysis, S.R.; data curation, E.Y.; writing—original draft preparation, Y.-S.L. All authors have read and agreed to the published version of the manuscript.
Funding
This work was supported by the Incheon National University Research Grant in 2017.
Institutional Review Board Statement
Not applicable.
Informed Consent Statement
Not applicable.
Data Availability Statement
Not applicable.
Conflicts of Interest
The authors declare no conflict of interest.
References
- Elliott, S.J. Signal Processing for Active Control; Academic Press: London, UK, 2001. [Google Scholar]
- Schirmacher, R. Current status and future development of ANC systems. Sound Vib. 2016, 17, 16–19. [Google Scholar] [CrossRef]
- Kuo, S.M.; Morgan, D.R. Active Noise Control Systems: Algorithms and DSP Implementations; John Wiley & Sons: New York, USA, 1996. [Google Scholar]
- Sutton, T.J.; Elliott, S.J.; McDonald, M.A.; Saunders, T.J. Active control for road noise inside vehicles. J. Noise Control. Eng. 1994, 42, 137–146. [Google Scholar] [CrossRef]
- Cheer, J.; Elliott, S.R. Multichannel control systems for the attenuation of interior road noise in vehicles. Mech. Syst. Signal Process. 2015, 60, 753–769. [Google Scholar] [CrossRef] [Green Version]
- Zafeiropoulos, N.; Ballatore, M.; Moorhouse, A.; Mackay, A. Active Control of Structure-Borne Road Noise Based on the Separation of Front and Rear Structural Road Noise Related Dynamics. SAE Int. J. Passeng. Cars-Mech. Syst. 2015, 8, 886–891. [Google Scholar] [CrossRef]
- Oh, C.-S.; Ih, K.-D.; Lee, J.; Kim, J.-K. Development of a Mass-producible ANC System for Road Noise. ATZ Worldw. 2018, 120, 58–63. [Google Scholar] [CrossRef]
- Sano, H.; Inoue, T.; Takahashi, A.; Terai, K.; Nakamura, Y. Active control system for low-frequency road noise combined with an audio system. IEEE Trans. Speech Audio Process. 2001, 9, 755–763. [Google Scholar] [CrossRef]
- Cheer, J.; Elliott, S.J. Multichannel feedback control of interior road noise. In Proceedings of the Meetings on Acoustics ICA2013, Montreal, QC, Canada, 2–7 June 2013; Volume 19. [Google Scholar]
- Dehandsschutter, W.; Sas, P. Active control of structure-borne road noise using vibration actuator. J. Vib. Acoust. 1998, 120, 517–523. [Google Scholar] [CrossRef]
- Sas, P.; Dehandsschutter, W. Active structural and acoustic control of structure-borne road noise in a passenger car. Noise Vib. Worldw. 1999, 30, 17–27. [Google Scholar] [CrossRef]
- Belgacem, W.; Berry, A.; Masson, P. Active vibration control on a quarter-car for cancellation of road noise disturbance. J. Sound Vib. 2012, 331, 3240–3254. [Google Scholar] [CrossRef]
- Kendrion, Sound Systems for Vehicle Interiors, Kendrion. Available online: https://www.kendrion.com/en/products/sound-systems/sound-systems-for-vehicle-interiors (accessed on 13 January 2022).
- Audrain, P. Active Sound Design (No. 2011-01-0927). SAE Technical Paper. 2011. [Google Scholar]
- Gorder, P.F. Roar power. New Sci. 2014, 223, 42–45. [Google Scholar] [CrossRef]
- Duan, J.; Li, M.; Lim, T.C.; Lee, M.-R.; Cheng, M.-T.; Vanhaaften, W.; Abe, T. A computationally efficient multichannel active road noise control system. J. Dyn. Syst. Meas. Control 2015, 137, 011003. [Google Scholar] [CrossRef]
- Sung, C.-C.; Jan, T.J. The response of and sound power radiated by a clamped rectangular plate. J. Sound Vib. 1997, 207, 301–317. [Google Scholar] [CrossRef]
- Fahy, F.; Gardonio, P. Sound and Structural Vibration, 2nd ed.; Academic Press: London, UK, 2007. [Google Scholar]
- Thomas, J.K.; Lovstedt, S.P.; Blotter, J.D.; Sommerfeldt, S.D. Eigenvalue equalization filtered-x algorithm for the multichannel active noise control of stationary and nonstationary signals. J. Acoust. Soc. Am. 2008, 123, 4238–4249. [Google Scholar] [CrossRef] [PubMed]
Publisher’s Note: MDPI stays neutral with regard to jurisdictional claims in published maps and institutional affiliations. |
© 2022 by the authors. Licensee MDPI, Basel, Switzerland. This article is an open access article distributed under the terms and conditions of the Creative Commons Attribution (CC BY) license (https://creativecommons.org/licenses/by/4.0/).








