Novel MIMO Antenna System for Ultra Wideband Applications
Abstract
:1. Introduction
2. Proposed MIMO Configuration
2.1. Mimo Single Element
2.2. 4 × 4 MIMO Design
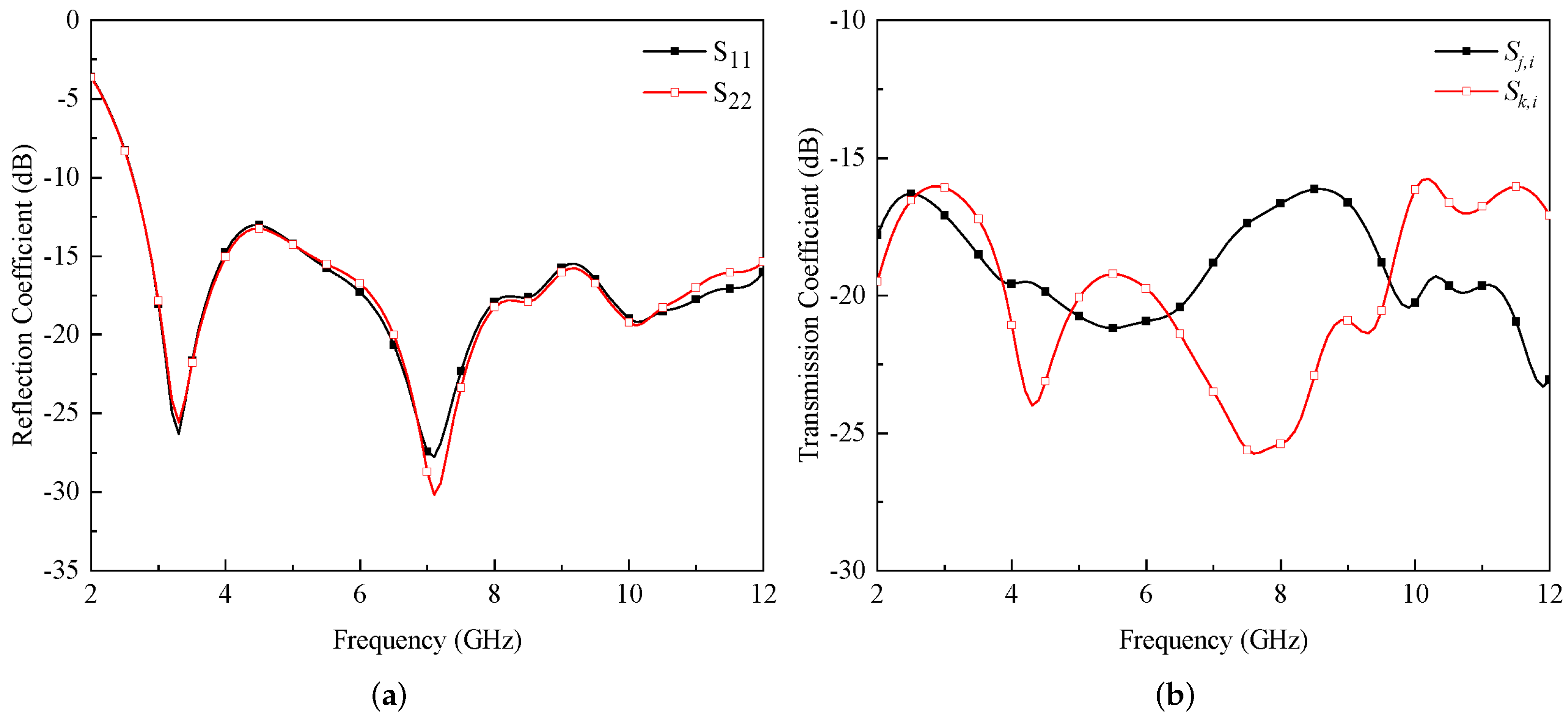
3. Fabrication and Measured Results
4. Diversity Performance Parameters
4.1. Envelope Correlation Coefficient (ECC)
4.2. Diversity Gain (DG)
4.3. Mean Effective Gain (MEG)
5. Conclusions
Author Contributions
Funding
Institutional Review Board Statement
Informed Consent Statement
Data Availability Statement
Acknowledgments
Conflicts of Interest
References
- Lim, E.G.; Wang, Z.; Lei, C.U.; Wang, Y.; Man, K. Ultra wideband antennas: Past and present. IAENG Int. J. Comput. Sci. 2010, 37, 1–11. [Google Scholar]
- Abbas, S.; Desai, S.; Esselle, K.; Volakis, J.; Hashmi, R. Design and characterization of a flexible wideband antenna using polydimethylsiloxane composite substrate. Int. J. Antennas Propag. 2018, 2018, 4095765. [Google Scholar] [CrossRef]
- Khan, M.S.; Capobianco, A.D.; Asif, S.M.; Anagnostou, D.E.; Shubair, R.M.; Braaten, B.D. A compact CSRR-enabled UWB diversity antenna. IEEE Antennas Wirel. Propag. Lett. 2016, 16, 808–812. [Google Scholar] [CrossRef]
- Chandel, R.; Gautam, A.K.; Rambabu, K. Tapered fed compact UWB MIMO-diversity antenna with dual band-notched characteristics. IEEE Trans. Antennas Propag. 2018, 66, 1677–1684. [Google Scholar] [CrossRef]
- Bahmanzadeh, F.; Mohajeri, F. Simulation and fabrication of a high-isolation very compact MIMO antenna for ultra-wide band applications with dual band-notched characteristics. AEU-Int. J. Electron. Commun. 2021, 128, 153505. [Google Scholar] [CrossRef]
- Chandel, R.; Gautam, A.K.; Rambabu, K. Design and packaging of an eye-shaped multiple-input–multiple-output antenna with high isolation for wireless UWB applications. IEEE Trans. Components Packag. Manuf. Technol. 2018, 8, 635–642. [Google Scholar] [CrossRef]
- Dey, A.B.; Pattanayak, S.S.; Mitra, D.; Arif, W. Investigation and design of enhanced decoupled UWB MIMO antenna for wearable applications. Microw. Opt. Technol. Lett. 2020, 63, 845–861. [Google Scholar] [CrossRef]
- Bilal, M.; Saleem, R.; Abbasi, H.H.; Shafique, M.F.; Brown, A.K. An FSS-based nonplanar quad-element UWB-MIMO antenna system. IEEE Antennas Wirel. Propag. Lett. 2016, 16, 987–990. [Google Scholar] [CrossRef]
- Naidu, P.R.T.; Saha, C.; Krishna, K.V.; Shaik, L.A.; Siddiqui, J.Y.; Antar, Y. Compact multiple EBG cells loaded UWB-narrowband antenna pair with high isolation for cognitive radio (CR) based MIMO applications. AEU-Int. J. Electron. Commun. 2020, 127, 153420. [Google Scholar] [CrossRef]
- Kumar, N.; Kiran, K.U. Meander-line electromagnetic bandgap structure for UWB MIMO antenna mutual coupling reduction in E-plane. AEU-Int. J. Electron. Commun. 2020, 127, 153423. [Google Scholar] [CrossRef]
- Modak, S.; Khan, T. A slotted UWB-MIMO antenna with quadruple band-notch characteristics using mushroom EBG structure. AEU-Int. J. Electron. Commun. 2021, 134, 153673. [Google Scholar] [CrossRef]
- Bilal, M.; Shahid, S.; Khan, Y.; Rauf, Z.; Wagan, R.A.; Butt, M.A.; Khonina, S.N.; Kazanskiy, N.L. A Miniaturized FSS-Based Eight-Element MIMO Antenna Array for Off/On-Body WBAN Telemetry Applications. Electronics 2022, 11, 522. [Google Scholar] [CrossRef]
- Amin, F.; Saleem, R.; Shabbir, T.; Rehman, S.U.; Bilal, M.; Shafique, M.F. A compact quad-element UWB-MIMO antenna system with parasitic decoupling mechanism. Appl. Sci. 2019, 9, 2371. [Google Scholar] [CrossRef] [Green Version]
- Kumar, S.; Lee, G.H.; Kim, D.H.; Mohyuddin, W.; Choi, H.C.; Kim, K.W. Multiple-input-multiple-output/diversity antenna with dual band-notched characteristics for ultra-wideband applications. Microw. Opt. Technol. Lett. 2020, 62, 336–345. [Google Scholar] [CrossRef]
- Ramanujam, P.; Venkatesan, P.R.; Arumugam, C.; Ponnusamy, M. Design of miniaturized super wideband printed monopole antenna operating from 0.7 to 18.5 GHz. AEU-Int. J. Electron. Commun. 2020, 123, 153273. [Google Scholar] [CrossRef]
- Kumar, P.; Urooj, S.; Alrowais, F. Design and implementation of quad-port MIMO antenna with dual-band elimination characteristics for ultra-wideband applications. Appl. Sci. 2020, 10, 1715. [Google Scholar] [CrossRef] [Green Version]
- Kumar, P.; Urooj, S.; Malibari, A. Design of quad-port ultra-wideband multiple-input-multiple-output antenna with wide axial-ratio bandwidth. Sensors 2020, 20, 1174. [Google Scholar] [CrossRef] [Green Version]
- Khan, A.A.; Naqvi, S.A.; Khan, M.S.; Ijaz, B. Quad port miniaturized MIMO antenna for UWB 11 GHz and 13 GHz frequency bands. AEU-Int. J. Electron. Commun. 2021, 131, 153618. [Google Scholar] [CrossRef]
- Addepalli, T.; Desai, A.; Elfergani, I.; Anveshkumar, N.; Kulkarni, J.; Zebiri, C.; Rodriguez, J.; Abd-Alhameed, R. 8-Port semi-circular arc MIMO antenna with an inverted L-strip loaded connected ground for UWB applications. Electronics 2021, 10, 1476. [Google Scholar] [CrossRef]
- Sohi, A.K.; Kaur, A. A complementary Sierpinski gasket fractal antenna array integrated with a complementary Archimedean defected ground structure for portable 4G/5G UWB MIMO communication devices. Microw. Opt. Technol. Lett. 2020, 62, 2595–2605. [Google Scholar] [CrossRef]
- Wang, E.; Wang, W.; Tan, X.; Wu, Y.; Gao, J.; Liu, Y. A UWB MIMO slot antenna using defected ground structures for high isolation. Int. J. RF Microw.-Comput.-Aided Eng. 2020, 30, e22155. [Google Scholar] [CrossRef]
- Saadh, A.M.; Ashwath, K.; Ramaswamy, P.; Ali, T.; Anguera, J. A uniquely shaped MIMO antenna on FR4 material to enhance isolation and bandwidth for wireless applications. AEU-Int. J. Electron. Commun. 2020, 123, 153316. [Google Scholar] [CrossRef]
- Anguera, J.; Andújar, A.; Jayasinghe, J.; Chakravarthy, V.; Chowdary, P.; Pijoan, J.L.; Ali, T.; Cattani, C. Fractal antennas: An historical perspective. Fractal Fract. 2020, 4, 3. [Google Scholar] [CrossRef] [Green Version]
- Ray, K.P. Design aspects of printed monopole antennas for ultra-wide band applications. Int. J. Antennas Propag. 2008, 2008, 713858. [Google Scholar] [CrossRef]
- Balanis, C.A. Antenna Theory: Analysis and Design; John Wiley & Sons: Hoboken, NJ, USA, 2015. [Google Scholar]
- Rafique, U.; Ahmed, M.M.; Hassan, M.M.; Khalil, H. A modified super-wideband planar elliptical monopole antenna. In Proceedings of the 2018 Progress in Electromagnetics Research Symposium (PIERS-Toyama), Toyama, Japan, 1–4 August 2018; pp. 2344–2349. [Google Scholar]
- Rafique, U.; Agarwal, S.; Nauman, N.; Khalil, H.; Ullah, K. Inset-fed Planar Antenna Array for Dual-band 5G MIMO Applications. Prog. Electromagn. Res. C 2021, 112, 83–98. [Google Scholar] [CrossRef]
- Agarwal, S.; Rafique, U.; Ullah, R.; Ullah, S.; Khan, S.; Donelli, M. Double Overt-Leaf Shaped CPW-Fed Four Port UWB MIMO Antenna. Electronics 2021, 10, 3140. [Google Scholar] [CrossRef]
- Koohestani, M.; Moreira, A.A.; Skrivervik, A.K. A novel compact CPW-fed polarization diversity ultrawideband antenna. IEEE Antennas Wirel. Propag. Lett. 2014, 13, 563–566. [Google Scholar] [CrossRef]
















| Ref. | Array Size | Isolation Enhancement | Frequency Band | Bandwidth | Isolation | ECC | DG |
|---|---|---|---|---|---|---|---|
| (mm) | Network | (GHz) | (GHz) | (dB) | (dB) | ||
| [8] | 32 × 36 | FSS | 3–10 | 7 | >16 | <0.0025 | − |
| [12] | 45 × 45 | FSS + Decoupling Structure | 3.1-10.6 | 7.5 | >10 | <0.17 | >9.92 |
| [13] | 43 × 40 | Decoupling Structure | 3–11 | 8 | >15 | <0.2 | >9.75 |
| [14] | 72 × 72 | Neutralization Lines | 2.8–13.3 | 10.5 | >18 | < 0.06 | − |
| [16] | 58 × 58 | Decoupling Structure | 3–16 | 13 | >18 | <0.07 | − |
| [18] | 40 × 40 | Not utilized | 3–13.5 | 10.5 | >15 | <0.4 | >9.9 |
| [19] | 92 × 92 | Neutralization Lines | 2.84–11 | 8.16 | >15 | <0.02 | − |
| This work | 90 × 90 | Not utilized | 2.77–12 | 9.23 | >15 | <0.1 | >9.97 |
Publisher’s Note: MDPI stays neutral with regard to jurisdictional claims in published maps and institutional affiliations. |
© 2022 by the authors. Licensee MDPI, Basel, Switzerland. This article is an open access article distributed under the terms and conditions of the Creative Commons Attribution (CC BY) license (https://creativecommons.org/licenses/by/4.0/).
Share and Cite
Alharbi, A.G.; Rafique, U.; Ullah, S.; Khan, S.; Abbas, S.M.; Ali, E.M.; Alibakhshikenari, M.; Dalarsson, M. Novel MIMO Antenna System for Ultra Wideband Applications. Appl. Sci. 2022, 12, 3684. https://doi.org/10.3390/app12073684
Alharbi AG, Rafique U, Ullah S, Khan S, Abbas SM, Ali EM, Alibakhshikenari M, Dalarsson M. Novel MIMO Antenna System for Ultra Wideband Applications. Applied Sciences. 2022; 12(7):3684. https://doi.org/10.3390/app12073684
Chicago/Turabian StyleAlharbi, Abdullah G., Umair Rafique, Shakir Ullah, Salahuddin Khan, Syed Muzahir Abbas, Esraa Mousa Ali, Mohammad Alibakhshikenari, and Mariana Dalarsson. 2022. "Novel MIMO Antenna System for Ultra Wideband Applications" Applied Sciences 12, no. 7: 3684. https://doi.org/10.3390/app12073684
APA StyleAlharbi, A. G., Rafique, U., Ullah, S., Khan, S., Abbas, S. M., Ali, E. M., Alibakhshikenari, M., & Dalarsson, M. (2022). Novel MIMO Antenna System for Ultra Wideband Applications. Applied Sciences, 12(7), 3684. https://doi.org/10.3390/app12073684

