Featured Application
The proposed materials can be applied in solid oxide fuel cells (SOFCs).
Abstract
The design of new oxygen- and proton-conducting materials is of paramount importance for their possible utilization in solid oxide fuel cells. In the present work, La2(Hf2–xLax)O7–x/2 (x = 0, 0.1) ceramics were prepared using ball milling of oxide mixtures (La2O3 and HfO2) followed by high-temperature annealing at 1600 °C for 10 h in air. La2Hf2O7 ceramics exhibit an ordered pyrochlore-type structure, whereas La2(Hf1.9La0.1)O6.95 has a defect pyrochlore structure type with oxygen vacancies at the 48f positions. The oxygen ion and proton conductivity of La2(Hf1.9La0.1)O6.95 “stuffed” pyrochlore ceramics was investigated by electrochemical impedance spectroscopy (two-probe AC) and four-probe DC measurements in a dry and a wet atmosphere (air and nitrogen). The use of two distinct conductivity measurement techniques ensured, for the first time, the collection of reliable data on the proton conductivity of the La2(Hf1.9La0.1)O6.95 “stuffed” hafnate pyrochlore. La2Hf2O7 was found to be a dielectric in the range 400–900 °C, whereas the La2(Hf1.9La0.1)O6.95 “stuffed” pyrochlore had both oxygen ion and proton conductivities in this temperature range. The proton conductivity level was found to be equal to ~8 × 10−5 S/cm at 700 °C. Clearly, the proton conductivity of the La2(Hf1.9La0.1)O6.95 “stuffed” hafnate pyrochlore is mainly due to the hydration of oxygen vacancies at 48f positions.
1. Introduction
The (Ln = La-Lu; M = Ti, Zr, Hf) systems with a pyrochlore structure can be used as potential oxygen ion-conducting electrolytes for solid oxide fuel cell (SOFC) applications [1,2,3,4,5,6,7,8,9,10,11,12,13,14,15,16]. The most promising electrolytes among pyrochlores are rare-element (RE)-based zirconates: the Li-doped gadolinium zirconate Gd1.7Li0.3Zr2O6.7, with a conductivity of 1 × 10–3 S/cm at 450 °C (~8 × 10–3 S/cm at 700 °C) [1], and (Nd2−xZrx)Zr2O7+x/2 (x = 0.4) (1.78 × 10−2 S/cm at 700 °C) [5]. It can be seen from previous results [4,5] that the solid solutions in broad isomorphism ranges with a variable Ln/M ratio (Ln = La-Lu; M = Ti, Zr, Hf) in the titanate, zirconate, and hafnate systems can be used to prepare materials with high oxygen ion conductivity. The undoubted advantage of some RE zirconate solid solutions with the pyrochlore structure is pure oxygen ion conductivity persisting in a wide temperature range (600–900 °C) and a wide range of oxygen partial pressures, and absence of p-type conductivity at high oxygen partial pressure [4]. Undesirable electronic transport of materials used in PCFCs and PCECs leads to a decrease in their effectiveness [6,7].
The Ln2Hf2O7 (Ln = Sm, Eu, Gd) compounds have the pyrochlore structure, and the highest oxygen ion conductivity is reached for Gd2Hf2O7: ~1.3 × 10−3 S/cm at 750 °C [8,12]. The Ln2Hf2O7 (Ln = Dy, Y, Ho, Yb) heavy RE hafnates have a fluorite structure, and the Dy- and Ho-based compounds have the highest conductivity among them [8]. These results were essentially confirmed by Sardar et al. [9], who were able to separate the total conductivity onto the bulk (1.0 × 10−4 S/cm at 700 °C) and grain boundary (4.66 × 10−5 S/cm at 700 °C) components for the Ho2Hf2O7 fluorite prepared by the conventional solid-state reaction technique. Recently, Shlyakhtina et al. [16] synthesized Eu2(Hf2−xEux)O7−x/2 (x = 0.1) stuffed pyrochlores, which showed the highest oxygen ion conductivity among the hafnate family: ~7.5 × 10−4 S/cm at 700 °C. This is, however, lower than the conductivity of the RE zirconates and titanates [16,17,18,19,20]. The authors of [21] investigated the electronic structure of La2Hf2O7 based on first-principle calculations with a particular focus on the anion Frenkel (anti-Frenkel) defect pair () in terms of defect structures with correlated formation energies. Such anion Frenkel pair () defects are the most stable ones in pure La2Hf2O7. It is worth noting that, whereas the oxygen ion conductivity of the RE hafnates and related solid solutions has been the subject of intense research [8,9,10,11,12,13,14,15,16], there are few data on their proton conductivity, except for the Nd2(Hf2−xNdx)O7−x/2 (x = 0; 0.1) system [22].
The proton conductivity of the Ln2Hf2O7 hafnates and related solid solutions is essentially unexplored. Proton conduction was first found comparatively recently in Nd2(Hf2-xNdx)O7−x/2 (x = 0; 0.1) neodymium hafnates [22]. Proton conductivity was shown both in neodimium hafnate (1.25 × 10−6 S/cm at 700 °C) and Nd2(Hf1.9Nd0.1)O6.95 “stuffed” pyrochlore solid solution (~1 × 10−4 S/cm at 700 °C) [22]. Producing oxygen vacancies via acceptor substitutions is a well-known approach for raising the conductivity of various oxygen ion conductors [23,24,25,26]. The formation of vacancies in La2(Hf2−xLax)O7−x/2 (x = 0.1) as a result of substitution of the trivalent lanthanide on the tetravalent metal site can be represented as follows:
The Ln2O3-MO2 (M = Ti, Zr, Hf) systems have large isomorphism regions around the Ln2Ti2O7 (Ln = Sm-Lu), Ln2Zr2O7 (Ln = La-Eu), and Ln2Hf2O7 (Ln = La-Tb) pyrochlores. In a certain range of Ln2O3 concentrations, the pyrochlore solid solutions in these systems can transform into fluorite solid solutions (order–disorder transition) [27,28,29,30,31,32]. In the zirconate systems, these order–disorder ranges are symmetric regarding Ln2Zr2O7, whereas in the titanate systems they are rather broad and are located mainly at high degrees of Ln substitution for Ti at synthesis temperatures below 1700 °C. The investigation of the broad isomorphism ranges in the hafnate systems is complicated by the high synthesis temperatures of the solid solutions (Tsyn. ≥ 1700 °C) [22,32].
As shown in a precision XANES spectroscopy study [4], the broad isomorphism range in the Tm2(Ti2−xTmx)O7−x/2 (x = 0–0.67) “stuffed” titanate system includes three different regions: (1) at x = 0–0.1, where only a P1 pyrochlore exists; (2) x~0.13–0.56, where P1 and P2 pyrochlore phases coexist, (P1—thulium-deficient; P2—thulium-enriched), and (3) x~0.56–0.67, where a defect fluorite F prevails. According to XRD data, in the Yb2(Ti2−xYbx)O7−x/2 system, two pyrochlore phases coexist in a range of x = 0.16–0.37 [31].
In this work, ball milling was used to activate a starting oxide mixture for high-temperature synthesis of La2Hf2O7 and La2(Hf1.9La0.1)O6.95 solid solution with the aim of ascertaining whether they have proton conductivity. La2(Hf1.9La0.1)O6.95 falls in the La2Hf2O7–La2O3 isomorphous miscibility range, but a low degree of substitution (x = 0.1) simplifies the situation because in most of the Ln2M2O7–Ln2O3 systems, only one solid solution exists at such degrees of substitution; in turn, this significantly facilitates interpretation of structural data and allows one to use diffraction techniques, without resorting to spectroscopy (Raman scattering or XANES) [2,3,4].
2. Materials and Methods
La2Hf2O7 and La2(Hf1.9La0.1)O6.95 were synthesized by reacting appropriate oxide mixtures (La2O3 + HfO2) after mechanical activation in an Aronov ball mill [33,34]. The parameters of the Aronov ball mill were as follows: an oscillation amplitude of 0.5 cm, a frequency of 50 Hz, a vial volume of 120 cm3, and a ball/powder weight ratio of 15. The La2O3 powder resource was annealed at 1000 °C for 2 h to remove absorber gases and then placed in a desiccator after cooling to 850 °C. The calcined mixtures were milled and pressed at 650 MPa and then sintered at 1600 °C for 10 h in air. The relative densities of the obtained ceramic samples were determined by measuring their weight and dimensions; they were found to be 92% above the theoretical levels for both La2Hf2O7 and La2(Hf1.9La0.1)O6.95 compounds. In the case of La2(Hf2–xLax)O7–x/2 (x = 0.1) “stuffed” hafnate pyrochlore, the ceramic’s relative density was determined by hydrostatic weighing in toluene (94.8%). The phase composition features and structural properties of the powder samples were analyzed by the X-ray diffraction (XRD) technique using a DRON-3M diffractometer (Bragg-reflection geometry, Cu Kα radiation) in the range 2θ = 10°−75° at ambient condition.
Scanning electron microscopy (SEM—using a JEOL JSM-6390LA device) was employed to analyze the morphology of the ceramic samples as well as to estimate their chemical compositions. Energy dispersive X-ray microanalysis (EDX) was used to obtain X-ray concentration maps of elements.
The La2(Hf2–xLax)O7–x/2 (x = 0, 0.1) ceramics were subject to thermogravimetric analysis in air using a NETZSCH STA 449C system (50–1000 °C, heating rate of 10 K/min, Al2O3 plate). To verify whether the La2(Hf1.9La0.1)O6.95 ceramics contained structurally bound water, which might be responsible for proton conduction, we performed TG scans from 50 to 1000 °C in an oxygen atmosphere at a heating rate of 10 °C/min. To assess the reproducibility of the observed effects, the sample was reheated after cooling in the oxygen atmosphere.
The disk-shaped ceramic samples (diameter ~9 mm and thickness ~2 mm) were fabricated for electrical measurements. Electrode contacts to the sample were made by firing ChemPur C3605 paste with colloidal platinum at 950 °C for 0.5 h. The conductivity of La2Hf2O7 and La2(Hf1.9La0.1)O6.95 was studied by impedance spectroscopy analysis (EIS) via a two-probe AC method in both dry and wet air atmospheres. A combination of P-5X potentiostat/galvanostat and a frequency response analyzer module (Electrochemical Instruments Ltd., Chernogolovka, Russia) was purposefully used to provide electrical conductivity measurements. The impedance spectra between 100 and 900 °C were recorded over a frequency range of 10−1–5 × 106 Hz at a signal amplitude of 150 mV. The dry atmosphere was created by passing air through a KOH, while the wet atmosphere was regulated by passing air through a water saturator held at 20 °C, which ensured a constant humidity of ~0.023 atm (2.3% H2O). Air flow rate was 130 mL/min. To obtain stable water vapor pressure before measurement, the sample was kept at each temperature for 40 min. The impedance data fitting was performed using Zview software (Scribner Associates, Southern Pines, NC, USA).
In addition, the total conductivity of La2(Hf1.9La0.1)O6.95 the was evaluated by the four-probe DC method. These measurements were performed in a temperature range of 500–900 °C in dry and in wet oxidizing and reducing atmospheres (air and N2). Wet atmospheres (PH2O = 0.02 atm) were generated by bubbling gases through water thermostatted at a temperature of 18 °C.
3. Results and Discussion
3.1. Study of the La2Hf2O7 and La2(Hf1.9La0.1)O6.95 Structure by the X-ray Diffraction Method
The pyrochlore structure of La2Hf2O7 has two distinct cation sites—those of La, in the center of a distorted LaO8 cube (scalenohedron), and Hf, in the center of a distorted HfO6 octahedron (trigonal antiprism)—and three distinct anion sites: 48f (O1), 8a (O2), and 8b (O3). Each O1 oxygen (48f) is surrounded by two La3+ and two Hf4+ cations, each O2 oxygen (8a) is coordinated by four La3+ cations, and each O3 oxygen, which is always empty in ordered stoichiometric pyrochlores, is coordinated by four Hf4+ cations. La2Hf2O7 is the most ordered pyrochlore phase in the Ln2Hf2O7 (Ln = La-Tb) series, without cation disordering. In the case of La2(Hf1.9La0.1)O6.95, the Hf-to-La substitution leads to a decrease in the intensity of the 111, 311, 331, and 531 pyrochlore superstructure reflections compared with La2Hf2O7 (Figure 1a, scans 1 and 2, respectively). In addition, the cubic pyrochlore cell parameter increases from 10.7731(2) Å for nominally stoichiometric La2Hf2O7 to 10.7833 (1) Å for La2(Hf1.9La0.1)O6.95 because the ionic radius of lanthanum in the center position of the distorted octahedra exceeds that of hafnium (R La3+CN6= 1.032Å; R Hf4+CN6 = 0.71Å).
Figure 1.
(a) X-ray diffraction patterns of (1) La2Hf2O7 and (2) La2(Hf1.9La0.1)O6.95; (b) Rietveld refinement of La2Hf2O7 X-ray diffraction pattern: the experimental data (green dots), the calculated data (red line), and the difference between the experimental and calculated data (gray line); (c) Rietveld refinement of La2(Hf1.9La0.1)O6.95 X-ray diffraction pattern: the experimental data (blue line), the calculated data (red line), and the difference between the experimental and calculated data (gray line).
A detailed analysis of the phase composition and crystal structure of the obtained materials was carried out by refining diffraction patterns by the Rietveld method (by means of the TOPAS software). The results of such a refinement are summarized in Table 1 and in Figure 1b,c.
Table 1.
Rietveld refinement of positions for La2(Hf2−xLax)O7−x/2 (x = 0, 0.1) (sp.gr. Fd-3m) at T = 300 K.
According to the XRD data, the La2(Hf1.9La0.1)O6.95 sample is a single-phase pyrochlore with no detectable secondary phase. This result agrees well with Durand’s data [35], according to which the homogeneity region of this solid solution extends to x = 0.16 at a temperature of 1600 °C.
Similar results were previously obtained for Nd2(Hf2−xNdx)O7−x/2 (x = 0, 0.1) synthesized at 1600 °C [22]. The incorporation of 5% La into the Hf sublattice leads to the formation of oxygen vacancies and a defect pyrochlore structure according to the following scheme:
According to Mullens et al. [2], only one pyrochlore phase exists in the Tm2(Ti2−xTmx)O7−x/2 (x = 0–0.67) system at a low substitution degree, x = 0–0.1, unlike at higher degrees of substitution (x > 0.1) [2]. As shown for A2(B2−xAx)O7−x/2 “stuffed” pyrochlores [2] using the Tm2(Ti2−xTmx)O7−x/2 (x = 0–0.67) system as an example, at low degrees of Ti-for-Tm substitution (at x = 0–0.1), oxygen vacancies are formed predominantly in position 48f, opposed to the change in the vacancies formation in two positions (48f and 8b) in Y2(ZryTi1−y)2O7 [36] and Y2Ti2−xHfxO7 [37] as a result of isovalent substitutions in the tetravalent metal sublattice. Note that in the case of the formation of anti-site pairs in nominally stoichiometric pyrochlores at high temperatures (e.g., in the oxygen- and proton-conducting neodymium hafnate Nd2Hf2O7 synthesized at 1700 °C), oxygen vacancies are formed in position 48f [22].
It can be assumed that there a similar situation obtains for the Ln2(Hf2−xLnx)O7−x/2 (Ln = La, Nd; x = 0.1) hafnate systems and the Tm2(Ti2−xTmx)O7−x/2 (x = 0–0.1) titanate system. La2(Hf1.9La0.1)O6.95 “stuffed” pyrochlore was shown to contain oxygen vacancies only in position 48f (Table 1).
3.2. Microstructure of La2Hf2O7 and La2(Hf1.9La0.1)O6.95
Table 2 presents the La/Hf ratio on the outer and fracture surfaces of La2Hf2O7 and La2(Hf1.9La0.1)O6.95. The La/Hf ratio on the fracture surfaces is similar to the intended one, whereas the outer surface is found to be enriched with lanthanum. Note that the nominally stoichiometric La2Hf2O7 ceramic is visually inhomogeneous and two-colored; its microstructure is presented in Figure 2a,b. Its surface is white, which correlates with the La2O3 excess detected by EDS/EDX (energy dispersive X-ray spectroscopy X-ray analysis), and there is a brown layer in its interior. The micrograph of a fracture surface of the ceramic in Figure 2a demonstrates its inhomogeneity. Nevertheless, the La2Hf2O7 ceramic is dense: its relative density is 7.4 g/cm3, i.e., 93.3% of its theoretical density. The La2(Hf1.9La0.1)O6.95 ceramic is light brown in colour and more homogeneous than the La2Hf2O7 ceramic prepared under the same conditions. The La/Hf ratio is near the expected one (Table 2). The microstructure of the La2(Hf1.9La0.1)O6.95 ceramic is shown in Figure 2c,d. Note the La excess is observed on the outer surface of the La2Hf2O7 compared to La2(Hf1.9La0.1)O6.95 “stuffed” pyrochlore (Table 2). The density of the La2(Hf1.9La0.1)O6.95 ceramic is 7.27 g/cm3, which is 92.5% of its theoretical density, whereas its density determined by hydrostatic weighing is higher: 94.8%.
Table 2.
Average La/Hf ratio on the outer and fracture surfaces of ceramics: SEM/EDX ten point analysis of La2(Hf2−xLax)O7−x/2 (x = 0, 0.1).
Figure 2.
Microstructure of (a,c) a fracture surface and (b,d) the outer surface of the (a,b) La2Hf2O7 and (c,d) La2(Hf1.9La0.1)O6.95 ceramics.
The average La/Hf ratio value on the fracture surface exceeds the nominal stoichiometry within the standard error of the mean (SEM), but it is close to it and significantly less than this ratio on the outer surface (Table 2). In addition, visual information about the inhomogeneity of the color of the samples cannot serve as a basis for considering the samples as polyphasic; however, based on the EDX analysis data, we can conclude that there is a gradient in the La/Hf ratio. This inhomogeneity is apparently associated with significant inertia of the system, as a result of which the diffusion of atoms proceeds slowly.
3.3. Oxygen Ion and Proton Conductivity of La2(Hf2−xLax)O7−x/2 (x = 0; 0.1) in Dry and Wet Air
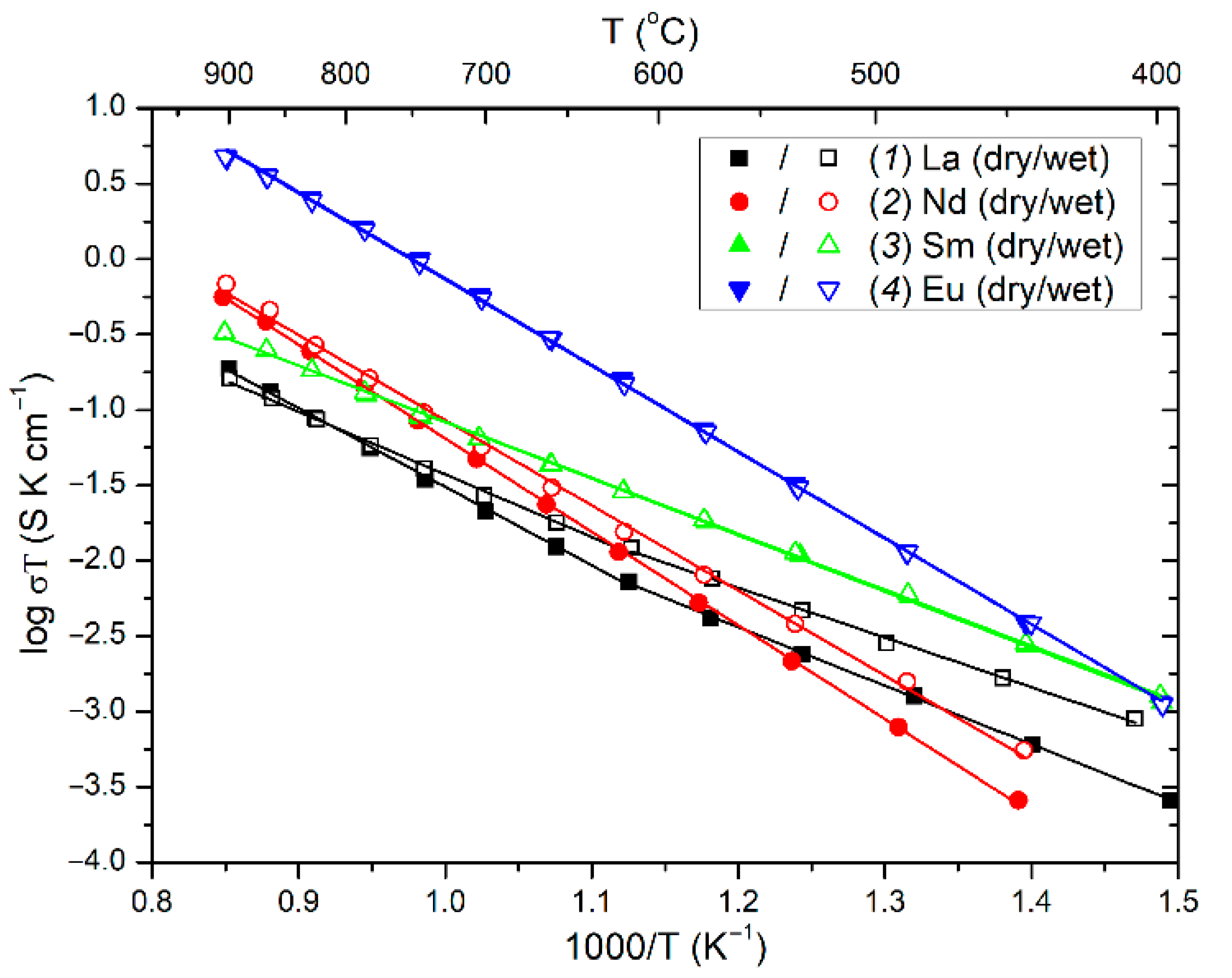
Electrochemical impedance spectroscopy data for the La2Hf2O7 ceramic demonstrate that its impedance response corresponds to dielectric behaviour. No significant conductivity was detected in the range 300–900 °C with our measurement equipment. Therefore, La2Hf2O7 is a dielectric, unlike Nd2Hf2O7, studied previously [22], whose conductivity in wet air is ~1.25 × 10−6 S/cm at 700 °C, approaching the proton conductivity of La2Zr2O7 [38]. The negligible conductivity of La2Hf2O7 is attributable to the high covalence of the La–Hf bonds and the perfect structure of this pyrochlore phase. Figure 3 shows Arrhenius plots for a number of Ln2(Hf1.9Ln0.1)O6.95 ((1) Ln = La; (2) Nd [22]; (3) Sm [16]; (4) Eu) [16] “stuffed” pyrochlores in dry and wet air. La2(Hf1.9La0.1)O6.95 has considerable proton conductivity in the range 400–750 °C. The impedance spectra of La2(Hf1.9La0.1)O6.95 at 530 and 700 °C in dry and wet air are presented in Figure S1. Apparent activation energy (Ea) of total conductivity temperature dependences of Ln2(Hf1.9Ln0.1)O6.95 (Ln = La, Nd, Sm, Eu) “stuffed” hafnate pyrochlores in dry and wet air are presented in Table 3. The conductivity of La2(Hf1.9La0.1)O6.95 in wet air is ~8 × 10−5 S/cm at 700 °C (Figure 3), which differs very little from the conductivity of Nd2(Hf1.9Nd0.1)O6.95 under the same conditions [22]. The conductivity of Ln2(Hf1.9Ln0.1)O6.95 (Ln = Sm, Eu) is not higher in wet air [16], which indicates that Sm- and Eu-based “stuffed” hafnate pyrochlores are purely oxygen ion conductors (Figure 3). The Ln2(Hf1.9Ln0.1)O6.95 (Ln = La, Nd) “stuffed” pyrochlores, in which the major defects are oxygen vacancies in position 48f, have proton conductivity due to interaction of the oxygen vacancies in position 48f with water according to the Equation (3):
Figure 3.
Arrhenius plots of conductivity for different Ln2(Hf1.9Ln0.1)O6.95 “stuffed” hafnate pyrochlores ((1) Ln = La; (2) Nd [22]; (3) Sm [16]; (4) Eu) [16] in dry and wet air.
Table 3.
Apparent activation energy (Ea) of total conductivity temperature dependences of Ln2(Hf1.9Ln0.1)O6.95 (Ln = La, Nd, Sm, Eu) stuffed hafnate pyrochlores in dry and wet air.
It is obvious (Table 3) that below 800 °C the activation energies for conduction in the Ln2(Hf1.9Ln0.1)O6.95 (Ln = La, Nd) “stuffed” hafnate pyrochlores in wet air are lower than those in dry air. This is usual proton conductor behaviour. Ln2(Hf1.9Ln0.1)O6.95 (Ln = Sm, Eu) “stuffed” pyrochlores have the same activation energy (Table 3) for conductivity, which is independent of humidity.
3.4. DSC and TG Characterization of La2(Hf1.9La0.1)O6.95 “Stuffed” Pyrochlore
No significant proton conductivity for the Ln2(Hf1.9Ln0.1)O6.95 (Ln = Sm, Eu) materials is attributed to the low basicity of Sm2O3 and Eu2O3 and the low hydration degree of oxygen vacancies in position 48f in their pyrochlore solid solutions compared to La- and Nd-counterparts [39]. The La2(Hf1.9La0.1)O6.95 “stuffed” pyrochlore powder was heated twice up to 1000 °C. Figure 4a shows DSC and TG curves of this sample during the first (curves 1 and 1a) and second (curves 2 and 2a) heating cycles. The total weight loss between 50 and 1000 °C is 0.41% in the first and 0.32% in the second heating cycles. The TG curve obtained during the first heating has two steps. A sharpest weight loss is observed between 50 and 650 °C, with ΔM1 = 0.33%. According to Colomban [40], this temperature range corresponds to the removal of surface water and hydroxyl ions. Above 650 °C, water was removed rather slowly, up to 1000 °C. This weight loss is related to the structurally bounded water and interstitial protons [40]. The weight loss was about ΔM1 = 0.08% at 650–1000 °C. After cooling in the same oxygen atmosphere, the sample was reheated, and the weight loss between 50 and 650 °C was 0.27%, i.e., smaller than in the first heating cycle. The slope of the second weight loss step, between 650 and 1000 °C, also decreased, and the weight loss was ΔM1 = 0.05%, i.e., also smaller than in the first heating cycle. Thus, the second heating showed that, during cooling in an oxygen atmosphere, the material regained most of the physically and structurally bound water. The present results demonstrate that La2(Hf1.9La0.1)O6.95 “stuffed” pyrochlore powder rehydrates rather easily during cooling and the water is then present in the form of not only physically bound water but structurally bound water and interstitial protons.
Figure 4.
(a) DSC curves (1—first heating; 2—second heating) and TG curves (1a—first heating; 2a—second heating) of the powder sample La2(Hf1.9La0.1)O6.95 (left arrow—TG axis, right arrow—DSC axis); (b) TG curves: (1) first heating of La2(Hf1.9La0.1)O6.95 and (2) La2Hf2O7 powder sample.
Figure 4b displays TG curves of the La2(Hf1.9La0.1)O6.95 “stuffed” pyrochlore powder (curve 1) and pure La2Hf2O7 powder (curve 2). It can easily be seen that La2Hf2O7 loses surface water and hydroxyl ions up to 650 °C and above this temperature there is no weight loss, while La2(Hf1.9La0.1)O6.95 loses structurally bound water and protons in the 650–1000 °C temperature interval (ΔM1 = 0.08%). In this work, the sharpest weight loss (50–650 °C) for La2Hf2O7 (Figure 4b, curve 2) is associated with the release of H2O and CO2. This can be partially assigned to the decomposition of La-containing carbonates and hydroxycarbonates formed due to CO2 trapping from air during cooling and located at grain boundaries or in pores. The exoeffect on the DSC curve of La2(Hf1.9La0.1)O6.95 near 800 °C (Figure 4a, curve 1) can be caused by the structure relaxation after the removal of bulk CO32− groups. It should be noted that after the second heating this effect disappeared (Figure 4a, curve 2).
3.5. Four-Probe Proton Conductivity Measurements for the La2(Hf1.9La0.1)O6.95 Stuffed Pyrochlore in Dry and Wet Nitrogen and Air
The four-probe conductivity measurement results for La2(Hf1.9La0.1)O6.95 are presented in Figure 5. In the measurements, we used a bar-shaped sample cut from the center of the ceramic pellet. It can be seen that the conductivity in both wet air and wet N2 exceeds that in the dry atmospheres. The conductivity of La2(Hf1.9La0.1)O6.95 in wet air is ~8 × 10−5 S/cm at 700 °C, in agreement with the two-probe measurement results (Figure 3). The total conductivity in wet nitrogen exceeds that in dry nitrogen, indicating that the La2(Hf1.9La0.1)O6.95 “stuffed” pyrochlore has proton conductivity. Clearly, the oxygen vacancies in position 48f of the La2(Hf1.9La0.1)O6.95 “stuffed” pyrochlore interact with water. A crucial role is played by the ability of the oxygen vacancies in position 48f, i.e., in the center of the Ln3+2Hf4+2 (Ln = La, Nd) tetrahedra in the pyrochlore structure, to be hydrated, which is due to the basicity of lanthanum and neodymium compounds. The lower basicity of the Ln2(Hf1.9Ln0.1)O7−x/2 (Ln = Sm, Eu) “stuffed” pyrochlores makes them purely oxygen ion conductors [16].
Figure 5.
Total conductivity of La2(Hf1.9La0.1)O6.95 in dry and wet air and N2.
La2(Hf1.9La0.1)O6.95 “stuffed” hafnate pyrochlores demonstrated proton contribution ~1× 10−5 S/cm at 600 °C, whereas the conductivity of Ca-doped zirconate pyrochlores is higher by ~1–1.5 orders of magnitude. For example, the conductivity of (La2−xCax)Zr2O7−δ (x = 0.05) in wet air is 7 × 10−4 S/cm at 600 °C while that of (Nd2-xCax)Zr2O7-δ (x = 0.05) is 2.5 × 10−4 S/cm at 600 °C) and that of (Sm2−xCax)Zr2O7−δ (x = 0.05) is 7.5 × 10–4 S/cm at 600 °C [41,42,43,44,45]. The comparison of the proton conductivity of the Ca-doped zirconates and “stuffed” hafnate pyrochlores indicates that the higher basicity of cations around an oxygen vacancy in position 48f as a result of Ca-substitution, a more basic cation, for the lanthanide increases the hydration at this position and, as a result, proton conductivity rises by almost two orders of magnitude [41,42,43,44,45,46,47,48]. Another factor contributing to the decrease in the conductivity of the “stuffed” hafnate pyrochlores is the presence of more covalent and strong Hf-O bonds in hafnates relative to zirconates [32].
4. Conclusions
La2Hf2O7 and a La2(Hf1.9La0.1)O6.95 solid solution were prepared using ball milling of oxide mixtures followed by high-temperature annealing at 1600 °C for 10 h in air. The prepared La2Hf2O7 ceramic is nonuniform in composition, with an excess of lanthanum oxide on its surface. The La2Hf2O7 ceramic is a dielectric, whereas the La2(Hf1.9La0.1)O6.95 ceramic is more homogeneous and has a defect pyrochlore structure type with oxygen vacancies at the 48f positions of the pyrochlore structure. La2(Hf1.9La0.1)O6.95 “stuffed” pyrochlore exhibits both oxygen ion and proton transference. The use of impedance spectroscopy in different atmospheres (dry and wet air and nitrogen) with two-probe AC and four-probe DC measurements provided reliable data on the proton conductivity of the La2(Hf1.9La0.1)O6.95 “stuffed” hafnate pyrochlore. The La2(Hf1.9La0.1)O6.95 “stuffed” pyrochlore has been shown to have both oxygen-ion and proton conductivity in the range 600–900 °C, with a proton conductivity of ~8 × 10−5 S/cm at 700 °C. The conductivity in the wet N2 atmosphere was higher than in the dry N2 atmosphere in the temperature range of 600–900 °C, which indicates hydration of oxygen vacancies at 48f positions. In the air atmosphere, the difference was smaller, since some of the oxygen vacancies serve to move oxygen ions.
Clearly, the excess conductivity in a wet atmosphere relative to a dry one for the La2(Hf1.9La0.1)O6.95 “stuffed” hafnate pyrochlore is due solely to proton conductivity, without any contribution from surface conduction.
Supplementary Materials
The following supporting information can be downloaded at: https://www.mdpi.com/article/10.3390/app12094342/s1, Figure S1: The impedance spectra of La2(Hf1.9La0.1)O6.95 at 530 and 700 °C in dry and wet air.
Author Contributions
A.V.S.: conceptualization, methodology, writing—original draft preparation, review and editing; N.V.L., G.A.V. and G.E.N.: investigation, formal analysis; A.V.K. and D.N.S.: investigation, data curation, visualization; I.V.K.: resources; D.A.M.: formal analysis, writing—review and editing. All authors have read and agreed to the published version of the manuscript.
Funding
This research received no external funding.
Institutional Review Board Statement
Not applicable.
Informed Consent Statement
Not applicable.
Data Availability Statement
Not applicable.
Acknowledgments
The support of this work by the Russian Science Foundation (Project 18-13-00025) is gratefully acknowledged. The 50% conductivity measurements of samples were performed in accordance with the state task for IPCP RAS, state registration No. AAAA-A19-119061890019-5.
Conflicts of Interest
The authors declare no conflict of interest.
References
- Anokhina, I.A.; Animitsa, I.E.; Voronin, V.I.; Vykhodets, V.B.; Kurennykh, T.E.; Molchanova, N.G.; Vylkov, A.I.; Dedyukhin, A.E.; Zaikov, Y.P. The structure and electrical properties of lithium doped pyrochlore Gd2Zr2O7. Ceram. Intern. 2021, 47, 1949–1961. [Google Scholar] [CrossRef]
- Mullens, B.G.; Zhang, Z.; Avdeev, M.; Brand, H.E.A.; Cowie, B.C.C.; Muzquiz, M.S.; Kennedy, B.J. Effect of long and short-range disorder on the oxygen ionic conductivity of Tm2(Tm2-xTmx)O7-x/2 “stuffed” pyrochlores. Inorg. Chem. 2021, 60, 4517–4530. [Google Scholar] [CrossRef]
- Mullens, B.G.; Zhang, Z.; Avdeev, M.; Brand, H.E.A.; Cowie, B.C.C.; D’Angelo, A.; Múzquiz, M.S.; Kennedy, B.J. Average and local ordering of Yb2(Ti2-xYbx)O7-x/2 “stuffed“ pyrochlores: The development of a robust structural model. J. Solid State Chem. 2021, 302, 122412. [Google Scholar] [CrossRef]
- Lyskov, N.V.; Shchegolikhin, A.N.; Stolbov, D.N.; Kolbanev, I.V.; Gomes, E.; Abrantes, J.C.C.; Shlyakhtina, A.V. Study of oxygen-ion conductivity and luminescence in the ZrO2-Nd2O3 system: Impact of local heterogeneity. Electrochim. Acta 2022, 403, 139632. [Google Scholar] [CrossRef]
- Anithakumari, P.; Grover, V.; Nandi, C.; Bhattacharyya, K.; Tyagi, A.K. Utilizing non-stoichiometry in Nd2Zr2O7 pyrochlore: Exploring superior ionic conductors. RSC Adv. 2016, 6, 97566–97579. [Google Scholar] [CrossRef]
- Zvonareva, I.; Fu, X.-Z.; Medvedev, D.; Shao, Z. Electrochemistry and energy conversion features of protonic ceramic cells with mixed ionic-electronic electrolytes. Energy Environ. Sci. 2022, 15, 439–465. [Google Scholar] [CrossRef]
- Medvedev, D.A. Current drawbacks of proton-conducting ceramic materials: How to overcome them for real electrochemical purposes. Curr. Opin. Green Sustain. Chem. 2021, 32, 100549. [Google Scholar] [CrossRef]
- Lopez-Cota, F.A.; Cepeda-Sanchez, N.M.; Dıaz-Guillen, J.A.; Dura, O.J.; Lopez de la Torre, M.A.; Maczka, M.; Ptak, M.; Fuentes, A.F. Electrical and thermophysical properties of mechanochemically obtained lanthanide hafnates. J. Am. Ceram. Soc. 2017, 100, 1994–2004. [Google Scholar] [CrossRef]
- Sardar, S.; Kale, G.; Ghadiri, M. Microstructure and impedance spectroscopy of high density holmium hafnate (Ho2Hf2O7) from nanoparticulate compacts. Mater. Sci. Eng. B 2021, 265, 114989. [Google Scholar] [CrossRef]
- Govindan Kutty, K.V.; Mathews, C.K.; Varadaraju, U.V. Effect of aliovalent ion substitution on the oxide ion conductivity in rare-earth pyrohafnates RE2-xSrxHf2O7-δ and RE2Hf2-xAlxO7-δ (RE = Gd and Nd; x = 0, 0.1, and 0.2). Solid State Ion. 1998, 110, 335–340. [Google Scholar] [CrossRef]
- Shlyakhtina, A.V.; Savvin, S.N.; Levchenko, A.V.; Knotko, A.V.; Fedtke, P.; Busch, A.; Barfels, T.; Wienecke, M.; Shcherbakova, L.G. Study of bulk and grain-boundary conductivity of Ln2+xHf2-xO7-δ (Ln= Sm-Gd; x=0, 0.096) pyrochlores. J. Electroceram. 2010, 24, 300–307. [Google Scholar] [CrossRef]
- Anantharaman, A.P.; Dasari, H.P. Potential of pyrochlore structure materials in solid oxide fuel cell applications. Ceram. Int. 2021, 47, 4367–4388. [Google Scholar] [CrossRef]
- Aidhy, D.S.; Sachan, R.; Zarkadoula, E.; Pakarinen, O.; Chisholm, M.F.; Zhang, Y.; Weber, W.J. Fast ion conductivity in strained defect-fluorite structure created by ion tracks in Gd2Ti2O7. Sci. Rep. 2015, 5, 16297. [Google Scholar] [CrossRef] [PubMed] [Green Version]
- Cepeda-Sanchez, N.M.; Dias-Guillen, J.A.; Macka, M.; Amador, U.; Fuentes, A. Mechanochemical synthesis, crystal structure and ion conduction in the Gd2Hf2-xTixO7 system. J. Mater. Sci. 2017, 52, 11933–11946. [Google Scholar] [CrossRef]
- Cepeda-Sanchez, N.M.; Fuentes, A.F.; Lopez-Cota, F.A.; Rodrigues-Reyes, M.; Dias-Guillen, J.A. Mechanochemical synthesis and electrical properties of Gd2Hf2−xZrxO7 solid electrolytes for their use in SOFC’s. J. Appl. Electrochem. 2015, 45, 1231–1237. [Google Scholar] [CrossRef]
- Shlyakhtina, A.V.; Lyskov, N.V.; Shchegolikhin, A.N.; Kolbanev, I.V.; Chernyak, S.A.; Konysheva, E.Y. Valence state of europium and samarium in Ln2Hf2O7 (Ln = Eu, Sm) based in oxygen—Ion conductors. Ceram. Intern. 2021, 47, 26898–26906. [Google Scholar] [CrossRef]
- Drey, D.L.; O’Quinn, E.C.; Subramani, T.; Lilova, K.; Baldinozzi, G.; Gussev, I.M.; Fuentes, A.F.; Neuefeind, J.C.; Everett, M.; Sprouster, D.; et al. Disorder in Ho2Ti2−xZrxO7: Pyrochlore to defect fluorite solid solution series. RSC Adv. 2020, 10, 34632–34650. [Google Scholar] [CrossRef]
- Valdés-Ibarra, M.R.; Díaz-Guillén, J.A.; Padmasree, K.P.; Montemayor, S.M.; Rodríguez-Varela, F.J.; Fuentes, A.F. Oxygen ion conducting pyrochlore oxides prepared by an ultrasound-assisted wet chemistry route: Ca-doped Gd2Ti2O7 nanocrystals. Int. J. Hydrog. Energy 2019, 44, 12515–12524. [Google Scholar] [CrossRef]
- Yamamura, H.; Nishino, H.; Kakinuma, K.; Nomura, K. Electrical conductivity anomaly around fluorite-pyrochlore phase boundary. Solid State Ion. 2003, 158, 359–365. [Google Scholar] [CrossRef]
- Rejith, R.S.; Thomas, J.K.; Solomon, S. Structural, optical and impedance spectroscopic characterizations of RE2Zr2O7 (RE = La, Y) ceramics. Solid State Ion. 2018, 323, 112–122. [Google Scholar] [CrossRef]
- Sun, M.; Huang, B. “Energy Selection Channels” for High-Performance Electrolyte: Anion-Frenkel Defect Pair as Dominant Source for O Ion Conductions in Pyrochlore-type Lanthanide Hafnium Oxides SOFC. Inorg. Chem. 2017, 56, 7975–7984. [Google Scholar] [CrossRef] [PubMed]
- Shlyakhtina, A.V.; Lyskov, N.V.; Shchegolikhin, A.N.; Chernyak, S.A.; Knotko, A.V.; Kolbanev, I.V.; Shcherbakova, L.G. Structure evolution, ionic and proton conductivity of solid solutions based on Nd2Hf2O7. Ceram. Intern. 2020, 46, 17383–17391. [Google Scholar] [CrossRef]
- Eurenius, K.E.J.; Ahlberg, E.; Knee, C.S. Role of B-site ion on proton conduction in acceptor-doped Sm2B2O7—δ (B = Ti, Sn, Zr and Ce) pyrochlores and C-type compounds. J. Chem. Soc. Dalton Trans. 2011, 40, 3946–3954. [Google Scholar] [CrossRef] [PubMed]
- Kharton, V.V.; Marques, F.M.B.; Atkinson, A. Transport properties of solid oxide electrolyte ceramics: A brief review. Solid State Ion. 2004, 174, 135–149. [Google Scholar] [CrossRef]
- Gorelov, V.P.; Balakireva, V.B.; Vorotnikov, V.A. Proton conductivity of acceptor-doped Sr2CeO4. Inorg. Mater. 2019, 55, 1167–1171. [Google Scholar] [CrossRef]
- Tarasova, N.A.; Galisheva, A.O.; Animitsa, I.E. Electrical conductivity of BaLaIn0.9M0.1O3.9 (M = Mg, Zn)—New complex oxides with the Ruddlesden–Popper structure. Inorg. Mater. 2021, 57, 60–67. [Google Scholar] [CrossRef]
- Perez, Y.; Jorba, M. ZrO2-rare-earth oxides systems. Ann. Chim. 1962, 7, 479–511. [Google Scholar]
- Rouanet, A. Contribution a l,etude des systemes zirconia—Oxides des lanthanides au voisinage de la fusion: Memoire de these. Rev. Intern. Hautes Temp. Refract. 1971, 8, 161–180. [Google Scholar]
- Shlyakhtina, A.V.; Belov, D.A.; Karyagina, O.K.; Shcherbakova, L.G. Ordering processes in Ln2TiO5 (Ln=Dy-Lu): The role of thermal history. J. Alloys Compd. 2009, 479, 6–10. [Google Scholar] [CrossRef]
- Lau, G.C.; McQueen, T.M.; Huang, Q.; Zandbergen, H.W.; Cava, R.J. Long- and short-range order in stuffed titanate pyrochlores. J. Solid State Chem. 2008, 181, 45–50. [Google Scholar] [CrossRef]
- Huang, Z.K.; Lin, Z.X.; Yen, T.S. Phase diagram Yb2O3—TiO2. Kuei Suan Yen Hsueh Pao/J. Chin. Cer. Soc. 1979, 7, 1–10. [Google Scholar]
- Arseniev, P.A.; Glushkova, V.B.; Evdokimov, A.A.; Keller, E.K.; Kravchenko, V.B.; Kravshinskaya, V.A.; Krzhihzanovskaya, V.A.; Kuznetsov, A.K.; Kurbanov, K.M.; Potemkin, A.V.; et al. Compounds of Rare-Earth Elements. Zirconates, Hafnates, Niobates, Tantalates, Antimonates; Nauka: Moskva, Russia, 1985; p. 261. (In Russian) [Google Scholar]
- Aronov, M.N. Laboratory vibrating eccentric mill. Instrum. Exp. Tech. 1959, 1, 153–154. [Google Scholar]
- Sivak, M.V.; Streletskii, A.N.; Kolbanev, I.V.; Leonov, A.V.; Degtyarev, E.N.; Permenov, D.G. Defect structure of nanosized mechanically activated MoO3. Colloid J. 2015, 77, 333–340. [Google Scholar] [CrossRef]
- Duran, P. Phase relationships HfO2—La2O3 and HfO2—Nd2O3. Ceramurg. Int. 1975, 1, 10–13. [Google Scholar] [CrossRef]
- Heremans, C.; Wuensch, B.J.; Stalick, J.K.; Prince, E. Fast-ion conducting Y2(ZryTi1-y)2O7 pyrochlores: Neutron Rietveld analysis of disorder induced by Zr substitution. J. Solid State Chem. 1995, 117, 108–121. [Google Scholar] [CrossRef]
- Zhang, Z.; Avdeev, M.; de los Reyes, M.; Lumpkin, G.R.; Kennedy, B.J.; Blanchard, P.E.R.; Liu, S.; Tadich, A.; Cowie, B.C.C. Probing long- and short-range disorder in Y2Ti2−xHfxO7 by diffraction and spectroscopy techniques. J. Phys. Chem. C 2016, 120, 26465–26479. [Google Scholar] [CrossRef]
- Labrincha, J.A.; Frade, J.R.; Marques, F.M.B. Protonic conduction in La2Zr2O7—Based pyrochlore materials. Solid State Ion. 1997, 99, 33–40. [Google Scholar] [CrossRef]
- Alvero, R.; Odriozola, J.A.; Trillo, J.M.; Bernal, S. Lanthanide Oxides: Preparation and Ageing. J. Chem. Soc. Dalton Trans. 1984, 1, 87391. [Google Scholar] [CrossRef]
- Colomban, P. Proton and Protonic Species: The Hidden Face of Solid State Chemistry. How to Measure H-Content in Materials? Fuel Cells 2013, 13, 6–18. [Google Scholar] [CrossRef]
- Omata, T.; Otsuka-Yao-Matsuo, S. Electrical properties of proton-conducting Ca2+—Doped La2Zr2O7 with a pyrochlore-type structure. J. Electrochem. Soc. 2001, 148, E252–E261. [Google Scholar] [CrossRef]
- Antonova, E.P.; Farlenkov, A.S.; Tropin, E.S.; Eremin, V.A.; Khodimchuk, A.V.; Ananiev, M.V. Oxygen isotope exchange, water uptake and electrical conductivity of Ca-doped lanthanum zirconate. Solid State Ion. 2017, 306, 112–117. [Google Scholar] [CrossRef]
- Shlyakhtina, A.V.; Abrantes, J.C.C.; Gomes, E.; Lyskov, N.V.; Konysheva, E.Y.; Chernyak, S.A.; Kharitonova, E.P.; Karyagina, O.K.; Kolbanev, I.V.; Shcherbakova, L.G. Evolution of oxygen-ion and proton conductivity in Ca doped Ln2Zr2O7 (Ln = Sm, Gd), located near pyrochlore—fluorite phase boundary. Materials 2019, 12, 2452. [Google Scholar] [CrossRef] [Green Version]
- Kasyanova, A.V.; Radenko, A.O.; Lyagaeva, Y.G.; Medvedev, D.A. Lanthanum-Containing Proton-Conducting Electrolytes with Perovskite Structures. Membr. Membr. Technol. 2021, 3, 73–97. [Google Scholar] [CrossRef]
- Shlyakhtina, A.V.; Lyskov, N.V.; Konysheva, E.Y.; Chernyak, S.A.; Kolbanev, I.V.; Vorobieva, G.A.; Shcherbakova, L.G. Gas-tight proton-conducting Nd2−xCaxZr2O7−δ (x = 0, 0.05) ceramics. J. Solid State Electrochem. 2020, 24, 1475–1486. [Google Scholar] [CrossRef]
- Xia, X.-L.; Ouyang, J.-H.; Liu, Z.-G. Influence of CaO on structure and electrical conductivity of pyrochlore –type Sm2Zr2O7. J Powder Sources 2009, 189, 888–893. [Google Scholar] [CrossRef]
- Omata, T.; Ikeda, K.; Tokashiki, R.; Otsuka-Yao-Matsuo, S. Proton solubility for La2Zr2O7 with a pyrochlore structure doped with a series of alkaline-earth ions. Solid State Ion. 2004, 167, 389–397. [Google Scholar] [CrossRef]
- Zhong, F.; Zhao, J.; Shi, L.; Xiao, Y.; Cai, G.; Zheng, Y.; Long, J. Alkalin-Earth Metals-Doped Pyrochlore Gd2Zr2O7 as oxygen conductors for improved NO2 sensing performance. Sci. Rep. 2017, 7, 4684. [Google Scholar] [CrossRef] [PubMed] [Green Version]
Publisher’s Note: MDPI stays neutral with regard to jurisdictional claims in published maps and institutional affiliations. |
© 2022 by the authors. Licensee MDPI, Basel, Switzerland. This article is an open access article distributed under the terms and conditions of the Creative Commons Attribution (CC BY) license (https://creativecommons.org/licenses/by/4.0/).




