Defect-Induced Modulation of a 2D ZnO/Graphene Heterostructure: Exploring Structural and Electronic Transformations
Abstract
1. Introduction
2. Methods
3. Results and Discussion
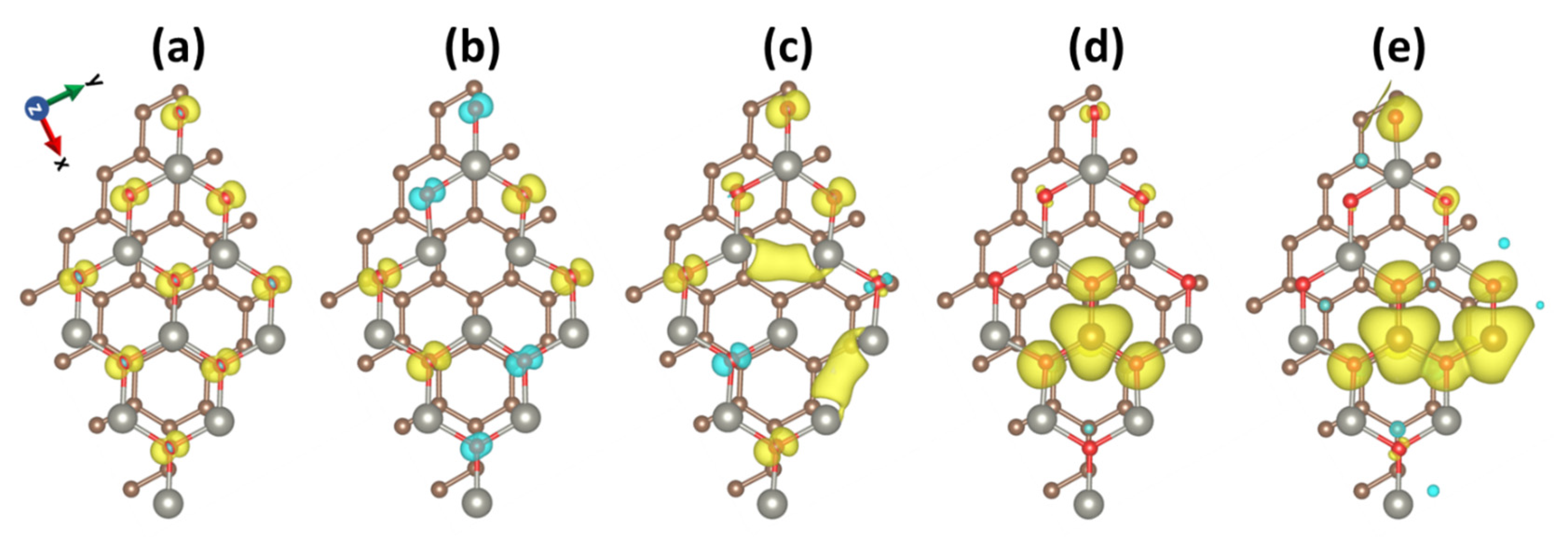
3.1. Structural Properties
3.2. Electronic Properties
3.3. Hydrogen-Adsorption Properties
4. Conclusions
Supplementary Materials
Funding
Institutional Review Board Statement
Informed Consent Statement
Data Availability Statement
Acknowledgments
Conflicts of Interest
References
- Son, S.; Cho, Y.; Hong, H.-K.; Lee, J.; Kim, J.H.; Kim, K.; Lee, Y.; Yoon, A.; Shin, H.-J.; Lee, Z. Spontaneous Formation of a ZnO Monolayer by the Redox Reaction of Zn on Graphene Oxide. ACS Appl. Mater. Interfaces 2020, 12, 54222–54229. [Google Scholar] [CrossRef] [PubMed]
- Fabris, G.S.L.; Marana, N.L.; Laranjeira, J.A.S.; Longo, E.; Sambrano, J.R. New Two-Dimensional Zinc Oxide Nanosheets: Properties, Stability, and Interconversion. Mater. Lett. 2020, 275, 128067. [Google Scholar] [CrossRef]
- Wang, J.; Yang, H.; Yang, P. Photoelectric Properties of 2D ZnO, Graphene, Silicene Materials and Their Heterostructures. Compos. Part B 2022, 233, 109645. [Google Scholar] [CrossRef]
- Peng, Q.; Liang, C.; Ji, W.; De, S. A First Principles Investigation of the Mechanical Properties of g-ZnO: The Graphene-like Hexagonal Zinc Oxide Monolayer. Comput. Mater. Sci. 2013, 68, 320–324. [Google Scholar] [CrossRef]
- Rahimi, K. Tunable Electronic Properties of the Novel g-ZnO/1T-TiS2 vdW Heterostructure by Electric Field and Strain: Crossovers in Bandgap and Band Alignment Types. Phys. Chem. Chem. Phys. 2020, 22, 7412–7420. [Google Scholar] [CrossRef]
- Sikam, P.; Takahashi, K.; Roongcharoen, T.; Jitwatanasirikul, T.; Chitpakdee, C.; Faungnawakij, K.; Namuangruk, S. Effect of 3d-Transition Metals Doped in ZnO Monolayers on the CO2 Electrochemical Reduction to Valuable Products: First Principles Study. Appl. Surf. Sci. 2021, 550, 149380. [Google Scholar] [CrossRef]
- Ta, H.Q.; Zhao, L.; Pohl, D.; Pang, J.; Trzebicka, B.; Rellinghaus, B.; Pribat, D.; Gemming, T.; Liu, Z.; Bachmatiuk, A.; et al. Graphene-Like ZnO: A Mini Review. Crystals 2016, 6, 100. [Google Scholar] [CrossRef]
- Luo, X.; Wang, G.; Huang, Y.; Wang, B.; Yuan, H.; Chen, H. Bandgap Engineering of the g-ZnO Nanosheet via Cationic-Anionic Passivated Codoping for Visible-Light-Driven Photocatalysis. J. Phys. Chem. C 2017, 121, 18534–18543. [Google Scholar] [CrossRef]
- Leonardi, S.G. Two-Dimensional Zinc Oxide Nanostructures for Gas Sensor Applications. Chemosensors 2017, 5, 17. [Google Scholar] [CrossRef]
- Krishna, M.S.; Singh, S.; Batool, M.; Fahmy, H.M.; Seku, K.; Shalan, A.E.; Lanceros-Mendez, S.; Zafar, M.N. A review on 2D-ZnO nanostructure based biosensors: From materials to devices. Mater. Adv. 2023, 4, 320–354. [Google Scholar] [CrossRef]
- Napi, M.L.M.; Sultan, S.M.; Ismail, R.; How, K.W.; Ahmad, M.K. Electrochemical-Based Biosensors on Different Zinc Oxide Nanostructures: A Review. Materials 2019, 12, 2985. [Google Scholar] [CrossRef]
- Sahoo, T.; Nayak, S.K.; Chelliah, P.; Rath, M.K.; Parida, B. Observations of Two-Dimensional Monolayer Zinc Oxide. Mater. Res. Bull. 2016, 75, 134–138. [Google Scholar] [CrossRef]
- Hong, H.-K.; Jo, J.; Hwang, D.; Lee, J.; Kim, N.Y.; Son, S.; Kim, J.H.; Jin, M.-J.; Jun, Y.C.; Erni, R.; et al. Atomic Scale Study on Growth and Heteroepitaxy of ZnO Monolayer on Graphene. Nano Lett. 2017, 17, 120–127. [Google Scholar] [CrossRef]
- Chen, L.; Cui, Y.; Xiong, Z.; Zhou, M.; Gao, Y. Chemical Functionalization of the ZnO Monolayer: Structural and Electronic Properties. RSC Adv. 2019, 9, 21831–21843. [Google Scholar] [CrossRef]
- Zhou, Q.; Zhang, G.; Tian, S.; Zhang, X. First-Principles Insight into Pd-Doped ZnO Monolayers as a Promising Scavenger for Dissolved Gas Analysis in Transformer Oil. ACS Omega 2020, 5, 17801–17807. [Google Scholar] [CrossRef]
- Ekuma, C.E.; Najmaei, S. Graphene/ZnO van der Waals Stacks for Thermal Management. ACS Appl. Nano Mater. 2020, 3, 7136–7142. [Google Scholar] [CrossRef]
- Sahatiya, P.; Jones, S.S.; Gomathi, P.T.; Badhulika, S. Flexible substrate based 2D ZnO (n)/graphene (p) rectifying junction as enhanced broadband photodetector using strain modulation. 2D Mater. 2017, 4, 025053. [Google Scholar] [CrossRef]
- Marfoua, B.; Hong, J. Graphene Induced High Thermoelectric Performance in ZnO/Graphene Heterostructure. Adv. Mater. Interfaces 2023, 10, 2202387. [Google Scholar] [CrossRef]
- Zhang, H.; Lv, R. Defect engineering of two-dimensional materials for efficient electrocatalysis. J. Mater. 2018, 4, 95–107. [Google Scholar] [CrossRef]
- Liu, F.; Fan, Z. Defect engineering of two-dimensional materials for advanced energy conversion and storage. Chem. Soc. Rev. 2023, 52, 1723–1772. [Google Scholar] [CrossRef]
- Chen, H.; Qu, Y.; Ding, J.; Fu, H. Adsorption behavior of graphene-like ZnO monolayer with oxygen vacancy defects for NO2: A DFT study. Superlattices Microstruct. 2019, 134, 106223. [Google Scholar] [CrossRef]
- Yang, R.; Du, Y. Adsorption and dissociation of a single water molecule on graphene-like ZnO monolayer with oxygen vacancies: A first-principles study. Phys. Scr. 2023, 98, 035826. [Google Scholar] [CrossRef]
- Yao, Q.; Liu, Y.; Lu, R.; Xiao, C.; Deng, K.; Kan, E. Will a graphitic-like ZnO single-layer be an ideal substrate for graphene? RSC Adv. 2014, 4, 17478–17482. [Google Scholar] [CrossRef]
- Liu, Y.; Yang, X. Effects of Fe doping on the magnetic and absorption spectrum of graphene-like ZnO monolayer from first-principles calculations. Chem. Phys. 2023, 565, 111742. [Google Scholar] [CrossRef]
- Ghorbanzadeh Ahangari, M.; Mashhadzadeh, A.H.; Fathalian, M.; Dadrasi, A.; Rostamiyan, Y.; Mallahi, A. Effect of various defects on mechanical and electronic properties of zinc-oxide graphene-like structure: A DFT study. Vacuum 2019, 165, 26–34. [Google Scholar] [CrossRef]
- Soler, J.M.; Artacho, E.; Gale, J.D.; García, A.; Junquera, J.; Ordejón, P.; Sánchez-Portal, D.T. The SIESTA method for ab initio order-N materials simulation. J. Phys. Condens. Matter 2002, 14, 2745–2779. [Google Scholar] [CrossRef]
- Perdew, J.P.; Burke, K.; Ernzerhof, M. Generalized Gradient Approximation Made Simple. Phys. Rev. Lett. 1996, 77, 3865. [Google Scholar] [CrossRef]
- Grimme, S. Semiempirical GGA-type density functional constructed with a long-range dispersion correction. J. Comput. Chem. 2006, 27, 1787–1799. [Google Scholar] [CrossRef]
- Bashyal, K.; Pyles, C.K.; Afroosheh, S.; Lamichhane, A.; Zayak, A.T. Empirical optimization of DFT + U and HSE for the band structure of ZnO. J. Phys. Condens. Matter 2018, 30, 065501. [Google Scholar] [CrossRef]
- Dudarev, S.L.; Botton, G.A.; Savrasov, S.Y.; Humphreys, C.J.; Sutton, A.P. Electron-energy-loss spectra and the structural stability of nickel oxide: An LSDA+U study. Phys. Rev. B 1998, 57, 1505. [Google Scholar] [CrossRef]
- Wu, H.-C.; Peng, Y.-C.; Shen, T.-P. Electronic and Optical Properties of Substitutional and Interstitial Si-Doped ZnO. Materials 2012, 5, 2088–2100. [Google Scholar] [CrossRef]
- Shtepliuk, I.; Yakimova, R. Interaction of H and Li with epitaxial graphene on SiC: A comparative analysis by first principles study. Appl. Surf. Sci. 2021, 568, 150988. [Google Scholar] [CrossRef]
- Shtepliuk, I.; Yakimova, R. Computational Appraisal of Silver Nanocluster Evolution on Epitaxial Graphene: Implications for CO Sensing. ACS Omega 2021, 6, 38, 24739–24751. [Google Scholar] [CrossRef]
- Shtepliuk, I.; Ivanov, I.G.; Pliatsikas, N.; Iakimov, T.; Lara-Avila, S.; Ho Kim, K.; Ben Sedrine, N.; Kubatkin, S.E.; Sarakinos, K.; Yakimova, R. Clustering and Morphology Evolution of Gold on Nanostructured Surfaces of Silicon Carbide: Implications for Catalysis and Sensing. ACS Appl. Nano Mater. 2021, 4, 1282–1293. [Google Scholar] [CrossRef]
- Shtepliuk, I.; Vagin, M.; Khan, Z.; Zakharov, A.A.; Iakimov, T.; Giannazzo, F.; Ivanov, I.G.; Yakimova, R. Understanding of the Electrochemical Behavior of Lithium at Bilayer-Patched Epitaxial Graphene/4H-SiC. Nanomaterials 2022, 12, 2229. [Google Scholar] [CrossRef]
- Available online: https://departments.icmab.es/leem/siesta/Pseudopotentials/ (accessed on 2 May 2023).
- Nørskov, J.K.; Bligaard, T.; Logadottir, A.; Kitchin, J.R.; Chen, J.G.; Pandelov, S.; Stimming, U. Trends in the Exchange Current for Hydrogen Evolution. J. Electrochem. Soc. 2005, 152, J23–J26. [Google Scholar] [CrossRef]
- Gong, A.; Feng, Y.; Liu, C.; Chen, J.; Wang, Z.; Shen, T. A promising ZnO/Graphene van der Waals heterojunction as solar cell devices: A first-principles study. Energy Rep. 2022, 8, 904–910. [Google Scholar] [CrossRef]
- Tung, R.T. The physics and chemistry of the Schottky barrier height. Appl. Phys. Rev. 2014, 1, 011304. [Google Scholar] [CrossRef]
- Liu, Y.; Guo, J.; Zhu, E.; Liao, L.; Lee, S.-J.; Ding, M.; Shakir, I.; Gambin, V.; Huang, Y.; Duan, X. Approaching the Schottky–Mott Limit in van der Waals Metal–Semiconductor Junctions. Nature 2018, 557, 696–700. [Google Scholar] [CrossRef]
- Li, H.; Xu, Y.-K.; Cheng, Z.-P.; He, B.-G.; Zhang, W.-B. Spin-Dependent Schottky Barriers and Vacancy Induced Spin-Selective Ohmic Contacts in Magnetic vdW Heterostructures. Phys. Chem. Chem. Phys. 2020, 22, 9460. [Google Scholar] [CrossRef]
- Klein, D.R.; MacNeill, D.; Lado, J.L.; Soriano, D.; Navarro-Moratalla, E.; Watanabe, K.; Taniguchi, T.; Manni, S.; Canfield, P.; Fernández-Rossier, J.; et al. Magnetic Field Effect in Electrostatically Doped Twisted Graphene/hBN/Graphene Trilayers. Science 2018, 360, 1218–1222. [Google Scholar] [CrossRef] [PubMed]
- Song, T.; Cai, X.; Tu, M.W.-Y.; Zhang, X.; Huang, B.; Wilson, N.P.; Seyler, K.L.; Zhu, L.; Taniguchi, T.; Watanabe, K.; et al. Giant Tunneling Magnetoresistance in Spin-Filter van der Waals Heterostructures. Science 2018, 360, 1214–1218. [Google Scholar] [CrossRef] [PubMed]
- Jiang, S.; Li, L.; Wang, Z.; Shan, J.; Mak, K.F. Spin Tunnel Field-Effect Transistors Based on Two-Dimensional van der Waals Heterostructures. Nat. Electron. 2019, 2, 159–163. [Google Scholar] [CrossRef]
- Zhan, P.; Wang, W.; Liu, C.; Hu, Y.; Li, Z.; Zhang, Z.; Zhang, P.; Wang, B.; Cao, X. Oxygen Vacancy-Induced Ferromagnetism in Undoped ZnO Thin Films. J. Appl. Phys. 2012, 111, 033501–1–033501–5. [Google Scholar] [CrossRef]
- Rajan, C.P.; Abharana, N.; Jha, S.N.; Bhattacharyya, D.; John, T.T. Local Structural Studies Through EXAFS and Effect of Fe2+ or Fe3+ Existence in ZnO Nanoparticles. J. Phys. Chem. C 2021, 125, 24, 13523–13533. [Google Scholar] [CrossRef]
- Cheng, W.; Ma, X. Structural, Optical and Magnetic Properties of Fe-Doped ZnO. J. Phys. Conf. Ser. 2009, 152, 012039. [Google Scholar] [CrossRef]
- Beltrán, J.J.; Barreroa, C.A.; Punnoose, A. Understanding the Role of Iron in the Magnetism of Fe-Doped ZnO Nanoparticles. Phys. Chem. Chem. Phys. 2015, 17, 15284–15296. [Google Scholar] [CrossRef]








| Structure | D, Å | Mean Zn-O Bond Length, Å | Eadh, eV | ED, eV | Φn, eV | Φp, eV |
|---|---|---|---|---|---|---|
| 2D ZnO/G | 2.931 | 2.001 | −0.076 | 0 [0] | 1.578 [1.571] | 0.520 [0.516] |
| 1VO-2D ZnO/G | 2.925 | 2.022 | −0.077 | −0.231 [−0.231] | 1.354 [1.354] | 0.636 [0.635] |
| 2VO-2D ZnO/G | 2.913 | 2.027 | −0.080 | −0.524 [−0.524] | 0.915 [0.915] | −0.016 [−0.018] |
| 1Fe-2D ZnO/G | 2.924 | 2.019 | −0.091 | −0.619 [−0.643] | 0.931 [0.897] | 1.508 [0] |
| 2Fe-2D ZnO/G | 2.912 | 2.032 | −0.096 | −0.663 [−0.691] | 0.816 [0.832] | 1.495 [0] |
Disclaimer/Publisher’s Note: The statements, opinions and data contained in all publications are solely those of the individual author(s) and contributor(s) and not of MDPI and/or the editor(s). MDPI and/or the editor(s) disclaim responsibility for any injury to people or property resulting from any ideas, methods, instructions or products referred to in the content. |
© 2023 by the author. Licensee MDPI, Basel, Switzerland. This article is an open access article distributed under the terms and conditions of the Creative Commons Attribution (CC BY) license (https://creativecommons.org/licenses/by/4.0/).
Share and Cite
Shtepliuk, I. Defect-Induced Modulation of a 2D ZnO/Graphene Heterostructure: Exploring Structural and Electronic Transformations. Appl. Sci. 2023, 13, 7243. https://doi.org/10.3390/app13127243
Shtepliuk I. Defect-Induced Modulation of a 2D ZnO/Graphene Heterostructure: Exploring Structural and Electronic Transformations. Applied Sciences. 2023; 13(12):7243. https://doi.org/10.3390/app13127243
Chicago/Turabian StyleShtepliuk, Ivan. 2023. "Defect-Induced Modulation of a 2D ZnO/Graphene Heterostructure: Exploring Structural and Electronic Transformations" Applied Sciences 13, no. 12: 7243. https://doi.org/10.3390/app13127243
APA StyleShtepliuk, I. (2023). Defect-Induced Modulation of a 2D ZnO/Graphene Heterostructure: Exploring Structural and Electronic Transformations. Applied Sciences, 13(12), 7243. https://doi.org/10.3390/app13127243

