Research on the Vehicle Steering and Braking Stability Region
Abstract
1. Introduction
2. Stability Analysis of 5DOF Steering and Braking Vehicle Model
2.1. Vehicle Model
2.2. Tire Model
2.3. Model Validation
3. Solution of Equivalent Equilibrium Point
3.1. Introducing the D’Alembert Principle into the 5DOF Model
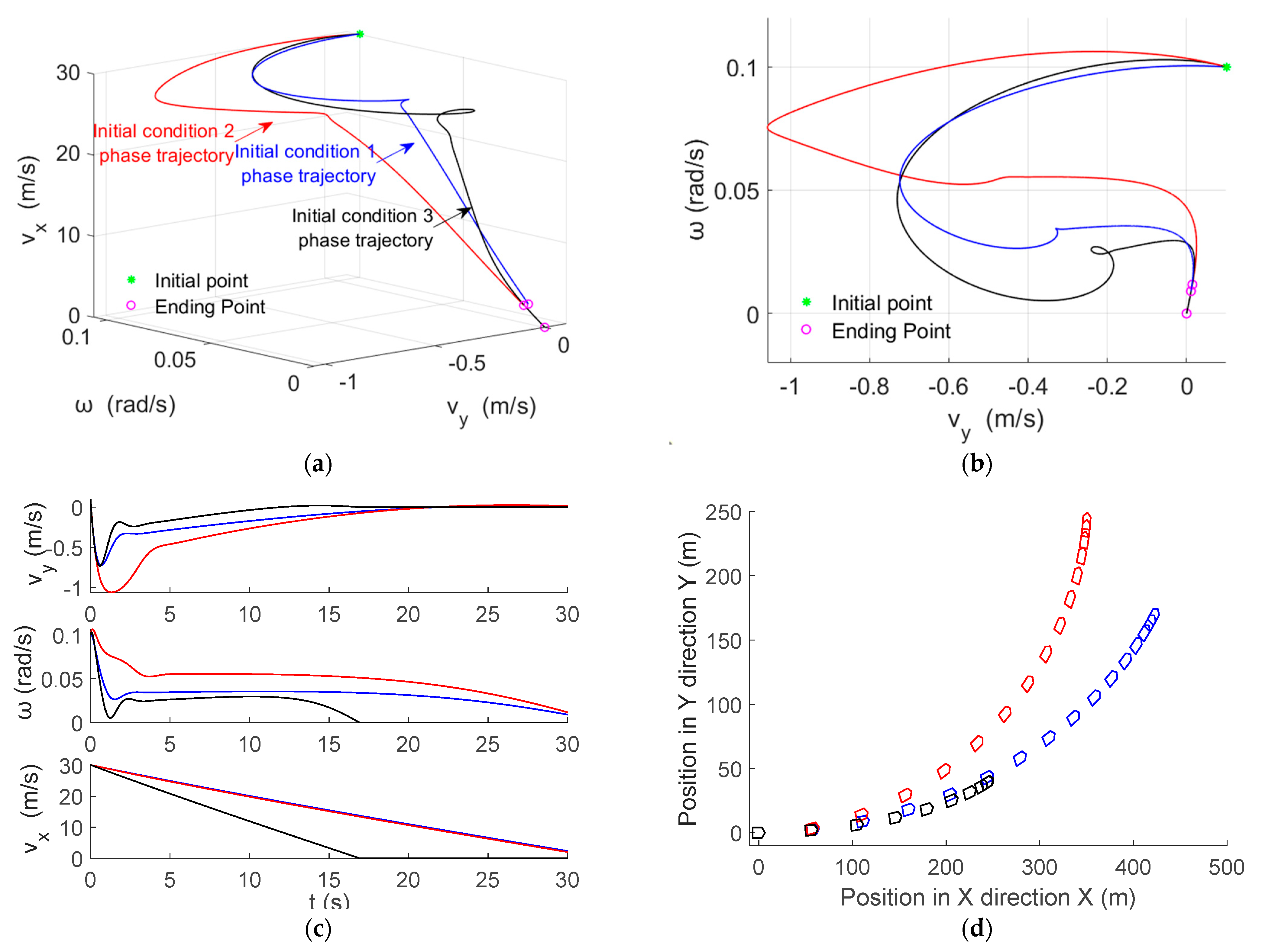
3.2. Analysis of Bifurcation Characteristics of Equilibrium Point
4. Solution of Stability Region
4.1. Solution Procedure
4.2. Fitting of Three-Dimensional Stable Region
5. Verification Based on the Energy Dissipation Method
5.1. Analysis of Energy Dissipation Process
5.2. Comparison and Verification
6. Conclusions
- (1)
- A 5DOF vehicle dynamic model has been established that can analyze the stability of vehicles under steering and braking conditions effectively. The application conditions of braking torque, the locking of front and rear wheels, and the limitation of road adhesion are considered in the model. The validation results indicate that this model can describe the dynamic characteristics of vehicle braking and steering conditions accurately. It can serve as the basic model for braking and steering stability analysis.
- (2)
- The original system has been transformed into the equivalent system by using the D’Alembert principle. The equilibrium points of the equivalent system are solved by the hybrid algorithm combining the genetic algorithm and sequential quadratic programming method. The bifurcation diagram of the equilibrium point with the braking torque is calculated. The results indicate that as the braking torque increases, the number of equilibrium points increases to three from one, and the system state changes to stable from unstable. The bifurcation characteristics have been confirmed by the phase portrait.
- (3)
- The process of solving the stability region under steering and braking conditions has been determined, and the two-dimensional bifurcation parameter set (front wheel steering angle and braking torque) has been obtained for different longitudinal velocities. The three-dimensional stability region (longitudinal velocity, front wheel steering angle and braking torque) was fitted and verified.
- (4)
- Stable regions of the system with and without inertia force have been solved using the energy dissipation method, and compared with the stability region obtained by the equivalent static bifurcation method. The results indicate that the equilibrium point bifurcation method proposed in this paper for steering and braking conditions can effectively solve the stability region of the equivalent system. The stability region of the equivalent system is almost the same as that of the original system without applying virtual force. When the limited braking torque is 500 N·m and the initial longitudinal velocity increases from 30 m/s to 50 m/s, the range of the stable region significantly decreases, and the absolute value of the front wheel steering angle at the boundary point changes from less than 0.02 rad to more than 0.02 rad.
Author Contributions
Funding
Data Availability Statement
Conflicts of Interest
Nomenclature
| braking torque | |
| actual body yaw rate | |
| expected body yaw rate | |
| vehicle mass | |
| , | distance from the front and rear wheels to the center of mass |
| sum of the front and rear wheelbases | |
| vehicle stability factor | |
| , | cornering stiffness of the front and rear wheels |
| , | stiffness factor of front and rear wheels |
| , | shape factor of the front and rear wheels |
| , | peak factor of front and rear wheels |
| , | lateral and longitudinal velocity of vehicle |
| , | angular velocity of front and rear wheels |
| , | braking torque of front and rear wheels |
| , | longitudinal tire force of front and rear wheels |
| , | lateral tire force of front and rear wheels |
| wheel rolling radius | |
| moment of inertia of the wheel | |
| moment of inertia of the vehicle around the Z axis | |
| , | steering angle of front and rear wheels |
| , | longitudinal and lateral air drag coefficient |
| , | longitudinal and lateral windward area of the vehicle |
| the total load of the front and rear wheels of the vehicle | |
| , | the braking force of the front and rear wheel brake |
| , | the front and rear wheel load |
| air density | |
| adhesion coefficient | |
| the braking torque distribution coefficient | |
| gravity | |
| longitudinal slip rate or sideslip angle | |
| stiffness factor, shape factor, peak factor, curvature factor | |
| tire sideslip angle | |
| longitudinal slip | |
| , | tire force combined slip correction parameters |
| , , | longitudinal force and lateral force of front and rear tires in steady state |
| , , , | tire combined slip correction coefficients |
| wheel rotation angular velocity | |
| longitudinal velocity at the wheel center in the tire coordinate system | |
| sideslip angle of front and rear wheels | |
| longitudinal velocity of the front and rear wheels in the tire coordinate system | |
| lateral velocity of front and rear wheels in tire coordinate system | |
| system parameter | |
| longitudinal velocity, lateral velocity at the end of the simulation | |
| , | yaw rate, and front and rear wheel angular velocity at the end of the simulation |
| longitudinal velocity, lateral velocity at the start of the simulation | |
| , | yaw rate, and front and rear wheel angular velocity at the start of the simulation |
| the work done by the braking torque | |
| , | the dissipation of wheel rotational energy caused by tire longitudinal slip, the energy dissipation caused by the lateral force generated by the cornering characteristics between the tire and the ground, the energy dissipation caused by air resistance |
| the rotational kinetic energy of the vehicle body at the end of the simulation time, the rotational kinetic energy of the vehicle body at the initial simulation time, | |
| , | the sum of the lateral translational kinetic energy and yaw kinetic energy of the vehicle body at the end of the simulation time, the sum of the lateral translational kinetic energy and yaw kinetic energy of the vehicle body at the initial simulation time |
References
- Meng, F.; Shi, S.; Bai, M.; Zhang, B.; Li, Y.; Lin, N. Dissipation of energy analysis approach for vehicle plane motion stability. Veh. Syst. Dyn. 2021, 60, 4035–4058. [Google Scholar] [CrossRef]
- Inagaki, S.; Kushiro, I.; Yamamoto, M. Analysis on vehicle stability in critical cornering using phase-plane method. Jsae Rev. 1995, 2, 216. [Google Scholar]
- Ono, E.; Hosoe, S.; Tuan, H.D.; Doi, S.I. Bifurcation in vehicle dynamics and robust front wheel steering control. IEEE Trans. Control Syst. Technol. 1998, 6, 412–420. [Google Scholar] [CrossRef]
- Liaw, D.-C.; Chiang, H.-H.; Lee, T.-T. Elucidating vehicle lateral dynamics using a bifurcation analysis. IEEE Trans. Intell. Transp. Syst. 2007, 8, 195–207. [Google Scholar] [CrossRef]
- Shen, S.; Wang, J.; Shi, P.; Premier, G. Nonlinear dynamics and stability analysis of vehicle plane motions. Veh. Syst. Dyn. 2007, 45, 15–35. [Google Scholar] [CrossRef]
- Sadri, S.; Wu, C.Q. Lateral stability analysis of on-road vehicles using Lyapunov’s direct method. In Proceedings of the Intelligent Vehicles Symposium, Madrid, Spain, 3–7 June 2012. [Google Scholar]
- Sadri, S.; Wu, C. Stability analysis of a nonlinear vehicle model in plane motion using the concept of Lyapunov exponents. Veh. Syst. Dyn. 2013, 51, 906–924. [Google Scholar] [CrossRef]
- Della Rossa, F.; Mastinu, G. Straight ahead running of a nonlinear car and driver model—New nonlinear behaviours highlighted. Veh. Syst. Dyn. 2018, 56, 753–768. [Google Scholar] [CrossRef]
- Mastinu, G.; Biggio, D.; Della Rossa, F.; Fainello, M. Straight running stability of automobiles: Experiments with a driving simulator. Nonlinear Dyn. 2020, 99, 2801–2818. [Google Scholar] [CrossRef]
- Steindl, A.; Edelmann, J.; Plöchl, M. Limit cycles at oversteer vehicle. Nonlinear Dyn. 2020, 99, 313–321. [Google Scholar] [CrossRef]
- Liu, L.; Shi, S.; Shen, S.; Chu, J. Vehicle Planar Motion Stability Study for Tyres Working in Extremely Nonlinear Region. Chin. J. Mech. Eng. 2010, 23, 185–194. [Google Scholar] [CrossRef]
- Imani Masouleh, M.; Limebeer, D.J. Region of attraction analysis for nonlinear vehicle lateral dynamics using sum-of-squares programming. Veh. Syst. Dyn. 2018, 56, 1118–1138. [Google Scholar] [CrossRef]
- Wang, X.; Shi, S.; Liu, L.; Jin, L. Analysis of driving mode effect on vehicle stability. Int. J. Automot. Technol. 2013, 14, 363–373. [Google Scholar] [CrossRef]
- Shi, S.; Li, L.; Wang, X.; Liu, H.; Wang, Y. Analysis of the vehicle driving stability region based on the bifurcation of the driving torque and the steering angle. Proc. Inst. Mech. Eng. Part D-J. Automob. Eng. 2017, 231, 984–998. [Google Scholar] [CrossRef]
- Shi, S.; Meng, F.; Bai, M.; Lin, N. The stability analysis using Lyapunov exponents for high-DOF nonlinear vehicle plane motion. Proc. Inst. Mech. Eng. Part D-J. Automob. Eng. 2022, 236, 1390–1400. [Google Scholar] [CrossRef]
- Meng, F.; Shi, S.; Li, Y.; Zhang, B.; Yue, B.; Lin, N. Driving stability region solving method based on dissipation of energy. Proc. Inst. Mech. Eng. Part D-J. Automob. Eng. 2022, 237, 852–861. [Google Scholar] [CrossRef]
- Olson, B.J.; Shaw, S.W.; Stépán, G. Stability and bifurcation of longitudinal vehicle braking. Nonlinear Dyn. 2005, 40, 339–365. [Google Scholar] [CrossRef]
- Horiuchi, S.; Okada, K.; Nohtomi, S. Analysis of accelerating and braking stability using constrained bifurcation and continuation methods. Veh. Syst. Dyn. 2008, 46, 585–597. [Google Scholar] [CrossRef]
- Chen, K.; Pei, X.; Ma, G.; Guo, X. Longitudinal/Lateral Stability Analysis of Vehicle Motion in the Nonlinear Region. Math. Probl. Eng. 2016, 2016, 3419108. [Google Scholar] [CrossRef]
- Zhu, J.; Zhang, S.; Wang, G.; Zhang, W.; Zhang, S. Research on vehicle stability region under critical driving situations with static bifurcation theory. Proc. Inst. Mech. Eng. Part D-J. Automob. Eng. 2021, 235, 2072–2085. [Google Scholar] [CrossRef]
- Lai, F.; Huang, C.; Ye, X. Analysis of Vehicle Driving Stability based on Longitudinal-lateral and Vertical Unified Dynamics Model. Int. J. Automot. Technol. 2022, 23, 73–87. [Google Scholar] [CrossRef]
- Gürbüz, H.; Buyruk, S. Improvement of safe stopping distance and accident risk coefficient based on active driver sight field on real road conditions. IET Intell. Transp. Syst. 2019, 13, 1843–1850. [Google Scholar] [CrossRef]
- Li, Z.; Chen, H.; Liu, H.; Wang, P.; Gong, X. Integrated Longitudinal and Lateral Vehicle Stability Control for Extreme Conditions With Safety Dynamic Requirements Analysis. IEEE Trans. Intell. Transp. Syst. 2022, 23, 19285–19298. [Google Scholar] [CrossRef]
- Wang, Y.; Shi, S.; Gao, S.; Xu, Y.; Wang, P. Active Steering and Driving/Braking Coupled Control Based on Flatness Theory and A Novel Reference Calculation Method. IEEE Access 2019, 7, 180661–180670. [Google Scholar] [CrossRef]
- Wang, J.; Luo, Z.; Wang, Y.; Yang, B.; Assadian, F. Coordination Control of Differential Drive Assist Steering and Vehicle Stability Control for Four-Wheel-Independent-Drive EV. IEEE Trans. Veh. Technol. 2018, 67, 11453–11467. [Google Scholar] [CrossRef]
- Hucho, W.H. Aerodynamics of Road Vehicles: From Fluid Mechanics to Vehicle Engineering; Elsevier: Berlin/Heidelberg, Germany, 2013. [Google Scholar]
- Yu, Z. Automobile Theory; China Machine Press: Beijing, China, 2009. [Google Scholar]
- Wang, X.; Shi, S. Vehicle coupled bifurcation analysis of steering angle and driving torque. Proc. Inst. Mech. Eng. Part D-J. Automob. Eng. 2021, 235, 1864–1875. [Google Scholar] [CrossRef]
- Pacejka, H.B.; Bakker, E. The magic formula tyre model. Veh. Syst. Dyn. 1992, 21, 1–18. [Google Scholar] [CrossRef]
- Pacejka, H.B. Tire and Vehicle Dynamics; Elsevier: Amsterdam, The Netherlands, 2006. [Google Scholar]
- Milani, S.; Marzbani, H.; Jazar, R.N. Vehicle drifting dynamics: Discovery of new equilibria. Veh. Syst. Dyn. 2022, 60, 1933–1958. [Google Scholar] [CrossRef]
- Wang, X.; Shi, S.; Liu, L.; Jin, L. Vehicle Dynamics Equilibriums Solution Search Based on Hybridization of Genetic Algorithm and Quasi-Newton Method. Chin. J. Mech. Engng. 2014, 50, 120–127. [Google Scholar] [CrossRef]














| Component Names and Parameters | Values |
|---|---|
| vehicle mass m/kg | 1500 |
| yaw moment of inertia Iz/kg·m2 | 3000 |
| the distance from the front axle to the mass center lf/m | 1.2 |
| the distance from the rear axle to the mass center lr/m | 1.3 |
| yaw moment of inertia of the wheels J/kg·m2 | 2.0 |
| longitudinal air resistance coefficient Cair_x | 0.3 |
| the lateral air resistance coefficient Cair_y | 0.4 |
| the longitudinal area of the vehicle AL_x/m2 | 1.7 |
| the lateral area of the vehicle AL_y/m2 | 3.5 |
| the density of air ρ/kg/m3 | 1.2258 |
| the rolling radius of the wheels Re/m | 0.224 |
| Tire | Longitudinal Tire Parameters | Lateral Tire Parameters | Longitudinal Combined Slip Coefficients | Lateral Combined Slip Coefficients | ||||||||
|---|---|---|---|---|---|---|---|---|---|---|---|---|
| B | C | D | E | B | C | D | E | rx,1 | rx,2 | ry,1 | ry,2 | |
| Front | 11.275 | 1.56 | 2574.8 | 0.4109 | 11.275 | 1.56 | 2574.7 | −1.999 | 35 | 40 | 40 | 35 |
| Rear | 18.631 | 1.56 | 1749.6 | 0.4108 | 18.631 | 1.56 | 1749.7 | −1.7908 | ||||
| Initial Conditions | vx (m/s) | vy (m/s) | ω (rad/s) | δf (rad) | Tb (N·m) |
|---|---|---|---|---|---|
| 1 | 30 | 0.1 | 0.1 | 0.010 | 300 |
| 2 | 30 | 0.1 | 0.1 | 0.015 | 300 |
| 3 | 30 | 0.1 | 0.1 | 0.015 | 600 |
(N·m) | Vehicle Dynamics Equilibriums | Rate of System Variable Change | Fitness | ||||||||
|---|---|---|---|---|---|---|---|---|---|---|---|
(m/s) | (rad/s) | (m/s) | (rad/s) | (rad/s) | |||||||
| 272.16 | −0.8008 | 0.0600 | 29.9973 | 132.3378 | 132.5518 | 0.0000 | 0.0023 | −0.0621 | 0.0001 | 0.0000 | 0.0646 |
| 322.56 | −0.6604 | 0.0509 | 29.9670 | 129.5839 | 132.2900 | 0.0000 | 0.0000 | −0.0452 | 0.0000 | 0.0000 | 0.0452 |
| 372.96 | −0.5614 | 0.0435 | 29.9687 | 129.0988 | 132.1528 | 0.0000 | 0.0012 | −0.0343 | 0.0004 | 0.0000 | 0.0359 |
| 423.36 | −0.4939 | 0.0379 | 29.9494 | 128.4523 | 131.9026 | 0.0000 | 0.0000 | −0.0270 | 0.0000 | 0.0000 | 0.0271 |
| 473.76 | −0.4302 | 0.0325 | 29.9691 | 127.9211 | 131.8235 | 0.0000 | 0.0009 | −0.0213 | 0.0000 | 0.0000 | 0.0222 |
(N·m) | Vehicle Dynamics Equilibriums | Rate of System Variable Change | Fitness | ||||||||
|---|---|---|---|---|---|---|---|---|---|---|---|
(m/s) | (rad/s) | (m/s) | (rad/s) | (rad/s) | |||||||
| 272.16 | −1.0630 | 0.0709 | 29.9855 | 129.7561 | 132.2881 | 0.0000 | 0.0037 | −0.0919 | 0.0000 | 0.0000 | 0.0956 |
| 322.56 | −1.2107 | 0.0732 | 29.9939 | 128.9161 | 131.9043 | 0.0000 | −0.0014 | −0.1057 | 0.0000 | 0.0000 | 0.1071 |
| 372.96 | −1.3626 | 0.0746 | 29.9676 | 127.8544 | 131.3307 | 0.0000 | 0.0001 | −0.1188 | 0.0000 | 0.0000 | 0.1188 |
| 423.36 | −1.4954 | 0.0745 | 29.9688 | 126.8547 | 130.8688 | 0.0000 | 0.0000 | −0.1286 | 0.0000 | 0.0000 | 0.1286 |
| 473.76 | −1.6361 | 0.0738 | 29.9702 | 125.7211 | 130.3674 | 0.0000 | 0.0000 | −0.1378 | 0.0000 | 0.0000 | 0.1378 |
(N·m) | Vehicle Dynamics Equilibriums | Rate of System Variable Change | Fitness | ||||||||
|---|---|---|---|---|---|---|---|---|---|---|---|
(m/s) | (rad/s) | (m/s) | (rad/s) | (rad/s) | |||||||
| 60.48 | 1.9081 | −0.0804 | 29.9688 | 132.8727 | 133.2487 | 0.0000 | 0.0000 | −0.1343 | 0.0000 | −0.0001 | 0.1345 |
| 120.96 | 1.9501 | −0.0798 | 29.9851 | 131.9924 | 132.7804 | 0.0000 | 0.0000 | −0.1367 | 0.0001 | 0.0000 | 0.1368 |
| 181.44 | 2.0027 | −0.0789 | 29.9691 | 131.0290 | 132.1721 | 0.0000 | 0.0000 | −0.1392 | 0.0000 | 0.0000 | 0.1392 |
| 241.92 | 2.0624 | −0.0777 | 29.9596 | 130.1154 | 131.5962 | 0.0000 | 0.0000 | −0.1414 | 0.0000 | 0.0001 | 0.1418 |
| 302.40 | 2.1372 | −0.0765 | 29.9692 | 129.2572 | 131.0944 | 0.0000 | −0.0030 | −0.1452 | 0.0000 | 0.0000 | 0.1483 |
| 362.88 | 2.2020 | −0.0749 | 29.9694 | 128.3242 | 130.5514 | 0.0000 | 0.0000 | −0.1471 | 0.0000 | 0.0000 | 0.1471 |
| 423.36 | 2.2848 | −0.0732 | 29.9698 | 127.2831 | 129.9736 | 0.0000 | 0.0000 | −0.1499 | 0.0001 | 0.0000 | 0.1500 |
| 483.84 | 2.3826 | −0.0714 | 29.9698 | 126.0794 | 129.3452 | 0.0000 | 0.0000 | −0.1532 | 0.0000 | 0.0000 | 0.1532 |
Disclaimer/Publisher’s Note: The statements, opinions and data contained in all publications are solely those of the individual author(s) and contributor(s) and not of MDPI and/or the editor(s). MDPI and/or the editor(s) disclaim responsibility for any injury to people or property resulting from any ideas, methods, instructions or products referred to in the content. |
© 2023 by the authors. Licensee MDPI, Basel, Switzerland. This article is an open access article distributed under the terms and conditions of the Creative Commons Attribution (CC BY) license (https://creativecommons.org/licenses/by/4.0/).
Share and Cite
Wang, X.; Li, W.; Zhang, F.; Li, Z.; Bao, W. Research on the Vehicle Steering and Braking Stability Region. Appl. Sci. 2023, 13, 7806. https://doi.org/10.3390/app13137806
Wang X, Li W, Zhang F, Li Z, Bao W. Research on the Vehicle Steering and Braking Stability Region. Applied Sciences. 2023; 13(13):7806. https://doi.org/10.3390/app13137806
Chicago/Turabian StyleWang, Xianbin, Weifeng Li, Fugang Zhang, Zexuan Li, and Wenlong Bao. 2023. "Research on the Vehicle Steering and Braking Stability Region" Applied Sciences 13, no. 13: 7806. https://doi.org/10.3390/app13137806
APA StyleWang, X., Li, W., Zhang, F., Li, Z., & Bao, W. (2023). Research on the Vehicle Steering and Braking Stability Region. Applied Sciences, 13(13), 7806. https://doi.org/10.3390/app13137806
