Automated Aviation Wind Nowcasting: Exploring Feature-Based Machine Learning Methods
Abstract
:1. Introduction
- A comprehensive analysis focused on exploration of the effective features within the understudied domain of ML-based wind nowcasting.
- A first application of feature engineering to wind speed, direction, and gust, employing five distinct techniques.
- A first exploration into the significance of feature importance, evaluated over multiple prediction steps for wind nowcasting.
2. State of the Art
3. Materials and Methods
3.1. Materials
3.2. Methods
3.2.1. Data Validation and Preprocessing
3.2.2. Data Processing and Feature Creation
Statistical Methods
Entropy Methods
3.2.3. Feature Selection
3.2.4. ML Model Training
3.2.5. ML Model Evaluation
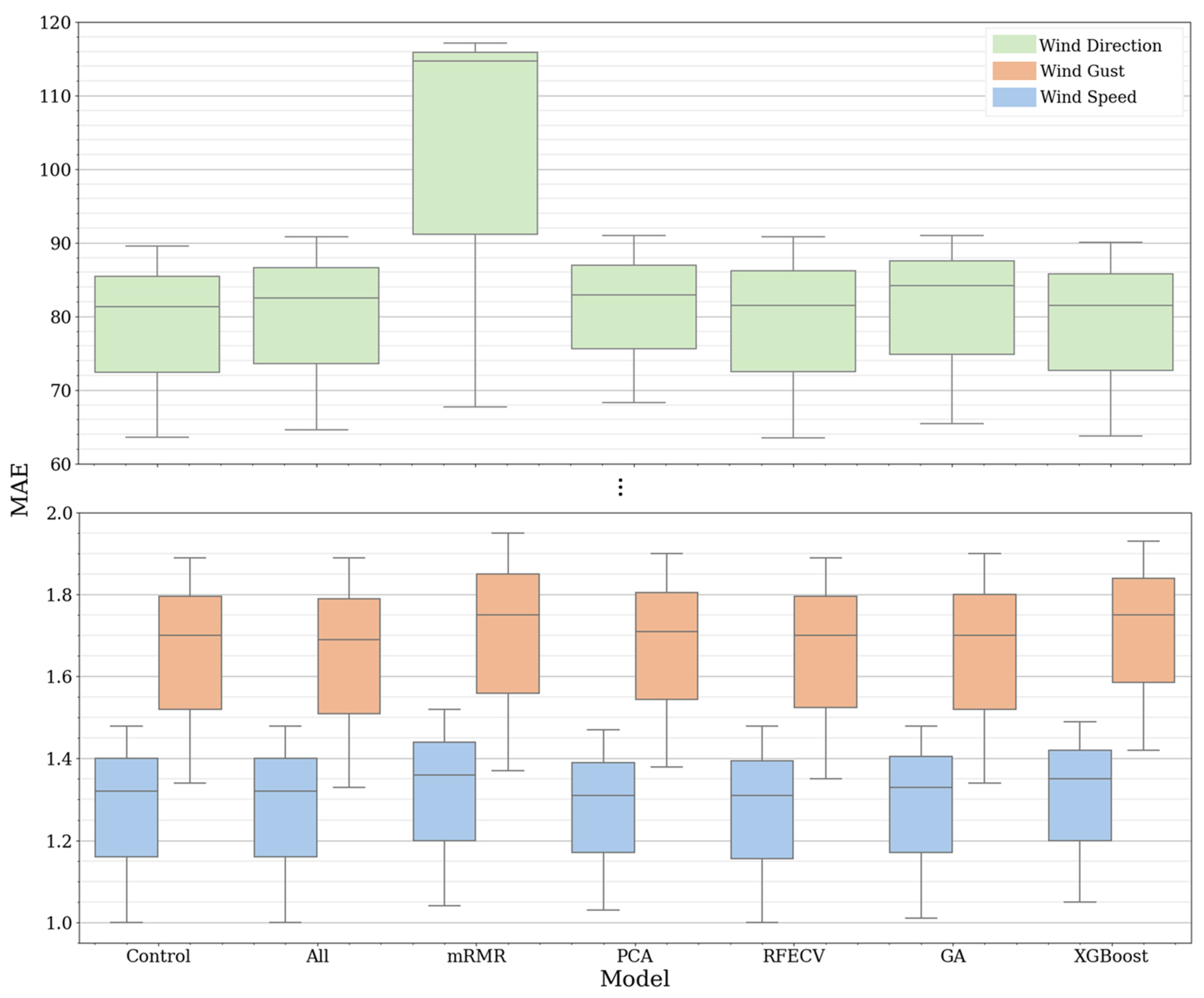
4. Results
5. Discussion
6. Conclusions
Author Contributions
Funding
Data Availability Statement
Conflicts of Interest
References
- Gultepe, I.; Sharman, R.; Williams, P.D.; Zhou, B.; Ellrod, G.; Minnis, P.; Trier, S.; Griffin, S.; Yum, S.S.; Gharabaghi, B.; et al. A Review of High Impact Weather for Aviation Meteorology. Pure Appl. Geophys. 2019, 176, 1869–1921. [Google Scholar] [CrossRef]
- World Meteorological Organization. WMO-No. 8—Guide to Instruments and Methods of Observation (Observing Systems), 2018th ed.; World Meteorological Organization: Geneva, Switzerland, 2018; Volume III. [Google Scholar]
- Liu, H.; Yang, R.; Wang, T.; Zhang, L. A hybrid neural network model for short-term wind speed forecasting based on decomposition, multi-learner ensemble, and adaptive multiple error corrections. Renew. Energy 2021, 165, 573–594. [Google Scholar] [CrossRef]
- Baïle, R.; Muzy, J.-F. Leveraging data from nearby stations to improve short-term wind speed forecasts. Energy 2023, 263, 125644. [Google Scholar] [CrossRef]
- Bentsen, L.; Warakagoda, N.D.; Stenbro, R.; Engelstad, P. Spatio-temporal wind speed forecasting using graph networks and novel Transformer architectures. Appl. Energy 2023, 333, 120565. [Google Scholar] [CrossRef]
- Jain, A.; Patel, H.; Nagalapatti, L.; Gupta, N.; Mehta, S.; Guttula, S.; Mujumdar, S.; Afzal, S.; Mittal, R.S.; Munigala, V. Overview and Importance of Data Quality for Machine Learning Tasks. In Proceedings of the 26th ACM SIGKDD International Conference on Knowledge Discovery & Data Mining, New York, NY, USA, 6–10 July 2020; pp. 3561–3562. [Google Scholar] [CrossRef]
- Gupta, N.; Mujumdar, S.; Patel, H.; Masuda, S.; Panwar, N.; Bandyopadhyay, S.; Mehta, S.; Guttula, S.; Afzal, S.; Mittal, R.S.; et al. Data Quality for Machine Learning Tasks. In Proceedings of the 27th ACM SIGKDD Conference on Knowledge Discovery & Data Mining, New York, NY, USA, 14–18 August 2021; pp. 4040–4041. [Google Scholar] [CrossRef]
- Kaur, A.; Guleria, K.; Trivedi, N.K. Feature Selection in Machine Learning: Methods and Comparison. In Proceedings of the 2021 International Conference on Advance Computing and Innovative Technologies in Engineering (ICACITE), Greater Noida, India, 4–5 March 2021; pp. 789–795. [Google Scholar] [CrossRef]
- Thomas, R.N.; Gupta, R. Feature Selection Techniques and its Importance in Machine Learning: A Survey. In Proceedings of the 2020 IEEE International Students’ Conference on Electrical, Electronics and Computer Science (SCEECS), Bhopal, India, 22–23 February 2020; pp. 1–6. [Google Scholar] [CrossRef]
- Chandrashekar, G.; Sahin, F. A survey on feature selection methods. Comput. Electr. Eng. 2014, 40, 16–28. [Google Scholar] [CrossRef]
- Cai, J.; Luo, J.; Wang, S.; Yang, S. Feature selection in machine learning: A new perspective. Neurocomputing 2018, 300, 70–79. [Google Scholar] [CrossRef]
- Salcedo-Sanz, S.; Pastor-Sánchez, A.; Prieto, L.; Blanco-Aguilera, A.; García-Herrera, R. Feature selection in wind speed prediction systems based on a hybrid coral reefs optimization—Extreme learning machine approach. Energy Convers. Manag. 2014, 87, 10–18. [Google Scholar] [CrossRef]
- Kong, X.; Liu, X.; Shi, R.; Lee, K.Y. Wind speed prediction using reduced support vector machines with feature selection. Neurocomputing 2015, 169, 449–456. [Google Scholar] [CrossRef]
- Senthil Kumar, P.; Lopez, D. Feature Selection used for Wind Speed Forecasting with Data Driven Approaches. J. Eng. Sci. Technol. Rev. 2015, 8, 124–127. Available online: https://search.ebscohost.com/login.aspx?direct=true&db=a9h&AN=113612841&site=ehost-live&scope=site (accessed on 1 August 2023). [CrossRef]
- Zhang, C.; Wei, H.; Zhao, J.; Liu, T.; Zhu, T.; Zhang, K. Short-term wind speed forecasting using empirical mode decomposition and feature selection. Renew. Energy 2016, 96, 727–737. [Google Scholar] [CrossRef]
- Feng, C.; Cui, M.; Hodge, B.-M.; Zhang, J. A data-driven multi-model methodology with deep feature selection for short-term wind forecasting. Appl. Energy 2017, 190, 1245–1257. [Google Scholar] [CrossRef]
- Liu, X.; Zhang, H.; Kong, X.; Lee, K.Y. Wind speed forecasting using deep neural network with feature selection. Neurocomputing 2020, 397, 393–403. [Google Scholar] [CrossRef]
- Mir, M.; Shafieezadeh, M.; Heidari, M.A.; Ghadimi, N. Application of hybrid forecast engine based intelligent algorithm and feature selection for wind signal prediction. Evol. Syst. 2020, 11, 559–573. [Google Scholar] [CrossRef]
- Zha, W.; Liu, J.; Li, Y.; Liang, Y. Ultra-short-term power forecast method for the wind farm based on feature selection and temporal convolution network. ISA Trans. 2022, 129, 405–414. [Google Scholar] [CrossRef]
- El-Kenawy, E.-S.M.; Mirjalili, S.; Khodadadi, N.; Abdelhamid, A.A.; Eid, M.M.; El-Said, M.; Ibrahim, A. Feature selection in wind speed forecasting systems based on meta-heuristic optimization. PLoS ONE 2023, 18, e0278491. [Google Scholar] [CrossRef]
- Lv, S.-X.; Wang, L. Multivariate wind speed forecasting based on multi-objective feature selection approach and hybrid deep learning model. Energy 2023, 263, 126100. [Google Scholar] [CrossRef]
- Nechaj, P.; Gaál, L.; Bartok, J.; Vorobyeva, O.; Gera, M.; Kelemen, M.; Polishchuk, V. Monitoring of Low-Level Wind Shear by Ground-based 3D Lidar for Increased Flight Safety, Protection of Human Lives and Health. Int. J. Env. Res. Public Health 2019, 16, 4584. [Google Scholar] [CrossRef]
- Caetano, M. Forecasting Aviation Accidents and Incidents by Combining Occurrence Investigation and Meteorological Data using Machine Learning. Aviation 2023, 27, 47–56. [Google Scholar] [CrossRef]
- Belo-Pereira, M.; Santos, J.A. Air-Traffic Restrictions at the Madeira International Airport Due to Adverse Winds: Links to Synoptic-Scale Patterns and Orographic Effects. Atmosphere 2020, 11, 1257. [Google Scholar] [CrossRef]
- Gao, Q.; Zeman, C.; Vergara-Temprado, J.; Lima, D.C.A.; Molnar, P.; Schär, C. Vortex streets to the lee of Madeira in a kilometre-resolution regional climate model. Weather Clim. Dyn. 2023, 4, 189–211. [Google Scholar] [CrossRef]
- Erdemir, G.; Zengin, A.T.; Akinci, T.C. Short-term wind speed forecasting system using deep learning for wind turbine applications. Int. J. Electr. Comput. Eng. (IJECE) 2020, 10, 5779. [Google Scholar] [CrossRef]
- World Meteorological Organization. WMO-No. 8—Guide to Instruments and Methods of Observation (Measurement of Meteorological Variables), 2018th ed.; World Meteorological Organization: Geneva, Switzerland, 2018; Volume I. [Google Scholar]
- Taha, A.; Cosgrave, B.; Mckeever, S. Using Feature Selection with Machine Learning for Generation of Insurance Insights. Appl. Sci. 2022, 12, 3209. [Google Scholar] [CrossRef]
- Phani, A.; Erlbacher, L.; Boehm, M. UPLIFT. Proc. VLDB Endow. 2022, 15, 2929–2938. [Google Scholar] [CrossRef]
- Plaza, D.Q.; Zapata, J.A.G.-M. Statistical Postprocessing of Different Variables for Airports in Spain Using Machine Learning. Adv. Meteorol. 2019, 2019, 3181037. [Google Scholar] [CrossRef]
- Watkins, J. An Introduction to the Science of Statistics: From Theory to Implementation. February 2016. Available online: http://perpus.poltekkesjkt2.ac.id/setiadi/index.php?p=show_detail&id=2406 (accessed on 1 August 2023).
- Haslwanter, T. An Introduction to Statistics with Python; Springer International Publishing: Cham, Switzerland, 2022. [Google Scholar] [CrossRef]
- Nir, A.; Sela, E.; Beck, R.; Bar-Sinai, Y. Machine-learning iterative calculation of entropy for physical systems. Proc. Natl. Acad. Sci. USA 2020, 117, 30234–30240. [Google Scholar] [CrossRef]
- Karaca, Y.; Moonis, M. Shannon entropy-based complexity quantification of nonlinear stochastic process. In Multi-Chaos, Fractal and Multi-Fractional Artificial Intelligence of Different Complex Systems; Elsevier: Amsterdam, The Netherlands, 2022; pp. 231–245. [Google Scholar] [CrossRef]
- Jüngel, A. Entropy Methods for Diffusive Partial Differential Equations; Springer International Publishing: Cham, Switzerland, 2016. [Google Scholar] [CrossRef]
- Delgado-Bonal, A.; Marshak, A. Approximate Entropy and Sample Entropy: A Comprehensive Tutorial. Entropy 2019, 21, 541. [Google Scholar] [CrossRef]
- Humeau-Heurtier, A. The Multiscale Entropy Algorithm and Its Variants: A Review. Entropy 2015, 17, 3110–3123. [Google Scholar] [CrossRef]
- Huang, X.; Shang, H.L.; Pitt, D. Permutation entropy and its variants for measuring temporal dependence. Aust. N. Z. J. Stat. 2022, 64, 442–477. [Google Scholar] [CrossRef]
- Davalos, A.; Jabloun, M.; Ravier, P.; Buttelli, O. Multiscale Permutation Entropy: Statistical Characterization on Autoregressive and Moving Average Processes. In 2019 27th European Signal Processing Conference (EUSIPCO); IEEE: Piscataway, NJ, USA, 2019; pp. 1–5. [Google Scholar] [CrossRef]
- Prastyo, P.H.; Ardiyanto, I.; Hidayat, R. A Review of Feature Selection Techniques in Sentiment Analysis Using Filter, Wrapper, or Hybrid Methods. In 2020 6th International Conference on Science and Technology (ICST); IEEE: Piscataway, NJ, USA, 2020; pp. 1–6. [Google Scholar] [CrossRef]
- Shao, Z.; Zheng, Q.; Liu, C.; Gao, S.; Wang, G.; Chu, Y. A feature extraction- and ranking-based framework for electricity spot price forecasting using a hybrid deep neural network. Electr. Power Syst. Res. 2021, 200, 107453. [Google Scholar] [CrossRef]
- De Jay, N.; Papillon-Cavanagh, S.; Olsen, C.; El-Hachem, N.; Bontempi, G.; Haibe-Kains, B. mRMRe: An R package for parallelized mRMR ensemble feature selection. Bioinformatics 2013, 29, 2365–2368. [Google Scholar] [CrossRef]
- Jolliffe, I.T.; Cadima, J. Principal component analysis: A review and recent developments. Philos. Trans. R. Soc. A Math. Phys. Eng. Sci. 2016, 374, 20150202. [Google Scholar] [CrossRef]
- Wang, C.; Wu, P.; Yan, L.; Ye, Z.; Chen, H.; Ling, H. Image classification based on principal component analysis optimized generative adversarial networks. Multimed. Tools Appl. 2021, 80, 9687–9701. [Google Scholar] [CrossRef]
- Bechini, A.; Barcena, J.L.C.; Ducange, P.; Marcelloni, F.; Renda, A. Increasing Accuracy and Explainability in Fuzzy Regression Trees: An Experimental Analysis. In Proceedings of the 2022 IEEE International Conference on Fuzzy Systems (FUZZ-IEEE), Padua, Italy, 18–23 July 2022; pp. 1–8. [Google Scholar] [CrossRef]
- Naumets, S.; Lu, M. Investigation into Explainable Regression Trees for Construction Engineering Applications. J. Constr. Eng. Manag. 2021, 147, 04021084. [Google Scholar] [CrossRef]
- Loh, W.-Y. Regression tree models for designed experiments. In Optimality; Institute of Mathematical Statistics: Beachwood, OH, USA, 2006; pp. 210–228. [Google Scholar] [CrossRef]
- Olson, D.L.; Wu, D. Regression Tree Models; Springer: Berlin/Heidelberg, Germany, 2017; pp. 45–54. [Google Scholar] [CrossRef]
- Gottard, A.; Vannucci, G.; Marchetti, G.M. A note on the interpretation of tree-based regression models. Biom. J. 2020, 62, 1564–1573. [Google Scholar] [CrossRef]
- Eynaud, Y.; Nerini, D.; Baklouti, M.; Poggiale, J.-C. Towards a simplification of models using regression trees. J. R. Soc. Interface 2013, 10, 20120613. [Google Scholar] [CrossRef] [PubMed]
- Bahl, A.; Hellack, B.; Balas, M.; Dinischiotu, A.; Wiemann, M.; Brinkmann, J.; Luch, A.; Renard, B.Y.; Haase, A. Recursive feature elimination in random forest classification supports nanomaterial grouping. NanoImpact 2019, 15, 100179. [Google Scholar] [CrossRef]
- Ge, X.; Fang, C.; Liu, J.; Qing, M.; Li, X.; Zhao, Z. An unsupervised feature selection approach for actionable warning identification. Expert Syst. Appl. 2023, 227, 120152. [Google Scholar] [CrossRef]
- Chen, X.-W.; Jeong, J.C. Enhanced recursive feature elimination. In Sixth International Conference on Machine Learning and Applications (ICMLA 2007); IEEE: Piscataway, NJ, USA, 2007; pp. 429–435. [Google Scholar] [CrossRef]
- Cheng, J.R.; Gen, M. Accelerating genetic algorithms with GPU computing: A selective overview. Comput. Ind. Eng. 2019, 128, 514–525. [Google Scholar] [CrossRef]
- Shirajuddin, T.M.; Muhammad, N.S.; Abdullah, J. Optimization problems in water distribution systems using Non-dominated Sorting Genetic Algorithm II: An overview. Ain. Shams. Eng. J. 2023, 14, 101932. [Google Scholar] [CrossRef]
- Chen, C.; Zhang, Q.; Yu, B.; Yu, Z.; Lawrence, P.J.; Ma, Q.; Zhang, Y. Improving protein-protein interactions prediction accuracy using XGBoost feature selection and stacked ensemble classifier. Comput. Biol. Med. 2020, 123, 103899. [Google Scholar] [CrossRef]
- Jiang, Z.; Che, J.; He, M.; Yuan, F. A CGRU multi-step wind speed forecasting model based on multi-label specific XGBoost feature selection and secondary decomposition. Renew. Energy 2023, 203, 802–827. [Google Scholar] [CrossRef]
- Song, J.; Jin, L.; Xie, Y.; Wei, C. Optimized XGBoost based sparrow search algorithm for short-term load forecasting. In Proceedings of the 2021 IEEE International Conference on Computer Science, Artificial Intelligence and Electronic Engineering (CSAIEE), Virtual Conference, 20–22 August 2021; pp. 213–217. [Google Scholar] [CrossRef]
- Chicco, D.; Warrens, M.J.; Jurman, G. The coefficient of determination R-squared is more informative than SMAPE, MAE, MAPE, MSE and RMSE in regression analysis evaluation. PeerJ Comput. Sci. 2021, 7, e623. [Google Scholar] [CrossRef] [PubMed]
- Darapureddy, N.; Karatapu, N.; Battula, T.K. Research of Machine Learning algorithms using K-fold cross validation. Int. J. Eng. Adv. Technol. 2019, 8, 215–218. [Google Scholar] [CrossRef]









| Algorithm | Time | Target | Features |
|---|---|---|---|
| mRMR | 2 | Speed | E1 E2 E3 E4 J2 J3 L1 L2 L3 L4 |
| Direction | E1 E2 E3 E4 I2 J2 L1 L2 L3 L4 | ||
| Gust | C1 E1 E2 E3 E4 H1 L1 L2 L3 L4 | ||
| 10 | Speed | E1 E2 E3 E4 J2 J3 L1 L2 L3 L4 | |
| Direction | E1 E2 E3 E4 J2 J3 L1 L2 L3 L4 | ||
| Gust | E1 E2 E3 E4 J2 J3 L1 L2 L3 L4 | ||
| 20 | Speed | E1 E2 E3 E4 J2 J3 L1 L2 L3 L4 | |
| Direction | E1 E2 E3 E4 J2 J3 L1 L2 L3 L4 | ||
| Gust | E1 E2 E3 E4 J2 J3 L1 L2 L3 L4 | ||
| GA | 2 | Speed | A1 A2 A3 B4 C1 D1 D2 D4 E3 E4 F2 F4 G1 G2 H1 H2 H3 H4 I2 J2 J4 K3 L1 M1 N1 N4 |
| Direction | A2 A3 A4 B4 C2 C3 C4 D3 D4 E3 F2 F4 G1 G2 G3 I2 I3 I4 J2 J4 K1 K2 L1 M2 M3 N1 N2 | ||
| Gust | A2 A4 B2 B3 B4 C1 C2 C4 D1 D2 D3 D4 E3 F2 F3 G1 H1 H2 I3 I4 J2 J3 J4 L3 L4 M1 M3 N1 | ||
| 10 | Speed | A1 A4 B1 B2 B3 C4 D1 D2 E1 E2 E3 F1 F3 F4 G1 G2 G3 H2 I1 J1 K1 K2 K3 L1 L4 M1 M3 N1 N2 N4 | |
| Direction | A1 A3 B3 C2 C3 C4 D2 F3 F4 G3 G4 H1 I2 J1 J3 J4 K1 K2 K3 K4 L4 M1 M3 N1 N3 N4 | ||
| Gust | A1 A2 A4 B2 B3 C2 C4 D2 E1 E4 F1 F3 G1 G2 G3 H2 H3 I1 I2 J1 J3 J4 K4 L2 L3 L4 M2 M4 | ||
| 20 | Speed | A1 A2 A4 B1 B3 B4 C1 C3 D1 D3 D4 E2 E3 F2 F4 G1 H2 I1 I3 I4 J1 J2 K1 K2 K4 L1 L2 L4 M1 M2 N3 N4 | |
| Direction | A1 A3 B1 B2 B3 B4 C1 C4 D1 D3 E2 E4 F1 F3 F4 G1 H1 I1 I2 I4 K1 K3 L1 L3 M3 N3 | ||
| Gust | A1 A2 A3 A4 B1 B2 C1 C3 D1 D2 D3 E1 E2 E3 E4 F1 F3 F4 G3 G4 H1 I1 I4 J2 J3 J4 K1 K2 K3 K4 L1 L2 L3 M1 M4 | ||
| XGBoost | 2 | Speed | A2 A3 B2 C2 E2 H2 I1 I2 I3 I4 |
| Direction | A2 A3 B2 C2 E2 H2 I1 I2 I3 I4 | ||
| Gust | A2 A3 B2 C2 E2 H2 I1 I2 I3 I4 | ||
| 10 | Speed | A1 A2 A3 C2 H2 H3 I1 I2 I3 I4 | |
| Direction | A1 A2 A3 C2 H2 H3 I1 I2 I3 I4 | ||
| Gust | A1 A2 A3 C2 H2 H3 I1 I2 I3 I4 | ||
| 20 | Speed | A1 A2 A3 A4 C2 H2 H3 I1 I2 I4 | |
| Direction | A1 A2 A3 A4 C2 H2 H3 I1 I2 I4 | ||
| Gust | A1 A2 A3 A4 C2 H2 H3 I1 I2 I4 | ||
| RFECV | 2 | Speed | A1 A2 A3 B3 B4 C2 D3 H2 I1 I2 I4 L1 |
| Direction | A1 A2 A3 B3 B4 C2 D3 G1 H2 I1 I2 I3 I4 L1 | ||
| Gust | A1 A2 A3 B3 C2 D3 F4 H2 I1 I2 I4 L1 | ||
| 10 | Speed | A1 A3 A4 B1 B3 B4 C2 D3 H2 I1 I2 | |
| Direction | A1 A2 A3 A4 B1 B3 B4 C2 D1 D3 G4 H2 I1 I2 I3 I4 L2 N3 | ||
| Gust | A1 A3 A4 B1 B3 B4 C2 D3 H2 I1 I2 | ||
| 20 | Speed | A1 A2 A3 A4 B1 B2 B3 B4 C1 C2 C3 C4 D1 D2 D3 D4 E1 E2 E4 F1 F2 F3 F4 G1 G2 G3 G4 H1 H2 H3 H4 I1 I2 I3 I4 J1 J2 J3 J4 K1 K2 K3 K4 L1 L2 L3 L4 M1 M2 M3 M4 N1 N2 N3 N4 | |
| Direction | A1 A2 A3 A4 B1 B2 B3 B4 C1 C2 C3 C4 D1 D2 D3 D4 E1 E2 E4 F1 F2 F3 F4 G1 G2 G3 G4 H1 H2 H3 H4 I1 I2 I3 I4 J1 J2 J3 J4 K1 K2 K3 K4 L1 L2 L3 L4 M1 M2 M3 M4 N1 N2 N3 N4 | ||
| Gust | A1 A2 A3 A4 B1 B2 B3 B4 C1 C2 C3 C4 D1 D2 D3 D4 E1 E2 E4 F1 F2 F3 F4 G1 G2 G3 G4 H1 H2 H3 H4 I1 I2 I3 I4 J1 J2 J3 J4 K1 K2 K3 K4 L1 L2 L3 L4 M1 M2 M3 M4 N1 N2 N3 N4 | ||
| PCA | 2 | Speed | F1 F2 F3 F4 F5 F6 F7 F8 F9 F10 F11 F12 F13 |
| Direction | F1 F2 F3 F4 F5 F6 F7 F8 F9 F10 F11 F12 F13 F14 F15 F16 F17 F18 F19 F20 | ||
| Gust | F1 F2 F3 F4 F5 F6 F7 F8 F9 F10 F11 F12 F13 F14 F15 F16 F17 F18 F19 F20 | ||
| 10 | Speed | F1 F2 F3 F4 F5 F6 F7 F8 F9 F10 F11 F12 F13 F14 | |
| Direction | F1 F2 F3 F4 F5 F6 F7 F8 F9 F10 F11 F12 F13 F14 F15 F16 F17 F18 F19 F20 F21 F2 | ||
| Gust | F1 F2 F3 F4 F5 F6 F7 F8 F9 F10 F11 F12 F13 F14 F15 F16 F17 F18 F19 F20 F21 | ||
| 20 | Speed | F1 F2 F3 F4 F5 F6 F7 F8 F9 F10 F11 F12 F13 F14 F15 F16 F17 F18 F19 F20 F21 | |
| Direction | F1 F2 F3 F4 F5 F6 F7 F8 F9 F10 F11 F12 F13 F14 F15 F16 F17 F18 F19 F20 | ||
| Gust | F1 F2 F3 F4 F5 F6 F7 F8 F9 F10 F11 F12 F13 F14 F15 F16 F17 F18 F19 |
| Target H2 | 2 min | 10 min | 20 min | ||||||
|---|---|---|---|---|---|---|---|---|---|
| Set | MSE | MAE | MAPE | Set | MSE | MAE | MAPE | Set | MSE |
| Control | 1.90 | 1.00 | 0.36 | 3.15 | 1.32 | 0.55 | 3.92 | 1.48 | 0.64 |
| ±0.02 | ±<0.01 | ±0.02 | ±0.02 | ±<0.01 | ±0.03 | ±0.03 | ±<0.01 | ±0.02 | |
| All | 1.88 | 1.00 | 0.35 | 3.15 | 1.32 | 0.55 | 3.91 | 1.48 | 0.64 |
| ±0.01 | ±<0.01 | ±0.01 | ±0.01 | ±<0.01 | ±0.01 | ±0.04 | ±0.01 | ±0.03 | |
| mRMR | 2.01 | 1.04 | 0.37 | 3.33 | 1.36 | 0.56 | 4.12 | 1.52 | 0.67 |
| ±0.01 | ±<0.01 | ±0.02 | ±0.04 | ±0.01 | ±0.01 | ±0.02 | ±<0.01 | ±0.03 | |
| PCA | 1.96 | 1.03 | 0.37 | 3.12 | 1.31 | 0.53 | 3.87 | 1.47 | 0.63 |
| ±0.03 | ±0.01 | ±0.01 | ±0.03 | ±<0.01 | ±0.01 | ±0.03 | ±<0.01 | ±0.02 | |
| RFECV | 1.90 | 1.00 | 0.35 | 3.11 | 1.31 | 0.54 | 3.90 | 1.48 | 0.63 |
| ±0.02 | ±<0.01 | ±0.01 | ±0.02 | ±<0.01 | ±0.01 | ±0.03 | ±0.01 | ±0.03 | |
| GA | 1.90 | 1.01 | 0.36 | 3.19 | 1.33 | 0.55 | 3.89 | 1.48 | 0.64 |
| ±0.01 | ±<0.01 | ±0.01 | ±0.02 | ±<0.01 | ±0.02 | ±0.03 | ±<0.01 | ±0.03 | |
| XGBoost | 2.07 | 1.05 | 0.37 | 3.27 | 1.35 | 0.56 | 3.98 | 1.49 | 0.65 |
| ±0.02 | ±<0.01 | ±0.02 | ±0.02 | ±<0.01 | ±0.03 | ±0.03 | ±<0.01 | ±0.03 | |
| Target I2 | 2 min | 10 min | 20 min | ||||||
|---|---|---|---|---|---|---|---|---|---|
| Set | MSE | MAE | MAPE | MSE | MAE | MAPE | MSE | MAE | MAPE |
| Control | 1.75 × 104 | 63.58 | 2.91 × 1013 | 2.18 × 104 | 81.30 | 3.63 × 1013 | 2.37 × 104 | 89.58 | 3.19 × 1013 |
| ±1.55 × 102 | ±0.46 | ±2.62 × 1013 | ±1.43 × 102 | ±0.43 | ±3.10 × 1013 | ±2.84 × 102 | ±0.83 | ±3.23 × 1013 | |
| All | 1.77 × 104 | 64.61 | 3.48 × 1013 | 2.20 × 104 | 82.50 | 4.02 × 1013 | 2.40 ×104 | 90.79 | 3.36 × 1013 |
| ±1.92 × 102 | ±0.55 | ±2.50 × 1013 | ±2.57 × 102 | ±0.74 | ±3.39 × 1013 | ±1.38 × 102 | ±0.41 | ±3.61 × 1013 | |
| mRMR | 1.87 × 104 | 67.69 | 1.09 × 1013 | 2.98 × 104 | 114.68 | 3.51 × 1013 | 3.04 × 104 | 117.10 | 3.49 × 1013 |
| ±1.49 × 102 | ±0.48 | ±1.43 × 1013 | ±1.79 × 102 | ±0.49 | ±3.48 × 1013 | ±2.63 × 102 | ±0.87 | ±3.29 × 1013 | |
| PCA | 1.85 × 104 | 68.26 | 2.32 × 1013 | 2.22 × 104 | 82.95 | 2.69 × 1013 | 2.41 × 104 | 90.97 | 1.80 × 1013 |
| ±1.36 × 102 | ±0.33 | ±2.06 × 1013 | ±9.31 × 101 | ±0.20 | ±1.53 × 1013 | ±1.60 × 102 | ±0.48 | ±1.42 × 1013 | |
| RFECV | 1.74 × 104 | 63.53 | 3.56 × 1013 | 2.18 × 104 | 81.49 | 3.39 × 1013 | 2.40 × 104 | 90.84 | 3.27 × 1013 |
| ±1.43 × 102 | ±0.45 | ±2.22 × 1013 | ±1.77 × 102 | ±0.48 | ±3.18 × 1013 | ±1.03 × 102 | ±0.33 | ±3.77 × 1013 | |
| GA | 1.80 × 104 | 65.48 | 2.63 × 1013 | 2.25 × 104 | 84.19 | 3.21 × 1013 | 2.41 × 104 | 90.97 | 4.01 × 1013 |
| ±3.42 × 101 | ±0.07 | ±2.51 × 1013 | ±2.36 × 102 | ±0.68 | ±3.04 × 1013 | ±1.59 × 102 | ±0.49 | ±4.04 × 1013 | |
| XGBoost | 1.76 × 104 | 63.78 | 3.30 × 1013 | 2.18 × 104 | 81.50 | 3.28 × 1013 | 2.38 × 104 | 90.04 | 3.10 × 1013 |
| ±9.31 × 101 | ±0.29 | ±1.90 × 1013 | ±1.23 × 102 | ±0.36 | ±2.69 × 1013 | ±1.47 × 102 | ±0.49 | ±3.40 × 1013 | |
| Target C2 | 2 min | 10 min | 20 min | ||||||
|---|---|---|---|---|---|---|---|---|---|
| Set | MSE | MAE | MAPE | Set | MSE | MAE | MAPE | Set | MSE |
| Control | 3.47 | 1.34 | 0.24 | 5.35 | 1.70 | 0.33 | 6.45 | 1.89 | 0.38 |
| ±0.01 | ±<0.01 | ±<0.01 | ±0.04 | ±0.01 | ±<0.01 | ±0.06 | ±0.01 | ±<0.01 | |
| All | 3.43 | 1.33 | 0.24 | 5.27 | 1.69 | 0.33 | 6.44 | 1.89 | 0.38 |
| ±0.01 | ±<0.01 | ±<0.01 | ±0.05 | ±0.01 | ±<0.01 | ±0.04 | ±0.01 | ±<0.01 | |
| mRMR | 3.63 | 1.37 | 0.24 | 5.55 | 1.75 | 0.34 | 6.81 | 1.95 | 0.40 |
| ±0.04 | ±<0.01 | ±<0.01 | ±0.05 | ±0.01 | ±<0.01 | ±0.07 | ±0.01 | ±<0.01 | |
| PCA | 3.64 | 1.38 | 0.25 | 5.36 | 1.71 | 0.33 | 6.53 | 1.90 | 0.38 |
| ±0.02 | ±<0.01 | ±<0.01 | ±0.03 | ±<0.01 | ±<0.01 | ±0.04 | ±<0.01 | ±<0.01 | |
| RFECV | 3.52 | 1.35 | 0.24 | 5.34 | 1.70 | 0.33 | 6.44 | 1.89 | 0.38 |
| ±0.01 | ±<0.01 | ±<0.01 | ±0.03 | ±<0.01 | ±<0.01 | ±0.05 | ±0.01 | ±<0.01 | |
| GA | 3.46 | 1.34 | 0.24 | 5.34 | 1.70 | 0.33 | 6.50 | 1.90 | 0.38 |
| ±0.02 | ±<0.01 | ±<0.01 | ±0.03 | ±<0.01 | ±<0.01 | ±0.02 | ±0.01 | ±<0.01 | |
| XGBoost | 3.93 | 1.42 | 0.25 | 5.66 | 1.75 | 0.34 | 6.76 | 1.93 | 0.39 |
| ±0.04 | ±0.01 | ±<0.01 | ±0.04 | ±0.01 | ±<0.01 | ±0.05 | ±0.01 | ±<0.01 | |
| Work | Time Resolution | FS Methods | Data | Performance |
|---|---|---|---|---|
| Salcedo-Sanz et al. [12] | 10 min | CRO | 1 year | MSE 2.50 |
| Kong et al. [13] | More than 1 h | PCA-based | 1 month | MAE 0.20, MAPE 0.05, and RMSE 0.45 |
| Paramasivan and Lopez [14] | 15 min | Relief | 1 month | MSE 0.48 |
| Zhang et al. [15] | 1 h | Empirical mode decomposition | 1 month | MAE 0.60, MAPE 13.30, and RMSE 0.79 |
| Feng et al. [16] | 1 h | Deep feature selection | 1 year | NMAE 3.76 and NRMSE 5.21 |
| Liu et al. [17] | 10 min | Mutual information based | 9 months | MAE 0.31, MAPE 7.13, and RMSE 0.39 |
| Mir et al. [18] | 10 min | Hybrid feature selection | 3 years | MAE 0.47 |
| Zha et al. [19] | 15 min | XGBoost based | 6 months | - |
| El-kenawy et al. [20] | 1 h | ADGWDTO | - | MAE 0.002 and RMSE 0.003 |
| Lv and Wang [21] | 1 h | FWNSDEC-SSA | 1 year | MAE 0.04, MAPE 1.09, and RMSE 0.07 |
| This work | 2 min | mRMR, PCA, RFECV, GA and XGBoost | 2 years | MAE 1.00, MAPE 0.35, and MSE 1.90 |
Disclaimer/Publisher’s Note: The statements, opinions and data contained in all publications are solely those of the individual author(s) and contributor(s) and not of MDPI and/or the editor(s). MDPI and/or the editor(s) disclaim responsibility for any injury to people or property resulting from any ideas, methods, instructions or products referred to in the content. |
© 2023 by the authors. Licensee MDPI, Basel, Switzerland. This article is an open access article distributed under the terms and conditions of the Creative Commons Attribution (CC BY) license (https://creativecommons.org/licenses/by/4.0/).
Share and Cite
Alves, D.; Mendonça, F.; Mostafa, S.S.; Morgado-Dias, F. Automated Aviation Wind Nowcasting: Exploring Feature-Based Machine Learning Methods. Appl. Sci. 2023, 13, 10221. https://doi.org/10.3390/app131810221
Alves D, Mendonça F, Mostafa SS, Morgado-Dias F. Automated Aviation Wind Nowcasting: Exploring Feature-Based Machine Learning Methods. Applied Sciences. 2023; 13(18):10221. https://doi.org/10.3390/app131810221
Chicago/Turabian StyleAlves, Décio, Fábio Mendonça, Sheikh Shanawaz Mostafa, and Fernando Morgado-Dias. 2023. "Automated Aviation Wind Nowcasting: Exploring Feature-Based Machine Learning Methods" Applied Sciences 13, no. 18: 10221. https://doi.org/10.3390/app131810221
APA StyleAlves, D., Mendonça, F., Mostafa, S. S., & Morgado-Dias, F. (2023). Automated Aviation Wind Nowcasting: Exploring Feature-Based Machine Learning Methods. Applied Sciences, 13(18), 10221. https://doi.org/10.3390/app131810221

