Next Article in Journal
Modern Approaches in Orthodontics and Orofacial Treatments: An Updated Perspective of Innovative Technologies
Next Article in Special Issue
Assessing Traffic-Flow Safety at Various Levels of Autonomous-Vehicle Market Penetration
Previous Article in Journal
Predicting Task Planning Ability for Learners Engaged in Searching as Learning Based on Tree-Structured Long Short-Term Memory Networks
Previous Article in Special Issue
Authenticity, and Approval Framework for Bus Transportation Based on Blockchain 2.0 Technology
 
 
Font Type:
Arial Georgia Verdana
Font Size:
Aa Aa Aa
Line Spacing:
Column Width:
Background:
Article

A Traffic Equilibrium Model for Multi-Modal Networks with Uncertain Demands

1
College of Economics and Management, Xi’an Technological University, Xi’an 710021, China
2
International Business School, Shaanxi Normal University, Xi’an 710119, China
*
Authors to whom correspondence should be addressed.
Current address: Department of Munitions Procurement, Army Logistics Academy, Chongqing 401331, China.
Appl. Sci. 2023, 13(23), 12841; https://doi.org/10.3390/app132312841
Submission received: 20 September 2023 / Revised: 27 October 2023 / Accepted: 16 November 2023 / Published: 30 November 2023

Abstract

:
In this study, an effective travel cost (ETC) traffic equilibrium model is proposed for multi-modal networks with uncertain demands. The multi-modal networks are transformed into supernetworks and travel demands are assumed to be closed intervals. Passenger flows and travel costs are also formulated as closed intervals to capture the effects of uncertain demands. The ETC concept is introduced and regarded as a choice criterion to develop an equilibrium model which captures travellers’ travel mode and route choice behavior under interval travel costs. The model is formulated as a variational inequality problem, and the method of successive average algorithm is adapted to interval mathematics to obtain the results in the form of interval variables. Illustrative examples are also presented to demonstrate the model’s characteristics and its differences from the traditional equilibrium model, in which the expected travel cost is regarded as the choice criterion.

1. Introduction

In recent years, significant advances have been realized in the formulation and analysis of traffic equilibrium models for multi-modal networks. Fernandez et al. (1994) [1] developed a mathematical programming formulation for traffic equilibrium models in bimodal networks. Wu and Lam (2003) [2] investigated travellers’ behaviors under a multi-modal network with motorized and non-motorized transport modes and formulated an equilibrium model for a variational inequality problem. Lo, Yip, and Wam (2004) [3], considering car, bus, and subway as transport modes in the network, proposed a three-level Negst logit model to describe combined-mode, transfer location, and route choices and formulated the equilibrium model as a nonlinear complementarity problem. Meng and Liu (2012) [4] proposed a binary logit model for the mode choice and a multinomial probit model to capture route choice, and formulated the equilibrium model as a fixed-point problem. Kitthamkesorn et al. (2016) [5] adopted a nested and a cross-nested logit model to capture the mode similarity and route overlap, respectively, and formulated the equilibrium model as a mathematical programming problem. Wang et al. (2018) [6] proposed a combined multinomial logit modal for mode choice and a paired combinatorial logit model for route choice and developed the MNL-PCL model as a mathematical programming problem. Wang et al. (2020) [7] adopted a dogit model to capture travellers’ mode choice and a path-size logit model to express route overlapping effects and formulated a combined model as an equivalent entropy-based mathematical programming problem.
However, in these studies, the travel demands were assumed to be perfectly known. In reality, travel demands fluctuate randomly, which is caused by factors such as time of day, day of the week, or seasonal effects. These factors are particular cases of travel demand fluctuations that cause traffic flow to differ significantly from its typical pattern. They also directly contribute to the variability of network travel cost (e.g., travel time, crowd discomfort, and other attributes), which will influence travellers’ choices.
Uncertain demands have been considered in pure-mode network equilibrium frameworks. The effects of travel time variability on travellers’ route choice have been discussed in several surveys, where uncertain demands were modelled using random variables. In travel behavior modelling, a trip can be successfully fulfilled within a given travel time range, which is referred to as travel time reliability. This gives rise to the concept of the travel time budget, which is defined as the average travel time plus an extra buffer time as an acceptable margin, which has been the theme of reliability-based user equilibrium models (Lo, Luo, and Siu (2006)) [8]. Subsequently, later efforts were devoted to the improvement of this model and some applications were discussed (Shao et al. (2006) [9]; Shao, Lam, and Mei (2006) [10]; Siu and Liu (2008) [11]). The effect of the unreliability aspect of travel time variability affects the travellers’ route choice decision process when a trip time longer than expected is considered as ’unreliable’ or ’unacceptable’ (Systematics, and Texas (2003) [12]). Watling (2003) [13] proposed “late arrival penalised” as the route choice criterion and measured the penalty cost of delays. Chen and Zhou (2010) [14] proposed a new model called the α -reliable mean-excess travel time user equilibrium model, which considered both the reliability and unreliability aspects of travel time variability. Following a similar approach, Lu, Pu, and Liu (2012) [15] proposed the budget-excess travel time user equilibrium model under stochastic capacity and demands, which assumed that travel demands obey a Gamma distribution while the link capacity obeys a uniform distribution.
On the other hand, in some studies, uncertain demands are assumed to belong to a specific set (Zhang, Chen, and Sumalee (2011) [16]; Xu, Cheng, and Wang (2011) [17]; Wei, Chen, and Wu (2021) [18]). Xu, Cheng, and Wang (2011) [17] introduce the strong Wardrop equilibrium in a new model which allowed flexible demand and supply uncertainties. Later, Zhang, Chen, and Sumalee (2011) [16] proposed a robust Wardrop’s user equilibrium assignment by following the expected residual approach, which is a deterministic formulation of the stochastic complementarity problem. Recently, Wei, Chen, and Wu (2021) [18] proposed a vector network equilibrium model where the demands belong to a closed interval.
However, few works focus on the multi-modal network equilibrium problem with uncertain demands. In this paper, an effective travel cost (ETC)-based traffic equilibrium model is presented for multi-modal networks under uncertain demand. By applying supernetwork theory, multi-modal networks are transformed into super networks, in which the probable transfer rules are automatically captured and combined-mode trips and pure-mode trips are presented completely. Travel demands are expressed as a closed interval whose upper and lower bounds are determined using historical data. Passenger flows and travel costs are also formulated as closed intervals to capture the effects of demand uncertainty. Then, the ETC concept is analyzed, which explicitly considers both reliability and unreliability aspects of interval travel cost for different travel modes and the travel route choice decision process. ETC is proposed as a mode and route choice criterion in a traffic equilibrium framework and an equilibrium model is presented to better understand travel mode and route choices under interval travel costs. The model is formulated as a variational inequality problem and solved using an interval-based MSA algorithm. Illustrative examples are also presented to demonstrate the model’s characteristics and its differences compared to traditional equilibrium models, in which the expected travel cost is regarded as a choice criterion.

2. Notations and Network Representation

2.1. Notation

  • G multi-modal transport network: G = ( N , A ) ;
  • N set of physical nodes: N = { n } ;
  • A set of physical links: A = { a } ;
  • I set of transport modes;
  • i individual transport mode, i I : 1 ( b i k e ) , 2 ( b u s ) , 3 ( s u b w a y ) , 4 ( c a r ) ;
  • J set of bus lines of transport mode bus;
  • j individual bus line: j J ;
  • M set of travel modes;
  • m individual travel modes: m M ;
  • P w set of routes between the origin and destination ( O D ) node pair w: p P w ;
  • P w m set of routes in travel mode m between O D pair w: P w = m P w m ;
  • q w travel demands between O D pair w;
  • q w m the proportion of passengers for travel mode m in O D pair w: q w = m q w m ;
  • G super network: G = ( V , L ) ;
  • V set of nodes: V = { v } ;
  • L set of links: L = { l } ;
  • v l passenger flow on link l;
  • v l i passenger flow of transport mode i on physical link l;
  • f w p passenger flow of route p between O D pair w;
  • c l travel cost of link l;
  • c w p travel cost of route p between O D pair w;
  • σ l p incidence relationship between link and route; if link is on route, σ l p = 1 , and otherwise it is 0;
  • t l travel time of link l;
  • t l i travel time of transport mode i on physical link l;
  • t l h travel time on transfer link l;
  • t l s travel time on network access link l;
  • t l x travel time on network departure link l;
  • u l crowd discomfort of link l;
  • u l i crowd discomfort of transport mode i on physical link l;
  • u l h crowd discomfort on transfer link l;
  • u l s crowd discomfort on network access link l;
  • u l x crowd discomfort on network departure link l;
  • m l travel fare of link l;
  • m l i travel fare of transport mode i on physical link l;
  • m l h travel fare on transfer link l;
  • m l s travel fare on network access link l;
  • m l x travel fare on network departure link l;
  • λ t coefficient for travel time;
  • λ u coefficient for crowd discomfort;
  • λ m coefficient for travel fare;
  • t l i 0 free-flow travel time for transport mode i on physical link l;
  • t l b i walking time for transfer to transport mode i on transfer link l;
  • t l d i waiting time for transfer to transport mode i on transfer link l;
  • u i 0 crowd discomfort of transport mode i per time unit;
  • u h 0 crowd discomfort for transfer per time unit;
  • m i 0 travel fare of mode i per distance unit;
  • m h 0 travel fare for transfer;
  • h l length of link l;
  • B l road capacity for transport mode 1 (non-motor vehicles) on physical link l;
  • C l road capacity for transport modes 2 and 4 (motor vehicles) on physical link l;
  • α , β modal parameters of travel time function;
  • α , β modal parameters of crowd discomfort function;
  • γ crowd discomfort-time conversion coefficient;
  • π travel fare-time conversion coefficient;
  • f passenger equivalents for transport mode 2 (bus);
  • g passenger equivalents for transport mode 4 (car);
  • S j number of seats of bus j;
  • A j passenger capacity of bus j;
  • c ^ w p effective travel cost (ETC);
  • c ˜ w travel cost budget (TCB);
  • ς w m expected free-flow travel cost of routes in travel mode m for O D pair w;
  • ω deviation value;
  • μ w m ETC of minimum route in travel mode m for O D pair w;
  • θ parameter of on travel utility perception variation.

2.2. Multi-Modal Transport Network

Consider a multi-modal transportation network, G = ( N , A ) , where N , A , respectively, are the sets of physical nodes and physical links. As shown in Figure 1, the network includes two O D pairs and four transport modes. The origin is set as Node 1, and the destinations as Node 9 and Node 12, respectively. The transport modes in the multi-modal network are, respectively, bicycle (transport mode 1), bus (mode 2), subway (mode 3), and auto (mode 4). Specifically, there are three lines of transport mode buses with corresponding operating frequencies and bus vehicles with a specific number of seats and capacity. The physical node in the network is also a transfer node; that is, travellers can complete a probable transfer on any physical node. In this multi-modal transportation network, travellers can choose one or more modes of transportation.There will be these travel modes: bicycle, bus, subway, car, bicycle+bus, bicycle+subway, bus+subway. In practice, if the traveller chooses car (mode 4), it is impossible for transfer behavior to occur most of the time. Therefore, the combination of cars and other modes of transportation is not considered.
Traffic assignment in a multi-modal network is more complicated than the assignment of pure vehicular or bus trips. In multi-modal networks, it involves pure-mode trips versus combined-mode trips. Compared to a pure-mode trip, in a combined-mode trip, travellers choose not only the routes, but also the transport modes and the kinds and locations of transfers.
To flexibly present combined- and pure-mode trips, the supernetwork concept is adopted, in which the probable transfer rules are automatically captured completely. This is accomplished by constructing the sub-network layer for each transport mode and connecting the origin to the sub-network of each transport mode by the access link, which represent online travel behavior and off-road behavior. And nodes of the sub-network of each transport mode are connected to the corresponding (same-named) nodes of other single-transport-mode networks by transfer links, connecting the destinations to the sub-network of each transport mode, which represent the transfer behavior in the physical node. According to the actual travel behavior of most travellers and the convenience of research, we assume that a traveller cannot transfer more than two times, and the car mode does not involve any transfers.
In Figure 2, the super network G = ( V , L ) is illustrated, where V , L , respectively, are the sets of nodes and links. It is constructed so that each single-transport-mode network is represented individually on separate layers interconnected using transfer links. The links can be divided into transfer links, physical links, network access links, and network departure links. The nodes can be divided into the origin, the destination, and physical nodes (which are also transfer nodes).
After a multi-modal network has been transformed into a supernetwork, it can be considered as a simple network without the need to consider transfer feasibility and related issues. On the other hand, a route in the supernetwork automatically combines the mode transfer choices, which can be decoded for the specific modes used and transfer locations selected. Then, the travellers’ choices in the supernetwork can be broadly categorized into two groups: travel mode choice, which involves the selection of a pure or a combined transport mode, and travel route choice. In addition, care must be exercised in defining the maximum number of transfers and formulating the set of probable transfers so as to strike a balance between capturing realistic transfer behaviors and the proliferation of nodes in the supernetwork. In this study, it is assumed that a traveller cannot transfer more than two times, and the car mode does not involve any transfers. Based on the above, a viable hyper-path in a supernetwork is defined as a hyper-path composed of paths that do not include more than two modes. That is, in viable hyper-paths, transfer links are not used more than once.

3. Generalized Travel Cost Function

In this paper, the equation for the generalized travel cost for physical, transfer, network access, and network departure links is derived. The generalized travel cost function is regarded as a weighted sum of travel time, crowd discomfort, and travel fare:
c l = λ t t l + λ u u l + λ m m l
where t l (min) is the travel time of link l; u l (min) is the crowd discomfort of link l; m l (min) is the fare of link l; λ t , λ u , and λ m , respectively, are the weights of the travel time, crowd discomfort and fare, dimensionless unit, with values of 0.5, 0.3, and 0.2.
Under the assumption that link travel costs are mutually independent, the travel cost for each route can be calculated analytically as follows:
c w p = l c l σ w l p , l L
where σ l p is incidence relationship between link and route. If the link is on the route, σ l p = 1 , and otherwise it is 0.

3.1. Physical Links

3.1.1. Transport Mode 1 (Bicycle)

The travel time t l 1 considering congestion on road traffic can be modelled using the widely used Bureau of Public Road function as (Sheffi (1985) [19])
t l 1 = t l 1 0 1 + α v l 1 B l β
where t l 1 0 (min) is the free-flow travel time of mode 1 on physical link l; v l 1 ( p a s s e n g e r s · ( h 1 ) ) is the traffic volume of mode 1 on physical link l; B l ( p c u · ( h 1 ) ) is the road capacity for mode 1; and α , β are model parameters with dimensionless units, usually with values of 0.15 and 4.
In many cases, crowd discomfort is considered to be associated with many factors, such as travel time, passenger volume of physical links, capacity of the vehicle, and so on. For simplicity, in this study, crowd discomfort is assumed to be a linear function of travel time:
u l 1 = γ u 1 0 t l 1
where γ is the crowd discomfort-time conversion coefficient, a dimensionless unit, with a usual value of 0.5, and u 1 0 ( m i n 1 ) is the crowd discomfort per time unit.
In this study, the travel fares of the bicycles are considered to be directly proportional to the travel distance:
m l 1 = π m 1 0 h l
where π is the travel fare-time conversion coefficient, a dimensionless unit, with a usual value of 0.5; m 1 0 (km 1 ) is the travel fare of mode 1 per distance unit; and h l ( k m ) is the length of link l.
Combining the above, the travel cost function of mode 1 on link l can be written as follows:
c l 1 = λ t + λ u u 1 0 t l 1 0 1 + α v l B l β + λ m π m 1 0 h l

3.1.2. Transport Mode 2 (Bus)

The routes of buses are fixed, but traffic volumes depend on the network congestion. In the physical network, transport mode 2 shares the congestion effect with mode 4 (car). Therefore, the travel time t l 2 considering congestion in road traffic can be formulated as follows:
t l 2 = t l 2 0 1 + α f v l 2 + g v l 4 C l β
where t l 2 0 (min) is the free-flow travel time of mode 2 on link l; v l 2 and v l 4 , respectively, are the passenger flow of modes 2 and 4 on link l; C l ( p c u · h 1 ) ) is the road capacity of the physical link for mode 2 and mode 4; α , β are modal parameters; f, g are, respectively, the passenger equivalents for modes 2 and 4, and passenger equivalents for transport mode 2 (bus) f. Supposing that the average number of bus passengers is 20 and the average number of passengers in a car is 2, we can obtain values of 0.5 and 0.05.
There are assumed to be three bus lines on the road network with corresponding vehicle types and frequencies. Each vehicle type operates with a specific number of seats and capacity, which incur a specific crowd discomfort. Thus, the crowd discomfort for mode 2 is formulated as a function of the number of seats, per-vehicle capacity, and travel time.
u l 2 = γ u 2 0 1 + α v l 2 S j A j β t l 2
where u 2 0 ( m i n 1 ) is the crowd’s discomfort without passengers per time unit; S j (passengers) is the number of seats in bus j; A j ( p a s s e n g e r s ) is the vehicle capacity of bus j; α , β are model parameters, of a dimensionless unit, with usual values of 0.02 and 1.8.
The travel fare of mode 2 on transfer links is assumed to be fixed. Therefore, the travel cost function of link l can be expressed as follows:
c l 2 = λ t + λ u u 2 0 1 + α v l 2 S j A j β t l 2 0 1 + α f v l 2 + g v l 4 C l β

3.1.3. Transport Mode 3 (Subway)

In the absence of congestion, the travel time on the physical links for transport mode 3 is assumed to be fixed:
t l 3 = t l 3 0
where t l 3 0 (min) is the free-flow travel time of mode 3 on physical link l, and is equal to the average travel speed of the subway.
By applying a crowd discomfort function similar to (4), the crowd discomfort of mode 3 on physical link l can be expressed as follows:
u l 3 = γ u 3 0 t l 3
where u 3 0 ( m i n 1 ) is the crowd discomfort per time unit.
Similarly to (5), the travel fare of mode 3 is
m l 3 = π m 3 0 h l
where m 3 0 (km 1 ) is the travel fare of mode 3 per unit distance.
Combining the above, the travel cost of transport mode 3 on each link is established as follows:
c l 3 = λ t + λ u u 3 0 t l 3 0 + λ m π m 3 0 h l

3.1.4. Transport Mode 4 (Car)

To remain consistent with transport mode 2, the travel time of mode 4 t l 4 takes into account road traffic congestion and can be modelled as follows:
t l 4 = t l 4 0 1 + α f v l 2 + g v l 4 C l β
where t l 4 0 (min) is the free-flow travel time of mode 4 on physical link l.
According to the above, the crowd discomfort and travel fare of mode 4 on physical links are obtained as follows:
u l 4 = γ u 4 0 t l 4
m l 4 = π m 4 0 h l
where u 4 0 ( m i n 1 ) is the crowd’s discomfort per time unit and m 4 0 (km 1 ) is the travel fare of mode 4 per unit distance.
Then, the travel cost of transport mode 4 on each link is
c l 4 = λ t t l 4 0 1 + α f v l 2 + g v l 4 C l β + λ m π m 4 0 h l

3.2. Transfer Links

Travel time in transfer links includes transfer waiting time and transfer walking time. For simplicity, in this study, the frequency of the bus and subway modes running on fixed routes and the average walking time transfer node are fixed. Then, the travel time for transfer links can be written as follows:
t l h = t l b i + t l d i
where t l b i (min) is the average walking time for transfer to transport mode i; t l d i (min) is the average waiting time for transfer to transport mode i; t l b i (min) is a nonzero constant if i = 3 , and otherwise t l b i (min) is 0; t l d i (min) is a nonzero constant if i = 2 , 3 , that is, the time of frequency of modes 2 and 3. Otherwise, t l d i (min) is 0.
To maintain consistency with (4), crowd discomfort due to transferring can be expressed as follows:
u l h = γ u h 0 t l h
where u h 0 ( m i n 1 ) is the average crowd discomfort per time unit due to transferring.
While the travel fares of the transport modes (apart from mode 2) have been considered on physical links, only the travel fares of mode 2 are considered on transfer links. They are considered to be fixed, while the fares for the other modes are set to zero.
m l h = π m h i
where m h i (km 1 ) is a nonzero constant if i = 2 , and otherwise m h i is 0.
Consequently, the travel cost function of a transfer link is represented as follows:
c l h = λ t + λ u × γ × u h 0 × t l b i + t l d i + λ m m h i

3.3. Network Access and Departure Links

Similar to transfer links, the travel time on network access links is the transfer waiting time plus the transfer walking time, while on network departure links, the travel time is equal to the walking time. The travel fare is not taken into account, so the travel costs on network access links and network departure links are, respectively, represented as follows:
c l s = λ t + λ u × γ × u h 0 t l b i + t l d i + λ m m h i
c l x = λ t + λ u × γ × u h 0 t l b i

4. Effective Travel Cost (ETC) and Traffic Equilibrium Model

4.1. Effective Travel Cost

Due to the demand for interval travels, the travel cost of a route becomes an interval variable. If only the expected value of the interval travel cost in travel mode and travel route decision is considered similarly to the traditional equilibrium model, it is difficult to illustrate the travellers’ real choices comprehensively. Therefore, a new choice criterion needs to be defined and a corresponding equilibrium model needs to be formulated to capture travellers’ choices on travel modes and routes under the interval travel cost.
By analyzing the characteristic of interval travel cost, the concept of ETC, denoted as c ^ w p , is proposed, which explicitly considers both reliability and unreliability aspects of the interval travel cost in the travel mode and route choosing process. First, a predicted travel cost value is considered from the origin to the destination, which is defined as the TCB.
Definition 1. 
The TCB is defined as an interval variable c ˜ w = [ c ˜ w , c ˜ w + ] , of which the mean value is calculated as follows (Moore (1996, 1979) [20,21]):
c ˜ w + c ˜ w + 2 = m ς w m
where ς w m is the expected free-flow travel cost of routes in travel mode m for O D pair ω; the deviation value of TCB is calculated as follows:
c ˜ w + c ˜ w 2 = c ˜ w + c ˜ w + 2 × ω
where ω is defined as an acceptable deviation value, which reflects the traveller’s tolerance for variability of the interval travel cost. The value is assumed to be 0.1.
Comparing the upper and lower bounds of the budgeted travel cost with the actual travel cost, the actual travel cost can be divided into multiple subintervals. If the value in the sub-interval is likely to be less than the budgeted travel cost, the sub-interval is called the reliability part of the actual travel cost. If the value in the subinterval is likely to be greater than the budgeted trip cost, the subinterval is said to be the unreliable part of the actual trip cost, The definition of reliability and unreliability aspects of the actual travel costs is shown in Figure 3. The effective trip cost is defined as the product of the mean of the reliable subinterval and the probability that the subinterval is less than the budgeted trip cost + the product of the mean of the unreliable subinterval and the probability that the subinterval is greater than the budgeted trip cost. The first group reflects the reliability aspect, under which travellers travel from their origin to their destination with an acceptable level deviation of ω from their TCB. It is defined as the subintervals of the actual interval travel cost, which has a certain probability of being less than the TCB. The second group reflects the unreliability aspect, under which travellers travel from their origin to their destination but exceed their TCB by a value greater than ω . It is defined as subintervals of the actual interval travel costs, which have a certain probability of exceeding the TCB.
Definition 2. 
The ETC c ^ w p for each route is defined as a weighted sum of the mean values of the reliability and unreliability aspects of the actual travel costs. The respective weights are equal to the corresponding probabilities. Therefore, the ETC equation is presented for the following six cases:
Case 1: When the actual interval travel cost and the TCB satisfy c w p c w p + c ˜ w c ˜ w + , the reliability aspect is given by the interval c w p , c w p + , and the probability of not exceeding the TCB is equal to 1.
Case 2: When the actual interval travel cost and the TCB satisfy c w p c ˜ w c w p + c ˜ w + , the reliability aspects are given by the intervals c w p , c ˜ w and c ˜ w , c w p + , and their probabilities of not exceeding the TCB are, respectively, given by c ˜ w c w p c w p + c w p and c w p + c ˜ w 2 2 c w p + c w p c ˜ w + c ˜ w + c w p + c ˜ w c w p + c w p c ˜ w + c w p + c ˜ w + c ˜ w ; the ATC’s unreliability aspect is c ¯ w , c w p + , and the probability of exceeding the TCB is c w p + c ˜ w 2 2 c w p + c w p c ˜ w + c ˜ w .
Case 3: When the actual interval travel cost and the travel cost budget satisfy c ˜ w c w p c w p + c ˜ w + , the reliability aspect of ACT is given by the interval c w p , c w p + , and the probability of not exceeding the TCB is c w p + c w p 2 c ˜ w + c ˜ w + c ˜ w + c w p + c ˜ w + c ˜ w ; the ATC’s unreliability is c w p , c w p + , and the probability of exceeding the TCB is c w p c ˜ w c ˜ w + c ˜ w + c w p + c w p 2 c ˜ w + c ˜ w .
Case 4: When the actual interval travel cost and the TCB satisfy c ˜ w c w p c ˜ w + c w p + , the ATC’s reliability aspect is given by c w p , c ˜ w + , and the probability of not exceeding the TCB is c w p + c ˜ w 2 2 c w p + c w p c ˜ w + c ˜ w ; the ATC’s unreliability aspects are given by c w p , c ˜ w + and c ˜ w + , c w p + , and the corresponding probabilities of exceeding the TCB are c ˜ w + c w p + c w p + c w p c w p c ˜ w c ˜ w + c ˜ w + c w p + c ˜ w 2 2 c w p + c w p c ˜ w + c ˜ w and c w p + c ˜ w + c w p + c w p .
Case 5: When the actual interval travel cost and the TCB satisfy c w p c ˜ w c ˜ w + c w p + , the ATC’s reliability aspects are given by c w p , c ˜ w and c ˜ w , c ˜ w + , and the corresponding probabilities of not exceeding the TCB are c ˜ w c w p c w p + c w p and c ˜ w + c ˜ w 2 c w p + c w p ; the ATC’s unreliability aspects are c ˜ w , c ˜ w + and c ˜ w + , c w p + , and the corresponding probabilities of exceeding the TCB are c ˜ w + c ˜ w 2 c w p + c w p and c w p + c ˜ w + c w p + c w p .
Case 6: When the actual interval travel cost and the TCB satisfy c ˜ w c ˜ w + c w p c w p + , then the ATC’s unreliability aspect is c w p , c w p + , and the probability of exceeding the travel cost budget is 1.
Therefore, the ETC cases can be is formulated as follows:
c ^ w p = c w p + c w p + 2 , c w p c w p + c ˜ w c ˜ w + c ˜ w + c w p 2 × c ˜ w c w p c w p + c w p + c ˜ w + c w p + 2 × c w p + c ˜ w 2 2 c w p + c w p c ˜ w + c ˜ w + c ˜ w + c w p + 2 × c w p + c ˜ w 2 2 c w p + c w p c ˜ w + c ˜ w + c ˜ w + c w p + c ˜ w + c ˜ w , c w p c ˜ w c w p + c ˜ w + c w p + c w p + 2 × c w p + c w p 2 c ˜ w + c ˜ w + c ˜ w + c w p + c ˜ w + c ˜ w + c w p + c w p + 2 × c w p c ˜ w c ˜ w + c ˜ w + c w p + c w p 2 c ˜ w + c ˜ w , c ˜ w c w p c w p + c ˜ w + c w p + c ˜ w + 2 × c ˜ w + c w p 2 2 c ˜ w + c ˜ w c w p + c w p + c w p + c ˜ w + 2 × c ˜ w + c w p + c w p + c w p c w p c ˜ w c ˜ w + c ˜ w + c ˜ w + c w p 2 2 c ˜ w + c ˜ w c w p + c w p + c w p + + c ˜ w + 2 × c w p + c ˜ w + c w p + c w p , c ˜ w c w p c ˜ w + c w p + c w p + c ˜ w 2 × c ˜ w c w p c w p + c w p + c ˜ w + c ˜ w + c ˜ w + c ˜ w 2 c w p + c w p + c ˜ w + + c w p + 2 × c w p + c ˜ w + c w p + c w p , c w p c ˜ w c ˜ w + c w p + c w p + + c w p 2 , c ˜ w c ˜ w + c w p c w p +

4.2. Variational Inequality Formulation

The equilibrium conditions are given by the intersection of the following two subsets of conditions:
The choice of travel mode: For each O D pair w W , the proportion of users in every travel mode is given as the logit model function, which is defined as follows:
q w m = q w exp θ μ w m m M exp θ μ w m m M , w W
where q w m is the proportion of passengers using travel mode m for O D pair w; q w is the travel demands for O D pair w; μ w m is the ETC of the minimum route in travel mode m for O D pair w; θ is a parameter of travel utility perception variation.
The choice of route: It is assumed that each hyper-path on the multi-modal network has an ETC that models these implicit choices. The users’ behaviors are modelled through a version of Wardrop’s user-optimal principle. Therefore, in the equilibrium state, no traveller can unilaterally change the travel path to reduce the ETC; that is, all the used paths have the same ETC, which is less than or equal to the ETC of the unused paths. This condition can be formulated as follows:
f w p c w p μ w m = 0 , c w p μ w m 0 , p P w m , m M , w W
Then, the feasible set can be described as follows:
m M q w m = q w , w W
p P w m f w p = q w m , m M , w W
v l = w W p P w f w p σ w l p , l L
f w p 0 , p P w , w W
q w m > 0 , m M , w W
where (29) and (30) are the travel demand conservation constraints, (31) is a definitional constraint that summarizes all the route flows that pass through a given link, and (32) and (33) are non-negativity constraints on the route flows.
Then, the equilibrium model can be formulated as a variational inequality problem V I ( f , Ω ) , as follows:
w W m M p P w m c w p f w p * f w p f w p * + w W m M 1 θ ln q w m * q w q w m q w m * 0
where Ω represents constraints (29)–(33).
The following two propositions state the equivalence of the VI formulation and the equilibrium model, as well as the existence of an equilibrium solution.
Proposition 1. 
If the effective route travel time function c w p is positive, and the solution of the VI problem (34) is equivalent to the equilibrium solution of the ETC model.
Proof 1. 
By considering the Karush–Kuhn–Tucker conditions of model (34), we have
p P w m c w p f w p μ w m f w p = 0 , p P w m c w p f w p μ w m 0 , p P w m , w W
1 θ ln q w m q w λ w + μ w m q w m = 0 , 1 α ln q w m q w λ w + μ w m 0 , m M , w W
Then, from (33), we obtain
1 θ ln q w m q w λ w + μ w m = 0 , m M , w W
which can be written in the following form:
q w m q w = exp θ μ w m exp θ λ w , m M , w W
Combined with (29), this yields
λ w = m M μ w m
When (38) is substituted into (37), we obtain
q w = q w m exp θ μ w m m M exp θ μ w m
The final equation is the logit model (34). □
Proposition 2. 
If the route ETC function c ^ w p is positive and continuous, the ETC model has at least one solution.
Proof 2. 
Based on Proposition 1, solving the equivalent VI formulation is sufficient. Note that the feasible set is nonempty and convex. Furthermore, according to the assumption, the route ETC is continuous. Thus, the VI problem (21) has at least one solution. □

5. Solution Algorithm

The method of successive averages (MSA) has been widely used for solving traffic equilibrium problems (Liu and He (2009) [22]). In this study, interval mathematics are applied to the algorithm to obtain the results in the form of interval variables, and similarity formulation is proposed to calculate the equilibrium coefficient E. Considering the interval variables A = [ a , a + ] and b = [ b , b + ] , according to interval mathematics, under the conditions P ( A B ) = 0.5 and P ( A B ) = 0.5 , the interval variable A is regarded as equivalent to B. Therefore, the interval variable similarity formulation is expressed as follows:
E = ( P ( A B ) P ( A B ) ) 2 ( P ( A B ) ) 1
Therefore, an MSA algorithm based on interval mathematics is proposed to solve the multi-mode traffic equilibrium problems under interval demands. The detailed steps for the solution are as follows.
  • Initialization. Find all viable hyperpaths between OD pairs using a graph traversal algorithm; based on the free-flow route travel cost, perform an initial loading procedure according to Equations (27) and (28) to obtain link flows v l ( 1 ) and then set n = 1 .
  • Update. Use the interval link flows v l ( n ) to calculate the route interval travel cost c w p , ( n ) and the route ETC c ^ w p , ( n ) using interval mathematics.
  • Direction. Apply the loading process according to Equations (27) and (28) using c ^ w p , ( n ) to obtain an auxiliary link flow pattern y l ( n ) .
  • Move. Calculate the new link flow using an MSA scheme:
    v l ( n + 1 ) = v l ( n ) + χ ( n ) y l ( n ) v l ( n )
    χ ( n ) = n d 1 d + 2 d + 3 d + + n d ( d = 1 )
  • Convergence criterion. Set an acceptable convergence level e, and calculate the equilibrium coefficient E. If
    E = l P v l ( n + 1 ) > v l ( n ) P v l ( n + 1 ) < v l ( n ) 2 l P v l ( n + 1 ) < v l ( n ) 1 e
    stop; otherwise, set n = n + 1 , and return to Step 2.

6. Numerical Example

To demonstrate the effectiveness of the model and algorithm, a multi-modal network was designed with four transport modes, as shown in Figure 1, with interval demands of [3800, 4200] and [9500, 10,500] passengers per hour from the origin, Node 1, to the destination, Nodes 9 and 12, respectively. The determination for crowd discomfort of transport mode i per time unit ( u i 0 ), average crowd discomfort per time unit for transfer ( u h 0 ), travel fare of transport mode i per distance unit ( m i 0 ), and average travel fare per distance unit for transfer have been fully demonstrated [23], so these parameters were adopted directly. f , g are, respectively, the passenger equivalents for modes 2 and 4, passenger equivalents for transport mode 2 (bus) f, supposing that the average number of passengers on a bus is 20 ( p a s s e n g e r s ) and the average number of passengers in a car is 2 ( p a s s e n g e r s ), we can obtain values of 0.05 and 0.5. Then the other dimensionless parameter in the formula of travel cost is shown in Table 1. According to the actual situation, some dimensional parameters related to the network were set. The length of each roadway link is shown in Table 2, and the free-flow travel time and capacity of each roadway link are shown in Table 3. The subway section has a fixed travel time, and the travel time of the roadway link in subway mode is shown in Table 4. The operative information of the bus and subway is shown in Table 5. The walking time by subway t b 3 is assumed to be 5 min.
The convergence characteristics of the proposed solution algorithm are illustrated in Figure 4. It can be seen that the equilibrium condition at a relative gap of 10 3 ( e = 0.001 ) was obtained after 7200 iterations (for θ = 0.4 , ω = 0.1 ). This result indicates that the proposed MSA solution algorithm can solve the problem with an acceptable accuracy level.
To highlight the differences between using the ETC as the travel mode and route choice criterion in the ETC equilibrium model and the acceptable travel cost as the route choice criterion in the traditional equilibrium model (TEM), a comparison and analysis between the two models are, respectively, illustrated in Table 6 and Table 7.
It can be seen from the tables that the distribution results of both the ETC equilibrium model and the TEM are consistent in the following. On the one hand, the summation of the traffic volume of each travel mode is equal to the total travel demands between O D pair w, and the summation of passenger flows of each link is also equal to the total travel demands between O D pair w when the equilibrium state is reached. This indicates that the distribution result is correct and effective. On the other hand, no matter which criterion is adopted, the bicycle travel mode always results in the least traffic volume, which is also far lower than that of the combined travel modes of “bicycle + bus or bicycle + subway”. This indicates that the bicycle travel mode is rarely adopted. However, as a complementary transport mode, bicycles are more commonly combined with other transport modes. The difference in the results of modal splits is not significant, and the most obvious differences are mainly concentrated in links 1–5, 4–7, 7–8, and 8–9, which are links of the transport bus line 3 and subway.
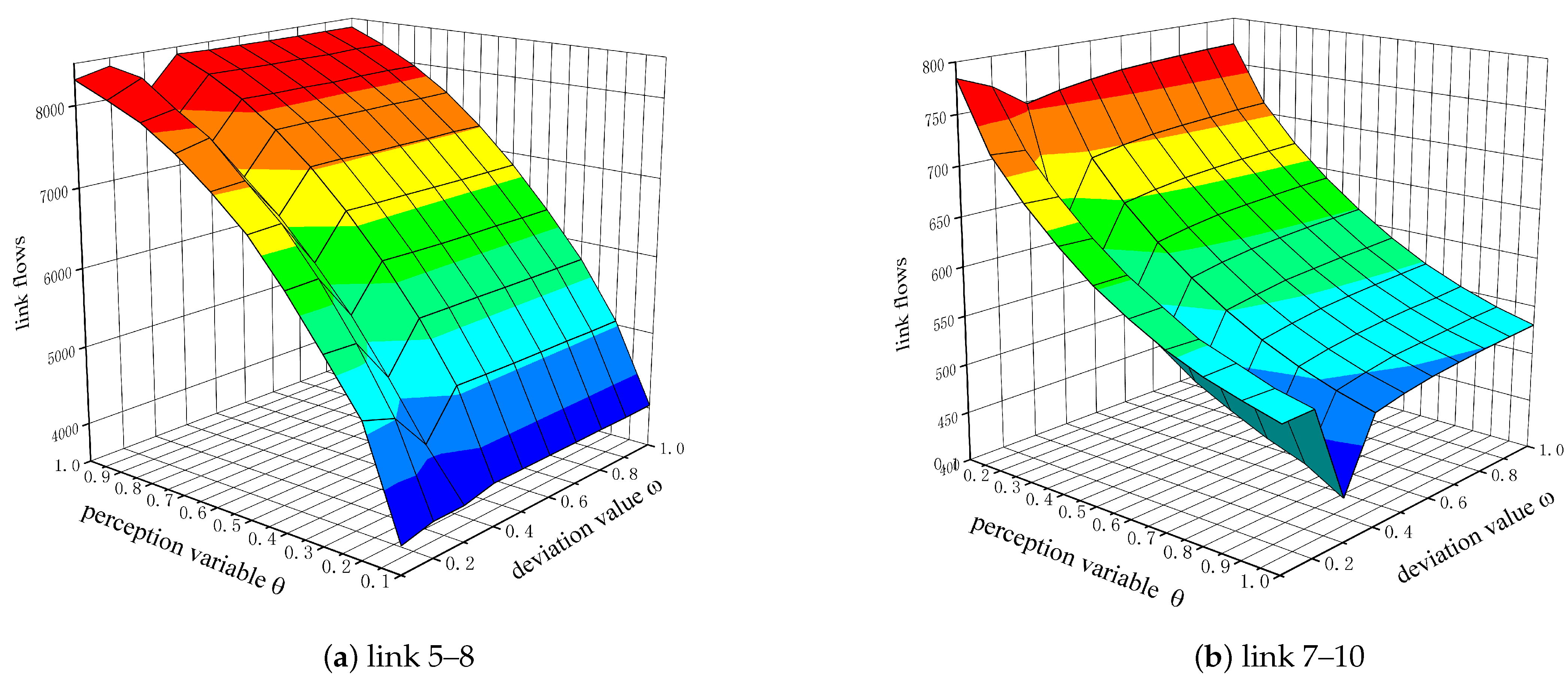
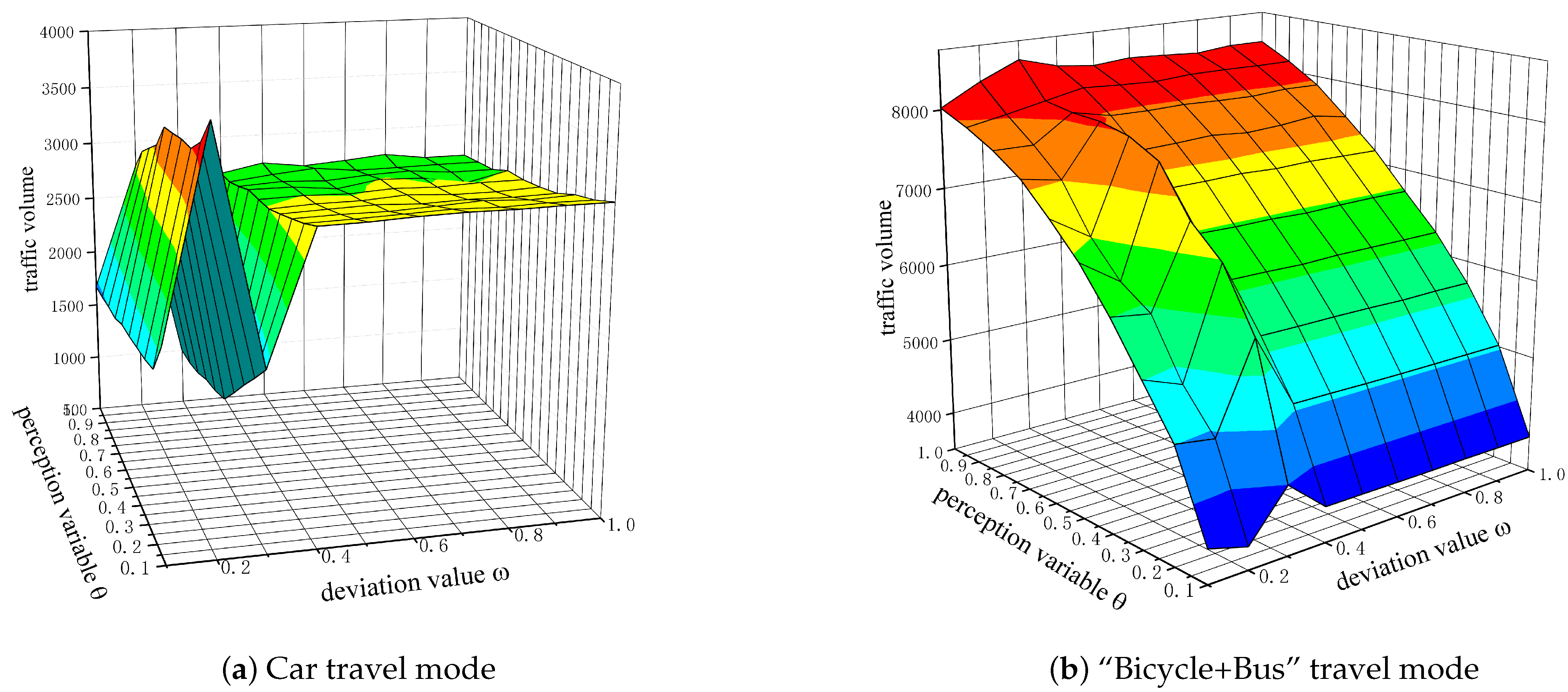
Travellers’ choices were investigated under different levels of perception variables and deviation values in terms of travel mode and travel route choices. To simplify the analysis, the distribution results of two typical travel modes (car and “bicycle + bus”) and two links (5–8, 7–10) were selected for the analyses of Figure 5 and Figure 6.
It can be seen from Figure 5 and Figure 6 that as the deviation value ω increases from 0.1 to 1, the distribution results show only slight fluctuations on the whole except when ω = 0.2 and ω = 0.3 . For the results of the modal split, the traffic volume of cars increases rapidly at ω = 0.2 , then decreases rapidly at ω = 0.3 . On the contrary, the traffic volume of the “bicycle + bus” travel mode decreases rapidly at ω = 0.2 , then increases rapidly at ω = 0.3 . Regarding link flow distribution, the passenger flows of both links 5–8 and links 7–10 decrease rapidly at ω = 0.3 . In addition, the value of the perception variable θ also has significant effects on travellers’ route and mode choice behaviors. It can be seen from Figure 5 and Figure 6 that as the deviation value ω increases from 0.1 to 1, the overall trend of the distribution result increases. This is because the perception variable in the logit model represents the travellers’ perceptions of the information of the road network, and higher values reflect a more accurate grasp of the available information, which results in the logit choice model being closer to deterministic choice behaviors. In practice, compared to other travel modes, the ETC of car and “bicycle + bus” travel modes is lower. Therefore, the traffic volume of these two modes is increasing, and the link flows are increasing accordingly.

7. Conclusions

In this paper, the traffic distribution equilibrium problem of uncertain traffic demand in a multi-mode network is studied. Travel demands are expressed as interval variables, and passenger flows and travel costs are thus formulated as interval variables. The effective travel cost is defined as a measure value for interval travel cost to consider both the reliability and unreliability aspects of actual travel cost. Moreover, it is introduced into the travel mode and route choice and an ETC equilibrium model is then developed. An equivalent variational inequality formulation is provided, which permits the existence and uniqueness of solutions and is solved by an interval-based MSA algorithm. A numerical experiment to illustrate these models was also performed, and numerical results under different choice criteria demonstrate different characteristics of traffic equilibrium patterns, and the traffic assignment results in changes in the parameters. The theoretical analysis results of this paper would be useful to the problem of traffic distribution equilibrium.

Author Contributions

X.Z.: Writing—original draft, Writing—review & editing; Y.X.: Supervision; K.-K.L.: Resources; X.L. and S.Y.: Investigation. All authors have read and agreed to the published version of the manuscript.

Funding

This study was supported by grants from the soft science project of Shanxi Provincial Department of science and technology: Research on comprehensive management system of smart community based on “Fengqiao Experience” (2021KRM098).

Institutional Review Board Statement

Not applicable.

Informed Consent Statement

Not applicable.

Data Availability Statement

The data presented in this study are available in article.

Conflicts of Interest

The authors declare no conflict of interest.

References

  1. Fernandez, E.; De-Cea, J.; Florian, M.; Cabrera, E. Network equilibrium models with combined modes. Transp. Sci. 1994, 28, 182–192. [Google Scholar] [CrossRef]
  2. Wu, Z.X.; Lam, W. A combined modal split and stochastic assignment model for congested networks with motorized and non-motorized modes. Transp. Res. Rec. 2003, 1831, 57–64. [Google Scholar] [CrossRef]
  3. Lo, H.K.; Yip, C.W.; Wan, Q.K. Modeling competitive multi-modal transit services: A nested logit approach. Transp. Res. Part C 2004, 12, 251–271. [Google Scholar] [CrossRef]
  4. Meng, Q.; Liu, Z. Impact analysis of cordon-based congestion pricingon mode-split for a bimodal transportation network. Transp. Res. Part C 2012, 21, 134–147. [Google Scholar] [CrossRef]
  5. Kitthamkesorn, S.; Chen, A.; Xu, X.; Ryu, S. Modeling mode and route similarities in network equilibrium problem with go-green modes. Netw. Spat. Econ. 2016, 16, 33–60. [Google Scholar] [CrossRef]
  6. Wang, J.; Peeta, S.; He, X.; Zhao, J. Combined multinomial logit modal split and paired combinatorial logit traffic assignment model. Transp. A 2018, 14, 737–760. [Google Scholar] [CrossRef]
  7. Wang, G.; Chen, A.; Kitthamkesorn, S.; Ryu, S.; Qi, H.; Song, Z.; Song, J. A multi-modal network equilibrium model with captive mode choice and path size logit route choice. Transp. Res. Part A Policy Pract. 2020, 136, 293–317. [Google Scholar] [CrossRef]
  8. Lo, H.K.; Luo, X.W.; Siu, B.W. Degradable Transport Network: Travel Time Budget of Travellers with Heterogeneous Risk Aversion. Transp. Res. Part B 2006, 40, 792–806. [Google Scholar] [CrossRef]
  9. Shao, H.; Lam, W.H.; Meng, Q.; Tam, M.L. Demand-driven Traffic Assignment Problem Based on Travel Time Reliability. Transp. Res. Rec. 2006, 1985, 220–230. [Google Scholar] [CrossRef]
  10. Shao, H.; Lam, W.; Mei, L.T. A reliability-based Stochastic Traffic Assignment Model for Network with Multiple User Classes under Uncertainty in Demand. Netw. Spat. Econ. 2006, 6, 173–204. [Google Scholar] [CrossRef]
  11. Siu, B.W.Y.; Lo, H.K. Doubly Uncertain Transportation Network: Degradable Capacity and Stochastic Deman. Eur. J. Oper. Res. 2008, 191, 166–181. [Google Scholar] [CrossRef]
  12. Systematics, C.; Texas, I. Providing a Highway System with Reliable Travel Times; Transportation Institute, University of Washington, Dowling Associates NCHRP Report No. 20–58; Transportation Research Board, National Research Council: Washington, DC, USA, 2003. [Google Scholar]
  13. Watling, D. User Equilibrium Traffic Network Assignment with Stochastic Travel Times and Late Arrival Penalty. Eur. J. Oper. Res. 2006, 175, 1539–1556. [Google Scholar] [CrossRef]
  14. Chen, A.; Zhou, Z. The -reliable Mean-excess Traffic Equilibrium Model with Stochastic Travel Times. Transp. Res. Part B Methodol. 2010, 44, 493–513. [Google Scholar] [CrossRef]
  15. Lu, B.; Pu, Y.; Liu, H.X. Budget-excess User Equilibrium Model Under Uncertain Supply and Uncertain Demand. China J. Highw. Transp. 2012, 25, 113–120. [Google Scholar]
  16. Zhang, C.; Chen, X.-J.; Sumalee, A. Robust Wardrop’s User Equilibrium Assignment under Stochastic Demand and Supply: Expected Residual Minimization Approach. Transp. Res. Part B Methodol. 2011, 45, 534–552. [Google Scholar] [CrossRef]
  17. Xu, M.; Cheng, P.; Wang, M. A New Model for Robust Wardrop’s User Equilibrium under Uncertainties. In Proceedings of the 2011 International Conference on Electronic & Mechanical Engineering and Information Technology, Harbin, China, 12–14 August 2011; pp. 1297–1300. [Google Scholar]
  18. Wei, H.-Z.; Chen, C.-R.; Wu, B.-W. Vector Network Equilibrium Problems with Uncertain Demands and Capacity Constraints of Arc. Optim. Lett. 2021, 15, 1113–1131. [Google Scholar] [CrossRef]
  19. Sheffi, Y. Urban Transportation Network: Equilibrium Analysis with Mathematical Programming Methods; Prentice-Hall: Englewood Cliffs, NJ, USA, 1985. [Google Scholar]
  20. Moore, R.E. Interval Analysis; Prentice-Hall: Englewood Cliffs, NJ, USA, 1996. [Google Scholar]
  21. Moore, R.E. Methods and Applications of Interval Analysis; SIAM: Philadelphia, PA, USA, 1979. [Google Scholar]
  22. Liu, H.; He, X.; He, B. Method of Successive Weighted Averages (MSWA) and Self-Regulated Averaging Schemes for Solving Stochastic User Equilibrium Problem. Netw. Spat. Econ. 2009, 9, 485–503. [Google Scholar] [CrossRef]
  23. Meng, M.; Shao, C.F.; Zeng, J.J.; Zhang, J. Multi-modal traffic equilibrium model and algorithm with combined modes. J. Jilin Univ. 2014, 44, 47–53. [Google Scholar]
Figure 1. Multi-modal transportation network.
Figure 1. Multi-modal transportation network.
Applsci 13 12841 g001
Figure 2. Supernetwork.
Figure 2. Supernetwork.
Applsci 13 12841 g002
Figure 3. ETC definition cases.
Figure 3. ETC definition cases.
Applsci 13 12841 g003
Figure 4. Convergence curve of the SMA algorithm.
Figure 4. Convergence curve of the SMA algorithm.
Applsci 13 12841 g004
Figure 5. Modal splits under different levels of perception variable θ and deviation value ω .
Figure 5. Modal splits under different levels of perception variable θ and deviation value ω .
Applsci 13 12841 g005
Figure 6. Link flow distributions under different levels of perception variable θ and deviation value.
Figure 6. Link flow distributions under different levels of perception variable θ and deviation value.
Applsci 13 12841 g006
Table 1. Modal parameters.
Table 1. Modal parameters.
θ α β α β λ t λ u λ m γ π
0.40.1540.021.80.50.30.20.50.5
fg u 1 0 u 2 0 u 3 0 u 4 0 u h 0 m 1 0 m 2 0 m 3 0
0.50.050.60.50.20.10.150.150.10.2
m 4 0 m h 2
0.82
Table 2. Link length.
Table 2. Link length.
Link node1–21–41–52–32–53–64–54–75–65–8
Length/km2152231213
Link node5–96–97–87–108–98–119–1210–1111–12
Length/km613827643
Table 3. Free-flow travel time and capacity of each roadway link.
Table 3. Free-flow travel time and capacity of each roadway link.
Link NodeFree-Flow Travel Time (min)Capacity ( pcu · h 1 )
Bicycle t l 1 0 Bus t l 2 0 Auto t l 4 0 Bus and Auto C l Bike B l
1–21023650200
1–4522800250
1–5
2–31043600200
2–510421000400
3–61564900300
4–5522750200
4–71043750300
5–6522700200
5–815631400400
5–9
6–9521700300
7–81564800200
7–10401610800300
8–91042800200
8–11351481200400
9–1230127850350
10–112085750250
11–121564650250
Table 4. Travel time of roadway link in subway mode.
Table 4. Travel time of roadway link in subway mode.
Link node1–55–9
Travel time (min)46
Table 5. The operative information of bus and subway.
Table 5. The operative information of bus and subway.
Link NodeBus LineSubway LineFrequency (min)Seat NumberVehicle Capacity
A j (Passengers/Vehicle)
1–2162950
2–3162950
3–6162950
6–9162950
2–52103970
5–82103970
8–112103970
4–73155990
7–103155990
10–11385990
11–12385990
1–513
5–913
Table 6. Resultant modal splits.
Table 6. Resultant modal splits.
OD PairTravel ModeMode Splits (Passengers · h 1 )
ETCTEM
O D 1 , 9 Bicycle[0, 0.01][0, 0.01]
Bus[3338.52, 3689.43][2121.24, 2344.51]
Subway[27.05, 30.96][23.65, 26.14]
Auto[1605.41, 1774.02][1011.42, 1179.13]
Bicycle + Bus[419.47, 463.68][631.12, 697.55]
Bicycle + Subway[14.69, 16.83][12.62, 13.95]
O D 1 , 12 Bicycle[0, 0.01][0, 0]
Bus[821.42, 907.88][1156.34, 1278.06]
Auto[1751.08, 1935.38][1750.91, 1935.28]
Bicycle + Bus[5426.27, 5998.56][5316.83, 5876.52]
Bicycle + Subway[0, 0][0, 0]
Bus + Subway[1498.45, 1656.64][1276.02, 1410.31]
Table 7. Link flow distribution.
Table 7. Link flow distribution.
LinkLink Flow (Passengers · h 1 )
ETCTEM
1–2[2049.17, 2265.59][2223.92, 2457.96]
1–4[3517.86, 3888.92][3146.09, 3477.12]
1–5[7353.04, 8127.42][0, 0.01]
2–3[432.06, 478.92][563.79, 623,14]
2–5[6536.21, 7225.84][6362.74, 7032.41]
3–6[432.07, 479.92][563.79, 623.14]
4–5[433.56, 479,19][284.59, 314.55]
4–7[1117.16, 1235.90][2637.51, 2915.13]
5–6[1038.07, 1147.86][1104.21, 1220.54]
5–8[6051.15, 6687.53][5999.93, 6631.54]
5–9[9.73, 10.96][12.56, 13.88]
6–9[1471.41, 1626.09][1668.03, 1843.62]
7–8[626.08, 692.52][2169.91, 2398.34]
7–10[612.59, 677.71][619.10, 684.27]
8–9[1239.67, 1369.02][2866.21, 3167.91]
8–11[5403.52, 5972.08][5303.74, 5861.92]
9–12[1157.31, 1279.18][1157.61, 1279.51]
10–11[612.59, 677.71][619.10, 684.27]
11–12[6016.12, 6649.71][5922.81, 6546.22]
Disclaimer/Publisher’s Note: The statements, opinions and data contained in all publications are solely those of the individual author(s) and contributor(s) and not of MDPI and/or the editor(s). MDPI and/or the editor(s) disclaim responsibility for any injury to people or property resulting from any ideas, methods, instructions or products referred to in the content.

Share and Cite

MDPI and ACS Style

Zhang, X.; Xu, Y.; Lai, K.-K.; Li, X.; Yang, S. A Traffic Equilibrium Model for Multi-Modal Networks with Uncertain Demands. Appl. Sci. 2023, 13, 12841. https://doi.org/10.3390/app132312841

AMA Style

Zhang X, Xu Y, Lai K-K, Li X, Yang S. A Traffic Equilibrium Model for Multi-Modal Networks with Uncertain Demands. Applied Sciences. 2023; 13(23):12841. https://doi.org/10.3390/app132312841

Chicago/Turabian Style

Zhang, Xin, Yang Xu, Kin-Keung Lai, Xiaodong Li, and Shuang Yang. 2023. "A Traffic Equilibrium Model for Multi-Modal Networks with Uncertain Demands" Applied Sciences 13, no. 23: 12841. https://doi.org/10.3390/app132312841

APA Style

Zhang, X., Xu, Y., Lai, K.-K., Li, X., & Yang, S. (2023). A Traffic Equilibrium Model for Multi-Modal Networks with Uncertain Demands. Applied Sciences, 13(23), 12841. https://doi.org/10.3390/app132312841

Note that from the first issue of 2016, this journal uses article numbers instead of page numbers. See further details here.

Article Metrics

Back to TopTop