Carbonate Pore Shape Evaluation Using Digital Image Analysis, Tomography, and Effective Medium Theory
Abstract
:1. Introduction
2. Materials and Methods
2.1. Geological Setting
2.2. Petrographic Description
2.3. Laboratory Measurements
2.4. Application of Effective Medium Theory
3. Results
3.1. Laboratory Studies
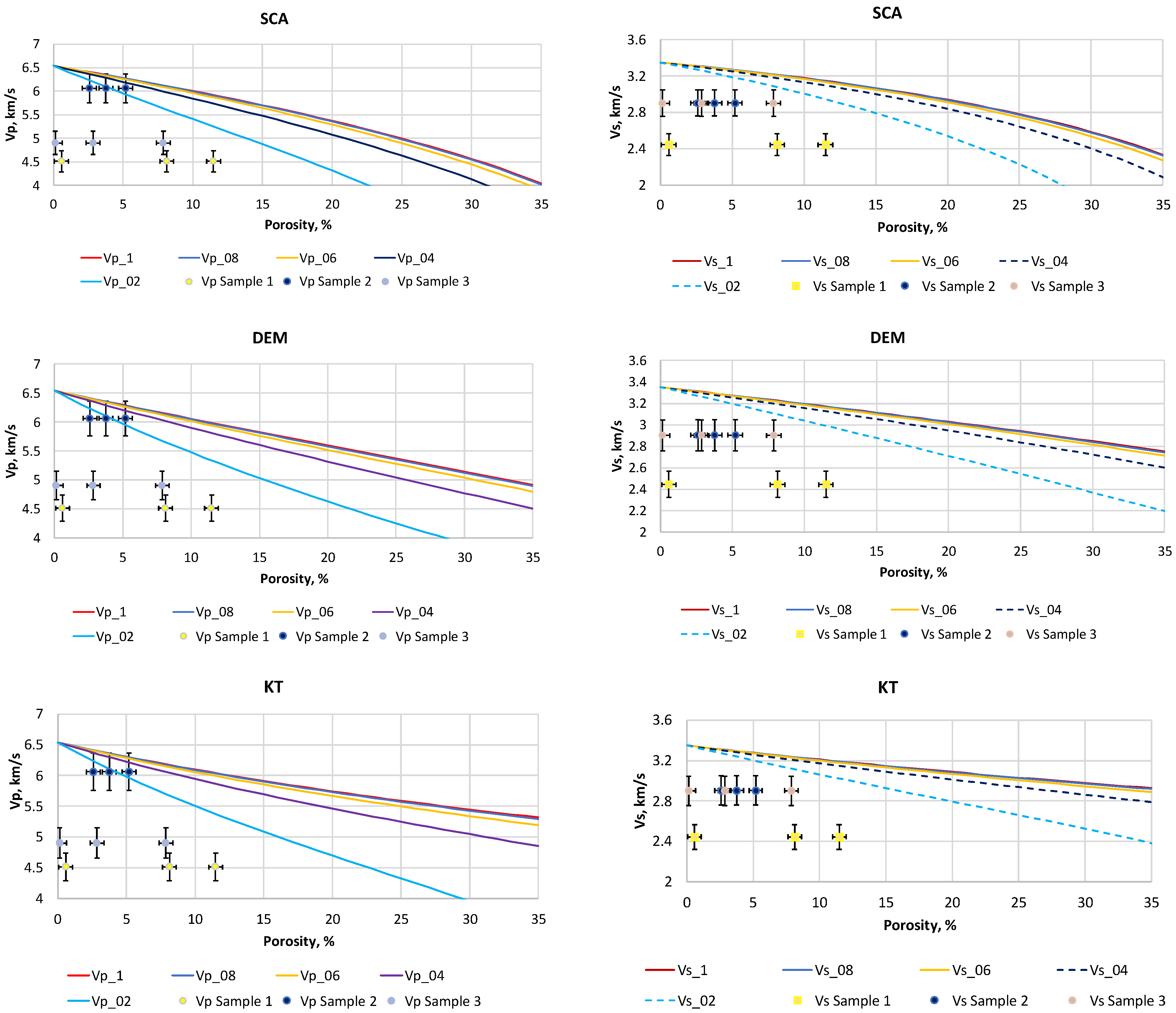
3.2. Rock-Physics-Based Solution of Forward Problem
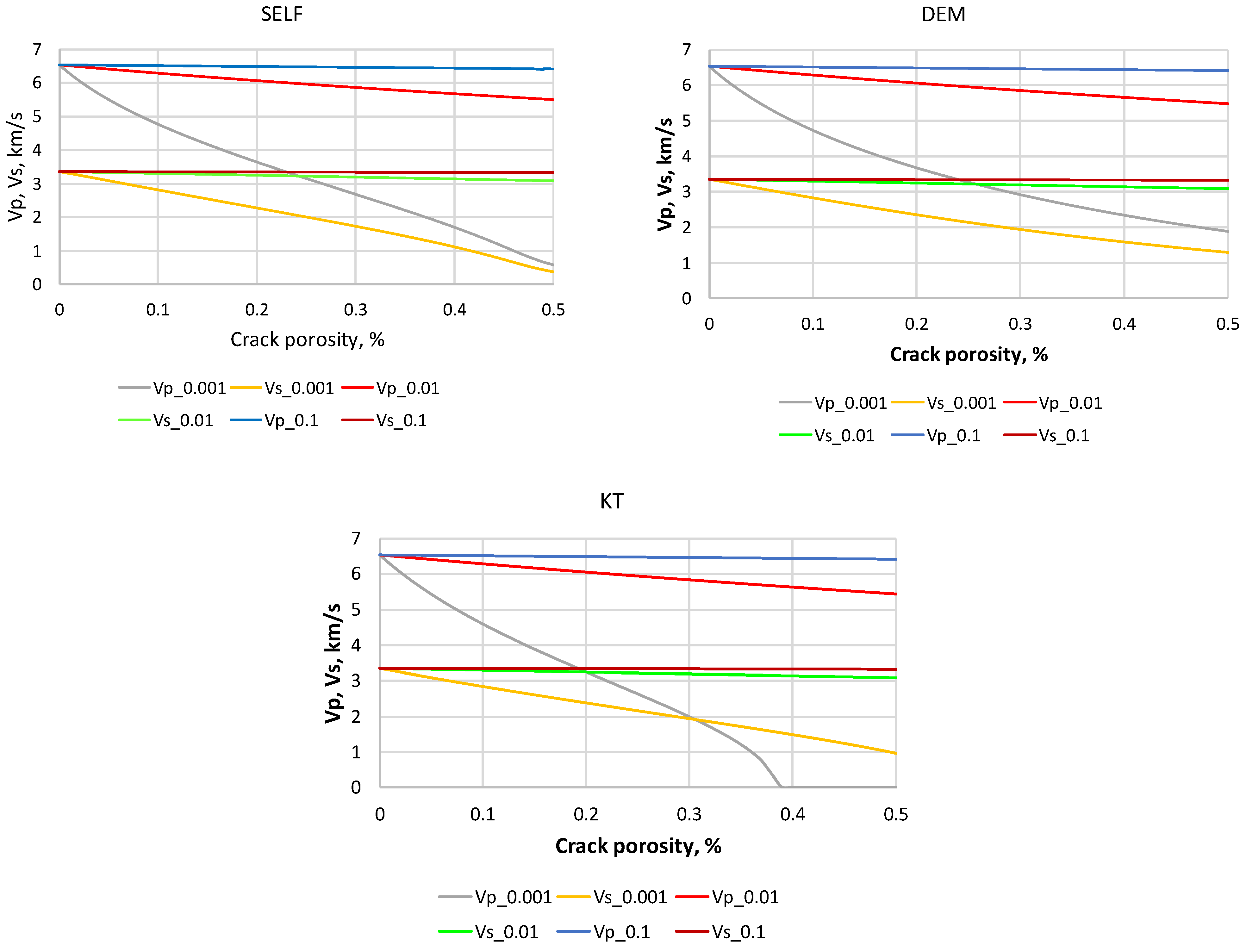
3.3. Rock-Physics-Based Inversion for Model with Microcracks
3.4. Rock-Physics-Based Inversion for Model with Intergranular Material
3.5. Comparison of Predictive Abilities of RP Models
4. Discussion
5. Conclusions
Author Contributions
Funding
Institutional Review Board Statement
Informed Consent Statement
Data Availability Statement
Acknowledgments
Conflicts of Interest
Appendix A
Appendix A.1. Self-Consistent Approximation (SCA) of Berryman [25]
Appendix A.2. Differential Effective Medium (DEM) Method [25]
Appendix A.3. Kuster–Toksöz Method [26]
References
- Anselmetti, F.S.; Eberli, G.P. Sonic velocity in carbonates—A combined product of depositional lithology and diagenetic alteration. Subsurface Geology of a Prograding Carbonate Platform Margin, Great Bahama Bank: Results of the Bahamas Drilling Project. SEPM Special Publ. 2001, 70, 193–216. [Google Scholar]
- Dunham, R.J. Classification of carbonate rocks according to depositional texture. AAPG Mem. 1962, 1, 108–121. [Google Scholar]
- Nur, A.; Mavko, G.; Dvorkin, J.; Galmudi, D. Critical porosity: The key to relating physical properties to porosity in rocks. SEG Tech. Program Expand. Abstr. 1995, 65, 878–881. [Google Scholar]
- Morozov, V.P.; Kozina, E.A. Carbonate Rocks of the Tournaisian Stage of the Lower Carboniferous; PF Hart: Kazan, Russia, 2007; pp. 6–7. (In Russian) [Google Scholar]
- Kozina, E.A.; Korolev, E.A.; Morozov, V.P.; Pikalev, S.N. The main types of carbonate reservoirs of Tournaisian oil of the Republic of Tatarstan. Oil Gas Bus. 2005, 3, 9–16. (In Russian) [Google Scholar]
- Hisamov, R.S.; Musabirov, M.K.; Yartiev, A.F. Increasing the Productivity of Carbonate Reservoirs of Oil Fields; Ikhlas: Kazan, Russia, 2015; pp. 10–55. (In Russian) [Google Scholar]
- Rafavich, F.; Kendall, C.H.; Todd, T.P. The relationship between acoustic properties and the petrographic character of carbonate rocks. Geophysics 1984, 49, 1622–1636. [Google Scholar] [CrossRef]
- Wang, Z.; Hirsche, W.K.; Sedgwick, G. Seismic velocities in carbonate rocks. J. Canadian Petro. Tech. 1991, 30, 112–122. [Google Scholar]
- Berryman, J.G. Mixture theories for rock properties. In Rock Physics and Phase Relations: A Handbook of Physical Constants; Ahrens, T.J., Ed.; American Geophysical Union: Washington, DC, USA, 1995; pp. 205–228. [Google Scholar]
- Kumar, M.; Han, D. Pore shape effect on elastic properties of carbonate rocks. SEG Tech. Program Expand. Abstr. 2005, 24, 1477–1480. [Google Scholar]
- Palaz, I.; Marfurt, K. Carbonate Seismology; Society of Exploration Geophysicists: Tulsa, OK, USA, 1997; p. 443. [Google Scholar]
- Xu, S.; Payne, M.A. Modeling Elastic Properties in Carbonate Rocks. Lead. Edge 2009, 28, 66–74. [Google Scholar] [CrossRef]
- Anselmetti, F.S.; Eberli, G.P. Controls on sonic velocity in carbonates. Pure Appl. Geophys. 1993, 141, 287–323. [Google Scholar] [CrossRef]
- Eberli, G.P.; Baechle, G.T.; Anselmetti, F.S.; Incze, M.L. Factors controlling elastic properties in carbonate sediments and rocks. Lead. Edge 2003, 22, 654–660. [Google Scholar] [CrossRef]
- Verwer, K.; Braaksma, H.; Kenter, J.A. Acoustic properties of carbonates: Effects of rock texture and implications for fluid substitution. Geophysics 2008, 73, B51–B65. [Google Scholar] [CrossRef]
- Misaghi, A.; Negahban, S.; Landrø, M.; Javaherian, A. A comparison of rock physics models for fluid substitution in carbonate rocks. Explor. Geophys. 2010, 41, 146–154. [Google Scholar] [CrossRef]
- Archie, G.E. Classification of carbonate reservoir rocks and petrophysical considerations. AAPG Bull. 1952, 36, 278–298. [Google Scholar]
- Müller-Huber, E.; Schön, J.; Börner, F. Pore space characterization in carbonate rocks—Approach to combine nuclear magnetic resonance and elastic wave velocity measurements. J. Appl. Geophys. 2016, 127, 68–81. [Google Scholar] [CrossRef]
- Choquette, P.W.; Pray, L.C. Geologic nomenclature and classification of porosity in sedimentary carbonates. AAPG Bull. 1970, 54, 207–250. [Google Scholar]
- Lucia, F.J. Carbonate Reservoir Characterization; Springer: New York, NY, USA, 1999; 226p. [Google Scholar]
- Kosarev, V.E.; Ziganshin, E.R.; Novikov, I.P.; Dautov, E.A.; Yachmeneva, E.S.; Bystrov, E.S. Geomechanical properties of carbonate reservoir rocks and Middle Carbon cap rocks of the Ivinskoe Oilfield. SOCAR Proc. Special Issue 2021, 2, 104–109. (In Russian) [Google Scholar] [CrossRef]
- Abdlmutalib, A.; Abdullatif, O.; Abdelkarim, A.; Yousif, I. Factors influencing acoustic properties of carbonate rocks: Examples from middle Jurassic carbonates, Central Saudi Arabia. J. Afr. Earth Sci. 2018, 150, 767–782. [Google Scholar] [CrossRef]
- Fournier, F.; Léonide, P.; Kleipool, L.; Toullec, R.; Reijmer, J.J.G.; Borgomano, J.; Van Der Molen, J. Pore space evolution and elastic properties of platform carbonates (Urgonian limestone, Barremian-Aptian, SE France). Sediment. Geol. 2014, 308, 1–17. [Google Scholar] [CrossRef]
- Youssef, S.; Rosenberg, E.; Gland, N.; Kenter, J.; Skalinski, M.; Vizika, O. High resolution CT and pore-network models to assess petrophysical properties of homogeneous and heterogeneous carbonates. In Proceedings of the SPE/EAGE Reservoir Characterization and Simulation Conference, Abu Dhabi, United Arab Emirates, 19–21 October 2009. [Google Scholar] [CrossRef]
- Berryman, J.G. Long-wavelength propagation in composite elastic media. J. Acoust. Soc. Am. 1980, 68, 1809–1831. [Google Scholar] [CrossRef]
- Berryman, J.G.; Pride, S.R.; Wang, H.F. A differential scheme for elastic properties of rocks with dry or saturated cracks. In Proceedings of the 15th ASCE Engineering Mechanics Conference, New York, NY, USA, 2–5 June 2002. [Google Scholar]
- Kuster, G.T.; Toksöz, M.N. Velocity and attenuation of seismic waves in two-phase media. Geophysics 1974, 39, 587–618. [Google Scholar] [CrossRef]
- Mavko, G.; Mukerdji, T.; Dvorkin, J. Rock Physics Handbook, 3rd ed.; Cambridge University Press: Cambridge, UK, 2020; pp. 220–308. [Google Scholar]
- Baechle, G.T.; Weger, R.; Gregor, P.; Eberli, G.P.; Massaferro, J.-L. The role of macroporosity and microporosity in constraining uncertainties and in relating velocity to permeability in carbonate rocks. SEG Tech. Program Expand. Abstr. 2004, 24, 1662–1665. [Google Scholar]
- Bayuk, I.; Tikhotsky, S. Upscaling and downscaling of reservoir rock elastic properties—Rock Physics approach. SEG Tech. Program Expand. Abstr. 2018, 3653–3657. [Google Scholar] [CrossRef]
- Chernyshov, S.P. Forecast of Physical Properties of Rocks at Different Scales. Bachelor’s Thesis, Moscow State University, Moscow, Russia, 2021. (In Russian). [Google Scholar]
- Bayuk, I.O.; Beloborodov, D.E.; Berezina, I.A.; Gilyazetdinova, D.R.; Krasnova, M.A.; Korost, D.V.; Patonin, A.V.; Ponomarev, A.V.; Tikhotsky, S.A.; Fokin, I.V.; et al. Elastic properties of core samples under confining pressure. Seism. Technol. 2015, 2, 36–45. (In Russian) [Google Scholar]
- Peselnik, L.; Robie, R.A. Elastic constants of calcite. J. Appl. Phys. 1963, 34, 2494–2495. [Google Scholar] [CrossRef]
- Lima Neto, I.A.; Ceia, M.A.R.; Misságia, R.M.; Oliveira, G.L.P.; Santos, V.H.; Paranhos, R.P.R.; Archilha, N.L. Testing and evaluation of 2D/3D digital image analysis methods and inclusion theory for microporosity and S-wave prediction in carbonates. Mar. Pet. Geol. 2018, 97, 592–611. [Google Scholar] [CrossRef]
- Fonseca Medina, V.E. Estimation of Petrophysical Properties from Thin Sections Using 2D to 3D Reconstruction of Confocal Laser Scanning Microscopy Images. Master’s Thesis, KAUST Research Repository, Thuwal, Saudi Arabia, 2022. [Google Scholar] [CrossRef]
- Hashin, Z.; Shtrikman, S. A variational approach to the theory of the elastic behavior of multiphase materials. J. Mech. Phys. Sol. 1963, 11, 127–135. [Google Scholar] [CrossRef]
- Gassmann, F. Über die Elastizität poröser Medien. Vierteljahrsschr. der Nat. Ges. Zur. 1951, 96, 1–23. [Google Scholar]
- Germanovich, L.N.; Dyskin, A.V. Virial expansions in problems of effective characteristics. Part I. General concepts. J. Mech. Compos. Mater. 1994, 30, 222–237. [Google Scholar] [CrossRef]
- Germanovich, L.N.; Dyskin, A.V. Virial expansions in problems of effective characteristics. Part II. Anti-plane deformation of fiber composite. Analysis of self-consistent methods. J. Mech. Compos. Mater. 1994, 30, 234–243. [Google Scholar] [CrossRef]
- Finkel’berg, V.M. Virial expansion in the problem of electrostatic polarization of a many-bodied system. Dokl. Akad. Nauk 1963, 152, 320–323. [Google Scholar]





















| Parameter | Sample 1 | Sample 2 | Sample 3 | 
|---|---|---|---|
| Bulk density (g/cm3) | 2.388 (±0.008) | 2.586 (±0.009) | 2.463 (±0.009) | 
| S-wave velocity (km/s) | 2.4 (±0.102) | 2.9 (±0.128) | 2.9 (±0.127) | 
| P-wave velocity (km/s) | 4.5 (±0.175) | 6.1 (±0.279) | 4.9 (±0.181) | 
| Porosity (φ1) (%) | 11.49 (±0.5) | 3.76 (±0.5) | 7.88 (±0.5) | 
| Porosity (φ2) (%) | 0.43 | 2.16 | 0.13 | 
| Porosity (φ3) (%) | 7.43 | 4.53 | 2.19 | 
| Aspect ratio mode (standard sample) | 0.50 | 0.50 | 0.51 | 
| Aspect ratio mode (small sample) | 0.50 | 0.55 | 0.52 | 
| Name | Crack Porosity, % | Aspect Ratio | Crack Density | 
|---|---|---|---|
| Sample 1, Dataset 1 | 0.01 | 0.0001 | 0.23 | 
| Sample 1, Dataset 2 | 0.85 | 0.0078 | 0.26 | 
| Sample 1, Dataset 3 | 0.02 | 0.0001 | 0.39 | 
| Sample 2, Dataset 1 | 0.07 | 0.0024 | 0.07 | 
| Sample 2, Dataset 2 | 0.23 | 0.0100 | 0.05 | 
| Sample 2, Dataset 3 | 0.25 | 0.0066 | 0.09 | 
| Sample 3, Dataset 1 | 0.10 | 0.0016 | 0.15 | 
| Sample 3, Dataset 2 | 0.15 | 0.0016 | 0.22 | 
| Sample 3, Dataset 3 | 0.03 | 0.0003 | 0.26 | 
| Disclaimer/Publisher’s Note: The statements, opinions and data contained in all publications are solely those of the individual author(s) and contributor(s) and not of MDPI and/or the editor(s). MDPI and/or the editor(s) disclaim responsibility for any injury to people or property resulting from any ideas, methods, instructions or products referred to in the content. | 
© 2023 by the authors. Licensee MDPI, Basel, Switzerland. This article is an open access article distributed under the terms and conditions of the Creative Commons Attribution (CC BY) license (https://creativecommons.org/licenses/by/4.0/).
Share and Cite
Ziganshin, E.; Nourgaliev, D.; Bayuk, I.; Kadyrov, R.; Nguyen, T.H. Carbonate Pore Shape Evaluation Using Digital Image Analysis, Tomography, and Effective Medium Theory. Appl. Sci. 2023, 13, 2696. https://doi.org/10.3390/app13042696
Ziganshin E, Nourgaliev D, Bayuk I, Kadyrov R, Nguyen TH. Carbonate Pore Shape Evaluation Using Digital Image Analysis, Tomography, and Effective Medium Theory. Applied Sciences. 2023; 13(4):2696. https://doi.org/10.3390/app13042696
Chicago/Turabian StyleZiganshin, Eduard, Danis Nourgaliev, Irina Bayuk, Rail Kadyrov, and Thanh Hung Nguyen. 2023. "Carbonate Pore Shape Evaluation Using Digital Image Analysis, Tomography, and Effective Medium Theory" Applied Sciences 13, no. 4: 2696. https://doi.org/10.3390/app13042696
APA StyleZiganshin, E., Nourgaliev, D., Bayuk, I., Kadyrov, R., & Nguyen, T. H. (2023). Carbonate Pore Shape Evaluation Using Digital Image Analysis, Tomography, and Effective Medium Theory. Applied Sciences, 13(4), 2696. https://doi.org/10.3390/app13042696
 
        




 
       