Next Article in Journal
Review on Optimization Techniques of PV/Inverter Ratio for Grid-Tie PV Systems
Next Article in Special Issue
Influence of Discontinuous Linear Deformation on the Values of Continuous Deformations of a Mining Area and a Building Induced by an Exploitation of Hard Coal Seam
Previous Article in Journal
New Materials and Advanced Procedures of Obtaining and Processing—Applied Sciences Insights
Previous Article in Special Issue
Application of Bayesian Neural Network (BNN) for the Prediction of Blast-Induced Ground Vibration
 
 
Font Type:
Arial Georgia Verdana
Font Size:
Aa Aa Aa
Line Spacing:
Column Width:
Background:
Article

Effect of Secondary Oxidation of Pre-Oxidized Coal on Early Warning Value for Spontaneous Combustion of Coal

1
Key Laboratory of Gas and Fire Control for Coal Mines, China University of Mining and Technology, Ministry of Education, Xuzhou 221116, China
2
School of Safety Engineering, China University of Mining and Technology, Xuzhou 221116, China
3
State Key Laboratory of Coal Resources and Safe Ming, China University of Mining and Technology, Xuzhou 221116, China
4
Department of Mining Engineering, Industrial and ICT, Universitat Politècnica de Catalunya, 08242 Manresa, Spain
*
Authors to whom correspondence should be addressed.
Appl. Sci. 2023, 13(5), 3154; https://doi.org/10.3390/app13053154
Submission received: 18 January 2023 / Revised: 23 February 2023 / Accepted: 27 February 2023 / Published: 1 March 2023
(This article belongs to the Special Issue Mining Safety: Challenges & Prevention)

Abstract

The indicative ability of a gas indicator for the spontaneous combustion of coal is affected by the secondary oxidation of oxidized coal, from old goafs, entering a new goaf through air leakages. This phenomenon can affect the accuracy of early warning systems regarding the spontaneous combustion of coal in a goaf. In this research, three kinds of coal were selected to carry out a spontaneous combustion simulation experiment in which a temperature-programmed experimental device was used to analyze the behavior of the index gas towards raw coal and oxidized coal, for which the latter was oxidized at 70 °C, 90 °C, 130 °C, and 150 °C. The results show that the chain alkane ratio in the secondary oxidation process and the trends of oxygen, CO, and C2H4 concentrations are the same as those in the primary oxidation process. On the other hand, the temperature at which C2H4 initially appears, during secondary oxidation, is lower than in primary oxidation. The CO produced in the early stage of secondary oxidation is greater than the CO produced, at the same temperature, in primary oxidation. In this regard, the usage of C2H4 concentration as an indicator with which to judge the occurrence of the spontaneous combustion of coal would allow for an earlier response. In the secondary oxidation process, the temperature of the extreme value of the alkene ratio appears higher than in primary oxidation. The presence of a higher pre-oxidation temperature and a higher proportion of secondary oxidation gas will affect an indicator’s judgement when the primary oxidation enters the severe oxidation stage. The gas produced by secondary oxidation will affect the early warning of the spontaneous combustion of coal in the coal mine goaf, which should be considered in the establishment of an early warning system.

1. Introduction

The spontaneous combustion of coal is one of the most important causative factors of mine fires, which can produce a large amount of toxic and harmful gases, threatening the health and safety of workers, and even causing disasters such as explosions [1,2,3]. When coal is exposed to air soon after the mining process, it starts to react with oxygen to generate heat; subsequently, there is an accumulation of heat that can cause the spontaneous combustion of coal [4]. In some cases, the heating conditions of coal oxidation will be severely altered, thereby interrupting the heating process and causing the coal temperature to begin to reduce to ambient temperature, which, in turn, leads to the formation of oxidized coal. The process of the oxidation and heating of the already oxidized coal that is exposed to air again is defined as secondary oxidation, which is a common behavior in underground mining, e.g., in a mine with a composite coal seam where an air leakage channel is formed due to the collapse-related disturbance of the goaf when the lower coal seam is mined. Once fresh air enters the old upper goaf, the oxidized residual coal is exposed to oxygen again, and secondary oxidation will occur [5], which is why it is one of the most significant causes of internal coal mine fires.
Compared with primary coal oxidation, the reaction characteristics of the secondary oxidation of oxidized coal are more complex to define [6,7]. Tang et al. [8] found that secondary oxidation causes changes in the microstructure of lignite and increases the risk of the spontaneous combustion of lignite. However, excessive pre-oxidation will consume organic components, which reduces the propensity for self-heating.
Xu et al. [9,10] studied the changes that occurred in free radicals in the secondary oxidation process via Electron paramagnetic resonance (EPR) spectrometer. In addition, they described the behavior of free radicals in the secondary oxidation process, finding that secondary oxidation has a greater effect on the reactivity of high-rank coal. Wang et al. [11] investigated the influence of the degree of oxidation and ventilation flow rate on the spontaneous combustion of coal through six sets of programmed temperature experiments, concluding that primary oxidation promotes the early stage, but it has an inhibitory effect in the later stages of spontaneous combustion. Pis et al. [12] carried out experiments to simulate the entire process of the spontaneous combustion of six oxidized coal samples using a thermal analyzer, finding that the critical temperature point of each coal sample showed a different degree of increase with the increase in the oxidation degree, while the ignition point temperature showed a decrease. Worasuwannarak et al. [13] carried out spontaneous combustion experiments on different oxidized coal samples via TGA-MS and concluded that the coal samples produced more CO and CO2 with the increase in the oxidation degree. Thus, Wang et al. [14,15,16] pointed out that the pre-oxidation temperature is a key factor that affects the secondary oxidation of coal, and that pre-oxidation increases the activation energy of coal in the endothermic stage. Pre-oxidation below 110 °C inhibits the spontaneous combustion of coal, while pre-oxidation above 130 °C confers a promotional effect. Zhang et al. [17] found that nitrogen can inhibit the generation of oxygen-containing functional groups and the decomposition of aliphatic hydrocarbons during secondary oxidation. In this regard, as coal mining productivity increases, secondary oxidation occurs more frequently and, often, simultaneously with primary oxidation.
At present, there are many early warning methods for the spontaneous combustion of coal [18,19], with the characteristic gas index being the most common and effective method [20]. Chen et al. [21] used CO and C2H4 as the main indicators and C2H6 and C2H4/C2H6 as auxiliary indicators to divide the stages of spontaneous combustion. Lu et al. [22] pointed out that C2H6 and temperature have poor regularity, with the appearance of C3H8 at high temperatures, and neither of them are suitable gas warning indicators in the low-temperature stage of spontaneous combustion. Niu et al. [23] eliminated the error caused by the different initial concentrations of the index gas at different locations by introducing the K value. Zhang et al. [24] divided the spontaneous combustion of coal into seven stages, using six characteristic temperatures, and provided the gas index and threshold values corresponding to each characteristic temperature. Based on the original analysis of indicator gas concentrations and ratios, Deng et al. [25] introduced the growth rate of the indicator gas to optimize predictors.
The above research reveals the law and mechanism of the primary oxidation and secondary oxidation of coal with respect to its spontaneous combustion, as well as a variety of gas warning indexes and systems. Moreover, it is well known that old goafs often have gas exchanges with new goafs [26,27,28,29]. The gases produced in the secondary oxidation process are the same type as those produced in primary oxidation, which will affect the concentration of the original gas field in the mining area and result in a judgment deviation of the severity of the spontaneous combustion of coal in the goaf from the coal seam in question. Currently, the early warning indicators and critical values of the spontaneous combustion of coal are generally determined by collecting fresh coal samples at the working face and then carrying out temperature-programming experiments in a laboratory, which are used to guide the work regarding the development of an early warning system for the spontaneous combustion of coal at a coal mine site. This has important guiding significance for warning systems for the spontaneous combustion of coal and oxidation in separate goaf that have not been connected with an old goaf [30,31]. However, whether the gas produced by the secondary oxidation of the old goaf will affect the corresponding relationship between the early warning value and the temperature of the goaf being mined still requires further research to be determined.
In this study, secondary oxidation experiments of oxidized coal from three coal mines were carried out using a coal oxidation and temperature rise experimental system. Thus, the gas generation law and its corresponding relationship with temperature are analyzed herein. The influence of the second oxidized gas entering the goaf on the gas early warning index is discussed, while the existing gas early warning index is optimized and corrected. Ultimately, this study provides new ideas to be applied in early warning systems for the spontaneous combustion of coal gas and for the improvement of the accuracy of early warning systems and the scope of their application so as to guide the effective prevention and control of the spontaneous combustion of coal in underground coal mining.

2. Materials and Methods

2.1. Coal Samples

Coal samples used in the study were collected from several Chinese provinces, namely, Guizhou, Liaoning, and Shanxi, and the samples were denoted as GZ, LN, and SX, respectively. Coal samples were taken from the working face, immediately stored in a closed coal sample tank, transported to the laboratory, and kept in nitrogen. The analytical results regarding the three coal types are shown in Table 1.

2.2. Experimental Apparatus

As shown in Figure 1, the coal oxidation and temperature rise experimental system is mainly composed of a gas supply device, a temperature-programming system, a gas chromatograph, and a control terminal. The gas supply provides continuous and stable gas for the temperature-programmed device, ensuring a relatively stable gas environment during the temperature-programming process. There is a sample reactor inside the temperature programming system, with two temperature sensors to monitor the internal and external temperatures of the sample reactor. The temperature-programmed device can continuously increase the internal temperature from 0 °C to 200 °C, with a minimum heating rate of 0.2 °C/min. The outlet pipeline of the sample reactor is connected to the gas chromatograph through the condenser. The gas chromatograph is used to analyze the content of various gases produced by coal oxidation during the heating stage. Moreover, the control terminal can manage heating parameters and record temperature data.

2.3. Experimental Process

LN coal samples were crushed and segregated into five particle-size ranges: 0.280–0.224 mm, 0.224–0.180 mm, 0.180–0.125 mm, 0.125–0.074 mm, and 0.074–0 mm. Consequently, five coal samples with an equivalent weight of 40 g were obtained using a mixture of 10g from each particle-size range. The five coal samples were dried at 40 °C in a vacuum-drying oven for 48 h to remove moisture. Then, the coal samples were placed into the sample reactor of the temperature-programming device. The temperature rise rate was set at 0.5 °C/min, and 40 mL/min of dry air was delivered to the sample reactor by the gas supply device. Different coal samples were heated from 30 °C to 70 °C, 90 °C, 130 °C, and 150 °C. After reaching the preset temperature, the samples were kept in the sample reactor for 30 additional minutes. Subsequently, the gas supply device was adjusted to transport nitrogen at the same flow conditions, and the coal samples were naturally cooled to room temperature in a nitrogen environment. Four coal samples were oxidized coal samples, which were denoted as LN-70, LN-90, LN-130, and LN-150; the remaining untreated coal sample was denoted as LN-raw.
The device was again set to transport dry air at 40 mL/min to oxidize the coal samples (LN-70, LN-90, LN-130, LN-150, and LN-raw) from 30 °C to 170 °C at a heating rate of 0.5 °C/min. In this process, the gas concentration at the outlet was detected every 20 min by a gas chromatograph.
The same procedure was performed for the other two coals (GZ and SX), for which a similar nomenclature was followed as that for the different coal samples (GZ-70/SX-70……).

3. Results and Discussion

3.1. Spontaneous Combustion Stage Division and Index Selection

This section uses the LN samples as an example to select the indicator gases and divide the spontaneous combustion of coal stages while considering the existing research [24]. As shown in Figure 2, the process of the spontaneous combustion of coal is divided into six stages.
  • Stage I: oxidation stage (t < 50 °C). At this stage, coal begins to slowly oxidize, and every forecast indicator rises slowly. This stage can be characterized by the CO concentration, which is less than 17.225 ppm, and the spontaneous combustion of coal.
  • Stage II: self-heating stage (50 °C < t < 0 °C). At this stage, the increase in CO/O2 is accelerated, and the reaction rate of coal and oxygen is slowly increased. The accumulated heat can increase the temperature of coal.
  • Stage III: accelerating stage (70 °C < t < 90 °C). The main indication that this stage has been entered is the appearance of C2H4, which indicates that coal oxidation is beginning to accelerate, and the rapid increase in C2H6 and CO/O2. After this stage begins, the spontaneous combustion of coal will be difficult to control.
  • Stage IV: intense stage (90 °C < t < 120 °C). The indication that this stage has begun is the presence of C2H6/CH4 at its maximum value. At this time, the coal sample reaction is intense, and C2H4 begins to increase rapidly.
  • Stage V: pyrolysis stage (120 °C < t < 160 °C). This stage is marked by the maximum amount of C2H4/C2H6, followed by a slower rate of increase.
  • Stage VI: fission stage (t > 160 °C). At this stage, the formation rate of C2H4 is lower than C2H6, while the maximum C2H4/C2H6 value appears.

3.2. Oxygen Concentration

Although oxygen concentration cannot be directly used as an indicator of the spontaneous combustion of coal, it is an important indicator in this process, since the series of chemical reactions that occur during this process are related to oxygen consumption [32]. In this experiment, dry air flowed in from the bottom of the sample reactor, passed through the coal chamber, and then flowed out from the top of the sample reactor, while the gas components were analyzed at the outlet by gas chromatography. Figure 3 shows the oxygen concentration of the different coal types during the temperature-programmed process. Figure 3 shows how the oxygen concentration gradually decreases as the temperature increases. Under the same conditions, LN (low-rank coal) consumes the most oxygen and GZ consumes the least. This is due to the high content of oxygen-containing active functional groups in low-rank coal, which are more easily oxidized, consuming more oxygen under the same conditions. The oxygen-containing active functional groups of anthracite are gradually reduced after metamorphism, so the degree of oxygen consumption is less. LN has little change in terms of its oxygen content until 80 °C, after which it decreases rapidly. The oxygen concentration of the GZ coal and the SX coal drops rapidly at 110 °C and 100 °C, respectively. This is also related to the metamorphic degree of coal. The oxygen concentration in the second oxidation process changes compared with the oxidation process of raw coal, but the behavior is similar. The oxygen concentration of SX-70 is lower than SX-raw because pre-oxidation causes the water to evaporate in the coal, which causes the reaction rate and the degree of oxygen consumption to increase [33]. The oxygen concentration of the other coal types in the secondary oxidation process at the same temperature is higher than that during primary oxidation. This is because a large number of active functional groups, which are easily reactive, are consumed during the pre-oxidation process. Therefore, oxidized coal does not react as easily with oxygen compared to raw coal, resulting in a reduction in oxygen consumption.

3.3. Oxidation Gas Products and Ratios

Coal has a complex chemical reaction with oxygen during spontaneous combustion, CO and CO2 are the main oxidation gas products. Both gases have a good linear relationship with temperature. However, there is a CO2 reserve in a coal seam, and the breathing of workers also produces CO2, resulting in a non-unique source of CO2. Therefore, CO2 has not been selected as the only indicator gas, given that CO has a single source that can be used as a gas indicator [34]. CO/ΔO2 was selected as an auxiliary index that can avoid the influence of air volume on gas concentration [35].
CO is widely used as an indicator gas in coal mines in China. It can be seen from Figure 4 that all curves show the same behavior. The CO concentration increased slowly at the initial stage and then began to rise rapidly. In the early stage of coal oxidation, the CO produced by oxidized coal is greater than in raw coal. This is because the raw coal contains a high level of moisture, which will evaporate and absorb heat in the early stage of the spontaneous combustion of coal, thereby reducing the reaction rate of coal and oxygen, and thus the raw coal produces less CO. On the one hand, the evaporation of water increases the pore and specific surface area of coal, which increases the contact area between coal and oxygen, so more CO is produced in the secondary oxidation process. After 100 °C, the free water evaporates completely, and the raw coal also has larger pores and a greater specific surface area, so the coal oxygen reaction intensifies, along with the level of CO. Moreover, the CO-producing groups in the coal are not overconsumed because the raw coal is not pre-oxidized, making the amount of CO produced by raw coal greater than that produced by the pre-oxidized coal. This behavior is similar to the oxygen change law. CO is often used as a forecast gas for the early stage of coal oxidation. For LN, when the CO concentration is lower than 17.225 ppm, it is considered to be in the oxidation stage, but in the secondary oxidation process, when the temperature reaches 40 °C, the CO concentration exceeded 17.225 ppm; therefore, the mixing of secondary oxidation gases can cause the CO concentration to appear greater than the actual amount present, causing the forecast stage to occur after the fact.
Figure 5 shows the variation of CO/ΔO2 during the programmed temperature rise for the different coal types. It can be seen from Figure 5 that the increase in the CO/ΔO2 ratio of the oxidized coal, during the secondary oxidation process, occurs linearly with temperature, like the raw coal sample. In the low-temperature oxidation stage (30–80 °C), the CO/ΔO2 ratio of oxidized coal rises very slowly, but the value is significantly higher than raw coal.
On the one hand, the decrease in moisture grants the pre-oxidized coal a larger specific surface area, thereby increasing the production rate of CO and the consumption rate of O2. On the other hand, pre-oxidation causes some functional groups in coal to react with oxygen to form intermediate products, so less O2 is needed in the early stage of the secondary oxidation process to generate more CO. In the case of the GZ samples, the difference between the CO/ΔO2 ratio of oxidized coal and raw coal after 80 °C is not significant. For LN-90 and LN-150, in the secondary oxidation process, the CO/ΔO2 ratio is significantly less than in raw coal after 100 °C. The GZ coal samples also have a large difference in CO/ΔO2 values between raw coal and oxidized coal after 100 °C. The CO/ΔO2 value is often used to predict the coal temperature and spontaneous combustion degree in goafs because of its good linear relationship with temperature. However, the participation of secondary oxidation gases can lead to errors in temperature determination, especially for low-rank coals after 100 °C.

3.4. Pyrolysis Gas and Ratio

Pyrolysis gasses are alkanes, olefins, and alkynes produced by the decomposition of organic components during the spontaneous combustion of coal, mainly including CH4, C2H6, C3H8, C2H4, and C2H2. CH4 and C2H6 are native endogenous gases in coal seams and are usually not selected as indicator gases alone. The presence of C2H2 indicates that coal is in the combustion stage, so it is usually not selected as an indicator gas in the low-temperature oxidation stage [36]. The appearance of C2H4 indicates that the spontaneous combustion of coal has entered the accelerated reaction stage, so C2H4 is an important indicator gas [37]. The alkane ratio and olefin–alkyl ratio can effectively eliminate the influence of wind flow on the indicator gas and has a good linear relationship with temperature [38]. Therefore, C2H4, the alkane ratio, and the olefin–alkyl ratio were selected as gas indicators for analysis in this section.
Figure 6 shows the same behavior of C2H4 production for the different coal samples during the programmed temperature rise. C2H4 is not detected at 30 °C, indicating that C2H4 is not a gas that is originally present in these three types of coals. With the increase in temperature, C2H4 began to appear, first with slow growth and then rapidly. The C2H4 occurrence temperature of the oxidized coal was lower than in the raw coal, and the occurrence temperature of C2H4 decreased with the pre-oxidation temperature increase. This means that oxidation causes the coal to enter the accelerated oxidation stage much earlier. For the LN and SX coal samples, at the later stages of oxidation, the amount of C2H4 produced by the raw coal is greater than that produced by the pre-oxidized coal. Pre-oxidation will reduce the activation energy of the reaction and form some intermediate products. Therefore, C2H4 can be produced at a lower temperature during the secondary oxidation process. Since high-temperature pre-oxidation consumes a portion of the group, the amount of C2H4 produced is less than in primary oxidation. Once the gas generated by secondary oxidation enters the goaf, the use of the time when C2H4 occurs to determine the beginning of the accelerating stage will yield a time earlier than of the actual situation.
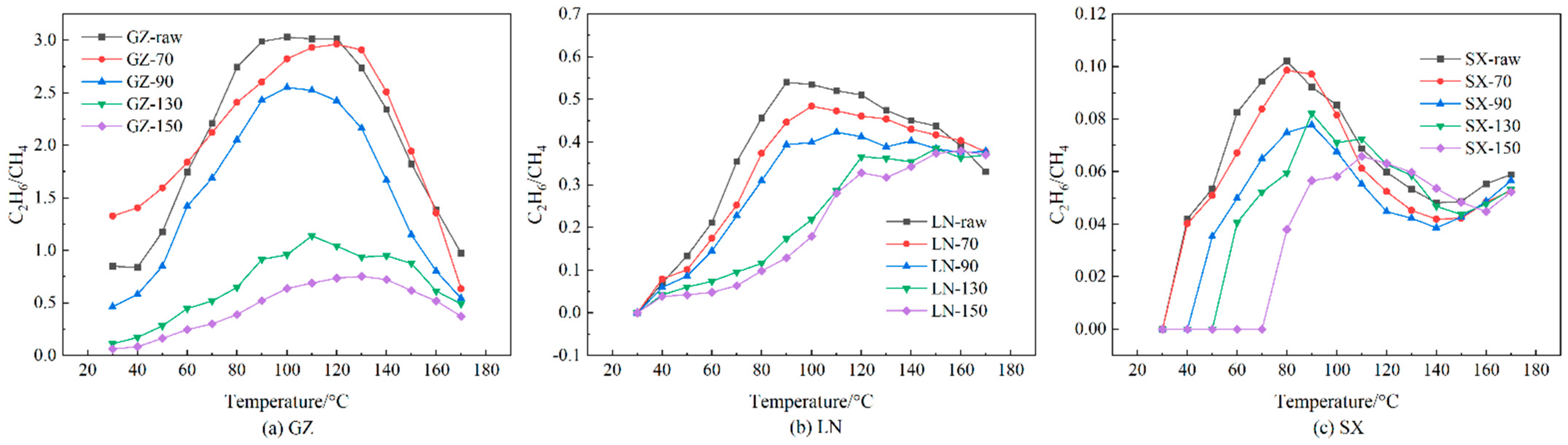
The alkane ratio is the concentration of alkane to the concentration of methane or ethane. Extreme values or abrupt increases in the alkane ratio during oxidation are a sign that the oxidation process has reached an intense stage. C2H6/CH4 was selected as the index in this section.
As can be seen from Figure 7, the LN and GZ coal samples increased first and then decreased with the temperature increase. Whereas SX increased first, and then decreased and increased again. The alkane chain ratio value in the secondary oxidation process is lower than in primary oxidation. The peak of the chain alkane ratio during the secondary oxidation of oxidized coal occurs at a higher temperature than in raw coal, especially after high-temperature oxidation. The GZ-raw coal’s maximum value occurs at 90 °C, while the extremes value of GZ-150 occurs at 130 °C. LN-150’s maximum value occurs 20 °C higher than in raw coal. Following a similar pattern, the difference between SX-raw and SX-150 is 10 °C.
Scholars often regard the point of the occurrence of the extreme value of the chain alkane ratio as the beginning of the intense oxidation of coal. Therefore, a certain percentage of secondary oxidation gas is simulated as being mixed into the primary oxidation gas to verify if there is an effect on the occurrence temperature of the extreme value. LN was taken as an example, for which different proportions of raw coal oxidation gas were mixed with secondary oxidation gas to calculate the extreme value of the alkane ratio. Figure 8 shows how the degree of influence is closely related to the oxidation temperature and the mixing ratio. At low oxidation temperatures, the difference in the chain alkane ratio between primary and secondary oxidation is small; therefore, the mixture of gases does not affect the occurrence time of the extreme value. When oxidation occurs at a high temperature, the occurrence time of the extreme value will only be affected when the secondary oxidation gas occupies a larger proportion. Therefore, the gas produced by secondary oxidation will affect the determination of the alkane ratio when it is related to the oxidation temperature and the participation ratio of the secondary oxidation gas.
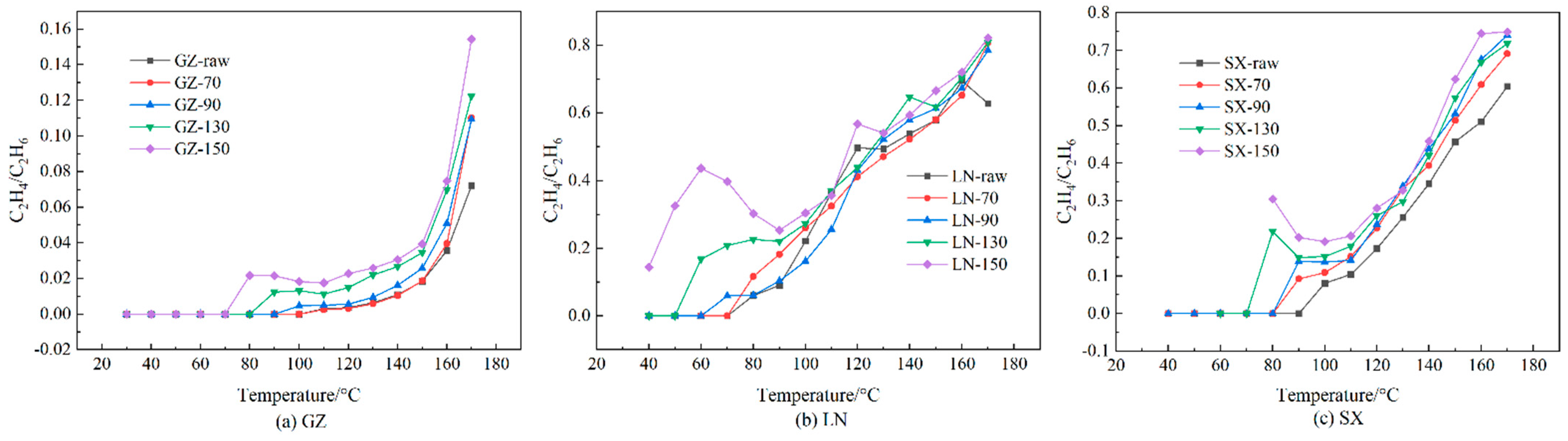
The olefin–alkane ratio refers to the ratio of the presence of a long-chain olefin to methane or ethane. In this study, the C2H4/C2H6 ratio was selected for analysis. It has strong regularity during temperature change, and it is often used as an auxiliary index to predict the spontaneous combustion of coal. Figure 9 shows that the C2H4/C2H6 ratio increases with temperature. However, the olefin–alkane ratio and temperature are not linear in the secondary oxidation process of oxidized coal. The oxidized coal types show an increasing and then decreasing peak-like curve at low temperatures during secondary oxidation, where the peak becomes more obvious as the oxidation temperature increases. The temperature corresponding to the first appearance of C2H4/C2H6 is also different from the primary oxidation one, which is due to the different C2H4 occurrence times. The occurrence temperature behavior is the same as that of C2H4. The extreme value (inflection point) of C2H4/C2H6 can be used as a sign that the coal–oxygen reaction has entered the fission stage. At this time, C2H4 and C2H6 are produced in large quantities, but C2H4 has a high formation rate, so the olefin ratio begins to decrease. In the case of the GZ samples, the minimum value did not appear at 170 °C, so it was impossible to judge whether the gas produced by secondary oxidation would affect the determination of the fission time, while the coal type at a higher temperature oxidation temperature made this point advance in time. The mixing of secondary oxidation gas will have an impact on its accuracy. However, the temperature in the fission stage is generally high (140–180 °C). At this time, spontaneous combustion is generally difficult to control. Therefore, it is less useful for early warning systems for fire, but it is still useful as an indicator for judging the degree of the spontaneous combustion of coal.

4. Conclusions

This paper used a coal oxidation and temperature rise experimental system to conduct primary oxidation experiments and secondary oxidation experiments on coal types with different metamorphic degrees. The influence of the secondary oxidation gas on the early warning indicator gas in the primary oxidation process of coal was studied, and the gas products in the oxidation process were analyzed. Overall, the following conclusions were obtained.
(1) In the coal oxidation stage, the CO concentration produced by the secondary oxidation of oxidized coal is higher than in raw coal. The mixing of secondary oxidation gas makes the CO concentrations appear higher than the actual value, thus influencing the judgment of the stage of the spontaneous combustion of coal, which would be later than the actual situation.
(2) In oxidized coal, the initial appearance time of ethylene in the secondary oxidation process occurs earlier. With the participation of a secondary oxidation gas, when using C2H4 as an indicator to judge the time at which coal enters the rapid oxidation stage, the result would be earlier than the actual situation.
(3) Pre-oxidized coal enters the intense oxidation stage later than raw coal. The high pre-oxidation temperature and the large proportion of secondary oxidation gas affect the occurrence time of the extreme value of the chain alkane ratio in raw coal so that the judgment of this point at the intense oxidation stage occurs later than that in raw coal.
(4) The gas produced by secondary oxidation interferes with the early warning of the spontaneous combustion of coal when using an index gas. In a real situation, the secondary oxidation of coal may occur, for which it is necessary to select the correct index value.

Author Contributions

Conceptualization: C.G.; funding acquisition: S.J.; investigation: C.G.; methodology, C.G. and S.J.; project administration: S.J.; validation, C.G.; Formal analysis, C.G.; writing—review and editing, H.S. and M.B.; Resources, Z.W. All authors have read and agreed to the published version of the manuscript.

Funding

This work was supported by the National Natural Science Foundation of China [52074285].

Institutional Review Board Statement

Not applicable.

Informed Consent Statement

Not applicable.

Data Availability Statement

Not applicable.

Conflicts of Interest

The authors declare no conflict of interest.

References

  1. Onifade, M.; Genc, B. A review of research on spontaneous combustion of coal. Int. J. Min. Sci. Technol. 2020, 30, 303–311. [Google Scholar] [CrossRef]
  2. Song, Z.Y.; Kuenzer, C. Coal fires in China over the last decade: A comprehensive review. Int. J. Coal Geol. 2014, 133, 72–99. [Google Scholar] [CrossRef]
  3. Zavialova, O.; Grygorian, M.; Kostenko, V.; Kostenko, T.; Pokaliuk, V. Theoretical basis for the formation of damaging factors during the coal aerosol explosion. Min. Miner. Depos. 2021, 15, 130–138. [Google Scholar] [CrossRef]
  4. Zhang, D.; Yang, X.; Deng, J.; Wen, H.; Xiao, Y.; Jia, H. Research on coal spontaneous combustion period based on pure oxygen adiabatic oxidation experiment. Fuel 2021, 288, 119651. [Google Scholar] [CrossRef]
  5. Deng, J.; Zhao, J.Y.; Zhang, Y.N.; Huang, A.C.; Liu, X.R.; Zhai, X.W.; Wang, C.P. Thermal analysis of spontaneous combustion behavior of partially oxidized coal. Process Saf. Environ. Prot. 2016, 104, 218–224. [Google Scholar] [CrossRef]
  6. Ma, T.; Chen, X.K.; Zhai, X.W.; Bai, Y.E. Thermogravimetric and infrared spectroscopic studies of the spontaneous combustion characteristics of different pre-oxidized lignites. RSC Adv. 2019, 9, 32476–32489. [Google Scholar] [CrossRef]
  7. Pan, R.K.; Wang, C.H.; Chao, J.K.; Jia, H.L.; Wang, J. Experimental research on the characteristics of the secondary oxidation heat of different unloaded coals. Fuel 2022, 307, 12. [Google Scholar] [CrossRef]
  8. Tang, Y.; Wang, H. Experimental investigation on microstructure evolution and spontaneous combustion properties of secondary oxidation of lignite. Process Saf. Environ. Prot. 2019, 124, 143–150. [Google Scholar] [CrossRef]
  9. Xu, Q.; Yang, S.; Yang, W.; Tang, Z.; Hu, X.; Song, W.; Zhou, B.; Yang, K. Secondary oxidation of crushed coal based on free radicals and active groups. Fuel 2021, 290, 120051. [Google Scholar] [CrossRef]
  10. Xu, Q.; Yang, S.; Yang, W.; Tang, Z.; Song, W.; Zhou, B.; Jiang, X. Effect of particle size and low-temperature secondary oxidation on the active groups in coal structures. Process Saf. Environ. Prot. 2021, 149, 334–344. [Google Scholar] [CrossRef]
  11. Pis, J.; de La Puente, G.; Fuente, E.; Morán, A.; Rubiera, F. A study of the self-heating of fresh and oxidized coals by differential thermal analysis. Thermochim. Acta 1996, 279, 93–101. [Google Scholar] [CrossRef]
  12. Wang, G.; Liu, Q.Q.; Sun, L.L.; Song, X.; Du, W.Z.; Yan, D.C.; Wang, Y. Secondary Spontaneous Combustion Characteristics of Coal Based on Programed Temperature Experiments. J. Energy Resour. Technol. Trans. ASME 2018, 140, 082204. [Google Scholar] [CrossRef]
  13. Worasuwannarak, N.; Nakagawa, H.; Miura, K. Effect of pre-oxidation at low temperature on the carbonization behavior of coal. Fuel 2002, 81, 1477–1484. [Google Scholar] [CrossRef]
  14. Wang, K.; Liu, X.; Deng, J.; Zhang, Y.; Jiang, S. Effects of pre-oxidation temperature on coal secondary spontaneous combustion. J. Therm. Anal. Calorim. 2019, 138, 1363–1370. [Google Scholar] [CrossRef]
  15. Wang, K.; Gao, P.; Sun, W.L.; Fan, H.H.; He, Y.Z.; Han, T. Thermal Behavior of the Low-temperature Secondary Oxidation of Coal under Different Pre-oxidation Temperatures. Combust. Sci. Technol. 2022, 194, 1712–1729. [Google Scholar] [CrossRef]
  16. Wang, K.; Hu, L.H.; Deng, J.; Zhang, Y.N. Multiscale thermal behavioral characterization of spontaneous combustion of pre-oxidized coal with different air exposure time. Energy 2023, 262, 12. [Google Scholar] [CrossRef]
  17. Zhang, Y.; Wu, B.; Liu, S.-H.; Lei, B.; Zhao, J.; Zhao, Y. Thermal kinetics of nitrogen inhibiting spontaneous combustion of secondary oxidation coal and extinguishing effects. Fuel 2020, 278, 118223. [Google Scholar] [CrossRef]
  18. Bascetin, A.; Brune, J.; Adiguzel, D. The study of permeability changes of a gob structure in an underground coal mine to prevent spontaneous combustion. Int. J. Min. Reclam. Environ. 2021, 35, 693–708. [Google Scholar] [CrossRef]
  19. Gamiy, Y.; Kostenko, V.; Zavialova, O.; Kostenko, T.; Zhurbynskyi, D. Identifying sources of coal spontaneous heating in mine workings using aerogas control automatic systems. Min. Miner. Depos. 2020, 14, 120–127. [Google Scholar] [CrossRef]
  20. Liang, Y.T.; Zhang, J.; Wang, L.C.; Luo, H.Z.; Ren, T. Forecasting spontaneous combustion of coal in underground coal mines by index gases: A review. J. Loss Prev. Process Ind. 2019, 57, 208–222. [Google Scholar] [CrossRef]
  21. Chen, X.X.; Bi, R.Q.; Huang, J.J.; Shan, W.X.; Xiao, J.; Wang, D.Y. Experimental study on early prediction index gas for spontaneous combustion. Energy Sources Part A Recovery Util. Environ. Eff. 2020, 1–15. [Google Scholar] [CrossRef]
  22. Lu, P.; Liao, G.X.; Sun, J.H.; Li, P.D. Experimental research on index gas of the coal spontaneous at low-temperature stage. J. Loss Prev. Process Ind. 2004, 17, 243–247. [Google Scholar] [CrossRef]
  23. Niu, H.Y.; Deng, X.L.; Li, S.L.; Cai, K.X.; Zhu, H.; Li, F.; Deng, J. Experiment study of optimization on prediction index gases of coal spontaneous combustion. J. Cent. South Univ. 2016, 23, 2321–2328. [Google Scholar] [CrossRef]
  24. Zhang, D.; Cen, X.X.; Wang, W.F.; Deng, J.; Wen, H.; Xiao, Y.; Shu, C.M. The graded warning method of coal spontaneous combustion in Tangjiahui Mine. Fuel 2021, 288, 7. [Google Scholar] [CrossRef]
  25. Deng, J.; Zhao, J.; Zhang, Y.; Geng, R. Study on coal spontaneous combustion characteristic temperature of growth rate analysis. In Proceedings of the 9th International Symposium on Safety Science and Technology (ISSST), Beijing, China, 4–6 November 2014; pp. 796–805. [Google Scholar]
  26. Liu, Y.; Wen, H.; Guo, J.; Jin, Y.F.; Wei, G.M.; Yang, Z.W. Coal spontaneous combustion and N-2 suppression in triple goafs: A numerical simulation and experimental study. Fuel 2020, 271, 117625. [Google Scholar] [CrossRef]
  27. Zhou, X.D.; Yang, Y.L.; Zheng, K.Y.; Miao, G.D.; Wang, M.H.; Li, P.R. Study on the Spontaneous Combustion Characteristics and Prevention Technology of Coal Seam in Overlying Close Goaf. Combust. Sci. Technol. 2022, 194, 2233–2254. [Google Scholar] [CrossRef]
  28. Ma, L.; Guo, R.Z.; Wu, M.M.; Wang, W.F.; Ren, L.F.; Wei, G.M. Determination on the hazard zone of spontaneous coal combustion in the adjacent gob of different mining stages. Process Saf. Environ. Prot. 2020, 142, 370–379. [Google Scholar] [CrossRef]
  29. Sun, Y.; Wang, S.; Peiyu, H.; Liang, Y.; Zhang, D.; Gao, Y. Influence of coal secondary oxidation on the concentration field of composite goaf [J/OL]. J. China Coal Soc. 2022, 2022, 1–10. [Google Scholar]
  30. Zhang, J.; Ren, T.; Liang, Y.; Wang, Z. A review on numerical solutions to self-heating of coal stockpile: Mechanism, theoretical basis, and variable study. Fuel 2016, 182, 80–109. [Google Scholar] [CrossRef]
  31. Li, Q.-W.; Xiao, Y.; Zhong, K.-Q.; Shu, C.-M.; Lü, H.-F.; Deng, J.; Wu, S. Overview of commonly used materials for coal spontaneous combustion prevention. Fuel 2020, 275, 117981. [Google Scholar] [CrossRef]
  32. Yutao, Z.; Yuanbo, Z.; Yaqing, L.; Xueqiang, S.; Yujie, Z. Heat effects and kinetics of coal spontaneous combustion at various oxygen contents. Energy 2021, 234, 121299. [Google Scholar] [CrossRef]
  33. Wu, Y.G.; Zhang, Y.L.; Wang, J.; Zhang, X.Y.; Wang, J.F.; Zhou, C.S. Study on the Effect of Extraneous Moisture on the Spontaneous Combustion of Coal and Its Mechanism of Action. Energies 2020, 13, 1969. [Google Scholar] [CrossRef]
  34. Xu, Q.; Yang, S.; Tang, Z.; Cai, J.; Zhong, Y.; Zhou, B. Free radical and functional group reaction and index gas CO emission during coal spontaneous combustion. Combust. Sci. Technol. 2018, 190, 834–848. [Google Scholar] [CrossRef]
  35. Ma, L.; Zou, L.; Ren, L.F.; Chung, Y.H.; Zhang, P.Y.; Shu, C.M. Prediction indices and limiting parameters of coal spontaneous combustion in the Huainan mining area in China. Fuel 2020, 264, 116883. [Google Scholar] [CrossRef]
  36. Li, Z.X.; Zhang, M.Q.; Yang, Z.B.; Yu, J.X.; Liu, Y.; Wang, H.W. Division of coal spontaneous combustion stages and selection of indicator gases. PLoS ONE 2022, 17, e0267479. [Google Scholar] [CrossRef] [PubMed]
  37. Guo, J.; Wen, H.; Zheng, X.Z.; Liu, Y.; Cheng, X.J. A method for evaluating the spontaneous combustion of coal by monitoring various gases. Process Saf. Environ. Prot. 2019, 126, 223–231. [Google Scholar] [CrossRef]
  38. Guo, X.; Deng, C.; Zhang, X.; Wang, Y. Formation law of hydrocarbon index gases during coal spontaneous combustion in an oxygen-poor environment. Energy Sources Part A Recovery Util. Environ. Eff. 2018, 41, 626–635. [Google Scholar] [CrossRef]
Figure 1. Coal oxidation and temperature rise experimental system.
Figure 1. Coal oxidation and temperature rise experimental system.
Applsci 13 03154 g001
Figure 2. The division of the stages of the spontaneous combustion of coal.
Figure 2. The division of the stages of the spontaneous combustion of coal.
Applsci 13 03154 g002
Figure 3. Oxygen concentration at the outlet of different coals during temperature programming: (a) GZ; (b) LN; (c) SX.
Figure 3. Oxygen concentration at the outlet of different coals during temperature programming: (a) GZ; (b) LN; (c) SX.
Applsci 13 03154 g003
Figure 4. CO concentration at the outlet of the sample reactor: (a) GZ; (b) LN; (c) SX.
Figure 4. CO concentration at the outlet of the sample reactor: (a) GZ; (b) LN; (c) SX.
Applsci 13 03154 g004
Figure 5. CO/ΔO2 behaviors of different coal types: (a) GZ; (b) LN; (c) SX.
Figure 5. CO/ΔO2 behaviors of different coal types: (a) GZ; (b) LN; (c) SX.
Applsci 13 03154 g005
Figure 6. C2H4 concentration at the outlet of the coal sample reactor: (a) GZ; (b) LN; (c) SX.
Figure 6. C2H4 concentration at the outlet of the coal sample reactor: (a) GZ; (b) LN; (c) SX.
Applsci 13 03154 g006
Figure 7. Alkane ratio during temperature programming: (a) GZ; (b) LN; (c) SX.
Figure 7. Alkane ratio during temperature programming: (a) GZ; (b) LN; (c) SX.
Applsci 13 03154 g007
Figure 8. The temperature at which the extreme value of the alkane ratio appears.
Figure 8. The temperature at which the extreme value of the alkane ratio appears.
Applsci 13 03154 g008
Figure 9. Olefin–alkane ratio during temperature programming: (a) GZ; (b) LN; (c) SX.
Figure 9. Olefin–alkane ratio during temperature programming: (a) GZ; (b) LN; (c) SX.
Applsci 13 03154 g009
Table 1. Samples’ analytical results.
Table 1. Samples’ analytical results.
Mad (%)Aad (%)Vad (%)FCad (%)
GZ3.309.896.6080.21
LN3.5520.6332.6541.37
SX1.2219.83513.9864.96
Disclaimer/Publisher’s Note: The statements, opinions and data contained in all publications are solely those of the individual author(s) and contributor(s) and not of MDPI and/or the editor(s). MDPI and/or the editor(s) disclaim responsibility for any injury to people or property resulting from any ideas, methods, instructions or products referred to in the content.

Share and Cite

MDPI and ACS Style

Guo, C.; Jiang, S.; Shao, H.; Wu, Z.; Bascompta, M. Effect of Secondary Oxidation of Pre-Oxidized Coal on Early Warning Value for Spontaneous Combustion of Coal. Appl. Sci. 2023, 13, 3154. https://doi.org/10.3390/app13053154

AMA Style

Guo C, Jiang S, Shao H, Wu Z, Bascompta M. Effect of Secondary Oxidation of Pre-Oxidized Coal on Early Warning Value for Spontaneous Combustion of Coal. Applied Sciences. 2023; 13(5):3154. https://doi.org/10.3390/app13053154

Chicago/Turabian Style

Guo, Chaowei, Shuguang Jiang, Hao Shao, Zhengyan Wu, and Marc Bascompta. 2023. "Effect of Secondary Oxidation of Pre-Oxidized Coal on Early Warning Value for Spontaneous Combustion of Coal" Applied Sciences 13, no. 5: 3154. https://doi.org/10.3390/app13053154

APA Style

Guo, C., Jiang, S., Shao, H., Wu, Z., & Bascompta, M. (2023). Effect of Secondary Oxidation of Pre-Oxidized Coal on Early Warning Value for Spontaneous Combustion of Coal. Applied Sciences, 13(5), 3154. https://doi.org/10.3390/app13053154

Note that from the first issue of 2016, this journal uses article numbers instead of page numbers. See further details here.

Article Metrics

Back to TopTop