Research on Particle Size and Energy Consumption Law of Hard Coal Crushing under Impact Load Based on SHPB Test
Abstract
1. Introduction
2. Uniaxial Compression Test of Hard Coal
2.1. Preparation of Coal Rock Specimen
2.2. Test Equipment
2.3. Analysis Method
3. Analysis
3.1. Test Results under Static Load
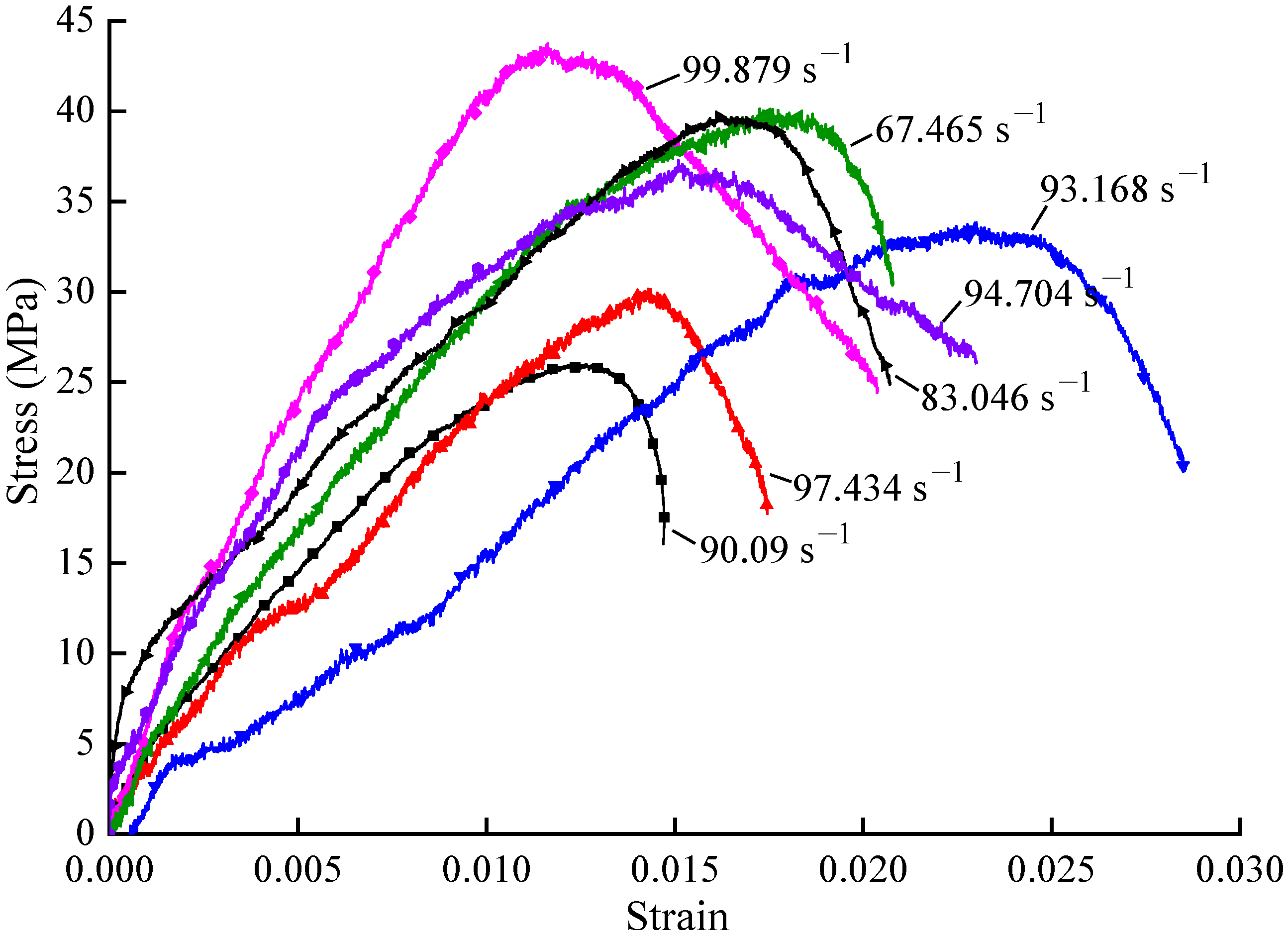
3.2. Dynamic Stress–Strain Curves
3.3. Crushing Particle Size Distribution of Hard Coal
3.4. Energy Dissipation Analysis
4. Conclusions
Author Contributions
Funding
Institutional Review Board Statement
Informed Consent Statement
Data Availability Statement
Conflicts of Interest
References
- Ranjith, P.G.; Zhao, J.; Ju, M.H.; De Silva, R.V.S.; Rathnaweera, T.D.; Bandara, A.K.M.S. Opportunities and challenges in deep mining: A brief review. Engineering 2017, 3, 546–551. [Google Scholar] [CrossRef]
- Liu, H.B.; Cheng, Y.P. The elimination of coal and gas outburst disasters by long distance lower protective seam mining combined with stress-relief gas extraction in the Huaibei coal mine area. J. Nat. Gas Sci. Eng. 2015, 27, 346–353. [Google Scholar] [CrossRef]
- Christopher, M.; Michael, G. Evaluating the risk of coal bursts in underground coal mines. Int. J. Min. Sci. Technol. 2016, 26, 47–52. [Google Scholar]
- Tang, Z.Q.; Yang, S.Q.; Zhai, C.; Xu, Q. Coal pores and fracture development during CBM drainage: Their promoting effects on the propensity for coal and gas outbursts. J. Nat. Gas Sci. Eng. 2018, 51, 9–17. [Google Scholar] [CrossRef]
- Nie, F.X.; Wang, H.L.; Qiu, L.M. Research on the Disaster-Inducing Mechanism of Coal-Gas Outburst. Adv. Civ. Eng. 2020, 2020, 1052618. [Google Scholar] [CrossRef]
- Chen, S.J.; Wang, H.L.; Wang, H.Y.; Guo, W.J.; Li, X.S. Strip Coal Pillar Design Based on Estimated Surface Subsidence in Eastern China. Rock Mech. Rock Eng. 2016, 49, 3829–3838. [Google Scholar]
- Guo, W.J.; Wang, H.L.; Chen, S.J. Coal pillar safety and surface deformation characteristics of wide strip pillar mining in deep mine. Arab. J. Geosci. 2016, 9, 137. [Google Scholar] [CrossRef]
- Qiao, W.; Li, W.P.; Zhang, X. Characteristic of water chemistry and hydrodynamics of deep karst and its influence on deep coal mining. Arab. J. Geosci. 2014, 7, 1261–1275. [Google Scholar] [CrossRef]
- Khosravani, M.R. Inverse characterization of UHPC material based on Hopkinson bar test. Appl. Eng. Sci. 2021, 6, 100043. [Google Scholar] [CrossRef]
- Yang, R.S.; Li, W.J.; Yue, Z.W. Comparative Study on Dynamic Mechanical Properties and Energy Dissipation of Rocks under Impact Loads. Shock Vib. 2020, 2020, 8865099. [Google Scholar] [CrossRef]
- Xia, Z.B.; Zhang, K.F.; Deng, Y.F.; Ge, F.W. Comparative study on dynamic mechanical performance of concrete and rock. Frat. Integrità Strutt. 2015, 9, 574–579. [Google Scholar]
- Han, Z.Y.; Li, D.Y.; Li, X.B. Dynamic mechanical properties and wave propagation of composite rock-mortar specimens based on SHPB tests. Int. J. Min. Sci. Technol. 2022, 32, 793–806. [Google Scholar] [CrossRef]
- Zhai, Y.; Gao, H.; Wang, T.N. Research on the Dynamic Response and Failure Characteristics of Concrete-Granite Specimens with Varied Interface Roughness. J. Mater. Civ. Eng. 2023, 35, 04022407. [Google Scholar] [CrossRef]
- Li, X.F.; Li, H.B.; Liu, K.; Zhang, Q.B.; Zou, F.; Huang, L.X.; Zhao, J. Study of dynamic mechanical properties and fracture characteristics of rocks under impact loading. Chin. J. Rock Mech. Eng. 2017, 36, 2393–2405. [Google Scholar]
- Kolsky, H. An investigation of the mechanical properties of materials at very high rates of loading. Proc. Phys. Soc. Sect. B 1949, 62, 676–700. [Google Scholar] [CrossRef]
- Xia, K.W.; Yao, W. Dynamic rock tests using split Hopkinson (Kolsky) bar system a review. J. Rock Mech. Geotech. Eng. 2015, 7, 27–59. [Google Scholar] [CrossRef]
- Fakhimia, A.; Azhdaria, P.; Kimberley, J. Physical and numerical evaluation of rock strength in split Hopkinson pressure bar testing. Comput. Geotech. 2018, 102, 1–11. [Google Scholar] [CrossRef]
- Mishra, S.; Chakraborty, T.; Matsagar, V. Dynamic characterization of himalayan quartzite using SHPB. Procedia Eng. 2017, 191, 2–9. [Google Scholar] [CrossRef]
- Wang, Y.F.; Cui, F. Energy evolution mechanism in process of Sandstone failure and energy strength criterion. J. Appl. Geophys. 2018, 154, 21–28. [Google Scholar] [CrossRef]
- Yang, D.; Chen, M.; Yan, J.; Zou, D.W. Theoretical analysis and experimental research on the energy dissipation of rock crushing based on fractal theory. J. Nat. Gas Sci. Eng. 2016, 33, 231–239. [Google Scholar]
- Zwiessler, R.; Kenkmann, T.; Poelchau, M.H.; Nau, S.; Hess, S. On the use of a split Hopkinson pressure bar in structural geology: High strain rate deformation of Seeberger sandstone and Carrara marble under uniaxial compression. J. Struct. Geol. 2017, 97, 225–236. [Google Scholar] [CrossRef]
- Zhao, J.Y.; Liu, X.; Hu, Z.H.; Wang, X.S.; Xu, Z.Y. Fractal and energy dissipation characteristics of rock impact fragmentation. Nonferrous Met. Eng. 2022, 12, 100–108. [Google Scholar]
- Ma, Q.F.; Liu, Z.H.; Qin, Y.P.; Tian, J.; Wang, S.L. Plastic damage constitutive model of rock based on energy dissipation theory. Rock Soil Mech. 2021, 42, 1210–1220. [Google Scholar]
- Zhang, D.M.; Bai, X.; Yin, G.Z.; Li, S.J.; He, Q.B. Acoustic emission parameters and energy dissipation law of layered rock with uniaxial damage. J. China Coal Soc. 2018, 43, 646–656. [Google Scholar]
- Zhang, C.X.; Dai, B.; Wu, Q.H. Deformation characteristics and energy dissipation analysis of rock during unloading failure under different stress paths. J. Saf. Sci. Technol. 2014, 10, 35–40. [Google Scholar]
- Chen, X.G.; Zhang, G.Q. Study on energy dissipation and release in shear failure process of rock. J. Min. Saf. Eng. 2010, 27, 179–184. [Google Scholar]
- Ji, J.J.; Li, H.T.; Wu, F.M.; Yao, Q. Fractal characteristics of rock breakage under impact load. J. Vib. Shock 2020, 39, 176–183+214. [Google Scholar]
- Wu, R.J.; Li, H.B.; Li, X.F.; Yu, C.; Xia, X.; Liu, L.W. Crushing energy consumption and lumpiness characteristics of underlying rock under impact load. J. China Coal Soc. 2020, 45, 1053–1060. [Google Scholar]
- Wang, H.F.; Zhao, F.J.; Li, Y.; Zhang, S.P.; Liu, Y.H. Crack propagation and acoustic emission characteristics of statically invaded rock. J. Hunan Univ. Sci. Technol. (Nat. Sci. Ed.) 2019, 34, 18–24. [Google Scholar]
- Gao, F.; Gan, D.Q.; Guo, J.; Gan, Z. Research progress on energy characteristics of rock impact crushing. Eng. Blasting 2022, 28, 14–24. [Google Scholar]
- Tang, Z.Q.; Li, H.; Shi, X.C.; Li, Z.; Peng, Y.; Bao, H. Fracture characteristics of rock under uniaxial impact loading. Chin. J. Appl. Mech. 2019, 36, 1076–1081+1258. [Google Scholar]
- Yang, Y.; Li, X.L.; Yang, R.S.; Wang, J.G. Fractal characteristics and fracture morphology of low temperature rock impact fracture. Trans. Beijing Inst. Technol. 2020, 40, 632–639+682. [Google Scholar]
- Zhao, F.J.; Li, Y.; Chen, K.; Zhang, B. Experimental study on acoustic emission and electromagnetic radiation characteristics of rock breakage. Chin. J. Undergr. Space Eng. 2019, 15, 345–351+364. [Google Scholar]
- Deng, Y.; Chen, M.; Jin, Y.; Zhou, D.W. Study on dynamic characteristics and energy consumption characteristics of rock breakage under impact. Pet. Drill. Tech. 2016, 44, 27–32. [Google Scholar]
- Wan, G.X.; Wang, Q.S.; Li, X.B. Acoustic emission energy characteristics of rock under stress waves. J. Exp. Mech. 2012, 27, 727–733. [Google Scholar]
- Cao, J.; Shen, Z.K.; Hu, Y.L.; Fan, C.Z.; Wang, D.X.; Deng, L.Y.; Yang, H. Theoretical analysis and fuzzy prediction model of specific work of rock breakage under impact. Rock Soil Mech. 2012, 33, 145–149. [Google Scholar]
- Song, C.S.; Wang, W.; Liu, K.; Yuan, R.P.; Zhang, S.W.; Li, D.Y.; Li, H.M.; Kang, Y.C. Energy dissipation characteristics of saturated coal specimens under true triaxial dynamic and static loading. J. China Coal Soc. 2022, 47, 2011–2026. [Google Scholar]
- Wang, L.; Yuan, Q.P.; Xie, G.X.; Gu, S.H.; Jiao, Z.H.; Liu, H.Q.; Chen, L.P. Length-diameter ratio effect of coal specimen energy dissipation and broken fractals under impact load. J. China Coal Soc. 2022, 47, 1534–1546. [Google Scholar]
- Wang, N.; Li, S.G.; Wang, S.B.; Zhang, T.J.; Guo, Y. Study on fractal characteristics and energy dissipation law of coal crushing process. Saf. Coal Mines 2022, 47, 1534–1546. [Google Scholar]
- Gong, S.; Zhao, Y.X. Experimental study on the influence of bedding on dynamic fracture and energy dissipation of coal rock. Chin. J. Rock Mech. Eng. 2017, 36, 3723–3731. [Google Scholar]
- Zhang, M.B.; Lei, K.J.; Lin, M.Q.; Zhao, Y.; Wang, L.K. The energy evolution mechanism of damage deformation of coal rock containing gas under axial pressure unloading confining pressure. J. Saf. Sci. Technol. 2018, 14, 45–50. [Google Scholar]
- Lu, X.G.; Ji, H.G.; Yu, X.M.; Jiang, H.; Gao, Y.; Wu, H.Y. Mechanical properties and energy dissipation evolution of coal under triaxial unloading conditions. J. Harbin Inst. Technol. 2022, 54, 90–98. [Google Scholar]
- Jiang, H.X.; Du, C.L.; Liu, S.Y. The effects of impact velocity on energy and size distribution of rock crushing. J. China Coal Soc. 2013, 38, 604–609. [Google Scholar]
- Zheng, K.H.; Du, C.L.; Qiu, B.J. Experimental study on the fractal characteristics of crushing coal and gangue. J. China Coal Soc. 2013, 38, 1089–1094. [Google Scholar]
- Liu, X.H.; Dai, F.; Zhang, R.; Liu, J.F. Static and dynamic uniaxial compression tests on coal rock considering the bedding directivity. Environ. Earth Sci. 2015, 73, 5933–5949. [Google Scholar] [CrossRef]
- Zhang, W.Q.; Shi, B.M.; Mu, C.M. Experimental research on failure and energy dissipation law of coal under impact load. J. Min. Saf. Eng. 2016, 33, 375–380. [Google Scholar]
- Feng, J.J.; Wang, E.Y.; Chen, X.; Ding, H.C. Energy dissipation rate: An indicator of coal deformation and failure under static and dynamic compressive loads. Int. J. Min. Sci. Technol. 2018, 28, 397–406. [Google Scholar] [CrossRef]
- Wang, J.C.; Wang, Z.H.; Kong, D.Z. Failure and prevention mechanism of coal wall in hard coal seam. J. China Coal Soc. 2015, 40, 2243–2250. [Google Scholar]
- Shang, B.; Hu, S.S.; Jiang, X.Q. Three-wave calibration method for SHPB experimental data processing of metallic materials. Explos. Shock Waves 2010, 30, 429–432. [Google Scholar]
- Song, L.; Hu, S.S. Two-wave and three-wave methods in SHPB data processing. Explos. Shock Waves 2005, 25, 368–373. [Google Scholar]
- Wang, S.L. Stress Wave Basis; National Defense Industry Press: Beijing, China, 2005. [Google Scholar]
- Gong, F.Q.; Ye, H.; Luo, Y. The effect of high loading rate on the behaviour and mechanical properties of coal-rock combined body. Shock Vib. 2018, 2018, 4374530. [Google Scholar] [CrossRef]
- Rosin, P.; Rammler, E. The laws governing the fineness of powdered coal. J. Inst. Fuel 1933, 7, 29–36. [Google Scholar]
- Weibull, W. Statistical theory of the strength of materials. Stockh. Gen. Litogr. Anst. Forl. 1939, 151. [Google Scholar]
- Wang, D.K.; Liu, S.M.; Wei, J.P.; Yao, B.H.; Peng, M. The failure characteristics of coal under impact load in laboratory. J. Min. Saf. Eng. 2017, 34, 594–600. [Google Scholar]














| Specimen No. | Diameter /mm | Height /mm | Quality /g | Height-Diameter Ratio | Density /(g/cm3) | Compressive Strength/MPa | Modulus of Elasticity/GPa | Poisson’s Ratio |
|---|---|---|---|---|---|---|---|---|
| 1-1# | 49.90 | 102.14 | 310.6 | 2.05 | 1.56 | 35.589 | 3.058 | 0.088 |
| 1-2# | 49.89 | 101.44 | 287.9 | 2.03 | 1.45 | 33.353 | 2.666 | 0.316 |
| 1-3# | 49.96 | 99.68 | 295.2 | 2.00 | 1.51 | 31.066 | 2.827 | 0.249 |
| 1-4# | 49.67 | 99.61 | 301.0 | 2.01 | 1.56 | 25.391 | 3.55 | 0.417 |
| 1-5# | 49.99 | 100.34 | 309.1 | 2.01 | 1.57 | 28.338 | 3.316 | 0.489 |
| 1-6# | 49.64 | 102.81 | 250.7 | 2.07 | 1.26 | 13.114 | 1.969 | 0.378 |
| 1-7# | 50.01 | 100.04 | 279.2 | 2.00 | 1.42 | 25.923 | 2.365 | 0.553 |
| 1-8# | 50.25 | 98.92 | 243.0 | 1.97 | 1.24 | 20.795 | 2.344 | 0.357 |
| 1-9# | 49.97 | 102.21 | 262.8 | 2.05 | 1.31 | 16.715 | 2.257 | 0.505 |
| Average value | 49.95 | 100.31 | 289.43 | 2.01 | 1.473 | 28.636 | 2.875 | 0.353 |
| Specimen No. | Impact Pressure /MPa | Impact Velocity /(m·s−1) | Maximum Strain Rate /s−1 | Peak Stress /MPa | Peak Strain /10−3 | Destruction |
|---|---|---|---|---|---|---|
| 1 | 0.15 | 2.675 | 90.090 | 25.999 | 14.718 | broken |
| 2 | 0.15 | 3.275 | 97.434 | 30.152 | 17.588 | broken |
| 3 | 0.2 | 3.574 | 67.465 | 40.135 | 21.165 | broken |
| 4 | 0.2 | 4.024 | 99.879 | 43.743 | 22.558 | broken |
| 5 | 0.3 | 4.804 | 93.168 | 33.425 | 29.227 | broken |
| 6 | 0.3 | 4.819 | 83.046 | 19.864 | 21.187 | broken |
| 7 | 0.3 | 5.011 | 94.704 | 37.268 | 26.966 | broken |
| Specimen No. | Impact Velocity /(m·s−1) | Coal Particles Sieve Analysis | Curve Fitting | CCI m0 | CDI d0 | Correlation Coefficient R2 | |||
|---|---|---|---|---|---|---|---|---|---|
| dk /mm | Less than the Mass of the Grade /g | Cumulative Probability V/% | lndk | lnln [1/(1 − V)] | |||||
| 1 | 2.675 | 4.75 | 8.592 | 15.335 | 1.558 | −1.793 | 1.181 | 22.273 | 0.997 |
| 2.36 | 3.567 | 6.366 | 0.859 | −2.721 | |||||
| 0.6 | 0.839 | 1.497 | −0.511 | −4.194 | |||||
| 0.3 | 0.331 | 0.591 | −1.204 | −5.129 | |||||
| 2 | 3.275 | 4.75 | 10.223 | 18.105 | 1.558 | −1.607 | 1.457 | 14.301 | 0.999 |
| 2.36 | 3.875 | 6.849 | 0.859 | −2.64 | |||||
| 0.6 | 0.58 | 1.064 | −0.511 | −4.57 | |||||
| 0.3 | 0.195 | 0.379 | −1.204 | −5.663 | |||||
| 3 | 3.574 | 4.75 | 17.821 | 31.026 | 1.558 | −0.967 | 1.365 | 10.205 | 0.996 |
| 2.36 | 6.399 | 11.141 | 0.859 | −2.116 | |||||
| 0.6 | 1.211 | 2.108 | −0.511 | −3.829 | |||||
| 0.3 | 0.455 | 0.618 | −1.204 | −4.815 | |||||
| 4 | 4.024 | 4.75 | 20.281 | 35.113 | 1.558 | −0.838 | 1.287 | 9.753 | 0.995 |
| 2.36 | 7.655 | 13.253 | 0.859 | −1.951 | |||||
| 0.6 | 1.604 | 2.777 | −0.511 | −3.57 | |||||
| 0.3 | 0.661 | 1.144 | −1.204 | −4.465 | |||||
| 5 | 4.804 | 4.75 | 23.12 | 38.128 | 1.558 | −0.819 | 1.323 | 8.833 | 0.999 |
| 2.36 | 10.173 | 16.897 | 0.859 | −1.768 | |||||
| 0.6 | 1.931 | 3.105 | −0.511 | −3.499 | |||||
| 0.3 | 0.708 | 1.16 | −1.204 | −4.511 | |||||
| 6 | 4.819 | 4.75 | 24.714 | 39.799 | 1.558 | −0.59 | 1.346 | 7.412 | 0.999 |
| 2.36 | 10.953 | 17.512 | 0.859 | −1.566 | |||||
| 0.6 | 2.013 | 3.324 | −0.511 | −3.345 | |||||
| 0.3 | 0.752 | 1.218 | −1.204 | −4.341 | |||||
| 7 | 5.011 | 4.75 | 28.488 | 48.942 | 1.558 | −0.397 | 1.280 | 6.343 | 0.996 |
| 2.36 | 14.314 | 24.594 | 0.859 | −1.265 | |||||
| 0.6 | 3.076 | 5.283 | −0.511 | −2.914 | |||||
| 0.3 | 1.071 | 1.838 | −1.204 | −3.986 | |||||
| Specimen No. | Impact Velocity /(m·s−1) | Incident Energy /J | Reflective Energy /J | Transmitted Energy /J | Dissipative Energy /J | Energy Dissipation Rate |
|---|---|---|---|---|---|---|
| 1 | 2.675 | 177.26 | 135.29 | 13.01 | 28.96 | 0.163 |
| 2 | 3.275 | 257.16 | 194.17 | 23.88 | 39.11 | 0.152 |
| 3 | 3.574 | 326.88 | 236.68 | 26.21 | 63.99 | 0.196 |
| 4 | 4.024 | 405.53 | 302.53 | 29.21 | 73.79 | 0.182 |
| 5 | 4.804 | 523.21 | 419.62 | 23.12 | 80.47 | 0.154 |
| 6 | 4.819 | 558.42 | 452.61 | 22.51 | 83.3 | 0.149 |
| 7 | 5.011 | 610.69 | 492.13 | 21.76 | 96.8 | 0.159 |
Disclaimer/Publisher’s Note: The statements, opinions and data contained in all publications are solely those of the individual author(s) and contributor(s) and not of MDPI and/or the editor(s). MDPI and/or the editor(s) disclaim responsibility for any injury to people or property resulting from any ideas, methods, instructions or products referred to in the content. |
© 2023 by the authors. Licensee MDPI, Basel, Switzerland. This article is an open access article distributed under the terms and conditions of the Creative Commons Attribution (CC BY) license (https://creativecommons.org/licenses/by/4.0/).
Share and Cite
Wang, H.; Xu, W.; Cheng, B.; Zong, Q. Research on Particle Size and Energy Consumption Law of Hard Coal Crushing under Impact Load Based on SHPB Test. Appl. Sci. 2023, 13, 3298. https://doi.org/10.3390/app13053298
Wang H, Xu W, Cheng B, Zong Q. Research on Particle Size and Energy Consumption Law of Hard Coal Crushing under Impact Load Based on SHPB Test. Applied Sciences. 2023; 13(5):3298. https://doi.org/10.3390/app13053298
Chicago/Turabian StyleWang, Haibo, Wenqing Xu, Bing Cheng, and Qi Zong. 2023. "Research on Particle Size and Energy Consumption Law of Hard Coal Crushing under Impact Load Based on SHPB Test" Applied Sciences 13, no. 5: 3298. https://doi.org/10.3390/app13053298
APA StyleWang, H., Xu, W., Cheng, B., & Zong, Q. (2023). Research on Particle Size and Energy Consumption Law of Hard Coal Crushing under Impact Load Based on SHPB Test. Applied Sciences, 13(5), 3298. https://doi.org/10.3390/app13053298

