Evaluation of the Different Fractions of Organic Matter in an Electrochemical Treatment System Applied to Stabilized Leachates from the Bordo Poniente Landfill in Mexico City
Abstract
Featured Application
Abstract
1. Introduction
2. Materials and Methods
2.1. First Phase: Description of the Study Area
2.2. Second Phase: Leachate Sampling
2.3. Third Phase: Characterization of Leachates and Effluents
Equipment and Materials
2.4. Fourth Phase: Experimental Procedure
2.5. Fifth Phase: Statistical Analysis and Design of Experiments
2.6. Monitoring the Evolution of the Evaluated Parameters and Kinetic Analysis
3. Results and Discussion
3.1. Characterization of Raw Leachates
3.2. Characterization of Effluents Generated in Electro-Coagulation and Electro-Oxidation Experiments
3.2.1. Monitoring of Chemical Oxygen Demand
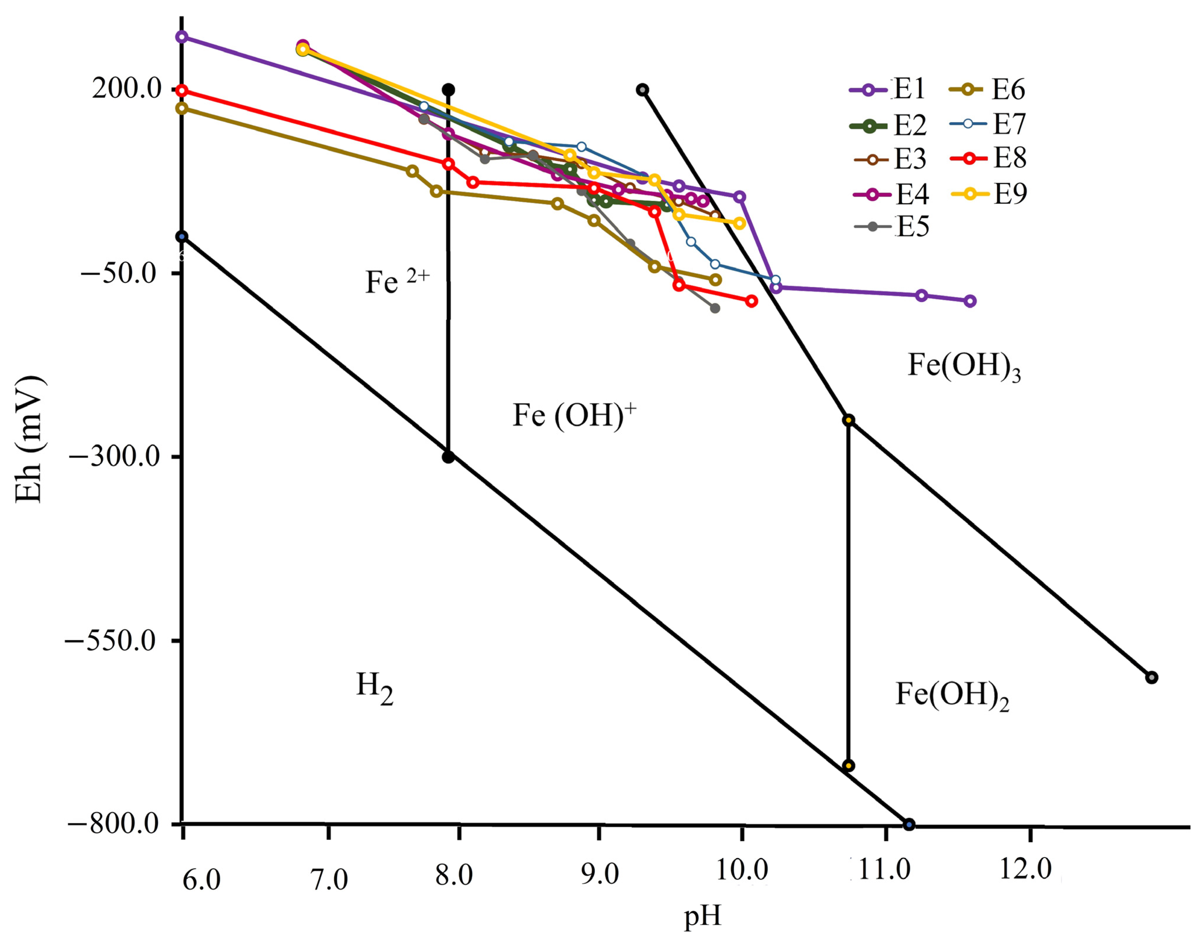
3.2.2. Eh-pH Diagram for the Electro-Coagulation Experiments
3.2.3. Kinetic Analysis
3.3. Determination of Optimal Conditions
3.4. Effluent Characterization at Optimal Conditions
3.4.1. Fractionation of Humic Substances
3.4.2. Chemical Oxygen Demand Fractionation
3.4.3. Evolution of Organic Matter Using UV-VIS and FTIR Spectra
4. Conclusions
Supplementary Materials
Author Contributions
Funding
Institutional Review Board Statement
Informed Consent Statement
Data Availability Statement
Acknowledgments
Conflicts of Interest
References
- Gu, Z.; Bao, M.; He, C.; Chen, W. Transformation of Dissolved Organic matter in Landfill Leachate during a Membrane Bioreactor Treatment. Sci. Total Environ. 2023, 856, 159066. [Google Scholar] [CrossRef] [PubMed]
- Han, Z.; Liu, Y.; Zhong, M.; Shi, G.; Li, Q.; Zeng, D.; Zhang, Y.; Fei, Y.; Xie, Y. Influencing Factors of Domestic Waste Characteristics in Rural Areas of Developing Countries. Waste Manag. 2018, 72, 45–54. [Google Scholar] [CrossRef]
- EEA. European Environmental Agency: Municipal Waste Management across European Countries. Available online: https://www.eea.europa.eu/publications/municipal-waste-management-across-european-countries (accessed on 21 April 2023).
- Silpa, K.; Yao, L.; Bhada-Tata, P.; Van Woerden, F. What a Waste 2.0: A Global Snapshot of Solid Waste Management to 2050; Word Bank Group: Washington, DC, USA, 2018; pp. 1–8. ISBN 9781464813290. [Google Scholar]
- Seibert, D.; Quesada, H.; Bergamasco, R.; Borba, F.H.; Pellenz, L. Presence of Endocrine Disrupting Chemicals in Sanitary Landfill Leachate, Its Treatment and Degradation by Fenton Based Processes: A Review. Process Saf. Environ. Prot. 2019, 131, 255–267. [Google Scholar] [CrossRef]
- Khalil, C.; Al Hageh, C.; Korfali, S.; Khnayzer, R.S. Municipal Leachates Health Risks: Chemical and Cytotoxicity Assessment from Regulated and Unregulated Municipal Dumpsites in Lebanon. Chemosphere 2018, 208, 1–13. [Google Scholar] [CrossRef] [PubMed]
- El Fadili, H.; Ben Ali, M.; Touach, N.; El Mahi, M.; Lotfi, E.M. Ecotoxicological and Pre-Remedial Risk Assessment of Heavy Metals in Municipal Solid Wastes Dumpsite Impacted Soil in Morocco. Environ. Nanotechnol. Monit. Manag. 2022, 17, 100640. [Google Scholar] [CrossRef]
- Ding, W.; Zeng, X.; Hu, X.; Deng, Y.; Hossain, M.N.; Chen, L. Characterization of Dissolved Organic Matter in Mature Leachate during Ammonia Stripping and Two-Stage Aged-Refuse Bioreactor Treatment. J. Environ. Eng. 2018, 144, 0401782. [Google Scholar] [CrossRef]
- Arimi, M.M. Integration of Fenton with Biological and Physical–Chemical Methods in the Treatment of Complex Effluents: A Review. Environ. Technol. Rev. 2017, 6, 156–173. [Google Scholar] [CrossRef]
- Iskander, S.M.; Zhao, R.; Pathak, A.; Gupta, A.; Pruden, A.; Novak, J.T.; He, Z. A Review of Landfill Leachate Induced Ultraviolet Quenching Substances: Sources, Characteristics, and Treatment. Water Res. 2018, 145, 297–311. [Google Scholar] [CrossRef]
- Teng, C.; Zhou, K.; Peng, C.; Chen, W. Characterization and Treatment of Landfill Leachate: A Review. Water Res. 2021, 203, 117525. [Google Scholar] [CrossRef]
- Renou, S.; Givaudan, J.; Poulain, S.; Dirassouyan, F.; Moulin, P. Landfill Leachate Treatment: Review and Opportunity. J. Hazard. Mater. 2008, 150, 468–493. [Google Scholar] [CrossRef]
- Liu, J.; Ren, N.; Qu, C.; Lu, S.; Xiang, Y.; Liang, D. Recent Advances in the Reactor Design for Industrial Wastewater Treatment by Electro-Oxidation Process. Water 2022, 14, 3711. [Google Scholar] [CrossRef]
- Foo, K.Y.; Hameed, B.H. An Overview of Landfill Leachate Treatment via Activated Carbon Adsorption Process. J. Hazard. Mater. 2009, 171, 54–60. [Google Scholar] [CrossRef] [PubMed]
- El-Saadony, M.T.; Saad, A.M.; El-Wafai, N.A.; Abou-Aly, H.E.; Salem, H.M.; Soliman, S.M.; El-Mageed, T.A.A.; Elrys, A.S.; Selim, S.; El-Hack, M.E.A.; et al. Hazardous Wastes and Management Strategies of Landfill Leachates: A Comprehensive Review. Environ. Technol. Innov. 2023, 31, 103150. [Google Scholar] [CrossRef]
- Baun, D.L.; Christensen, T.H. Speciation of Heavy Metals in Landfill Leachate: A Review. Waste Manag. Res. J. A Sustain. Circ. Econ. 2004, 22, 3–23. [Google Scholar] [CrossRef]
- Christensen, T.H. Solid Waste Technology and Management; Blackwell Publishing Ltd.: Hoboken, NJ, USA; John Wiley & Sons, Ltd.: Chichester, UK, 2010; p. 1026. ISBN 9780470666883. [Google Scholar]
- Abd El-Mageed, T.A.; Abdurrahman, H.A.; Abd El-Mageed, S.A. Residual Acidified Biochar Modulates Growth, Physiological Responses, and Water Relations of Maize (Zea mays) under Heavy Metal—Contaminated Irrigation Water. Environ. Sci. Pollut. Res. 2020, 27, 22956–22966. [Google Scholar] [CrossRef]
- Christensen, T.H.; Kjeldsen, P.; Bjerg, P.L.; Jensen, D.L.; Christensen, J.B.; Baun, A.; Albrechtsen, H.-J.; Heron, G. Biogeochemistry of Landfill Leachate Plumes. Appl. Geochem. 2001, 16, 659–718. [Google Scholar] [CrossRef]
- Deng, Y.; Chen, N.; Feng, C.; Chen, F.; Wang, H.; Feng, Z.; Zheng, Y.; Kuang, P.; Hu, W. Research on Complexation Ability, Aromaticity, Mobility and Cytotoxicity of Humic-like Substances during Degradation Process by Electrochemical Oxidation. Environ. Pollut. 2019, 251, 811–820. [Google Scholar] [CrossRef]
- Moody, C.M.; Townsend, T.G. A Comparison of Landfill Leachates Based on Waste Composition. Waste Manag. 2017, 63, 267–274. [Google Scholar] [CrossRef]
- Del Moro, G.; Prieto-Rodríguez, L.; De Sanctis, M.; Di Iaconi, C.; Malato, S.; Mascolo, G. Landfill Leachate Treatment: Comparison of Standalone Electrochemical Degradation and Combined with a Novel Biofilter. Chem. Eng. J. 2016, 288, 87–98. [Google Scholar] [CrossRef]
- Guvenc, S.Y.; Dincer, K.; Varank, G. Performance of Electrocoagulation and Electro-Fenton Processes for Treatment of Nanofiltration Concentrate of Biologically Stabilized Landfill Leachate. J. Water Process Eng. 2019, 31, 100863. [Google Scholar] [CrossRef]
- Hamid, M.A.A.; Aziz, H.A.; Yusoff, M.S. Electrocoagulation Process in the Treatment of Landfill Leachate. In Sustainable Solutions for Environmental Pollution, 1st ed.; Nour, E.G., Ed.; Scrivener Publishing Wiley: Beverly, MA, USA, 2021; Volume 1, pp. 257–283. ISBN 9781119785354. [Google Scholar]
- Magnisali, E.; Yan, Q.; Vayenas, D.V. Electrocoagulation as a Revived Wastewater Treatment Method-practical Approaches: A Review. J. Chem. Technol. Biotechnol. 2022, 97, 9–25. [Google Scholar] [CrossRef]
- Clematis, D.; Panizza, M. Application of Boron-Doped Diamond Electrodes for Electrochemical Oxidation of Real Wastewaters. Curr. Opin. Electrochem. 2021, 30, 100844. [Google Scholar] [CrossRef]
- Baiju, A.; Gandhimathi, R.; Ramesh, S.T.; Nidheesh, P.V. Combined Heterogeneous Electro-Fenton, and Biological Process for the Treatment of Stabilized Landfill Leachate. J. Environ. Manag. 2018, 210, 328–337. [Google Scholar] [CrossRef] [PubMed]
- Mahmud, K.; Hossain, M.D.; Shams, S. Different Treatment Strategies for Highly Polluted Landfill Leachate in Developing Countries. Waste Manag. 2012, 32, 2096–2105. [Google Scholar] [CrossRef]
- Moradi, M.; Ghanbari, F. Application of Response Surface Method for Coagulation Process in Leachate Treatment as Pretreatment for Fenton Process: Biodegradability Improvement. J. Water Process Eng. 2014, 4, 67–73. [Google Scholar] [CrossRef]
- Abunama, T.; Moodley, T.; Abualqumboz, M.; Kumari, S.; Bux, F. Variability of Leachate Quality and Polluting Potentials in Light of Leachate Pollution Index (LPI)—A Global Perspective. Chemosphere 2021, 282, 131119. [Google Scholar] [CrossRef]
- Sun, X.; Wang, X.; Liu, Y.; Lian, Y.; Meng, L.; Su, Z. Removing Refractory Organic Matter from Nanofiltration Concentrated Landfill Leachate by Electrooxidation Combined with Electrocoagulation: Characteristics and Implication for Leachate Management. J. Water Process Eng. 2022, 47, 102747. [Google Scholar] [CrossRef]
- Carstea, E.M.; Bridgeman, J.; Baker, A.; Reynolds, D.M. Fluorescence Spectroscopy for Wastewater Monitoring: A Review. Water Res. 2016, 95, 205–219. [Google Scholar] [CrossRef]
- Thomas, O.; Theraulaz, F. Aggregate Organic Constituents. In UV-Visible Spectrophotometry of Water and Wastewater, 1st ed.; Thomas, O., Burgess, C., Eds.; Elsevier: Amsterdam, The Netherlands, 2017; Volume 27, pp. 89–99. ISBN 978-0-444-53092-9. [Google Scholar]
- Xie, Z.; Guan, W. Research on Fluorescence Spectroscopy Characteristics of Dissolved Organic Matter of Landfill Leachate in the Rear Part of Three Gorges Reservoir. J. Spectrosc. 2015, 2015, 785406. [Google Scholar] [CrossRef]
- Dia, O.; Drogui, P.; Buelna, G.; Dubé, R. Hybrid Process, Electrocoagulation-Biofiltration for Landfill Leachate Treatment. Waste Manag. 2018, 75, 391–399. [Google Scholar] [CrossRef]
- Dia, O.; Drogui, P.; Buelna, G.; Dubé, R.; Ihsen, B.S. Electrocoagulation of Bio-Filtrated Landfill Leachate: Fractionation of Organic Matter and Influence of Anode Materials. Chemosphere 2017, 168, 1136–1141. [Google Scholar] [CrossRef] [PubMed]
- Wang, H.; Wang, Y.; Li, X.; Sun, Y.; Wu, H.; Chen, D. Removal of Humic Substances from Reverse Osmosis (RO) and Nanofiltration (NF) Concentrated Leachate Using Continuously Ozone Generation-Reaction Treatment Equipment. Waste Manag. 2016, 56, 271–279. [Google Scholar] [CrossRef] [PubMed]
- Abu Amr, S.S.; Aziz, H.A.; Adlan, M.N. Optimization of Stabilized Leachate Treatment Using Ozone/Persulfate in the Advanced Oxidation Process. Waste Manag. 2013, 33, 1434–1441. [Google Scholar] [CrossRef]
- Abu Amr, S.S.; Aziz, H.A.; Adlan, M.N.; Bashir, M.J.K. Pretreatment of Stabilized Leachate Using Ozone/Persulfate Oxidation Process. Chem. Eng. J. 2013, 221, 492–499. [Google Scholar] [CrossRef]
- Abu Amr, S.S.; Aziz, H.A.; Adlan, M.N.; Alkasseh, J.M.A. Effect of Ozone and Ozone/Persulfate Processes on Biodegradable and Soluble Characteristics of Semiaerobic Stabilized Leachate. Environ. Prog. Sustain. Energy 2014, 33, 184–191. [Google Scholar] [CrossRef]
- PROFEPA. Acuerdo de Cierre Del Relleno Sanitario Bordo Poniente [Agreement to Close the Landfill on Bordo Poniente]. Available online: https://www.profepa.gob.mx/innovaportal/v/3476/1/mx.wap/el_gobierno_federal_y_el_gobierno_del_distrito_federal_acuerdan_cerrar_el_relleno_sanitario_bordo_poniente.html (accessed on 3 April 2023).
- INEGI. Censo Nacional de Gobiernos Municipales y Delegacionales 2017 [National Census of Municipal and Delegate Governments 2017]. Available online: https://www.inegi.org.mx/programas/cngmd/2017/default.html#Datos_abiertos (accessed on 2 April 2023).
- CONAGUA. Promedios Mensuales de Temperatura y Lluvia [Monthly Averages of Temperature and Rain]. Available online: https://smn.conagua.gob.mx/es/climatologia/temperaturas-y-lluvias/resumenes-mensuales-de-temperaturas-y-lluvias (accessed on 2 April 2023).
- Alcantar, R.F. Evolución de Las Características Físico-Químicas Del Lixiviado Generado en El Relleno Sanitario Bordo Poniente [Evolution of the Physical-Chemical Characteristics of Leachate Generated in Bordo Poniente Landfill]. Bachelor’s Thesis, UNAM, Mexico City, Mexico, 2015. [Google Scholar]
- GDF Cierre de la Etapa IV del relleno sanitario Bordo Poniente [Close of Stage IV of Bordo Poniente Landfill]. Available online: http://sinat.semarnat.gob.mx/dgiraDocs/documentos/mex/estudios/2004/15EM2004U0019.pdf (accessed on 2 April 2023).
- INEGI. Geografía y Medio Ambiente: Climatología [Geography and Environment: Climatology]. Available online: https://www.inegi.org.mx/temas/climatologia/ (accessed on 2 April 2023).
- INEGI Síntesis de Información Geográfica Del Estado de México [State of Mexico Geographic Information Synthesis]. Available online: https://searchworks.stanford.edu/view/4811414 (accessed on 2 April 2023).
- ISO 5667-10:2020; Water Quality Sampling Part 10: Guidance on Sampling of Wastewater. International Standards Organisation: Geneva, Switzerland, 2020. Available online: https://www.iso.org/standard/70934.html (accessed on 4 April 2023).
- APHA. Standard Methods for the Examination of Water and Wastewater, 24th ed.; Lipps, W.C., Baxter, T.E., Braun-Howland, E., Eds.; APHA Press: Washington, DC, USA, 2022; pp. 50–120. ISBN 9780875532998. [Google Scholar]
- ASTM D7573-09; Standard Test Method for Total Carbon and Organic Carbon in Water by High Temperature Catalytic Combustion and Infrared Detection. ASTM: West Conshohocken, PA, USA, 2009. Available online: https://www.astm.org/ (accessed on 2 April 2023).
- ASTM D1209-05; Standard Test Method for Color of Clear Liquids (Platinum-Cobalt Scale). ASTM: West Conshohocken, PA, USA, 2005. Available online: https://www.astm.org/ (accessed on 2 April 2023).
- Taguchi, G.; Chowdhury, S.; Wu, Y. Taguchi’s Quality Engineering Handbook, 1st ed.; John Wiley & Sons, Inc.: Hoboken, NJ, USA, 2004; pp. 605–607. ISBN 9780470258354. [Google Scholar]
- Montgomery, D.C. Design and Analysis of Experiments, 8th ed.; John Wiley & Sons Inc.: Hoboken, NJ, USA; Arizona State University: Hoboken, NJ, USA, 2017; pp. 478–486. ISBN 9781118146927. [Google Scholar]
- Upadhyay, S.K. Chemical Kinetics and Reaction Dynamics, 1st ed.; Anamaya Publishers Springer: Dordrecht, The Netherlands, 2006; pp. 12–13. ISBN 978-1-4020-4546-2. [Google Scholar]
- Ofomola, M.O.; Umayah, O.S.; Akpoyibo, O. Contamination Assessment of Dumpsites in Ughelli, Nigeria Using the Leachate Pollution Index Method. J. Appl. Sci. Environ. Manag. 2017, 21, 77–84. [Google Scholar] [CrossRef]
- Umar, M.; Aziz, H.A.; Yusoff, M.S. Variability of Parameters Involved in Leachate Pollution Index and Determination of LPI from Four Landfills in Malaysia. Int. J. Chem. Eng. 2010, 2010, 747953. [Google Scholar] [CrossRef]
- Mor, S.; Ravindra, K.; Dahiya, R.P.; Chandra, A. Leachate Characterization and Assessment of Groundwater Pollution Near Municipal Solid Waste Landfill Site. Environ. Monit. Assess. 2006, 118, 435–456. [Google Scholar] [CrossRef]
- Aftab, B.; Cho, J.; Hur, J. Intermittent Osmotic Relaxation: A Strategy for Organic Fouling Mitigation in a Forward Osmosis System Treating Landfill Leachate. Desalination 2020, 482, 114406. [Google Scholar] [CrossRef]
- Poblete, R.; Pérez, N. Use of Sawdust as Pretreatment of Photo-Fenton Process in the Depuration of Landfill Leachate. J. Environ. Manag. 2020, 253, 109697. [Google Scholar] [CrossRef]
- Martínez-Cruz, A.; Valencia, M.N.R.; Araiza-Aguilar, J.A.; Nájera-Aguilar, H.A.; Gutiérrez-Hernández, R.F. Leachate Treatment: Comparison of a Bio-Coagulant (Opuntia Ficus Mucilage) and Conventional Coagulants Using Multi-Criteria Decision Analysis. Heliyon 2021, 7, e07510. [Google Scholar] [CrossRef] [PubMed]
- Martínez-Cruz, A.; Fernandes, A.; Ciríaco, L.; Pacheco, M.J.; Carvalho, F.; Afonso, A.; Madeira, L.; Luz, S.; Lopes, A. Electrochemical Oxidation of Effluents from Food Processing Industries: A Short Review and a Case-Study. Water 2020, 12, 3546. [Google Scholar] [CrossRef]
- Mandal, P.; Dubey, B.K.; Gupta, A.K. Review on Landfill Leachate Treatment by Electrochemical Oxidation: Drawbacks, Challenges and Future Scope. Waste Manag. 2017, 69, 250–273. [Google Scholar] [CrossRef] [PubMed]
- Park, J.W.; Kim, S.Y.; Noh, J.H.; Bae, Y.H.; Lee, J.W.; Maeng, S.K. A Shift from Chemical Oxygen Demand to Total Organic Carbon for Stringent Industrial Wastewater Regulations: Utilization of Organic Matter Characteristics. J. Environ. Manag. 2022, 305, 114412. [Google Scholar] [CrossRef]
- Schellekens, J.; Buurman, P.; Kalbitz, K.; Zomeren, A.V.; Vidal-Torrado, P.; Cerli, C.; Comans, R.N.J. Molecular Features of Humic Acids and Fulvic Acids from Contrasting Environments. Environ. Sci. Technol. 2017, 51, 1330–1339. [Google Scholar] [CrossRef]
- Wijekoon, P.; Koliyabandara, P.A.; Cooray, A.T.; Lam, S.S.; Athapattu, B.C.L.; Vithanage, M. Progress and Prospects in Mitigation of Landfill Leachate Pollution: Risk, Pollution Potential, Treatment and Challenges. J. Hazard. Mater. 2022, 421, 126627. [Google Scholar] [CrossRef]
- Zakaria, S.N.F.; Abdul Aziz, H. Characteristic of Leachate at Alor Pongsu Landfill Site, Perak, Malaysia: A Comparative Study. IOP Conf. Ser. Earth Environ. Sci. 2018, 140, 012013. [Google Scholar] [CrossRef]
- Hussein, M.; Yoneda, K.; Zaki, Z.; Othman, N.; Amir, A. Leachate Characterizations and Pollution Indices of Active and Closed Unlined Landfills in Malaysia. Environ. Nanotechnol. Monit. Manag. 2019, 12, 100232. [Google Scholar] [CrossRef]
- Naveen, B.P.; Sivapullaiah, P.V.; Sitharam, T.G. Effect of Aging on the Leachate Characteristics from Municipal Solid Waste Landfill. Jpn. Geotech. Soc. Spec. Publ. 2016, 2, 1940–1945. [Google Scholar] [CrossRef]
- Kamaruddin, M.A.; Yusoff, M.S.; Aziz, H.A.; Hung, Y.-T. Sustainable Treatment of Landfill Leachate. Appl. Water Sci. 2015, 5, 113–126. [Google Scholar] [CrossRef]
- Fan, H.; Shu, H.-Y.; Yang, H.-S.; Chen, W.-C. Characteristics of Landfill Leachates in Central Taiwan. Sci. Total Environ. 2006, 361, 25–37. [Google Scholar] [CrossRef] [PubMed]
- Li, H.S.; Zhou, S.Q.; Sun, Y.B.; Feng, P.; Li, J.D. Advanced Treatment of Landfill Leachate by a New Combination Process in a Full-Scale Plant. J. Hazard. Mater. 2009, 172, 408–415. [Google Scholar] [CrossRef] [PubMed]
- Tripathy, B.K.; Kumar, M. Sequential Coagulation/Flocculation and Microwave-Persulfate Processes for Landfill Leachate Treatment: Assessment of Bio-Toxicity, Effect of Pretreatment and Cost-Analysis. Waste Manag. 2019, 85, 18–29. [Google Scholar] [CrossRef] [PubMed]
- Ibrahim, A.; Yaser, A.Z. Colour Removal from Biologically Treated Landfill Leachate with Tannin-Based Coagulant. J. Environ. Chem. Eng. 2019, 7, 103483. [Google Scholar] [CrossRef]
- Aziz, H.; Rahim, N.; Ramli, S.; Alazaiza, M.; Omar, F.; Hung, Y.-T. Potential Use of Dimocarpus Longan Seeds as a Flocculant in Landfill Leachate Treatment. Water 2018, 10, 1672. [Google Scholar] [CrossRef]
- Shadi, A.M.H.; Kamaruddin, M.A.; Niza, N.M.; Emmanuela, M.I.; Shaah, M.A.; Yusoff, M.S.; Allafi, F.A. Characterization of Stabilized Leachate and Evaluation of LPI from Sanitary Landfill in Penang, Malaysia. Desalination Water Treat 2020, 189, 152–164. [Google Scholar] [CrossRef]
- Shehzad, A.; Bashir, M.J.K.; Sethupathi, S.; Lim, J.-W. An Insight into the Remediation of Highly Contaminated Landfill Leachate Using Sea Mango Based Activated Bio-Char: Optimization, Isothermal and Kinetic Studies. Desalination Water Treat 2016, 57, 22244–22257. [Google Scholar] [CrossRef]
- Gamar, A.; Khiya, Z.; Zair, T.; Kabriti, M.E.; Bouhlal, A.; Hilali, F.E. Assessment of Psysico Chemical Quality of the Polluting Load of Leachates from the Wild Dump of The Hajeb City. Int. J. Res.-Granthaalayah 2017, 5, 63–71. [Google Scholar] [CrossRef]
- Hakizimana, J.N.; Gourich, B.; Chafi, M.; Stiriba, Y.; Vial, C.; Drogui, P.; Naja, J. Electrocoagulation Process in Water Treatment: A Review of Electrocoagulation Modeling Approaches. Desalination 2017, 404, 1–21. [Google Scholar] [CrossRef]
- Zhou, B.; Yu, Z.; Wei, Q.; Long, H.; Xie, Y.; Wang, Y. Electrochemical Oxidation of Biological Pretreated and Membrane Separated Landfill Leachate Concentrates on Boron Doped Diamond Anode. Appl. Surf. Sci. 2016, 377, 406–415. [Google Scholar] [CrossRef]
- Bouhezila, F.; Hariti, M.; Lounici, H.; Mameri, N. Treatment of the OUED SMAR Town Landfill Leachate by an Electrochemical Reactor. Desalination 2011, 280, 347–353. [Google Scholar] [CrossRef]
- Chen, R.-F.; Wu, L.; Zhong, H.-T.; Liu, C.-X.; Qiao, W.; Wei, C.-H. Evaluation of Electrocoagulation Process for High-Strength Swine Wastewater Pretreatment. Sep. Purif. Technol. 2021, 272, 118900. [Google Scholar] [CrossRef]
- Fernandes, A.; Santos, D.; Pacheco, M.J.; Ciríaco, L.; Lopes, A. Electrochemical Oxidation of Humic Acid and Sanitary Landfill Leachate: Influence of Anode Material, Chloride Concentration and Current Density. Sci. Total Environ. 2016, 541, 282–291. [Google Scholar] [CrossRef] [PubMed]
- Anglada, Á.; Urtiaga, A.; Ortiz, I.; Mantzavinos, D.; Diamadopoulos, E. Boron-Doped Diamond Anodic Treatment of Landfill Leachate: Evaluation of Operating Variables and Formation of Oxidation by-Products. Water Res. 2011, 45, 828–838. [Google Scholar] [CrossRef] [PubMed]
- Can, O.T.; Gazigil, L.; Keyikoglu, R. Treatment of Intermediate Landfill Leachate Using Different Anode Materials in Electrooxidation Process. Environ. Prog. Sustain. Energy 2022, 41, e13722. [Google Scholar] [CrossRef]
- Deng, Y.; Chen, N.; Feng, C.; Chen, F.; Wang, H.; Kuang, P.; Feng, Z.; Liu, T.; Gao, Y.; Hu, W. Treatment of Organic Wastewater Containing Nitrogen and Chlorine by Combinatorial Electrochemical System: Taking Biologically Treated Landfill Leachate Treatment as an Example. Chem. Eng. J. 2019, 364, 349–360. [Google Scholar] [CrossRef]
- Gatsios, E.; Hahladakis, J.N.; Gidarakos, E. Optimization of Electrocoagulation (EC) Process for the Purification of a Real Industrial Wastewater from Toxic Metals. J. Environ. Manag. 2015, 154, 117–127. [Google Scholar] [CrossRef]
- Nabuyanda, M.M.; Kelderman, P.; Sankura, M.G.; Rousseau, D.; Irvine, K. Investigating the Effect of Eh and PH on Binding Forms of Co, Cu, and Pb in Wetland Sediments from Zambia. J. Environ. Manag. 2022, 319, 115543. [Google Scholar] [CrossRef]
- Gandhimathi, R.; Babu, A.; Nidheesh, P.V.; Ramesh, S.T.; Singh, T.S.A. Laboratory Study on Leachate Treatment by Electrocoagulation Using Fly Ash, and Bottom Ash as Supporting Electrolytes. J. Hazard. Toxic Radioact. Waste 2015, 19, 04014033. [Google Scholar] [CrossRef]
- Drogui, P.; Blais, J.-F.; Mercier, G. Review of Electrochemical Technologies for Environmental Applications. Recent Pat. Eng. 2007, 1, 257–272. [Google Scholar] [CrossRef]
- Gu, B.; Schmitt, J.; Chen, Z.; Liang, L.; McCarthy, J.F. Adsorption and Desorption of Different Organic Matter Fractions on Iron Oxide. Geochim. Cosmochim. Acta 1995, 59, 219–229. [Google Scholar] [CrossRef]
- Buffle, J. The Analytical Challenge Posed by Fulvic and Humic Compounds. Anal. Chim. Acta 1990, 232, 1–2. [Google Scholar] [CrossRef]
- Zhao, X.; Wei, X.; Xia, P.; Liu, H.; Qu, J. Removal and Transformation Characterization of Refractory Components from Biologically Treated Landfill Leachate by Fe2+/NaClO and Fenton Oxidation. Sep. Purif. Technol. 2013, 116, 107–113. [Google Scholar] [CrossRef]
- Wu, Y.; Zhou, S.; Ye, X.; Chen, D.; Zheng, K.; Qin, F. Transformation of Pollutants in Landfill Leachate Treated by a Combined Sequence Batch Reactor, Coagulation, Fenton Oxidation and Biological Aerated Filter Technology. Process Saf. Environ. Prot. 2011, 89, 112–120. [Google Scholar] [CrossRef]
- Fernandes, A.; Pacheco, M.J.; Ciríaco, L.; Lopes, A. Anodic Oxidation of a Biologically Treated Leachate on a Boron-Doped Diamond Anode. J. Hazard. Mater. 2012, 199–200, 82–87. [Google Scholar] [CrossRef]
- Fernandes, A.; Pacheco, M.J.; Ciríaco, L.; Lopes, A. Review on the Electrochemical Processes for the Treatment of Sanitary Landfill Leachates: Present and Future. Appl. Catal. B 2015, 176–177, 183–200. [Google Scholar] [CrossRef]
- Garcia-Segura, S.; Eiband, M.M.S.G.; de Melo, J.V.; Martínez-Huitle, C.A. Electrocoagulation and Advanced Electrocoagulation Processes: A General Review about the Fundamentals, Emerging Applications, and Its Association with Other Technologies. J. Electroanal. Chem. 2017, 801, 267–299. [Google Scholar] [CrossRef]
- Ding, J.; Wei, L.; Huang, H.; Zhao, Q.; Hou, W.; Kabutey, F.T.; Yuan, Y.; Dionysiou, D.D. Tertiary Treatment of Landfill Leachate by an Integrated Electro-Oxidation/Electro-Coagulation/Electro-Reduction Process: Performance and Mechanism. J. Hazard. Mater. 2018, 351, 90–97. [Google Scholar] [CrossRef]
- Bolyard, S.C.; Motlagh, A.M.; Lozinski, D.; Reinhart, D.R. Impact of Organic Matter from Leachate Discharged to Wastewater Treatment Plants on Effluent Quality and UV Disinfection. Waste Manag. 2019, 88, 257–267. [Google Scholar] [CrossRef]
- Weishaar, J.L.; Aiken, G.R.; Bergamaschi, B.A.; Fram, M.S.; Fujii, R.; Mopper, K. Evaluation of Specific Ultraviolet Absorbance as an Indicator of the Chemical Composition and Reactivity of Dissolved Organic Carbon. Environ. Sci. Technol. 2003, 37, 4702–4708. [Google Scholar] [CrossRef]
- Niveditha, S.V.; Gandhimathi, R. Flyash Augmented Fe3O4 as a Heterogeneous Catalyst for Degradation of Stabilized Landfill Leachate in Fenton Process. Chemosphere 2020, 242, 125189. [Google Scholar] [CrossRef] [PubMed]
- Zhang, Z.; Teng, C.; Zhou, K.; Peng, C.; Chen, W. Degradation Characteristics of Dissolved Organic Matter in Nanofiltration Concentrated Landfill Leachate during Electrocatalytic Oxidation. Chemosphere 2020, 255, 127055. [Google Scholar] [CrossRef] [PubMed]
- Abdulla, H.A.N.; Minor, E.C.; Dias, R.F.; Hatcher, P.G. Changes in the Compound Classes of Dissolved Organic Matter along an Estuarine Transect: A Study Using FTIR and 13C NMR. Geochim. Cosmochim. Acta 2010, 74, 3815–3838. [Google Scholar] [CrossRef]
- Zheltikov, A. Course Notes on the Interpretation of Infrared and Raman Spectra. J. Raman Spectrosc. 2005, 36, 834. [Google Scholar] [CrossRef]
- Merck Tabla y Gráfico de Espectros Infrarrojos [Table and Graph of Infrared Spectra]. Available online: https://www.sigmaaldrich.com/MX/es/technical-documents/technical-article/analytical-chemistry/photometry-and-reflectometry/ir-spectrum-table (accessed on 23 April 2023).










| Parameter | Method | Description | 
|---|---|---|
| Chemical oxygen demand | 5220D | Closed-reflux colorimetric method. | 
| Biochemical oxygen demand | 5210 | Incubation for five days with oxygen monitoring. | 
| Dissolved organic carbon | ASTM D7573 09 | Catalytic combustion 950 °C. | 
| Ammoniacal nitrogen | 4500 C | Volumetric method with H2SO4 predistillation. | 
| pH | 4500 H | Electrometric method for measuring the electromotive force. | 
| Electrical conductivity | 2510 | Electrometric method using an electric field. | 
| Oxidation/reduction potential | 2580 B | Potentiometric determination using an indicator electrode. | 
| Chlorides | 4500 B | Argentometric method with precipitation of AgCl. | 
| Color | ASTM 1209-05 19 | Percentage transmittance of light. | 
| Electro-Coagulation | ||||
| Experiment | I (A) | Stirring (RPM) | pH | |
| E1 | 2.5 | 0 | 6.0 | |
| E2 | 2.5 | 100 | 7.0 | |
| E3 | 2.5 | 200 | 8.0 | |
| E4 | 4.0 | 0 | 7.0 | |
| E5 | 4.0 | 100 | 8.0 | |
| E6 | 4.0 | 200 | 6.0 | |
| E7 | 5.5 | 0 | 8.0 | |
| E8 | 5.5 | 100 | 6.0 | |
| E9 | 5.5 | 200 | 7.0 | |
| Electro-Oxidation | ||||
| Experiment | Added Extra Electrolyte NaCl (g L−1) | D (cm) | I (A) | pH | 
| E1 | 0.0 | 0.50 | 1.0 | 6.0 | 
| E2 | 0.0 | 0.75 | 2.0 | 7.0 | 
| E3 | 0.0 | 1.00 | 3.0 | 8.0 | 
| E4 | 1.0 | 0.50 | 2.0 | 8.0 | 
| E5 | 1.0 | 0.75 | 3.0 | 6.0 | 
| E6 | 1.0 | 1.00 | 1.0 | 7.0 | 
| E7 | 2.0 | 0.50 | 3.0 | 7.0 | 
| E8 | 2.0 | 0.75 | 1.0 | 8.0 | 
| E9 | 2.0 | 1.00 | 2.0 | 6.0 | 
| Parameter | Value | % | Parameter | Value | % | 
|---|---|---|---|---|---|
| COD | 3400 ± 100 | - | HyL (COD) | 880 ± 40 | 24 ± 1 | 
| BOD5 | 320 ± 20 | - | HA (DOC) | 850 ± 30 | 59 ± 2 | 
| BI | 0.094 ± 0.003 | - | FA(DOC) | 330 ± 10 | 23 ± 1 | 
| DOC | 1200 ± 50 | - | HyL (DOC) | 260 ± 10 | 18 ± 1 | 
| NH3-N | 660 ± 30 | - | CODnb | 2500 ± 100 | 74 ± 1 | 
| Cl− | 6700 ± 200 | - | CODs | 1800 ± 100 | 52 ± 1 | 
| Color | 3200 ± 100 | - | CODp | 1600 ± 100 | 48 ± 1 | 
| Eh | 240 ± 10 | - | CODsb | 900 ± 30 | 49 ± 1 | 
| HA (COD) | 1900 ± 100 | 55 ± 3 | CODsnb | 900 ± 20 | 50 ± 1 | 
| FA (COD) | 800 ± 40 | 22 ± 1 | pH | 8.4 ± 0.2 | 
| % R COD | ||
|---|---|---|
| Experiment | Electro-Coagulation | Electro-Oxidation | 
| E1 | 36 ± 1 | 32 ± 1 | 
| E2 | 45± 2 | 43 ± 2 | 
| E3 | 38 ± 1 | 33 ± 1 | 
| E4 | 42 ± 1 | 36 ± 1 | 
| E5 | 62 ± 2 | 52 ± 2 | 
| E6 | 57 ± 2 | 49 ± 2 | 
| E7 | 42 ± 2 | 38 ± 1 | 
| E8 | 52 ± 1 | 46 ± 2 | 
| E9 | 46 ± 2 | 44 ± 2 | 
| Parameter | Electro-Coagulation | Electro-Oxidation | ||
|---|---|---|---|---|
| R2 | k (min−1) | R2 | k (min−1) | |
| COD | 0.98 | 0.1610 | 0.98 | 0.1844 | 
| DOC | 0.98 | 0.2062 | 0.98 | 0.1390 | 
| Color | 0.99 | 0.3699 | 0.98 | 0.5466 | 
| NH3-N | 0.98 | 0.1095 | 0.97 | 0.2475 | 
| Cl− | 0.97 | 0.1048 | 0.98 | 0.1715 | 
| Disclaimer/Publisher’s Note: The statements, opinions and data contained in all publications are solely those of the individual author(s) and contributor(s) and not of MDPI and/or the editor(s). MDPI and/or the editor(s) disclaim responsibility for any injury to people or property resulting from any ideas, methods, instructions or products referred to in the content. | 
© 2023 by the authors. Licensee MDPI, Basel, Switzerland. This article is an open access article distributed under the terms and conditions of the Creative Commons Attribution (CC BY) license (https://creativecommons.org/licenses/by/4.0/).
Share and Cite
Martínez-Cruz, A.; Rojas-Valencia, M.N. Evaluation of the Different Fractions of Organic Matter in an Electrochemical Treatment System Applied to Stabilized Leachates from the Bordo Poniente Landfill in Mexico City. Appl. Sci. 2023, 13, 5605. https://doi.org/10.3390/app13095605
Martínez-Cruz A, Rojas-Valencia MN. Evaluation of the Different Fractions of Organic Matter in an Electrochemical Treatment System Applied to Stabilized Leachates from the Bordo Poniente Landfill in Mexico City. Applied Sciences. 2023; 13(9):5605. https://doi.org/10.3390/app13095605
Chicago/Turabian StyleMartínez-Cruz, Alfredo, and María Neftalí Rojas-Valencia. 2023. "Evaluation of the Different Fractions of Organic Matter in an Electrochemical Treatment System Applied to Stabilized Leachates from the Bordo Poniente Landfill in Mexico City" Applied Sciences 13, no. 9: 5605. https://doi.org/10.3390/app13095605
APA StyleMartínez-Cruz, A., & Rojas-Valencia, M. N. (2023). Evaluation of the Different Fractions of Organic Matter in an Electrochemical Treatment System Applied to Stabilized Leachates from the Bordo Poniente Landfill in Mexico City. Applied Sciences, 13(9), 5605. https://doi.org/10.3390/app13095605
 
        



 
       