Enhancing the Storage Stability and Rutting Resistance of Modified Asphalt through Surface Functionalization of Waste Tire Rubber Powder
Abstract
1. Introduction
2. Materials and Methods
2.1. Materials
2.2. Preparation of Bio-Based Modifier (ESO/TETA)
2.3. Preparation of Surface-Modified Desulfurized Rubber Powder (MDCR)
2.4. The Procedure of Asphalt Binder Modification
2.5. Testing Methods
3. Results
3.1. The Successful Synthesis of ESO/TETA
3.2. Surface Modification for DCR
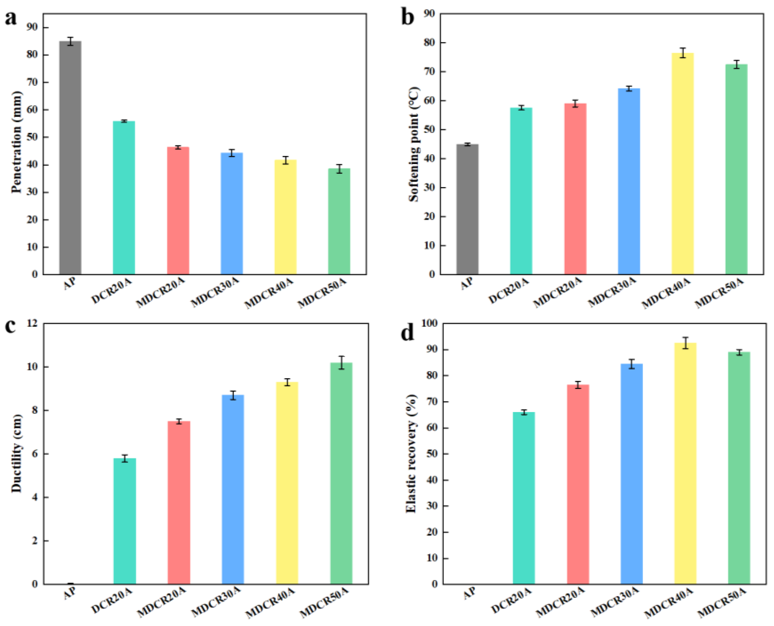
3.3. Road Performance of the MDCR-Modified Asphalt
3.4. Storage Stability of the MDCR-Modified Asphalts
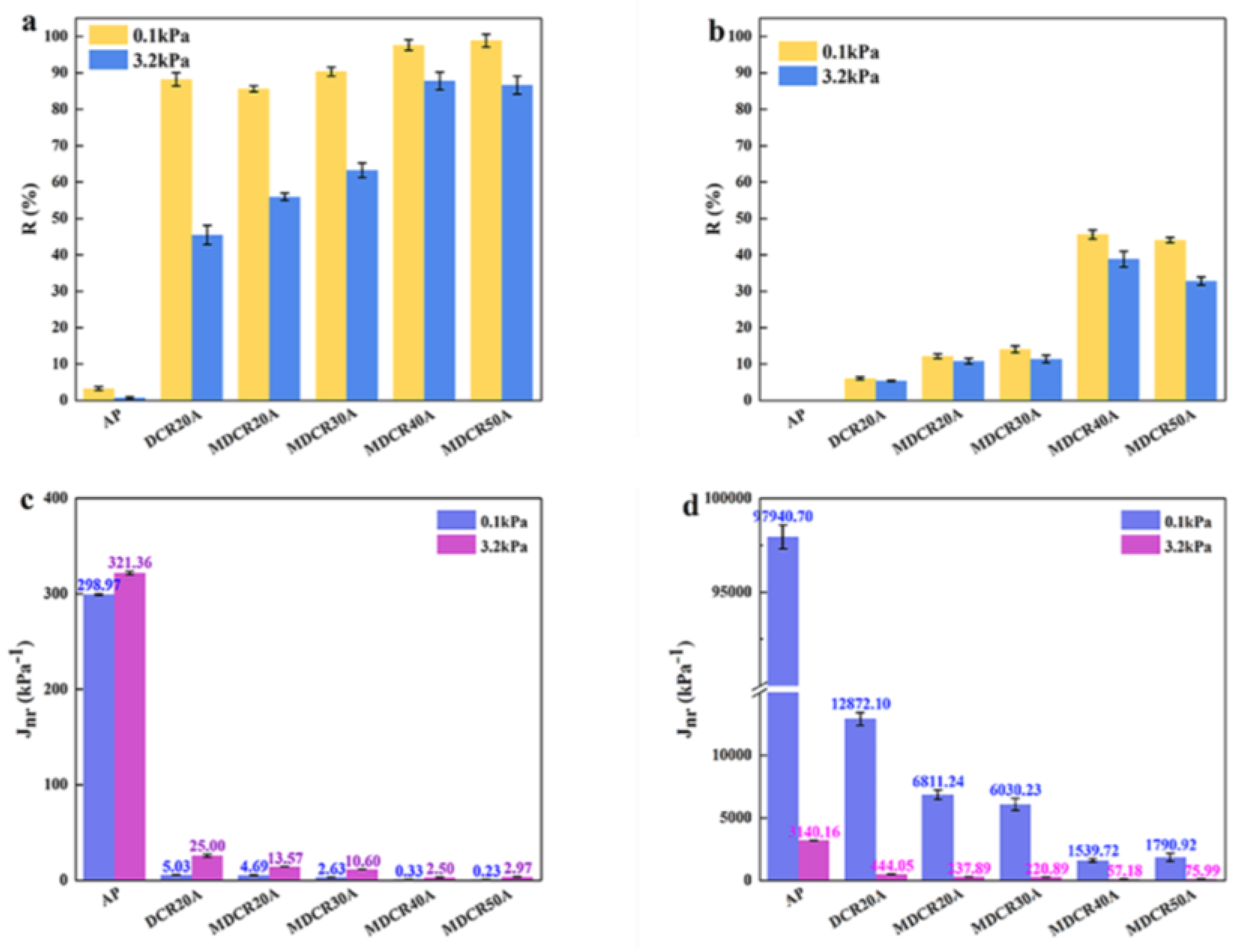
3.5. Dynamic Rheological Properties of the MDCR-Modified Asphalts
4. Conclusions
Author Contributions
Funding
Institutional Review Board Statement
Informed Consent Statement
Data Availability Statement
Conflicts of Interest
References
- Lesueur, D. The colloidal structure of bitumen: Consequences on the rheology and on the mechanisms of bitumen modification. Adv. Colloid Interface Sci. 2009, 145, 42–82. [Google Scholar] [CrossRef] [PubMed]
- Hamzah, M.O.; Jamshidi, A.; Shahadan, Z. Evaluation of the potential of Sasobit® to reduce required heat energy and CO2 emission in the asphalt industry. J. Clean. Prod. 2010, 18, 1859–1865. [Google Scholar] [CrossRef]
- Filippelli, L.; Gentile, L.; Rossi, C.O.; Ranieri, G.A.; Antunes, F.E. Structural Change of Bitumen in the Recycling Process by Using Rheology and NMR. Ind. Eng. Chem. Res. 2012, 51, 16346–16353. [Google Scholar] [CrossRef]
- Shen, J.; Amirkhanian, S.; Tang, B. Effects of rejuvenator on performance-based properties of rejuvenated asphalt binder and mixtures. Constr. Build. Mater. 2007, 21, 958–964. [Google Scholar] [CrossRef]
- Colbert, B.; You, Z. The properties of asphalt binder blended with variable quantities of recycled asphalt using short term and long term aging simulations. Constr. Build. Mater. 2012, 26, 552–557. [Google Scholar] [CrossRef]
- Pasquini, E.; Canestrari, F.; Cardone, F.; Santagata, F.A. Performance evaluation of gap graded Asphalt Rubber mixtures. Constr. Build. Mater. 2011, 25, 2014–2022. [Google Scholar] [CrossRef]
- Oliveira, J.R.M.; Silva, H.M.R.D.; Abreu, L.P.F.; Fernandes, S.R.M. Use of a warm mix asphalt additive to reduce the production temperatures and to improve the performance of asphalt rubber mixtures. J. Clean. Prod. 2013, 41, 15–22. [Google Scholar] [CrossRef]
- Dong, Z.-J.; Zhou, T.; Luan, H.; Williams, R.C.; Wang, P.; Leng, Z. Composite modification mechanism of blended bio-asphalt combining styrene-butadiene-styrene with crumb rubber: A sustainable and environmental-friendly solution for wastes. J. Clean. Prod. 2019, 214, 593–605. [Google Scholar] [CrossRef]
- Wang, T.; Xiao, F.; Zhu, X.; Huang, B.; Wang, J.; Amirkhanian, S. Energy consumption and environmental impact of rubberized asphalt pavement. J. Clean. Prod. 2018, 180, 139–158. [Google Scholar] [CrossRef]
- Lou, K.; Xiao, P.; Kang, A.; Wu, Z.; Dong, X. Effects of asphalt pavement characteristics on traffic noise reduction in different frequencies. Transp. Res. D Transp. Environ. 2022, 106, 103259. [Google Scholar] [CrossRef]
- Liang, M.; Xin, X.; Fan, W.; Sun, H.; Yao, Y.; Xing, B. Viscous properties, storage stability and their relationships with microstructure of tire scrap rubber modified asphalt. Constr. Build. Mater. 2015, 74, 124–131. [Google Scholar] [CrossRef]
- Lee, S.-J.; Amirkhanian Serji, N.; Putman Bradley, J.; Kim Kwang, W. Laboratory Study of the Effects of Compaction on the Volumetric and Rutting Properties of CRM Asphalt Mixtures. J. Mater. Civ. Eng. 2007, 19, 1079–1089. [Google Scholar] [CrossRef]
- Kim, H.-S.; Lee, S.-J.; Amirkhanian, S. Rheology investigation of crumb rubber modified asphalt binders. KSCE J. Civ. Eng. 2010, 14, 839–843. [Google Scholar] [CrossRef]
- Tang, N.; Huang, W.; Xiao, F. Chemical and rheological investigation of high-cured crumb rubber-modified asphalt. Constr. Build. Mater. 2016, 123, 847–854. [Google Scholar] [CrossRef]
- Liang, M.; Liang, P.; Fan, W.; Qian, C.; Xin, X.; Shi, J.; Nan, G. Thermo-rheological behavior and compatibility of modified asphalt with various styrene–butadiene structures in SBS copolymers. Mater. Des. 2015, 88, 177–185. [Google Scholar] [CrossRef]
- Ma, T.; Zhao, Y.; Huang, X.; Zhang, Y. Characteristics of desulfurized rubber asphalt and mixture. KSCE J. Civ. Eng. 2016, 20, 1347–1355. [Google Scholar] [CrossRef]
- Yang, Y.; Yuan, H.; Ma, T. Swelling Principle and Pavement Performance of Desulfurized Rubber Asphalt. J. Highw. Transp. Res. Dev. 2012, 29, 35–39. [Google Scholar]
- Sheng, Y.; Li, H.; Geng, J.; Tian, Y.; Li, Z.; Xiong, R. Production and performance of desulfurized rubber asphalt binder. Int. J. Pavement Res. Technol. 2017, 10, 262–273. [Google Scholar] [CrossRef]
- Rahman, M.T.; Hainin, M.R.; Bakar, W.A.W.A. Use of waste cooking oil, tire rubber powder and palm oil fuel ash in partial replacement of bitumen. Constr. Build. Mater. 2017, 150, 95–104. [Google Scholar] [CrossRef]
- Chen, M.; Leng, B.; Wu, S.; Sang, Y. Physical, chemical and rheological properties of waste edible vegetable oil rejuvenated asphalt binders. Constr. Build. Mater. 2014, 66, 286–298. [Google Scholar] [CrossRef]
- Mills-Beale, J.; You, Z.; Fini, E.; Zada, B.; Lee Chee, H.; Yap Yoke, K. Aging Influence on Rheology Properties of Petroleum-Based Asphalt Modified with Biobinder. J. Mater. Civ. Eng. 2014, 26, 358–366. [Google Scholar] [CrossRef]
- Xie, J.; Yang, Y.; Lv, S.; Peng, X.; Zhang, Y. Investigation on Preparation Process and Storage Stability of Modified Asphalt Binder by Grafting Activated Crumb Rubber. Materials 2019, 12, 2014. [Google Scholar] [CrossRef] [PubMed]
- Rubber and Rubber Products—Determination of the Composition of Vulcanizates and Uncured Compounds by Thermogravimetry—Part 1: Butadiene, Ethylene-Propylene Copolymer and Terpolymer, Isobutene-Isoprene, Isoprene and Styrene-BUTADIENE Rubbers. Available online: https://www.chinesestandard.net/PDF/English.aspx/GBT14837.1-2014 (accessed on 6 April 2024).
- ASTM D5892; Standard Specification for Type IV Polymer-Modified Asphalt Cement for Use in Pavement Construction. ASTM International: West Conshohocken, PA, USA, 2000.
- Wu, Q.; Hu, Y.; Tang, J.; Zhang, J.; Wang, C.; Shang, Q.; Feng, G.; Liu, C.; Zhou, Y.; Lei, W. High-Performance Soybean-Oil-Based Epoxy Acrylate Resins: “Green” Synthesis and Application in UV-Curable Coatings. ACS Sustain. Chem. Eng. 2018, 6, 8340–8349. [Google Scholar] [CrossRef]
- Villanueva, M.E.; González, J.A.; Rodríguez-Castellón, E.; Teves, S.; Copello, G.J. Antimicrobial surface functionalization of PVC by a guanidine based antimicrobial polymer. Mater. Sci. Eng. C 2016, 67, 214–220. [Google Scholar] [CrossRef] [PubMed]
- Dong, R.; Zhao, M.; Tang, N. Characterization of crumb tire rubber lightly pyrolyzed in waste cooking oil and the properties of its modified bitumen. Constr. Build. Mater. 2019, 195, 10–18. [Google Scholar] [CrossRef]
- Chen, Y.; Hu, K.; Chen, Y.; Zhang, T.; Zhang, W. Preparation and modification mechanism study of microwave-treated crumb rubber and waste engine oil-modified asphalt. Environ. Sci. Pollut. Res. 2024, 31, 12483–12498. [Google Scholar] [CrossRef] [PubMed]
- Li, M.; Xu, O.; Min, Z.; Wang, Q. Engineering performance and activation mechanism of asphalt binder modified by microwave and diesel pre-processed waste crumb rubber. Mater. Struct. 2023, 56, 117. [Google Scholar] [CrossRef]
- Kök Baha, V.; Yilmaz, M.; Geçkil, A. Evaluation of Low-Temperature and Elastic Properties of Crumb Rubber- and SBS-Modified Bitumen and Mixtures. J. Mater. Civ. Eng. 2013, 25, 257–265. [Google Scholar] [CrossRef]
- Zhu, Y.; Xu, G.; Ma, T.; Fan, J.; Li, S. Performances of rubber asphalt with middle/high content of waste tire crumb rubber. Constr. Build. Mater. 2022, 335, 127488. [Google Scholar] [CrossRef]
- Dong, R.; Zhao, M. Research on the pyrolysis process of crumb tire rubber in waste cooking oil. Renew. Energy 2018, 125, 557–567. [Google Scholar] [CrossRef]
- Li, P.; Ding, Z.; Ma, L.x.; Feng, Z.G. Analysis of viscous flow properties of asphalt in aging process. Constr. Build. Mater. 2016, 124, 631–638. [Google Scholar] [CrossRef]
- Tao, G.; He, Q.; Xia, Y.; Jia, G.; Yang, H.; Ma, W. The effect of devulcanization level on mechanical properties of reclaimed rubber by thermal-mechanical shearing devulcanization. J. Appl. Polym. Sci. 2013, 129, 2598–2605. [Google Scholar] [CrossRef]
- Zhao, M.; Dong, R. Reaction mechanism and rheological properties of waste cooking oil pre-desulfurized crumb tire rubber/SBS composite modified asphalt. Constr. Build. Mater. 2021, 274, 122083. [Google Scholar] [CrossRef]
- Liu, Q.; Liu, J.; Yu, B.; Zhang, J.; Pei, J. Evaluation and optimization of asphalt binder and mixture modified with high activated crumb rubber content. Constr. Build. Mater. 2022, 314, 125676. [Google Scholar] [CrossRef]











| Components | Content (%) |
|---|---|
| Operation oil | 5.88 |
| Rubber hydrocarbon | 48.51 |
| Carbon black | 10.34 |
| Ash | 8.61 |
| C (%) | O (%) | Si (%) | S (%) |
|---|---|---|---|
| 76.4 | 17.7 | 2.1 | 1.1 |
Disclaimer/Publisher’s Note: The statements, opinions and data contained in all publications are solely those of the individual author(s) and contributor(s) and not of MDPI and/or the editor(s). MDPI and/or the editor(s) disclaim responsibility for any injury to people or property resulting from any ideas, methods, instructions or products referred to in the content. |
© 2024 by the authors. Licensee MDPI, Basel, Switzerland. This article is an open access article distributed under the terms and conditions of the Creative Commons Attribution (CC BY) license (https://creativecommons.org/licenses/by/4.0/).
Share and Cite
Fan, Y.; Sun, L.; Duan, D.; Zhang, B.; Wang, G.; Zhang, S.; Yu, W. Enhancing the Storage Stability and Rutting Resistance of Modified Asphalt through Surface Functionalization of Waste Tire Rubber Powder. Appl. Sci. 2024, 14, 4195. https://doi.org/10.3390/app14104195
Fan Y, Sun L, Duan D, Zhang B, Wang G, Zhang S, Yu W. Enhancing the Storage Stability and Rutting Resistance of Modified Asphalt through Surface Functionalization of Waste Tire Rubber Powder. Applied Sciences. 2024; 14(10):4195. https://doi.org/10.3390/app14104195
Chicago/Turabian StyleFan, Yinghua, Lijun Sun, Danjun Duan, Bo Zhang, Guofeng Wang, Sitong Zhang, and Wenwen Yu. 2024. "Enhancing the Storage Stability and Rutting Resistance of Modified Asphalt through Surface Functionalization of Waste Tire Rubber Powder" Applied Sciences 14, no. 10: 4195. https://doi.org/10.3390/app14104195
APA StyleFan, Y., Sun, L., Duan, D., Zhang, B., Wang, G., Zhang, S., & Yu, W. (2024). Enhancing the Storage Stability and Rutting Resistance of Modified Asphalt through Surface Functionalization of Waste Tire Rubber Powder. Applied Sciences, 14(10), 4195. https://doi.org/10.3390/app14104195
