Abstract
Hot water bottles are widely utilised for their therapeutic advantages, such as relieving muscle tension and imparting warmth. However, the increasing frequency and potential risks associated with bursting or failure necessitate a detailed examination of the contributing factors as their failure is not fully understood in a scientific manner. With the apparent lack of analysis of hot water bottles in the literature, this study employs, for the first time, a dual methodology involving finite-element (FE) analysis conducted in ABAQUS and experimental validation to systematically investigate the underlying mechanisms leading to failure incidents. Through FE modelling and analysis, the stress and strain distribution within typical hot water bottles is modelled under compression loading conditions, facilitating the identification of vulnerable areas prone to failure. Experimental validation encompasses uniaxial loading compression tests on distinct specimens, generating load–displacement curves that elucidate material responses to compressive forces and highlight variations in load-bearing capacities. The study explores diverse failure modes, attributing them to stress concentration at geometric transitions and contact regions. Stress–strain curves contribute valuable insights into material characteristics, with ultimate stress values as crucial indicators of resistance to deformation and rupture. The FE analysis simulation results visualise deformation patterns and stress concentration zones. The findings illustrate that the highest stress concentration areas exist in the internal boundary of hot water bottles near the neck and cap region. This is experimentally confirmed through the bursting failures of four samples, with three failures occurring in this specific region. The findings support the guidance that users should avoid sleeping with a hot water bottle as it may fail under compression if they lay on top of it. Meanwhile, this result guides manufacturers to strengthen the weak areas of hot water bottles around the nicks and edges. This study significantly enhances our understanding of hot water bottle mechanics, thereby guiding design practice to improve overall performance and user safety. In summary, hot water bottles are commonly used but have not been investigated scientifically regarding external loading conditions and their related failure, as the current study has achieved. Identifying the weak points through experiment and simulation directs manufacturers towards required improvements in particular regions, such as the bottleneck and edge reinforcement during the design and manufacturing phases.
1. Introduction
The hot water bottle, comprising a pliable container partially filled with water, has provided a reliable means of comfort and warmth for centuries. Their accessibility and affordability predispose them as excellent devices for administering heat therapy in numerous remedial processes.
Therapeutic applications of heat therapy are well-established, including pain relief [1], muscle relaxation, and relief from joint compression [2], as well as providing an effective adjunct to analgesics for those suffering from chronic conditions such as arthritis, fibromyalgia, or Raynaud’s Syndrome [1,3,4,5]. Beyond promoting increased relaxation, blood flow, and reduced inflammation, thermal stimulation activates the thermoreceptors in the skin and deeper tissues.
Owing to the vast usage frequency of hot water bottles, failure incidents relating to injury are common occurrences [2,6]. Hot water bottles can fail due to age-related wear and tear, internal damage due to exposure to extreme conditions, weakened material from bending or folding, damage from sharp surfaces or overfilling, improper storage, and manufacturing defects that mostly impact seams and seals [7,8,9].
Vulcanised rubber represents the prevailing chosen material for marketable water bottles due to its flexibility, durability, and resistance to contact with elevated fluid temperatures. While the behaviour of vulcanised rubber in isolated conditions is widely understood [10,11,12], modes related to filled vessels remain relatively unexplored [10]. Therefore, the potential failure hazards necessitate a deeper understanding of possible mechanics. Instances of bottle bursts and failures underscore the need to investigate the influencing factors comprehensively. This study employs FE analysis and experimental validation to investigate specific failure modes of bottle failure as a result of compressive forces, aiming to improve hot water bottle safety by developing an understanding of the identified deficiencies in the manufacturing and design protocol.
2. Methodology
2.1. Manufacturing
The study was conducted on identical rubber bottles produced by the same manufacturer and sold by City Comfort (City Comfort Store, Amazon UK, London, UK). They were filled to two-thirds of their capacity before the compression tests. During handling, the bottle was carried from the neck upright and filled slowly to avoid water splashing back. Although the bottles were bought from an online retailer, their manufacturing method was investigated, and geometric landmarks and features were used to indicate the footprint of the manufacturing method. While the precise manufacturing process may vary slightly among manufacturers, the following description represents the generic process for manufacturing the tested bottles.
The hot water bottle manufacturing process starts by mixing raw materials like rubber or PVC with various additives to strengthen the material. The resulting uniform consistency of the rubber is then left for a specific period, allowing the chemicals to react totally and enhance the final product’s properties (Table 1 (a)).
Table 1.
A typical manufacturing process of hot water bottles, showing (a) mixing rubber with additives, (b) feeding rubber through rolling mills, (c) cutting the rubber to shape, and (d) vulcanisation and press.
Once the compound is ready for the shaping stage, rubber compound sheets are produced by feeding rubber through rolling mills (Table 1 (b)). These sheets are then cut into the desired shapes for the hot water bottle body and the stopper (Table 1 (c)).
Finally, the shaped pieces undergo a vulcanisation step. Vulcanisation involves exposing the parts to high temperatures and pressure inside a hydraulic press (Table 1 (d)). This process treats the rubber compound and achieves strong, elastic, and heat-resistant rubber suitable for holding hot water. Once vulcanised, the bottle body and stopper are assembled, typically by heat sealing the seams.
2.2. Experimental Approach
The experimental method in the current study was conducted in two stages. Initially, a longitudinal tensile test was performed for 27 strips cut from three hot water bottles, all with manufacturing dates within 3 months of one another and at least over one year from guided expiry. Then, a compression test was conducted on a total of 24 water bottles while they were full of water. The tensile test offered the experimental data used to construct the material model for the FE simulation; however, the compression test showed the common failure mode of the bottle under compressive load. The coefficient of friction between the bottle and the steel plates was determined via the inclined surface friction equilibrium method shown in Figure 1. This was achieved by gradually tilting a mild steel plate on top of a levelled flat table while a hot water bottle filled to two-thirds of its capacity and weighing 1.7 kg was put on top of the plate. Once the bottle started sliding, the plate tilt angle was recorded via both a 0.1 kg magnetic 0.05° resolution AG01 Huepar digital angle gauge (Zhuhai City, GuangDong Province, China) and a manual adjustable Stanley QuickSquare 170 mm aluminium protractor (New Britain, CT, USA) for rough checking to ensure that the digital measurement was sensible; hence, the coefficient of friction was calculated with the digitally measured angle of 41.8° as , which indicates that the friction force was higher than the normal force. The difference between manual and digital tilt angle measurements was around 0.5°.
Figure 1.
Coefficient of friction experimental estimation. (a) CAD representation of friction experiment; (b) Experimental setup.
2.2.1. Tensile Testing
Tensile testing helps designers to optimise the formulation and processing of rubber materials for specific applications and investigate the causes of failure in rubber products. By examining the stress–strain behaviour and fracture surfaces of failed samples, designers can identify material defects, design flaws, or improper processing that may have contributed to the failure. Tensile test data are also used to develop predictive models for simulating the behaviour of rubber materials under different loading conditions. These models help to analyse the performance of rubber components in complex mechanical systems and predict their response to various stress scenarios. In the current study, elongation and tensile load were initially assessed according to the International Organisation for Standardisation (ISO) 37:2024 [11] specifications in a preliminary investigation to set a foundation for developing the lab test protocol. When ISO recommended tensile test sample shapes were tested, they failed next to the fixing jaw at an angle of around 10°, indicating a shear failure rather than the anticipated tensile failure, as shown in Figure 2. As a result, it has been decided to use rectangular strips for the tensile testing in the hot water bottles’ tensile testing for practical reasons.
Figure 2.
Preliminary investigation of ISO recommended tensile test sample shape where a shear failure was noticed rather than anticipated tensile failure; (a) is a front view of the failed sample, and (b) is a back view of the same sample.
Tensile tests were conducted at room temperature (approximately 20 °C) in the Active Learning Laboratory at the School of Engineering, University of Liverpool (Liverpool, UK). In the current study, 27 strips of 150 mm × 20 mm × 2.25 mm specimens were excised from two separate water bottle samples, with thickness measurements taken prior to testing. Specimens were mounted within screw-tightened jaws to expose 50 mm of material between the two jaw clamps. Specimens were loaded to failure at a rate of 10% min−1 following ASTM D412-16 [12]. Load and elongation data were collected transiently. A tabletop Instron 3345 tensile test machine (Instron Corporation, Norwood, MA, USA) was used while fully controlled by Bluehill 5 software. The machine has a load capacity of 5 kN, total crosshead travel of 885 mm, and a loading speed range of 0.05 mm/min to 1000 mm/min, as shown in Figure 3.
Figure 3.
Tensile test setup showing (a) CAD representation of the machine and (b) the single-column Instron uniaxial testing machine with a test specimen.
Uniaxial tensile stress and strain were then calculated according to Equations (1) and (2), respectively.
where is the tensile force measured by the machine and , and
where is the extension in length and is the original strip length.
2.2.2. Compression Test
Hot water bottles are designed to withstand repeated compression cycles as they are often squeezed when in use and then refilled. A compression test supports evaluating the bottle’s durability by subjecting it to simulated usage conditions and determining how well it maintains its structural integrity with increasing load over time. A compression test also allows manufacturers to assess how well the bottle retains shape properties when subjected to external pressure, ensuring it effectively retains heat without leaking. In the current study, hot water bottle samples were subjected to a customised compressive protocol as following the ISO 604:2002 standard [13] was not possible due to the complexity of the geometry.
The compression tests were conducted at room temperature (approx. 20 °C) in the Material Laboratory at the School of Engineering, University of Liverpool (Liverpool, UK). Complete water bottle samples (dimensions without the nick: a = 281 mm × b = 194 mm × c = 15 mm, thickness t = 2.25 mm) were filled with 1.6 L of water at room temperature, and then air was expelled from each bottle by lowering it onto a flat desk until water appeared at the valve thread. Polytetrafluoroethylene (PTFE) is applied to the thread of the screw cap with a subsequent layer of cyanoacrylate to ensure an effective seal between the bottle and the cap. Samples were then placed between a bespoke clamping mild steel plate system measuring 250 × 200 × 10 mm with a nominal weight () of 37.79 N. A 7.5 mm/min compressive strain rate was applied until the sample failed while load () and compression () data were collected transiently. Compression stress and strain are then calculated according to Equations (3), (4), and (5), respectively.
where and should be balanced according to Newton’s second low by the internal force in the bottle due to the internal pressure built while compressing the bottle gradually to avoid producing dynamic forces and keep the static equilibrium equivalences valid.
is the internal surface area of the hot water bottle and can be expressed in a basic form as follows [14]:
allowing the estimation of the internal pressure and for an equivalent compression stress to be expressed as
where the hot water bottle’s surface area that is perpendicular to the loading direction is
and the compression strain
where is the change in compression length and is the original compression length (30 mm).
A dual-column tabletop Instron 3300 (Figure 4) with a maximum capacity of 50 kN was used with a custom-built setup (Instron Corporation, Norwood, MA, USA), and a 20 L heavy-duty 1.72 kg stainless-steel tray (dimensions: 530 mm height × 325 mm width × 150 mm depth) was used to protect the machine from water splashing during sample failure (Nisbets Limited, Bristol, UK). This bespoke setup prevents debris produced during failure from escaping the test area and causing harm to operators. The tray has a 0.97 kg and 325 mm-width stainless-steel lid modified by a high-precision water jet cutting machine in the University of Liverpool workshop to have the top pressing plate inside the tray, which was attached to the load cell. Finally, a 530 mm × 325 mm × 15 mm aluminium plate (Merseyside Metal Services Ltd., Birkenhead, UK) was fitted to the Instron under the tray to ensure a stable and levelled fit.
Figure 4.
Experimental compression test setup with a hot water bottle: (a) the Instron 3369 front view without the setup, (b) the manufactured setup as used in the laboratory, (c) the automatic control unit, (d) 3D isometric projection as designed in Creo Parametric 11 software, and (e) side view showing the test starting position.
2.2.3. Finite-Element (FE) Analysis
The FE modelling was conducted by building the geometry and material models as inputs and obtaining the stresses and deformations as outputs. The model geometry was initially created as a computer-aided design (CAD) file saved in a stereolithography (STL) file of a “Cassandra” bottle designed with standard features as in most marketable examples. Figure 5a shows a front orthogonal view of the model within Creo Parametric 11 (Parametric Technology Corporation, Boston, MA, USA), with the coordinates of the 3D model generated within MATLAB 2024a to facilitate model meshing, as shown in Figure 5b.
Figure 5.
The hot water bottle geometry was created as a CAD file using (a) Creo Parametric 11 software, and its coordinates were represented in (b) MATLAB to facilitate geometry meshing.
The hot water bottle was meshed with single-layer C3D10H hybrid 10-node tetrahedral elements, and the mild steel plates were meshed with double-layer C3D8H hybrid 8-node elements, as shown in Figure 6. The hot water bottle model was built with 17,694 nodes and 8934 elements, while each mild steel plate had 18,123 nodes and 9174 elements. The numbers of elements and layers were selected based on a mesh conversion study where different configurations were tested, and the first converged number was chosen. The values of von Mises stress at the intermediate nodes on both side edges of the bottle were used as a measure of continuity [15]. These analyses determined how small the elements should be to ensure that the mesh size did not affect the FE outcomes. The hot water bottle material model was constructed based on the material tensile test, where the particle swarm optimisation (PSO) algorithm [16,17,18] (MATLAB’s Global Optimisation Toolbox) was used to fit experimental tensile testing data to the Ogden nonlinear material model, as shown in Figure 7. The swarm size was set to 40 with an initial span of 2000, and the maximum number of iterations was set to 103 with a lower bound of changing the objective function’s value of 10−6 tolerance during a single step, based on preliminary investigation [19]. The lower limits of the Ogden material model parameters and were set to 10−6 and 0, while the upper limits were set to 10 and 50, respectively. These limits were selected based on the past practice of getting a decent mathematical fit while keeping the optimised solution within the numerical value range that does not cause FE model instability. The error was minimised between the fitted stress–strain data and the experimentally measured data via the objective function () which was set as follows:
where σexp is the experimental tensile stress, which was set to the average , σpre is the predicted Ogden stress, and is the number of stress–strain measured data points. The constitutive Ogden strain energy equation can be articulated in terms of the three principal stretches as follows [20]:
where is the strain energy; and , are material parameters; are the deviatoric principal stretches (ratio between the deformed length and the initial length ) in principal directions. Since no lateral forces were applied during the tensile tests, principal stretches can be simplified to ; hence,
where

Figure 6.
FE model representations of the loading process: (a) initial position, (b) simulating water filling the bottle, (c) simulating upper plate downward displacement, and (d) bottle fully compressed.
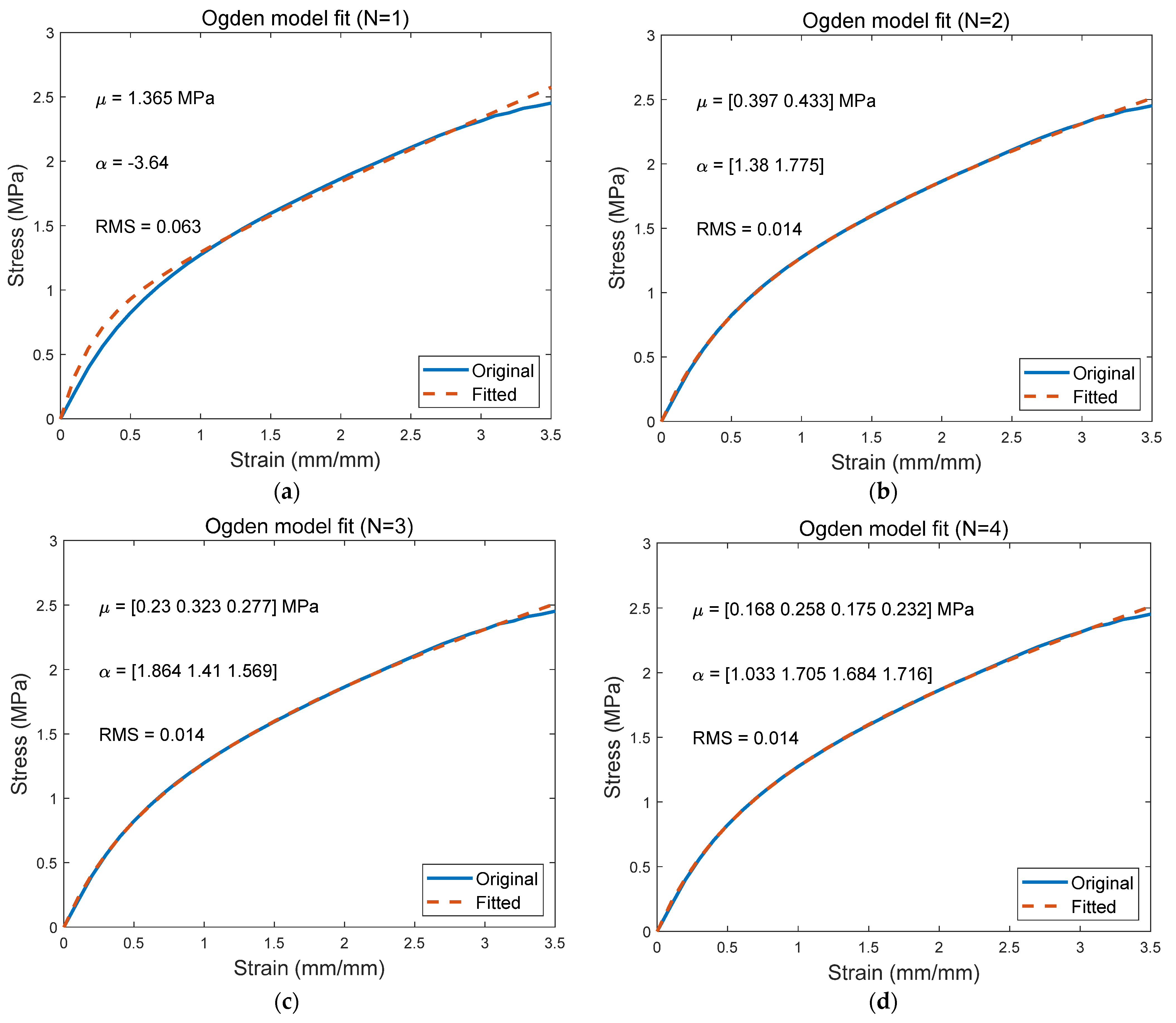
Figure 7.
Ogden material model fitting results to different orders, (a) first order (N = 1, 83 iterations); (b) second (N = 2, 90 iterations) order; (c) third order (N = 3, 200 iterations), and (d) fourth order (N = 4, 269 iterations). Original data in these subplots refer to the average experimental tensile test results.
Consequently, the stress–strain association can be defined in a uniaxial approach as follows [20,21]:
Considering the rubber nonlinear response to loading, Ogden hyperelastic material models of Orders 1 to 4 were considered for demonstrating the material behaviour in the current study, as shown in Figure 7. From the second order (N = 2), the root mean squared (RMS) error was not falling lower to any further extent, indicating that orders higher than two do not improve the model fit to experimental data. Therefore, the hot water bottle material model was set as a hyperelastic material of µ1 = 0.397, µ2 = 0.443 MPa and α1 = 1.38, α2 = 1.775 of the second-order (N = 2) Ogden model, with an RMS of 0.014 MPa after 90 iterations. PSO optimisation stopped because the step size was less than the value of the step size tolerance of 10−6, and constraints were satisfied to within the value of the constraint tolerance. The material density was derived from weight and volume analysis and set to 1.2 g/cm3 for the rubber bottle and 7.72 g/cm3 for mild steel plates. The elastic modulus and Poisson’s ratio were set to E = 200 GPa and ν = 0.3 for mild steel plates.
In the FE modelling process, the two mild steel plates sit each above and below the hot water bottle, mimicking the experimental compression test. For the upper plate, rotations around the principal axes were restricted, and movement was only allowable along the vertical direction (Z-axis). The lower plate was fixed with both translation and rotation constrained in all directions.
The simulation was conducted in two steps. The first step was a static step of a normalised time of 1 with an increment of 0.1 to capture the model’s behaviour in good resolution. Secondly, a dynamic step was conducted with downward displacement of the upper plate towards the bottle in the same experimental compression rate and displacement. In order to simulate the effect of water inside the hot water bottle, an internal pressure of 50 kPa was applied on its internal surface. The pressure value was selected (via a trial-and-error approach) through a preliminary investigation where the initial model volume approximately matched the experimental hot water bottle volume. In the simulation, a simplified assumption was made by modelling the water inside the bottle as an internal pressure rather than a fluid element to reduce the complexity of the model. Hence, the initial water pressure value was empirically adjusted to inflate the model to the experimentally recorded bottle volume and compensate for the lack of a fluid element simulation component.
In the settings of ABAQUS FE models, the plate and the external bottle surfaces were taken as primary and secondary surfaces, respectively. An element-based surface-to-surface contact was established, and the no-thickness option was triggered. The interaction between these surfaces was further defined by an experimentally measured static coefficient of friction of 1.426 with no separation. While this setup only prevented relative motion in the normal direction, sliding was unrestricted and still possible. This allowed for restricting the movement of the plates initially in the first step and keeping the bottle free when setting the initial condition for the simulation. During the second step, the upper plate was displaced downward, the bottom plate was fixed, and the bottle was unrestricted.
2.2.4. Microstructure Inspection Using Optical Microscopy
Optical microscopy allows for a detailed insight into the failure mode of compressive samples by the exploration of failure through the analysis of microstructural damage. Microscopy was performed using a Yenway EX20 biological microscope, as shown in Figure 8, (Premier Scientific Ltd., Belfast, Northern Ireland, UK) with a 50× objective lens and Micro-manager 2.0 software for digital image capture. A specific specimen that failed through the mechanisms discussed at the neck region was chosen for examination. Multiple samples were excised from this specimen from various points within this region and more additional areas across the surface of the specimen. Before placement on the microscopy stage, these samples were fixed between two transparent glass slides.
Figure 8.
The Yenway EX20 biological microscope while capturing images for the current study.
3. Results
The study conducted two experimental tests and an FE simulation to investigate the expected failure zones of the hot water bottle when subject to external compression load. Tensile testing was necessary to determine the material properties and construct the material model for FE analysis. Similarly, the compression test was essential to simulate the real-life loading condition when the hot water bottle user rests or lays on it unintentionally during usage. All experiments were conducted using room-temperature water for safety reasons; therefore, the thermal effect was out of the scope of the current study.
3.1. Tensile Test
The 27 strip samples had a corresponding maximum elongation of 238.13 mm (±24.55 mm). This resulted in a maximum stress of 2.81 MPa (±0.20 MPa) and a maximum strain of 4.80 (±0.45) mm/mm. For working condition boundary consideration, and after preliminary testing (Figure 9), elongation up to 180 mm was applied and represented by a strain of 3.5 mm/mm while the load varied between 80 N to 120 N at this range. These load–elongation values can be expressed by strain covers of up to 3.5 mm/mm and 2.5 MPa stress to analyse stress–strain behaviour.
Figure 9.
Hot water bottle preliminary tensile test sample (a) just before the test, (b) after the test where the expansion was well over the expected operational range.
Raw force–elongation data was processed with a bespoke MATLAB script to initialise and normalise load values. Piecewise cubic Hermite interpolating polynomial [22,23] provided a suitably smooth and accurate load curve Figure 10a. Subsequent processing allowed for individual calculation of stress–strain sample behaviour and presented as a mean curve and standard deviation in Figure 10b.
Figure 10.
Tensile testing results showing (a) load–elongation curves for individual samples and (b) the mean stress–strain curve with standard deviation.
The tensile test’s load–elongation and stress–strain curves showed nonlinear behaviour, as expected when testing rubber [24,25,26]. As a hyperelastic material, its response to deformation was not proportional to the applied load. The samples produced similar results with a slight standard deviation at low extension, increasing close to failure. The samples resulted in a maximum mean stiffness of 2.02 MPa (±0.09 MPa) at their initial slope, yielding a mean toughness of 7.73 J/m3 (±0.61 J/m3).
3.2. Compression Test
Compressive strain data was processed with a separate bespoke MATLAB script to initialise and normalise load values. Cubic interpolation provided a suitably smooth and accurate load curve (Figure 11a). Subsequent processing allowed for individual calculation of compressive stress–strain sample behaviour that was presented as a mean curve and standard deviation in Figure 11b.
Figure 11.
Compression test results showing (a) load–elongation curves for individual samples and (b) the mean stress–strain curve with standard deviation.
The hot water bottle compression testing revealed a nonlinear behaviour where the contraction rate increased with load. However, most samples showed a parallel response to the compression load; some failed slightly faster than others. Failure loads ranged from 7 kN to 22 kN, with corresponding average compressions of 30 mm. The compression experiment peak stresses deviated from around 80 kPa to 180 kPa, with a corresponding strain of 0.5 and averaged stress of 140 kPa. There was a slight standard deviation at the beginning of the compression test that went broader with more contraction or strain. The samples gave a mean stiffness of 0.703 MPa (±0.497 MPa) shortly before failure, absorbing a mean of 0.038 J/m3 (±0.017 J/m3).
3.3. Finite-Element (FE) Analysis
During FE simulations, the central region of the hot water bottle exhibited the highest deformation, which is in agreement with the experimental tests. These tests showed that the neck and bottom right regions were prone to bursting failure modes corresponding to the highest stress concentrations observed in the FE model (Figure 12a). The maximum von Mises stress in the FE model near the internal boundary of the neck and cap area was approximately 1.16 MPa, as shown in Figure 12a. The maximum mean compression stress from experiments was approximately 0.16 MPa, as shown in Figure 11b, while the experimentally recorded average of load–contraction reasonably matched with the simulated averaged upper plate reaction force in the vertical direction with the displacement, as can be seen in Figure 13, as a notable noise was noticed in the distribution of reaction forces over the upper plate. The failure resulted from a combination of normal and shear stresses combined in an equivalent stress, von Mises stress [27]. Figure 12c,d display the normal stress component in the vertical direction and shear stress in the transverse direction where it can be seen that the bottleneck and bottom edge areas were subject to concentrated shear. For the purpose of comparing the FE model stress to the experiment compression stress, the contact pressure distribution on the bottle surface was extracted in Figure 12e, where an average value was found to be 0.18 MPa, nearly matching the experimental average in Figure 11b; however, it was evident that the contact stress was very concentrated on the middle of the bottle and gradually reduced to null towards the edges. The shear contact stresses, on the other hand, were found to be quite scattered within the centre of the upper plate, as shown in Figure 12f,g.

Figure 12.
A set of subfigures showing experimental and simulation outcomes: (a) post-experiment photos show that most samples failed around the neck area during the compression test, (b) FE analysis simulation of the von Mises stress distribution on the bottle, (c) normal stress distribution on the bottle, (d) shear stress distribution on the bottle, (e) FE analysis simulation of the contact pressure distribution on the upper plate, (f) FE analysis simulation of the contact shear distribution in X direction on the upper plate, and (g) FE analysis simulation of the contact shear distribution in Y direction on the upper plate.
Figure 13.
Comparing the experimentally recorded average of load–contraction with the simulated averaged upper plate reaction force in the vertical direction with the displacement.
3.4. Optical Microscopy
Optical microscopy was performed with 50× optical microscopy to elucidate the mechanism by which specimens were fractured in the neck area. Figure 14 showed a more violent dislocation in polymer chains close to the central origin of failure; further from this point, along crack formations, the chains’ scission occurred in a smoother manner, more closely resembling the inner surface of the hot water bottle.
Figure 14.
The failed section was imaged with 50× optical microscopy (a) at the central point of critical fracture around the neck region of the hot water bottle, (b) at a point further along the propagated failure line, and (c) at the internal surface at an undamaged point as a control.
4. Discussion
This study investigated the failure mechanisms of a typical hot water bottle to identify the potential risk factors leading to structural and material damage. Experimental and computational modelling methods were used in the investigations. The results showed high stress built up at the internal boundary of the neck and cap of the bottle, indicating the need for careful design strategies in these critical regions.
The variations in final extensions and stresses among the specimens were consistent with the existing literature in corresponding strain regions in both tension [24,25,26] and compression [28,29]. Where variations arise, they do so from the inherent material characteristics, manufacturing intricacies, and structural attributes unique to each specimen. These findings align with previous studies, where similar variations in mechanical responses were attributed to material heterogeneity and manufacturing factors [30,31].
The stress–strain curves obtained from the experimental testing align with the mechanical response patterns reported in previous studies [32,33]. The initial linear elastic phase followed by deviation into nonlinear deformation corresponds to the stress–strain behaviour of polymeric materials under compression [34,35,36,37].
FE analysis revealed that while the central area of the hot water bottle was directly subjected to the compression force under upper plate downward displacement, the stresses were concentrated in the neck area and edges, with the maximum von Mises stress recorded in the neck area. Notably, the von Mises criteria represent an equivalent tensile stress proportional to the square root of the distortional strain energy per unit volume. Therefore, as it combines the effect of normal stresses and shear stresses, it is used to predict the failure of materials under complex loading using the outcomes of the uniaxial tensile test. These results align with the experimental outcomes where most bottles failed in this region. The concentrated shear stress component within the bottles’ failure areas obtained from the FE analyses, Figure 12d, indicates that the shear effect was dominant in the failure of the bottles, not the normal stresses resulting from the compression. The material and structural properties differences also contributed to bursting failures in the experimental samples. Visual inspection of the microscopic image in Figure 14a confirms that shear stresses were the leading cause of failure, as cracked layers are evident. Experimental validation indicated that maximum von Mises stress in the FE model occurred near the neck and shoulder region, aligning with the observed experimental bursting failure from multiple samples in this area. Stress concentration is a well-documented phenomenon in materials with complex geometries [38,39]. The neck region’s geometric transitions and variations in cross-sectional area render it susceptible to concentrations, leading to rupture under increasing compressive loads. The role of stress concentration in failure initiation has been widely acknowledged in many studies [40,41].
Discrepancies between FE and experimental results could be attributed to loading and pressure values for computational stability in FE analysis, complexities introduced by the experimental setup and boundary conditions, and factors like material heterogeneity, load application methods, and dynamic interactions influencing stress distribution. The nonlinear behaviour of rubber under compression observed in experiments might not have been perfectly replicated in the FE analysis, suggesting the need to refine material models accurately to capture stress concentration effects. In our test, the material modulus was computed from an experimental tensile test using the Ogden second-order hyperelastic material model [20,42,43]. The tensile test strips were cut from the central area hot water bottle to seek constant thickness; however, the strip thickness varied in range (from 2.37 mm to 2.26 mm), which might have affected the test results. Also, the material parameters calculation included a tensile data optimisation process, which means that the acquired parameter value (µ and α) could perform well under tensile conditions but might not fully represent the compression environment.
Additionally, simplifying assumptions inherent in numerical simulations, such as the mesh resolution, element type, and modelling techniques, could contribute to deviations in stress concentration patterns, impacting the accuracy of stress distribution. The model used an idealised shape and even material distribution for all surfaces, but the products may have imperfections, which could influence the test results.
In the FE analyses of the current study, a simplified assumption was made by modelling the effect of the water inside the bottle as an internal pressure rather than a fluid element to reduce the complexity of the model. The initial value of this pressure was empirically adjusted (via trial and error) to measure the experimental bottle volume and compensate for the lack of a fluid element simulation component. In addition, using contact pressure to validate the compressive stress on the hot water bottle has limitations. The contact pressure component is quite noisy unless a very narrow mesh grid is used, which surges the simulation computational time. According to the ABAQUS 6.14 FE analysis software manual, the software uses smoothing techniques for second-order surfaces to reduce this noise. Therefore, when the surface could not be well fitted to a second-order surface because of its complexity, as in the hot water bottle case, many scattered noisy disturbances were noted in the contact pressure distribution.
Failures in hot water bottles can be attributed to various factors but are predominantly associated with manufacturing methods. A fundamental cause is inadequate heat sealing during the bottle body and stopper assembly. This can result in a weakened area that may fail when subjected to heat or pressure. The vulcanisation process results in thin bottle edges, which creates weak seams with a thinner cross-sectional area. These seams can collapse under the various stresses caused by filling the bottle with hot water.
Due to the stress on polymer chains in the compression experiments, one primary reason for failure was believed to be the degeneration of rubber and additives mixing at material seams and discontinuities. This caused the bottle walls to lack durability and contributed to the bottle’s failure under load. Additionally, due to the vulcanisation process, the thin wall thickness at the bottle side borders weakened these areas. Seams were prone to collapse under progressive stresses produced by compressing the bottle surfaces, as seen in the microscopic images in Figure 14, where the extent to which polymer chains split during cross-linking breakage from elevated stress levels can be observed.
It is crucial to understand that the reliability of hot water bottles is highly dependent on the accuracy of their manufacturing and assembly processes. Any flaws in these areas can directly result in an increase in failure rates. Therefore, it is essential to ensure that hot water bottle manufacturing and assembly processes are carried out precisely to guarantee the highest level of reliability.
5. Conclusions
This study investigates the factors contributing to the propensity of hot water bottles to fail or burst during use. Commonly understood reasons for such incidents include overfilling, usage of excessively hot water, material ageing, and subpar materials. This research employs a comprehensive approach, combining FE analysis and experimental validation, to demonstrate the role of manufacturing methods and geometric oversights contributing to failure.
FE modelling was utilised to simulate the stress and strain distributions within the rubber material of hot water bottles under compression, providing insights into potential failure points and design vulnerabilities. Experimental validation involves uniaxial loading compression tests, offering tangible insights into the bottles’ real-world behaviour under pressure. However, loading was uniaxial; the hot water bottle material appeared to be subjected to a multiaxial stress state, with magnitudes and directions depending on the location in the bottle. It was clear that multiaxial stress appeared in the bottleneck and edges, where failure often occurs, and this was reflected in the von Mises stress as a measure of distortion energy density. The load–displacement curves derived from these tests reveal crucial mechanical responses, with variations attributed to intrinsic material properties, structural features, and manufacturing intricacies.
The initial linear phase of the force–displacement curve demonstrates the material’s elastic behaviour, indicating its capacity to store and release energy. Distinctive failure modes observed in specimens, such as bursting from the neck and bottom right regions, shed light on potential design vulnerabilities and stress concentration areas. Stress–strain curves provide insights into the material’s behaviour under varying stress levels, with the ultimate stress values indicating resistance to deformation and rupture.
FE simulations reveal deformation tendencies under compressive loads, emphasising stress concentrations along boundary edges established during the vulcanisation process. Disparities between internal and external edges are attributed to boundary conditions and structural geometries. The study underscores the critical role of precise parameter calibration in simulations and highlights the importance of comprehensive empirical validation to accompany this. By integrating these methodologies, the research advances our understanding of hot water bottle behaviour in varying environments, promoting safer usage practices and encouraging design enhancements.
The combination of robust FE analysis, experimental validation through tensile and compressive testing, and further examination through optical microscopy presents a comprehensive and detailed analysis of the potential failure methods of typical hot water bottles.
Whilst this study considers the methods of failure that arise through singular instances of elevated load, future work would encapsulate a broader range of loading conditions where previously mentioned essential aspects such as recovery, flexure, piercing, and cyclic loading are examined in further detail.
Improvements to the structural integrity of heat joined seals at the neck and edges of the bottle should be considered crucial to avoid critical failure. Seals with thinner cross-sectional areas should be reinforced to compensate for increased stress concentrations. Alternatively, the proportion and composition of the strengthening additives in the initial rubber mix could be modified as a material strengthening strategy.
Author Contributions
Conceptualization, A.A. (Ahmed Abass); Methodology, A.A. (Ahmed Abass); Software, M.B.; Validation, Z.R. and A.A. (Ahmed Abass); Formal analysis, J.T., Z.R., A.A. (Adel Alshammari), S.A., M.D., S.P. and A.A. (Ahmed Abass); Investigation, A.A. (Adel Alshammari), S.A., M.D., S.P. and R.R.; Data curation, J.T., M.B., A.A. (Adel Alshammari), S.A., M.D. and S.P.; Writing—original draft, J.T., M.B., Z.R. and A.A. (Ahmed Abass); Writing—review & editing, J.T. and R.R.; Visualization, M.B. and R.R.; Supervision, A.A. (Ahmed Abass); Project administration, A.A. (Ahmed Abass). All authors have read and agreed to the published version of the manuscript.
Funding
The School of Engineering, University of Liverpool, UK, MSc projects budget for the academic year 2022–2023 covered this research’s consumables and manufacturing costs.
Institutional Review Board Statement
Not applicable.
Informed Consent Statement
Not applicable.
Data Availability Statement
The data presented in this study are available on request from the corresponding author. The data are not publicly available due to considerations regarding possible future commercialisation.
Acknowledgments
The authors would like to thank Badour Ali, Donia Alsaegh, and Deemah Alshareedah for their help preparing the material for the current study. Thanks are extended to Jijimon Mathew at the School of Engineering, University of Liverpool, UK, for his assistance in manufacturing the compression rig components and producing the computer-aided design (CAD) drawings of Figure 4.
Conflicts of Interest
The authors declare no conflict of interest.
References
- Chandler, A.; Preece, J.; Lister, S. Using heat therapy for pain management. Nurs. Stand. 2002, 17, 40–42. [Google Scholar] [CrossRef]
- Goltsman, D.; Li, Z.; Bruce, E.; Darton, A.; Thornbury, K.; Maitz, P.K.; Kennedy, P. Too hot to handle? Hot water bottle injuries in Sydney, Australia. Burns 2015, 41, 770–777. [Google Scholar] [CrossRef]
- London, P.S. Hot-water Bottle Burns. Br. Med. J. 1955, 1, 1030–1031. [Google Scholar] [CrossRef]
- Akin, M.D.; Weingand, K.W.; Hengehold, D.A.; Goodale, M.B.; Hinkle, R.T.; Smith, R.P. Continuous low-level topical heat in the treatment of dysmenorrhea. Obstet. Gynecol. 2001, 97, 343–349. [Google Scholar] [CrossRef]
- Nadler, S.F.; Steiner, D.J.; Erasala, G.N.; Hengehold, D.A.; Hinkle, R.T.; Beth Goodale, M.; Abeln, S.B.; Weingand, K.W. Continuous low-level heat wrap therapy provides more efficacy than Ibuprofen and acetaminophen for acute low back pain. Spine (Phila Pa 1976) 2002, 27, 1012–1017. [Google Scholar] [CrossRef]
- Sangha, M.S.; Baker, M.; Baldwin, A.J.; Murray, A. Assessing the effect of the cost-of-living crisis on hot water bottle-related burns in the United Kingdom, a single-centre retrospective observational study. JPRAS Open 2024, 39, 313–320. [Google Scholar] [CrossRef]
- Jabir, S.; Frew, Q.; El-Muttardi, N.; Dziewulski, P. Burn injuries resulting from hot water bottle use: A retrospective review of cases presenting to a regional burns unit in the United Kingdom. Plast. Surg. Int. 2013, 2013, 736368. [Google Scholar] [CrossRef]
- Lapid, O.; Walfisch, S. Perianal and gluteal burns as a complication of hot water bottle treatment for anal fissure. Burns 1999, 25, 559–560. [Google Scholar] [CrossRef]
- Whittam, A.; Wilson, A.; Greenwood, J.E. Burn injuries caused by hot water bottles: Audit and loop closure. Eplasty 2010, 10, e12. [Google Scholar]
- Wright, D.C.; Limited, R.T. Failure of Plastics and Rubber Products: Causes, Effects and Case Studies Involving Degradation; Rapra Technology: Shrewsbury, UK, 2001. [Google Scholar]
- ISO 37:2024; Rubber, Vulcanized or Thermoplastic-Determination of Tensile Stress-Strain Properties. ISO: Geneva, Switzerland, 2024.
- ASTM D412-16; Standard Test Methods for Vulcanized Rubber and Thermoplastic Elastomers—Tension. ASTM International: West Conshohocken, PA, USA, 2021.
- ISO 604:2002; Plastics, Determination of Compressive Properties. ASTM International: West Conshohocken, PA, USA, 2002.
- Hearn, E.J. Mechanics of Materials Volume 2: The Mechanics of Elastic and Plastic Deformation of Solids and Structural Materials; Elsevier Science: Amsterdam, The Netherlands, 1997. [Google Scholar]
- Hearn, E.J. Mechanics of Materials Volume 1: An Introduction to the Mechanics of Elastic and Plastic Deformation of Solids and Structural Materials; Elsevier Science: Amsterdam, The Netherlands, 1997. [Google Scholar]
- Kennedy, J.; Eberhart, R. Particle Swarm Optimization. In Proceedings of the Proceedings of ICNN’95–International Conference on Neural Networks, Perth, WA, Australia, 27 November–1 December 1995; Volume 1944, pp. 1942–1948. [Google Scholar]
- Mezura-Montes, E.; Coello Coello, C.A. Constraint-handling in nature-inspired numerical optimization: Past, present and future. Swarm Evol. Comput. 2011, 1, 173–194. [Google Scholar] [CrossRef]
- Readioff, R.; Geraghty, B.; Comerford, E.; Elsheikh, A. A full-field 3D digital image correlation and modelling technique to characterise anterior cruciate ligament mechanics ex vivo. Acta Biomater. 2020, 113, 417–428. [Google Scholar] [CrossRef]
- Pedersen, M.E.H. Good parameters for particle swarm optimization. Hvass Lab. Cph. Den. Tech. Rep. 2010, HL1001, 1551–3203. [Google Scholar]
- Ogden, R.W.; Hill, R. Large deformation isotropic elasticity–on the correlation of theory and experiment for incompressible rubberlike solids. Proc. R. Soc. Lond. A Math. Phys. Sci. 1972, 326, 565–584. [Google Scholar] [CrossRef]
- Bower, A.F. Applied Mechanics of Solids; CRC Press: Boca Raton, FL, USA, 2009. [Google Scholar]
- Fritsch, F.N.; Carlson, R.E. Monotone piecewise cubic interpolation. SIAM J. Numer. Anal. 1980, 17, 238–246. [Google Scholar] [CrossRef]
- Kahaner, D.; Moler, C.; Nash, S. Numerical Methods and Software; Prentice-Hall, Inc.: Saddle River, NJ, USA, 1989. [Google Scholar]
- Bradley, G.L.; Chang, P.C.; Mckenna, G.B. Rubber modeling using uniaxial test data. J. Appl. Polym. Sci. 2001, 81, 837–848. [Google Scholar] [CrossRef]
- Sasso, M.; Palmieri, G.; Chiappini, G.; Amodio, D. Characterization of hyperelastic rubber-like materials by biaxial and uniaxial stretching tests based on optical methods. Polym. Test. 2008, 27, 995–1004. [Google Scholar] [CrossRef]
- Vahapoğlu, V.; Karadeniz, S.; Yazici, I. Uniaxial tensile testing of rubber-like materials. Exp. Tech. 2011, 35, 17–23. [Google Scholar] [CrossRef]
- Boresi, A.P.; Schmidt, R.J. Advanced Mechanics of Materials; Wiley: Hoboken, NJ, USA, 2002. [Google Scholar]
- Wu, J.; Liu, C.; Jiang, H.; Wang, Z. Numerical modeling and experimental testing analysis of Assembled Rubber Metal Isolator. Sci. Prog. 2020, 103, 36850420956985. [Google Scholar] [CrossRef]
- Wineman, A.S.; Rajagopal, K.R. Mechanical Response of Polymers: An Introduction; Cambridge University Press: Cambridge, UK, 2000. [Google Scholar]
- Celina, M.; Wise, J.; Ottesen, D.; Gillen, K.; Clough, R. Correlation of chemical and mechanical property changes during oxidative degradation of neoprene. Polym. Degrad. Stab. 2000, 68, 171–184. [Google Scholar] [CrossRef]
- Xu, J.; Niu, X.; Yao, Z. Mechanical properties and acoustic emission data analyses of crumb rubber concrete under biaxial compression stress states. Constr. Build. Mater. 2021, 298, 123778. [Google Scholar] [CrossRef]
- Guilie, J.; Le Tallec, P. Influence of strain-induced crystallization on the crack driving force in fracture behavior of rubber. In Constitutive Models for Rubber VIII; CRC Press: London, UK, 2013. [Google Scholar]
- Strukar, K.; Kalman Šipoš, T.; Dokšanović, T.; Rodrigues, H. Experimental Study of Rubberized Concrete Stress-Strain Behavior for Improving Constitutive Models. Materials 2018, 11, 2245. [Google Scholar] [CrossRef]
- Lockett, F.J. Experimental Characterization of Nonlinear Viscoelastic Materials. In Mechanics and Chemistry of Solid Propellants; Eringen, A.C., Liebowitz, H., Koh, S.L., Crowley, J.M., Eds.; Pergamon: Bergama, Turkey, 1967; pp. 333–356. [Google Scholar]
- Ravi-Chandar, K.; Ma, Z. Inelastic Deformation in Polymers under Multiaxial Compression. Mech. Time-Depend. Mater. 2000, 4, 333–357. [Google Scholar] [CrossRef]
- van Dommelen, J.A.W.; Parks, D.M.; Boyce, M.C.; Brekelmans, W.A.M.; Baaijens, F.P.T. Micromechanical modeling of intraspherulitic deformation of semicrystalline polymers. Polymer 2003, 44, 6089–6101. [Google Scholar] [CrossRef]
- Qi, H.J.; Boyce, M.C. Stress–strain behavior of thermoplastic polyurethanes. Mech. Mater. 2005, 37, 817–839. [Google Scholar] [CrossRef]
- Ouyang, Q.; Liu, J.; Li, C.; Zheng, L.; Xiao, Y.; Wu, S.; Zhang, B. A facile method to synthesize bio-based and biodegradable copolymers from furandicarboxylic acid and isosorbide with high molecular weights and excellent thermal and mechanical properties. Polym. Chem. 2019, 10, 5594–5601. [Google Scholar] [CrossRef]
- Kinloch, A.; Shaw, S.; Tod, D.; Hunston, D. Deformation and fracture behaviour of a rubber-toughened epoxy: 1. Microstructure and fracture studies. Polymer 1983, 24, 1341–1354. [Google Scholar] [CrossRef]
- Beatty, J. Fatigue of rubber. Rubber Chem. Technol. 1964, 37, 1341–1364. [Google Scholar] [CrossRef]
- Tee, Y.L.; Loo, M.S.; Andriyana, A. Recent advances on fatigue of rubber after the literature survey by Mars and Fatemi in 2002 and 2004. Int. J. Fatigue 2018, 110, 115–129. [Google Scholar] [CrossRef]
- Ogden, R.W. Non-Linear Elastic Deformations; Courier Corporation: North Chelmsford, MA, USA, 1997. [Google Scholar]
- Ogden, R.W.; Saccomandi, G.; Sgura, I. Fitting hyperelastic models to experimental data. Comput. Mech. 2004, 34, 484–502. [Google Scholar] [CrossRef]
Disclaimer/Publisher’s Note: The statements, opinions and data contained in all publications are solely those of the individual author(s) and contributor(s) and not of MDPI and/or the editor(s). MDPI and/or the editor(s) disclaim responsibility for any injury to people or property resulting from any ideas, methods, instructions or products referred to in the content. |
© 2024 by the authors. Licensee MDPI, Basel, Switzerland. This article is an open access article distributed under the terms and conditions of the Creative Commons Attribution (CC BY) license (https://creativecommons.org/licenses/by/4.0/).



















