Abstract
Karst regions are characterized by unique geological formations that pose challenges to soil fertility and plant nutrition. In this study, we investigated the distribution and interactions of selenium (Se) in soils of Zheng’an County, a representative karst region in subtropical China. The results showed that the Se enrichment in the soils of Zheng’an County was high, with total contents ranging from 0.49 to 3.87 mg/kg and an average of 1.22 mg/kg, making the area Se-rich. Despite the abundance of Se, the effective percentage of Se uptake by plants was relatively low due to the generally moderately acidic nature of the soils in the region (pH: 5.98–6.60), which encourages the conversion of the available Se into forms that are not readily accessible. In addition, the high organic matter (OM) content (21.92–127.66 g/kg) promoted Se retention by interacting with Ca2+ in carbonate rocks. In addition, the clay content (50.73% to 76.19%) enhanced Se adsorption and limited Se availability. In conclusion, this study provides a basis for soil management and ecological restoration strategies in karst landscapes, highlights new insights into the dynamics of Se, and calls for further research to elucidate the Se availability mechanism and improve the efficiency of Se uptake by plants. Meanwhile, this study provides the first systematic study of Se transport and transformation, as well as Se-enriched Gastrodia elata in karst regions, and provides a preliminary understanding of the geochemical behavior of Se in karst regions.
1. Introduction
Selenium (Se) is classified within the VIA group of elements of the fourth period and is an essential nonmetallic element for human physiology. It serves as a crucial component of glutathione peroxidase (GPx), facilitating human metabolism by catalyzing the conversion of reduced glutathione (GSH) to oxidized glutathione (GSSG), thus neutralizing toxic peroxides into non-toxic hydroxyl components [1,2]. Despite its indispensability, the human body lacks the ability to synthesize Se, necessitating its acquisition through dietary sources, with plant-based foods constituting the primary reservoir. The Se content within plants directly influences Se absorption and subsequently impacts human health. Notably, the Se content within plants is contingent upon the concentration, form, and availability of Se within the soil, which, in turn, is shaped by regional soils’ geochemical characteristics. However, the implications of Se on human health are dual in nature. An Se intake exceeding 400 μg per day can manifest typical symptoms of Se poisoning or alkalosis [3,4]. Conversely, an intake below 17 μg per day may lead to conditions such as Kashin–Beck disease [5], cardiovascular complications ([6], or susceptibility to viral infections. With the burgeoning interest in the geochemical behaviors of Se and its biomedical functionalities, Se is garnering increasing global attention [7,8,9,10,11,12,13,14,15,16,17,18].
Present research endeavors concerning Se primarily concentrate on soil’s Se absorption and enrichment by plants, alongside soil’s Se availability. Existing studies have demonstrated that plant absorption and enrichment of Se predominantly hinge upon the Se forms in soil [19,20,21,22,23,24,25,26,27], soil’s physicochemical properties [19,20,21,22,23,24,25,26,27], and the plant’s Se enrichment and absorption capabilities [19,20,21,22,23,24,25,26,27]. The principal determinant influencing Se migration within the soil–plant system is the soil’s available Se content, with soil’s physicochemical properties also emerging as pivotal factors influencing this availability [7,8,9,10,11,12,13,14,15,16,17,18]. Several studies have confirmed that in alkaline soils with favorable aeration conditions, Se primarily exists in the form of selenite [7,8,9,10,11,12,13,14,15,16,17,18]. In this form, Se readily dissolves, is absorbed, and is utilized by plants, thereby enhancing its biological efficacy. Soil organic matter (OM) can immobilize Se through both biotic and abiotic mechanisms, consequently diminishing the Se bioavailability [7,8,9,10,11,12,13,14,15,16,17,18]. However, the majority of these investigations have been conducted within sedimentary rock regions with temperate climates, such as Greece [19,20,21,22,23,24,25,26,27], Northeast China, and the United Kingdom [19,20,21,22,23,24,25,26,27]. Studies within subtropical regions, particularly subtropical karst areas, remain scarce.
This study is the first to investigate the geochemical behavior of Se, a beneficial trace element in the traditional Chinese medicinal herb Gastrodia elata (G. elata), and it is the first to carry out a systematic study of the Se transport, transformation, and enrichment in the “soil–plant” environmental medium in a subtropical karst region and to explore the impact factors. The study also explores the influencing factors of Se. China is recognized as a global Se-deficient country, but there are some regions with relatively high soil Se content, such as Enshi region in Hubei province, which is home to the world’s largest independent Se deposit. In 2019, a large amount of Se-rich arable land with Se concentrations ranging from 0.8 to 2.31 mg/kg was found in Banzhu Town, Zheng’an County, Guizhou Province, which is a typical karst region. In this area, a large number of G. elata, a plant that is well known as a traditional Chinese medicine (TCM) herb, and whose main compound, aspalathin, (4-hydroxymethylphenyl-β-D-glucopyranoside) has significant sedative and hypnotic effects, effectively relieving symptoms such as neurasthenia, insomnia, and headache, were discovered [28,29,30,31]. Local residents grow asparagus as a cash crop.
The primary objectives of this study were as follows: (1) to ascertain the contents, distribution, forms, and characteristics of Se in the soils of representative subtropical karst regions; (2) to elucidate the occurrence, migration, and transformation of Se within the soil–plant system, particularly focusing on the absorption and enrichment mechanisms of Se by G. elata; and (3) to investigate the influencing factors affecting Se migration and transformation between soil and plant systems in subtropical karst regions.
2. Materials and Methods
2.1. Study Area
Zheng’an County is situated in the northeast region of Zunyi City, east of the Dalou Mountains, and upstream of the Furong River. Geographically, it spans between 107°4′ and 107°41′ east longitude and 28°9′ and 28°51′ north latitude. The region boasts a subtropical humid monsoon climate characterized by ample rainfall, with an average annual temperature of 16.14 °C and an average annual rainfall of 1076 mm. The vegetation in the area is representative of the subtropical evergreen broad-leaved forest zone. The county’s river network is part of the Wujiang River system and includes 393 large and small rivers such as the Furong River and Qingxi River.
The study area lies within a karst landform region, characterized by numerous exposed carbonate rocks and densely distributed faults and folds. Consequently, hydrogeological conditions are notably intricate, with structural variations sometimes enhancing groundwater enrichment, while potentially leading to Se loss in the root soil, thereby reducing the available Se content. The predominant lithologies in the formations of Zheng’an County comprise whitestone, siltstone, and mudstone. Groundwater types in the area predominantly consist of HCO3-Ca·Mg-type water within water-bearing rock formations dominated by dolomite or dolomitic limestone, or HCO3-Ca-type water in limestone or clastic rocks [32].
2.2. Sampling and Pretreatment
Sampling was conducted at a site where wild G. elata thrived abundantly, and the soil exhibited optimal conditions for plant growth. A total of 33 soil samples (approximately 20 cm deep) and 49 samples of G. elata were collected (Figure 1) in accordance with a series of guidelines and methods issued by the U.S. Geological Survey (USGS) for soil and plant collection. The soil samples were evenly distributed, with some plant roots removed, and the remainder were air-dried in a sanitized environment upon transportation to the laboratory. Subsequently, each soil sample (~10 g) was sieved through a 2 mm nylon sieve, ground using an agate mortar to particle sizes of 850, 250, and 150 μm, respectively, and stored for further analysis. The samples of G. elata were rinsed with distilled water and the fruits of G. elata were cut into small pieces, dried in a thermostatic oven at 60 °C for 6–8 h, and then briefly ground in a stainless steel plant grinder and stored for analysis.
Figure 1.
Digital elevation model (DEM) map of sampling points. ((a) Location map of Guizhou in China; (b) Location map of the sampling area in Guizhou; (c) Map of sampling sites in the study area).
2.3. Chemical Analysis
2.3.1. Determination of Total Selenium (Se)
All samples underwent processing in accordance with national standards (GB 5009.93-2017 [33] and HJ 680-2013 [34]). Soil samples were digested using concentrated HCl and HNO3 (V1:V2 = 3:1), while G. elata samples were digested using concentrated HNO3 and H2O2 (V1:V2 = 2:1). The microwave digestion system (CEM Mars 6 microwave digestion system, manufactured by CEM Corporation, Matthews, NC, USA) was utilized for complete sample digestion, followed by cooling and volume adjustment. The digested samples were then analyzed using Atomic Fluorescence Spectrometry (AFS-8510 Atomic Fluorescence Spectrophotometer; manufactured by HAIGUANG Instrument, Beijing, China). All chemical reagents used were of high-purity grade.
A sequential extraction method was employed to determine the Se forms. Sequential extractions of water-soluble, exchangeable, organic-matter-bound (including fulvic acid- and humic acid-bound Se), selenide-/sulfide-bound, and residual Se were conducted following an adapted version of the BCR’s sequential extraction method [35]. The extraction steps were as follows:
(1) Adding 0.5 g of soil and 20 mL of deionized water to a 50 mL centrifuge tube, shaking the mixture (200 cpm) for 1.5 h, and centrifuging (4000 rpm) for 30 min to separate the supernatant from the residue.
(2) Adding 10 mL of phosphate solution to the residue from Step 1, shaking well for 1.5 h, followed by centrifugation. The supernatant was separated, and 10 mL of deionized water was added to the residue, shaken for 0.5 h, and centrifuged. The two supernatants were combined.
(3) Adding 10 mL of NaOH to the residue from the previous step, shaking on a shaker for 0.5 h, heating in a thermostat water bath at 90 °C for 2 h, centrifuging, washing the sample with 10 mL of deionized water, shaking for 30 min, and centrifuging. The supernatant was collected.
(4) Drying the remaining material from the previous step in an oven at 50–60 °C, crushing the residue, adding KClO3 solids, mixing well, adding 10 mL of concentrated HCl, and heating. After completion of the reaction, 10 mL of deionized water was added, followed by centrifugation. The supernatant was transferred to a polytetrafluoroethylene beaker and heated at 110 °C for 1 h using an electric boiling plate.
(5) The remaining residue was dried and poured out, scraped from the inner wall, ground well in an agate mortar, weighed, and put into a sachet. Then, 0.05 g of residue was weighed out from the pouch and placed in an ablution tube and ablated with concentrated hydrochloric acid and HNO3 (V1:V2 = 3:1), and the samples were completely digested using a microwave digestion system, followed by cooling and volume adjustment. Regarding the determination of selenium in sequential extracts, it was divided into two categories. One was the sulfide-/selenide-bound and residual Se of the extract, which can be directly diluted and then determined by atomic fluorescence. Meanwhile, the other category included the water-soluble, exchangeable, and organic-matter-bound Se of the extract. For this category, it was necessary to carry out the determination through oxidative reduction. This involved taking 1 mL of the extract and transferring it to a polytetrafluoroethylene beaker. Then, we added 1 mL of HNO3 and 0.5 mL of H2O2 and steamed until the volume reduced to 0.5 mL at 100 °C. Next, we added 0.5 mL of HNO3 and steamed until nearly dry. Afterward, we added 2.5 mL of 1:1 HCl and heated to reduce at 100 °C for 0.5 h. Finally, we transferred the solution to a 25 mL colorimeter tube and determined the selenium content using an atomic fluorescence meter.
2.3.2. Determination of the Physical and Chemical Properties of Soil
The soil’s pH in water (1:2.5, w/v) was measured using a pH meter (YSI water quality analyzer; YSI Incorporated, Yellow Springs, OH, USA). The soil organic matter (OM) was quantified using a Vario TOC cube (Elementar Analysensysteme GmbH, Langenselbold, Germany). Particle size analysis was conducted utilizing a Mastersizer 3000 particle size analyzer (Malvern Panalytical Ltd., Malvern, UK). All assessments of the soil’s physical and chemical properties adhered to the National Standard for Soil Testing (NY/T 1121.2-2006 [36]).
Quality control measures were implemented using certified reference materials (CRMs), reagent blanks, and duplicate samples. CRMs included wheat (GBW08503b) and soil (GSS-2A, GSS-3A, and GSS-5A). Notably, 10% of each batch of samples were randomly selected as replicates. The results demonstrated excellent agreement with certified reference values, with a relative standard deviation (RSD) of <5%.
2.4. Data Analysis
Data processing and chart production were conducted using ESRI ArcGIS 8.0, IBM SPSS 19.0, Origin 2018, and Microsoft Excel 2016. Pearson correlation coefficient analysis was employed to assess the total Se content in soil and plant samples, as well as the form content of the soil’s Se. Additionally, Pearson correlation coefficient analysis was utilized to evaluate the correlation between soil Se content, soil Se forms content, and G. elata Se content. A one-tailed t-test was used to verify the physicochemical properties of the soils and to determine if there were significant differences between the different soil samples, with a significance level set at p = 0.05. Factor analysis was used to analyze the interactions between the physical and chemical properties of the soil.
3. Results and Discussion
3.1. Selenium (Se) Content in Soil
The analysis results of the soil’s Se content are presented in Table 1. The average Se concentration in root soil sampled from the Zheng’an area was 1.22 mg/kg, surpassing the background value of soil Se in Guizhou Province (0.482 mg/kg) [37]. It also fell within the range of soil Se content in Guizhou Province (0.064–1.326 mg/kg), which is 4.3 times higher than the national soil background value (0.29 mg/kg) [38], designating the entire area as Se-enriched. According to the soil selenium content classification standards outlined in the “Code for Geochemical Evaluation of Land Quality (DZ/T 0295-2016 [39])”, 97.5% of the soil Se in the study met the “Se-rich” standard (Se content between 0.4 and 3 mg/kg), while 2.5% exceeded the “Se-excess” standard (Se content exceeding 3 mg/kg), indicating an overall richness in Se. This underscores the region’s potential to develop into a Se-rich resource area.
Table 1.
Results of the selenium (Se) content analysis of the 33 soil samples and 49 G. elata samples.
3.2. Enrichment Characteristics of Total Selenium (Se) in Plants
The Se contents in the plant samples ranged from 50 to 100 μg/kg dry weight, representing the minimum Se intake required by animals and humans. Table 1 presents the test results for Se content in the G. elata samples, with an average Se content of 0.094 mg/kg. To assess the ability of G. elata to absorb and enrich Se compared to other plants, the average Se content in various plants was studied: 16 samples of Codonopsis (~0.017 mg/kg), 60 samples of bamboo shoots (~0.01 mg/kg), 9 samples of cabbage (~0.003 mg/kg), and 457 samples of rice (~0.042 mg/kg) [40]. For further comparison, potatoes and squash grown in Mokriwat soil in Se-rich areas exhibited average Se contents of 78.3 mg/kg and 119.3 mg/kg, respectively [41]. Additionally, wheat cultivated in low-Se soils in the Netherlands, Denmark, and the UK demonstrated average Se contents of 0.028 mg/kg, 0.02 mg/kg, and 0.025–0.033 mg/kg, respectively [42,43,44]. These comparisons indicate G. elata’s robust Se enrichment capability, laying the groundwork for cultivating Se-rich G. elata.
The bioconcentration coefficient (BCF = Cplant/Csoil) was utilized to assess plants’ ability to absorb Se from soil [42,43,44]. A larger BCF indicates a stronger ability of the plant to absorb Se from the soil.
The Nemerow comprehensive pollution index, typically employed to analyze the degree of heavy metal pollution in a region, was introduced to evaluate the degree of soil Se enrichment in G. elata within the study area.
The Nemerow comprehensive pollution index was calculated using the following equation:
where PN indicates the enrichment index of the plants for elements, PAVE is the average value of an element in the plants, and Pmax indicates the maximum value of an element in the plants.
The analysis of the Se content data in G. elata (Table 1) revealed that the Se enrichment coefficient and enrichment index of G. elata were 11.61% and 0.176, respectively. For comparison, within the same area, Codonopsis exhibits Se enrichment coefficient and enrichment index values of 1.3% and 0.051, bamboo shoots show 0.7% and 0.061, cabbage demonstrates 0.2% and 0.014, and rice presents 3.2% and 0.372, respectively [40]. Furthermore, the Se enrichment coefficient and enrichment index of pumpkins and potatoes grown in Mokorivat are 56% and 36.7%, respectively. In contrast, wheat cultivated in low-Se arable land in the Netherlands, Denmark, and the UK display Se enrichment coefficient values of 3.8–12.7%, 14.3%, and 4.8–6.4%, respectively. Thus, G. elata emerges as a plant with a robust Se enrichment ability.
3.3. Distribution Characteristics of Soil Selenium (Se) Forms
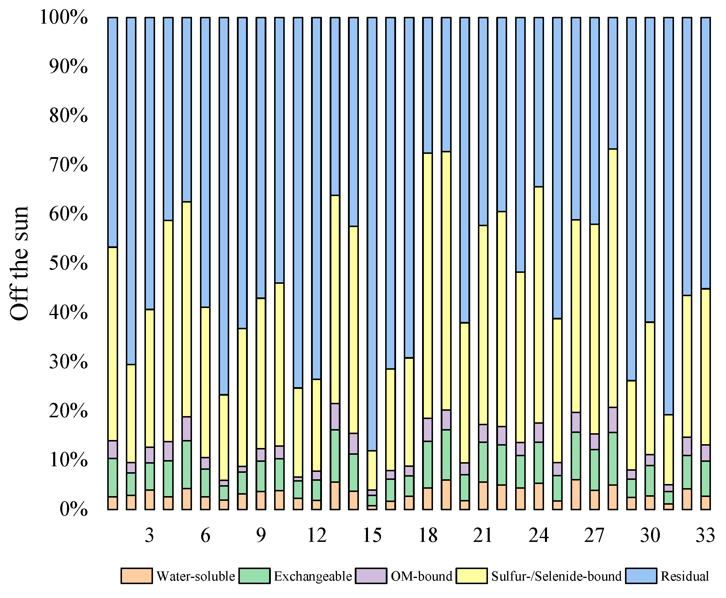
Among the five forms of Se (Table 2), residual Se accounted for the highest proportion at 53.1%. Following this, selenide-/sulfide-bound Se represented the second-highest proportion, with an average of 36.23%. Notably, OM-bound Se exhibited the lowest proportion at 3.19%. The order of Se content in each form was as follows: residual Se (53.1%) > selenide-/sulfide-bound Se (36.23%) > exchangeable Se (7.13%) > water-soluble Se (3.73%) > OM-bound Se (3.19%). The “effective Se,” comprising water-soluble Se and exchangeable Se, which are readily absorbed and utilized by plants, accounted for 10.86% of the total Se. This proportion aligns closely with the Se form distribution observed in the soil of Shuangan Naore village in Ziyang, where sulfur-/selenide-bound Se constituted 65.74% of the total, followed by residual Se (24.85%), OM-bound Se (6.61%), exchangeable Se (1.69%), and water-soluble Se (1.11%) [45].
Table 2.
Five forms of Se in root soil of G. elata.
The proportion of Se occurrences in the studied soils is clearly different from that in the soil in Ziyang. It was reported that Se in soil in the Ziyang area was mainly derived from weathering products of local black sedimentary rock series (mudstone, shale, and siliceous rocks, mainly), which was enriched in Se-containing pyrite. The soil’s parent material in Ziyang area is different from that in the study area, where outcropped rocks are mainly composed of carbonate rocks. This discrepancy could be the reason for the difference in aspect of Se occurrences in the soils. Such morphological distribution characteristics significantly influence the uptake of Se by plants [46,47,48,49,50].
Previous studies indicate that the reduction partition index (IR) [51], utilized for analyzing heavy metal pollution, can provide insights into the bioavailability of Se to some extent. The calculation of IR is grounded in sequential chemical extraction and assigns different weights to distinct Se components based on their mobility:
Here, i represents the number of extraction steps (1 = least aggressive, k = most aggressive), and i is assigned specific values to denote each step and component: water-soluble Se = 1, exchangeable Se = 2, OM-bound Se = 3, sulfide-/selenide-bound Se = 4, and residual Se = 5. Additionally, Fi signifies the fractional content of Se in the total amount extracted from component i, and n is an integer (usually 1 or 2). In this study, k = 5 and n = 2; hence, the minimum IR = 0.0003 and maximum IR = 2.0
The IR value can provide insights into bioavailability to some extent, where a low IR value suggests that Se exists in unstable forms (e.g., exchangeable), while a high IR value suggests that Se mainly exists in stable forms. The IR values of Se in nearly all soil samples exhibit a consistent trend (Figure 2), indicating that most Se is in a stable state that is challenging to utilize, with only a small portion being available for uptake.
Figure 2.
Distribution of various forms of selenium (Se) in soil.
3.4. Factors Affecting the Total Amount of Selenium (Se) in Soil and the Various Forms of Se
Regarding the correlation analysis between the total amounts of Se in the soil and G. elata (Figure 3) samples, a weak correlation was observed (R = 0.32), indicating that the mechanism of plant Se absorption in the soil is complex and that the Se content of plants does not solely depend on the total amount of Se in the soil.
Figure 3.
Correlation analysis chart of G. elata, soil Se, and available Se.
As shown in Table 3 and Figure 3, the Se content of G. elata exhibited significant positive correlations with the contents of water-soluble (R = 0.68), exchangeable Se (R = 0.62), and OM-bound Se (R = 0.51). Water-soluble Se, being the most effective component absorbed by plants, facilitates efficient uptake. Exchangeable Se, present in the outermost layer of the soil solid phase, is susceptible to plant absorption, albeit influenced by soil conditions [3,4]. Notably, OM-bound Se primarily exists in fulvic acid and humic acid within soil humus [52]. Fulvic acid, with its relatively simple structure, can readily decompose into low-molecular-weight inorganic and organic Se compounds under alkaline conditions, offering a high potential for plant utilization. In contrast, humic acid, characterized by its high molecular weight and stable structure, poses challenges for plant absorption and utilization of Se bound to it.
Table 3.
Correlation matrices between Se contents of G. elata and cultivated soil.
Conversely, no significant correlations were observed between the Se content of G. elata and the sulfide-/selenide-bound Se or residual Se (R = 0.042). Selenide-/sulfide-bound Se predominantly forms in soils under strongly reducing acidic conditions, suggesting a prevailing environmental oxidation or reduction status [52]. The residual Se content is contingent upon the natural composition of minerals, often tightly bound with sulfide minerals within lattice structures. Under natural environmental conditions, these forms of Se are challenging to transform into plant-absorbable and -utilizable forms [52]. These findings suggest that an increase in water-soluble, exchangeable, and OM-bound Se in the soil correlates with an increase in Se contents in plants.
In this study, principal component analysis (PCA) was conducted on the pH, soil’s OM content, and clay content of the soil (Table 4); from the perspective of eigenvalues, the eigenvalue of PC1 (2.4157) is significantly larger than that of PC2 (1.589), which indicates that PC1 dominates in explaining the variability in the dataset. Specifically, PC1 explained 45.434% of the variability, while PC2 explained 33.063% of the variability. The cumulative contribution shows that PC1 and PC2 together explain 78.5% of the total variability, indicating that these two principal components effectively represent most of the information in the original data.
Table 4.
Principal component analysis of soil’s physical and chemical properties.
Further analyzing the loading values, pH showed moderate loading on both PC1 and PC2, indicating that the acidity and alkalinity of the soil had some correlation with both principal components. The OM content showed higher loadings on both PC1 and PC2, especially more significantly on PC2, which reflects that the OM content is an important factor influencing soil’s properties and has a strong correlation with both principal components. Similarly, the clay content (Clay) loadings on PC1 and PC2 were similar to pH and also showed moderate correlation.
When examining the behavior of selenium (Se) in soils, it is crucial to consider factors such as the soil’s pH, organic matter (OM) content, and clay content, which significantly influence Se’s chemical form, bioavailability, and stability. These properties not only affect the cycling and transport of selenium through the soil but are also further complicated in karst areas due to the unique geological features. Specifically, the thin soil layer and poor water retention capacity, coupled with the frequent alternation between surface water and groundwater, can lead to the discharge of water-soluble Se from the soil surface into the ground, thereby reducing the original effective Se content and bioavailability in the region.
The pH of the study area varied from 5.98 to 6.6, averaging 6.24 (Table 5). Typically, soils in karst areas tend to be alkaline [52]; however, in this study, the soil exhibited a moderately acidic condition. This deviation can be attributed to the prolonged impact of acid rain in the research area. The complex lithological background, comprising white limestone, siltstone, and mudstone, interacted with the continuous influence of acid rain, collectively contributing to the moderately acidic soil environment. While carbonate minerals in the white limestone are prone to dissolution, releasing alkaline substances to neutralize the soil’s acidity, the intense acidity of the acid rain has eroded these rocks, resulting in a significant loss of alkaline components such as calcium and magnesium in the soil. Additionally, clay minerals and organic matter in the siltstone and mudstone have also undergone decomposition and dissolution under the influence of acid rain, further exacerbating the soil acidification [52].
Table 5.
The physicochemical properties of the soil in the study area (mean ± SD).
In acidic soils, Se predominantly exists as selenite, which readily forms stable chelate complexes or precipitates with iron and manganese oxides. Conversely, in alkaline soils, Se primarily exists as selenate, which is highly soluble in water and easily absorbed and utilized by plants. Moreover, under alkaline conditions, the fulvic acid-bound Se components of OM-bound Se can readily mineralize and decompose into inorganic Se and low-molecular-weight organic Se, facilitating absorption and utilization by plants. Fulvic acid, however, exhibits limited mineralization and decomposition in neutral or acidic environments, and even if it does decompose in acidic conditions, it is prone to reabsorption into the soil. The interplay of these factors leads to the reduction in selenate to selenite in the soil, thereby diminishing the content of effective Se components and the overall bioavailability of Se.
The soil’s OM content in the study area ranged from 21.92 g/kg to 127.66 g/kg, with an average of 38.95 g/kg (Table 5). Several hypotheses exist regarding the binding mechanisms of Se oxyanions to soil’s OM, including the formation of Se-OM–mineral ternary complexes, partial anoxic zones, and an increase in sorption sites [52]. Research by [53] confirmed that Ca2+ released from carbonate bedrock may enhance the stability of OM in the soil. Given the widespread distribution of carbonate rocks in the study area, the high solubility of carbonate minerals contributes to the distinct hydrochemical characteristics observed in the chemical composition of karst groundwater. Lang’s study [32] confirmed that the hydrochemical composition of the groundwater in the Zunyi area was primarily composed of Ca2+, Mg2+, HCO3−, and SO42− ions [54]. The release of a substantial amount of Ca2+ ions in the study area significantly enhances the stability of the soil’s OM, leading to the fixation of a large amount of effective Se in the soil’s OM.
The clay content in the study area ranged from 50.73% to 76.19%, with an average of 63.33% (Table 5). Clay is recognized as a significant soil variable that enhances Se retention in soil. Typically, fine particles exhibit greater exchange capacity and stronger adsorption capacity compared to coarse particles [55]. The substantial clay content in the soil of the study area suggests that it has the capacity to adsorb a considerable amount of Se, resulting in the transformation of soluble Se into insoluble forms. Generally, in southwest karst regions characterized by a relatively low pH and relatively high soil OM and clay contents, while the total Se content in the soil is elevated, the available Se content remains low.
4. Conclusions
The soil samples collected from Zheng’an County revealed total Se contents ranging from 0.49 mg/kg to 3.87 mg/kg, with an average of 1.22 mg/kg, classifying the region as Se-rich. However, the distribution of Se forms indicated a relatively low proportion of effective Se being available for plant absorption and utilization, with residue Se being the predominant form (53.1%). The G. elata samples exhibited an average Se content of 0.094 mg/kg, with an enrichment coefficient of 0.11 and an enrichment index of 0.176, demonstrating significant Se enrichment capacity. In the studied karst areas, moderately acidic soils (pH: 5.98–6.60) promote the conversion of effective Se into less available forms, hindering plant absorption. Additionally, a higher OM content (ranging from 21.92 to 127.66 g/kg) and clay content (ranging from 50.73% to 76.19%) contribute to Se binding, retention, and adsorption, further reducing its availability for plant uptake.
In summary, the results of this study elucidate the distribution characteristics of Se in subtropical karst soils and its relationship with soil–plant interactions. Despite the abundant total Se content in the soil, the proportion of effective Se is low, limiting plant absorption and utilization. Therefore, future research could focus on elucidating the formation and transformation mechanisms of effective Se in soil, as well as strategies to enhance plants’ Se uptake efficiency, thereby providing a scientific basis for soil management and ecological restoration in karst areas.
Author Contributions
J.B.: Supervision, Writing—Review and Editing, Conceptualization, and Investigation. Z.H.: Methodology, Writing—Original Draft, Validation, Formal analysis, Investigation, and Visualization. C.X.: Software, Resources, Visualization, and Data Curation. J.Z.: Software, Resources, Visualization, and Data Curation. X.X.: Investigation, Writing—Review and Editing, Funding acquisition, and Project administration. All authors have read and agreed to the published version of the manuscript.
Funding
This work was supported by the Natural Science Foundations of Guizhou Province (ZK-2022-227), Geological Mineral Exploration and Development Funds of Guizhou Province (QDKKH2021-15), National Natural Science Foundations of China (41907177), and the Open Research Program of Groundwater Remediation Technology Transformation Pilot Base of Hubei Province (GRTT202003).
Data Availability Statement
The raw data supporting the conclusions of this article will be made available by the authors on request.
Acknowledgments
The authors thank the 106 Geological Brigade of Guizhou Provincial Bureau of Geology and Minerals for their assistance in collecting geological and geochemical data and facilitating field investigation and sample collection.
Conflicts of Interest
The authors declare no conflicts of interest.
Abbreviations
Glutathione peroxidase (GPx); reduced glutathione (GSH); oxidized glutathione (GSSG); Gastrodin (4-hydroxymethylphenyl-β-D-glucopyranoside); certified reference materials (CRMs); relative standard deviation (RSD); bioconcentration coefficient (BCF); organic matter (OM); reduction partition index (IR).
References
- Adams, M.L.; Lombi, E.; Zhao, F.; McGrath, S.P. Evidence of low selenium concentrations in UK bread-making wheat grain. J. Sci. Food Agric. 2002, 82, 1160–1165. [Google Scholar] [CrossRef]
- Kushwaha, A.; Goswami, L.; Lee, J.; Sonne, C.; Brown, R.J.C.; Kim, K.-H. Selenium in soil-microbe-plant systems: Sources, distribution, toxicity, tolerance, and detoxification. Crit. Rev. Environ. Sci. Technol. 2022, 52, 2383–2420. [Google Scholar] [CrossRef]
- Huang, B.; Zhi, T.; Zhao, Z.; He, N.; Han, C. The relationship between selenium and human health. J. Yichun Univ. 2019, 41, 95–101. [Google Scholar]
- Bowley, H.E.; Mathers, A.W.; Young, S.D.; Macdonald, A.J.; Ander, E.L.; Watts, M.J.; Zhao, F.J.; McGrath, S.P.; Crout, N.M.J.; Bailey, E.H. Historical trends in iodine and selenium in soil and herbage at the Park Grass Experiment, Rothamsted Research, UK. Soil Use Manag. 2017, 33, 252–262. [Google Scholar] [CrossRef]
- Sun, C.; Zheng, W.; Wang, L.; Du, Q. Gastrodin Prevents Neuronal Apoptosis and Improves Neurological Deficits in Traumatic Brain Injury Rats through PKA/CREB/Bcl2 Axis. Front. Biosci. 2023, 28, 93. [Google Scholar] [CrossRef] [PubMed]
- Xie, J. Regional Geological History of Guizhou Province; National Geological Archives: Guiyang, China, 1987. [Google Scholar] [CrossRef]
- Eliopoulos, G.D.; Eliopoulos, I.-P.D.; Tsioubri, M.; Economou-Eliopoulos, M. Distribution of selenium in the soil–plant–groundwater system: Factors controlling its bio-accumulation. Minerals 2020, 10, 795. [Google Scholar] [CrossRef]
- Cai, D.; Li, L.; Ren, M.; Jiang, G. Study on the background value of soil se content in Guizhou Province. Earth Environ. 2021, 49, 504–509. [Google Scholar] [CrossRef]
- Dhillon, K.S.; Dhillon, S.K. Selenium toxicity in soils, plants and animals in some parts of Punjab, India. Int. J. Environ. Stud. 1991, 37, 15–24. [Google Scholar] [CrossRef]
- Dhillon, S.; Hundal, B.; Dhillon, K. Bioavailability of selenium to forage crops in a sandy loam soil amended with Se-rich plant materials. Chemosphere 2007, 66, 1734–1743. [Google Scholar] [CrossRef]
- Kardinaal, A.F.M.; Kok, F.J.; Kohlmeier, L.; Martin-Moreno, J.M.; Ringstad, J.; Gómez-Aracena, J.; Mazaev, V.P.; Thamm, M.; Martin, B.C.; Aro, A.; et al. Association Between Toenail Selenium and Risk of Acute Myocardial Infarction in European Men: The EURAMIC Study. Am. J. Epidemiol. 1997, 145, 373–379. [Google Scholar] [CrossRef]
- Liu, F.; Yang, K.; Xu, R.-T.; Tang, S.-Q. Selenium geochemical characteristics and influencing factors of paddy fields in Du’an County, Guangxi. Huan Jing Ke Xue 2021, 42, 4897–4907. [Google Scholar] [CrossRef]
- Han, F.; Amos, B. Long-term transformations and redistribution of potentially toxic heavy metals in arid-zone soils incubated: I. Under saturated conditions. Water Air Soil Pollut. 1997, 95, 399–423. [Google Scholar] [CrossRef]
- Gissel-Nielsen, G. Selenium concentration in Danish forage crops. Acta Agric. Scand. 1975, 25, 216–220. [Google Scholar] [CrossRef]
- Hao, L.; Zhang, J.; Zhang, S.; Ma, S.; Li, B.; Long, J.; Fan, J.; Luo, K. Distribution characteristics and main influencing factors of selenium in surface soil of natural selenium-rich area: A case study in Langao County, China. Environ. Geochem. Health 2021, 43, 333–346. [Google Scholar] [CrossRef] [PubMed]
- Li, H.; Xie, X.; Wang, L. Selenium Nutrition and human health. Food Ind. 2022, 43, 325–330. [Google Scholar]
- Huan, T. The Occurrence State and Speciation of Selenium and Its Environmental Behaviors in Rock-Soil-Plant from Typical High-Se Areas. Ph.D. Thesis, China University of Geosciences, Wuhan, China, 2017. [Google Scholar]
- Hao, H.; Zhang, M.; Wang, J.; Jiang, S.; Ma, J.; Hu, Y.; Niu, H.; Panchal, B.; Sun, Y. Distribution pattern and enrichment mechanism of selenium in topsoil in Handan Se-enriched belt, North China. Sustainability 2022, 14, 3183. [Google Scholar] [CrossRef]
- Gao, J.; Zhou, X.; Wan, X.; Hu, S.; Tian, Y.; Hu, J. Characteristics and influencing factors of selenium distribution in soil in Jianshi County, Hubei Province. J. Huazhong Agric. Univ. 2023, 42, 212–218. [Google Scholar] [CrossRef]
- Wang, J.; Li, H.; Li, Y.; Yu, J.; Yang, L.; Feng, F.; Chen, Z. Speciation, Distribution, and Bioavailability of Soil Selenium in the Tibetan Plateau Kashin-Beck Disease Area-A Case Study in Songpan County, Sichuan Province, China. Biol. Trace Element Res. 2013, 156, 367–375. [Google Scholar] [CrossRef]
- Száková, J.; Tremlová, J.; Pegová, K.; Najmanová, J.; Tlustoš, P. Soil-to-plant transfer of native selenium for wild vegetation cover at selected locations of the Czech Republic. Environ. Monit. Assess. 2015, 187, 358. [Google Scholar] [CrossRef]
- Li, Y.; Wang, W.; Luo, K.; Li, H. Environmental behaviors of selenium in soil of typical selenosis area, China. J. Environ. Sci. 2008, 20, 859–864. [Google Scholar] [CrossRef]
- Li, Z.; Liang, D.; Peng, Q.; Cui, Z.; Huang, J.; Lin, Z. Interaction between selenium and soil organic matter and its impact on soil selenium bioavailability: A review. Geoderma 2017, 295, 69–79. [Google Scholar] [CrossRef]
- Ma, Y.; Zhang, N.; Li, Y.; Zhao, H.; Zhou, F.; Xue, M.; Lyu, L.; Yang, J.; Man, Y.B.; Wu, F.; et al. Differences in selenium concentration and bioavailability between paddy and dryland soils of China: A study based on literature collection and field sampling. J. Hazard. Mater. 2023, 445, 130467. [Google Scholar] [CrossRef] [PubMed]
- Liu, N.; Wang, M.; Zhou, F.; Zhai, H.; Qi, M.; Liu, Y.; Li, Y.; Zhang, N.; Ma, Y.; Huang, J.; et al. Selenium bioavailability in soil-wheat system and its dominant influential factors: A field study in Shaanxi province, China. Sci. Total Environ. 2021, 770, 144664. [Google Scholar] [CrossRef]
- Paul, D.; Dey, S. Selenium content and uptake in crops as affected by soil selenium content and implications on human health. Commun. Soil Sci. Plant Anal. 2014, 45, 429–436. [Google Scholar] [CrossRef]
- Tangjaidee, P.; Swedlund, P.; Xiang, J.; Yin, H.; Quek, S.Y. Selenium-enriched plant foods: Selenium accumulation, speciation, and health functionality. Front. Nutr. 2023, 9, 962312. [Google Scholar] [CrossRef] [PubMed]
- Yang, G.Q.; Chen, J.S.; Wen, Z.M.; Ge, K.Y.; Zhu, L.Z.; Chen, X.C.; Chen, X.S. The role of selenium in Keshan disease. Adv. Nutr. Res. 1984, 6, 203–231. [Google Scholar] [CrossRef]
- Farooq, M.R.; Zhang, Z.; Yuan, L.; Liu, X.; Rehman, A.; Bañuelos, G.S.; Yin, X. Influencing factors on bioavailability and spatial distribution of soil selenium in dry semi-arid area. Agriculture 2023, 13, 576. [Google Scholar] [CrossRef]
- Shao, Y.; Xie, B.; Li, M.; Zhang, X.; Xiao, H. Selenium fractionation and speciation in paddy soils and accumulation in rice under field conditions in Jinhua Zhejinang Province, China. E3S Web Conf. 2020, 143, 02014. [Google Scholar] [CrossRef]
- Li, S.; Xiong, W.; Huang, J.; Tian, J. Study on factors affecting the selenium enrichment of crops in the Hetao area of Inner Mongolia. West. Resour. 2023, 3, 139–142. [Google Scholar] [CrossRef]
- Supriatin, S.; Weng, L.; Comans, R.N.J. Selenium-rich dissolved organic matter determines selenium uptake in wheat grown on low-selenium arable land soils. Plant Soil 2016, 408, 73–94. [Google Scholar] [CrossRef]
- GB 5009.93-2017; National Standards for Food Safety—Determination of Selenium in Food. National Health and Family Planning Commission of the People’s Republic of China, State Food and Drug Administration: Beijing, China, 2017; p. 12.
- HJ 680-2013; Soil and Sediment. Determination of Mercury, Arsenic, Selenium, Bismuth, Antimony. Microwave Dissolution/Atomic Fluorescence Spectrometry. Ministry of Environmental Protection of the People’s Republic of China: Beijing, China, 2014.
- Wang, C.; Ji, J.; Zhu, F. Characterizing Se transfer in the soil-crop systems under field condition. Plant Soil 2017, 415, 535–548. [Google Scholar] [CrossRef]
- NY/T 1121.2-2006; Soil Testing. Part 2: Determination of Soil pH. National Center for Agricultural Extension Service, Institute of Agricultural Resources and Agricultural Zoning, Chinese Academy of Agricultural Sciences and Shanghai Center for Agricultural Extension Service: Shanghai, China, 2006; p. 6P.A4.
- Wang, S.; Liang, D.; Wang, D.; Wei, W.; Fu, D.; Lin, Z. Selenium fractionation and speciation in agriculture soils and accumulation in corn (Zea mays L.) under field conditions in Shanxi Province, China. Sci. Total Environ. 2012, 427–428, 159–164. [Google Scholar] [CrossRef] [PubMed]
- Wang, S. Fractionation and Speciation of Selenium in Soil and Its Bioavailability. Ph.D. Thesis, Northwest Agriculture & Forestry University, Yangling, China, 2012. [Google Scholar]
- DZ/T 0295-2016; Specification for Geochemical Evaluation of Land Quality. Ministry of Land and Resources, People’s Republic of China: Beijing, China, 2016; p. 57.
- Huang, W.; Xu, Q.; Wu, N. Effects of selenium-enriched rape returning amount on available selenium content in paddy soil and selenium accumulation in rice. Int. J. Anal. Chem. 2022, 2022, 3101069. [Google Scholar] [CrossRef] [PubMed]
- Weiqi, W.; Siyuan, W.; Xiaoyao, W.; Rong, F.; Ranran, C.; Hong, Z. Analysis of the occurrence forms of selenium in the surrounding soil of the selenium-rich core area in Ziyang, Shanxi. Environ. Chem. 2014, 33, 1999–2000. [Google Scholar]
- Wu, Y.; Zeng, F.; Wei, X.; Liu, S.; Huang, J. Spatial variation of soil acidification in the karst area of northern Guangdong: A case in peak cluster depression and karst trough valley landforms. Carsologica Sin. 2022, 05, 784–795. [Google Scholar]
- Xiao, K.; Tang, J.; Chen, H.; Li, D.; Liu, Y. Impact of land use/land cover change on the topsoil selenium concentration and its potential bioavailability in a karst area of southwest China. Sci. Total Environ. 2020, 708, 135201. [Google Scholar] [CrossRef] [PubMed]
- Li, X.; Luo, Y.; Zeng, C.; Zhong, Q.; Xiao, Z.; Mao, X.; Cao, F. Selenium accumulation in plant foods and selenium intake of residents in a moderately selenium-enriched area of Mingyueshan, Yichun, China. Journal of Food Composition and Analysis. J. Food Compos. Anal. 2023, 116, 105089. [Google Scholar] [CrossRef]
- Zhou, Y.; Peng, M.; Cheng, H.; Liu, F.; Zhang, F.; Wang, H. Investigation and development mode of selenium—Land resources in major farming areas of China. Comput. Tech. Geophys. Geochem. Explor. 2022, 44, 833–841. [Google Scholar]
- Xiong, Y.; Huang, Y.; Li, L.; Liu, Y.; Liu, L.; Wang, L.; Tong, L.; Wang, F.; Fan, B. A review of plant selenium-enriched proteins/peptides: Extraction, detection, bioavailability, and effects of processing. Molecules 2023, 28, 1223. [Google Scholar] [CrossRef]
- Li, Y.; Ju, S.; Huang, J.; Wu, H.; Lin, Z.; Wang, Y.; Jin, H.; Ma, S.; Zhang, B. Novel multifunctional natural selenium supplement development, in vitro and in vivo analysis, and risk-benefit assessment: Selenium-enriched chicory as a case study. J. Clean. Prod. 2023, 382, 135273. [Google Scholar] [CrossRef]
- Wang, Y.; Shan, Q.; Wang, C.; Tang, Z.; Li, Y. Study on the migration and accumulation of selenium between soil and vegetations. Sustainability 2022, 15, 592. [Google Scholar] [CrossRef]
- Duan, Y.; Qiu, H.; Su, J. Discussion on the role of “Ziyang selenium-enriched tea production-white tea quality grade” (DB61/T307.6-2021) standard in promoting industrial development. Xiandai Hortic. 2022, 45, 31–33. [Google Scholar] [CrossRef]
- Zhang, Y.; Chen, Y.; Yuan, S.; Yu, Q.; Fu, J.; Chen, L.; Liu, J.; He, Y. Effect of gastrodin against cognitive impairment and neurodegeneration in APP/PS1 mice via regulating gut microbiota-gut-brain axis. Exp. Brain Res. 2023, 241, 1661–1673. [Google Scholar] [CrossRef] [PubMed]
- Huang, Y.; Duan, X.; Hu, X.; He, W.; Huang, L. Clinical study of acupoint application combined with gastrodin and xue saitong in the treatment of vertebrobasilar artery insufficiency vertigo. China Mod. Med. 2021, 28, 198–201. [Google Scholar]
- Lang, Y. Geochemical Characteristics of Cycling of Substances in Karstic Ground Water System: A Case Study from Guiyang and Zunyi Cities, China. Ph.D. Thesis, Graduates School of the Chinese Academy of Sciences (GSCAS), Beijing, China, 2005. [Google Scholar]
- Wei, Z.; Chen, Y.; Guo, Y.; Ren, G. Enrichment of Selenium in Cultivated Soils and Crops in Zunyi, Guizhou. Chin. J. Soil Sci. 2021, 52, 642–649. [Google Scholar] [CrossRef]
- Wang, Z.; Pang, F.; Huang, W. Accumulation and translocation of selenium in a soil–rice system in Guangxi, China. Soil Sci. Plant Nutr. 2021, 67, 557–565. [Google Scholar] [CrossRef]
- Ma, Z. Preparation and Investigation of Rock Reference Material and a Sequential Extraction Method of Selenium. Ph.D. Thesis, China University of Geosciences, Wuhan, China, 2015. [Google Scholar]
Disclaimer/Publisher’s Note: The statements, opinions and data contained in all publications are solely those of the individual author(s) and contributor(s) and not of MDPI and/or the editor(s). MDPI and/or the editor(s) disclaim responsibility for any injury to people or property resulting from any ideas, methods, instructions or products referred to in the content. |
© 2024 by the authors. Licensee MDPI, Basel, Switzerland. This article is an open access article distributed under the terms and conditions of the Creative Commons Attribution (CC BY) license (https://creativecommons.org/licenses/by/4.0/).


