Influence of Mixing Rubber Fibers on the Mechanical Properties of Expansive Clay under Freeze–Thaw Cycles
Abstract
1. Introduction
2. Materials and Methods
2.1. Test Materials
2.2. Sample Preparation
2.3. Test Scheme
3. Results and Discussion
3.1. Effect of Mixing Rubber Fibers on Shear Strength of Expansive Clay
3.2. Effect of Mixing Rubber Fibers on Elastic Modulus of Expansive Clay
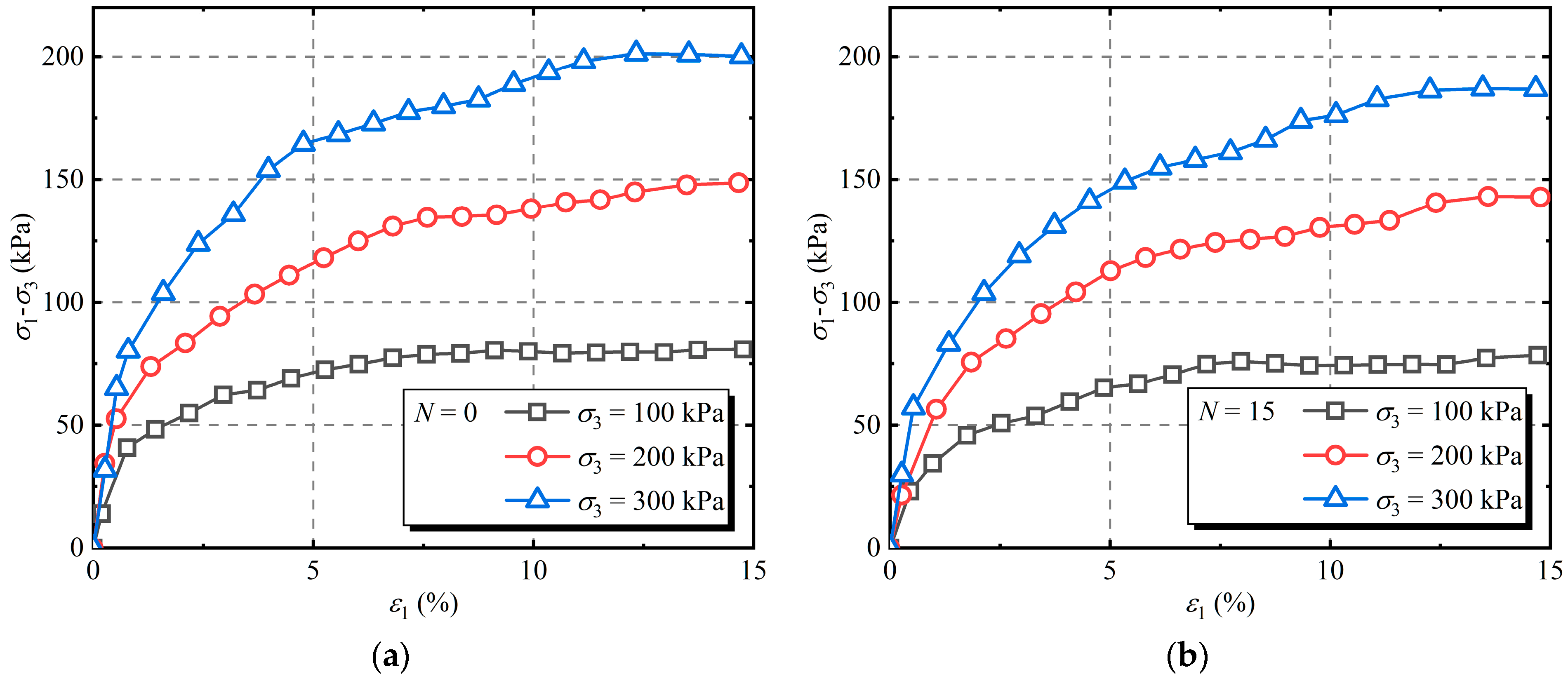
4. Stress–Strain Curves after Freeze–Thaw Cycles of Expansive Clay
5. Conclusions
- (1)
- The mixing of rubber fibers reduced the effect of freeze–thaw cycles on the shear strength and elastic modulus of expansive clay. The shear strength and elastic modulus of rubber fiber-reinforced expansive clay decreased slightly with an increase in the number of freeze–thaw cycles. However, the shear strength and elastic modulus of the unreinforced expansive clay decreased rapidly with an increase in the number of freeze–thaw cycles.
- (2)
- The relationship between the number of freeze–thaw cycles and the ultimate strength was established, which can describe the change in ultimate strength under freeze–thaw cycles. The ultimate strength of rubber fiber-reinforced expansive clay does not change markedly as the number of freeze–thaw cycles increases, and the deterioration parameter λ is 0. In contrast, the ultimate strength of the unreinforced expansive clay significantly decreased after freeze–thaw cycles, with the deterioration parameters as 0.336 and 0.275.
- (3)
- A calculation model of the deviatoric stress–axial strain curves after freeze–thaw cycles was established, which can describe the deviatoric stress–axial strain behavior of rubber fiber-reinforced expansive clay and unreinforced expansive clay under different confining pressures and numbers of freeze–thaw cycles.
Author Contributions
Funding
Institutional Review Board Statement
Informed Consent Statement
Data Availability Statement
Conflicts of Interest
References
- Yang, J.T. The Impact of Urbanization Process on Civil Car Ownership in China. In Proceedings of the 5th Annual International Conference on Social Science and Contemporary Humanity Development (SSCHD), Wuhan, China, 15–16 November 2019; Volume 376, pp. 612–617. [Google Scholar] [CrossRef]
- Ferdous, W.; Manalo, A.; Siddique, R.; Mendis, P.; Yan, Z.G.; Wong, H.S.; Lokuge, W.; Aravinthan, T.; Schubel, P. Recycling of landfill wastes (tyres, plastics and glass) in construction—A review on global waste generation, performance, application and future opportunities. Resour. Conserv. Recycl. 2021, 173, 105745. [Google Scholar] [CrossRef]
- Dobrota, D.; Dobrota, G.; Dobrescu, T. Improvement of waste tyre recycling technology based on a new tyre markings. J. Clean Prod. 2020, 260, 121141. [Google Scholar] [CrossRef]
- Tian, X.L.; Zhuang, Q.X.; Han, S.; Li, S.M.; Liu, H.C.; Li, L.; Zhang, J.X.; Wang, C.S.; Bian, H.G. A novel approach of reapplication of carbon black recovered from waste tyre pyrolysis to rubber composites. J. Clean Prod. 2021, 280, 124460. [Google Scholar] [CrossRef]
- Han, W.W.; Han, D.S.; Chen, H.B. Pyrolysis of Waste Tires: A Review. Polymers 2023, 15, 1604. [Google Scholar] [CrossRef] [PubMed]
- Mavukwana, A.E.; Fox, J.A.; Sempuga, B.C. Waste tyre to electricity: Thermodynamics analysis. J. Environ. Chem. Eng. 2020, 8, 103831. [Google Scholar] [CrossRef]
- Samesová, D.; Ponist, J.; Hybská, H.; Pochyba, A.; Schwarz, M.; Salva, J. Determination of aerobic and anaerobic biological degradability of waste tyres. Environ. Sci. Eur. 2023, 35. [Google Scholar] [CrossRef]
- Qu, B.Y.; Li, A.M.; Qu, Y.; Wang, T.; Zhang, Y.; Wang, X.; Gao, Y.; Fu, W.; Ji, G.Z. Kinetic analysis of waste tire pyrolysis with metal oxide and zeolitic catalysts. J. Anal. Appl. Pyrolysis 2020, 152, 104949. [Google Scholar] [CrossRef]
- Zhou, Y.; Zhu, G.Q.; Yu, X.F.; Pan, R.L.; Chu, T.W.; Liang, Z.H. The flame development process and thermal radiation of tire stacks in a large-scale experiment. J. Therm. Anal. Calorim. 2022, 147, 2481–2494. [Google Scholar] [CrossRef]
- Raudonyte-Svirbutaviciene, E.; Stakeniene, R.; Joksas, K.; Valiulis, D.; Bycenkiene, S.; Zarkov, A. Distribution of polycyclic aromatic hydrocarbons and heavy metals in soil following a large tire fire incident: A case study. Chemosphere 2022, 286, 131556. [Google Scholar] [CrossRef]
- Cuevas, J.; Gonzalez-Santamaria, D.E.; Garcia-Delgado, C.; Ruiz, A.; Garralon, A.; Ruiz, A.I.; Fernandez, R.; Eymar, E.; Jimenez-Ballesta, R. Impact of a tire fire accident on soil pollution and the use of clay minerals as natural geo-indicators. Environ. Geochem. Health 2020, 42, 2147–2161. [Google Scholar] [CrossRef]
- Kumari, S.; Elumalai, S.P.; Jain, M.K. Study on effect of tire burning on particulate matter concentration and respiratory deposition doses to the workers and inhabitants during road pavement activity. Air Qual. Atmos. Health 2022, 15, 1413–1426. [Google Scholar] [CrossRef]
- Mentes, D.; Toth, C.E.; Nagy, G.; Muranszky, G.; Poliska, C. Investigation of gaseous and solid pollutants emitted from waste tire combustion at different temperatures. Waste Manag. 2022, 149, 302–312. [Google Scholar] [CrossRef] [PubMed]
- Bulei, C.; Todor, M.P.; Heput, T.; Kiss, I. Directions for material recovery of used tires and their use in the production of new products intended for the industry of civil construction and pavements. IOP Conf. Ser. Mater. Sci. Eng. 2018, 294, 012064. [Google Scholar] [CrossRef]
- Mmereki, D.; Machola, B.; Mokokwe, K. Status of waste tires and management practice in Botswana. J. Air Waste Manag. Assoc. 2019, 69, 1230–1246. [Google Scholar] [CrossRef] [PubMed]
- Jiang, G.S.; Pan, J.Q.; Deng, W.Z.; Sun, Y.Z.; Guo, J.; Che, K.; Yang, Y.; Lin, Z.Y.; Sun, Y.C.; Huang, C.J.; et al. Recovery of high pure pyrolytic carbon black from waste tires by dual acid treatment. J. Clean Prod. 2022, 374, 133893. [Google Scholar] [CrossRef]
- Zou, C.; Ren, Y.; Li, S.G.; Hu, H.Y.; Cao, C.Y.; Tang, H.; Li, X.; Yao, H. Effects of molten salt thermal treatment on the properties improvement of waste tire pyrolytic char. Waste Manag. 2022, 149, 53–59. [Google Scholar] [CrossRef]
- Pan, Y.H.; Yang, D.C.; Sun, K.; Wang, X.W.; Zhou, Y.G.; Huang, Q.X. Pyrolytic transformation behavior of hydrocarbons and heteroatom compounds of scrap tire volatiles. Fuel 2020, 276, 118095. [Google Scholar] [CrossRef]
- Zheng, D.H.; Cheng, J.; Wang, X.L.; Yu, G.Q.; Xu, R.N.; Dai, C.N.; Liu, N.; Wang, N.; Chen, B.H. Influences and mechanisms of pyrolytic conditions on recycling BTX products from passenger car waste tires. Waste Manag. 2023, 169, 196–207. [Google Scholar] [CrossRef] [PubMed]
- Irani, N.; Ghasemi, M. Effect of scrap tyre on strength properties of untreated and lime-treated clayey sand. Eur. J. Environ. Civ. Eng. 2021, 25, 1609–1626. [Google Scholar] [CrossRef]
- Zhang, T.; Cai, G.J.; Duan, W.H. Strength and microstructure characteristics of the recycled rubber tire-sand mixtures as lightweight backfill. Environ. Sci. Pollut. Res. 2018, 25, 3872–3883. [Google Scholar] [CrossRef]
- Daud, K.A. Soil improvement using waste tire chips. Int. J. Civ. Eng. Technol. 2018, 9, 1338–1345. [Google Scholar] [CrossRef]
- Anbazhagan, P.; Manohar, D. Energy absorption capacity and shear strength characteristics of waste tire crumbs and sand mixtures. Int. J. Geotech. Earthq. 2015, 6, 28–49. [Google Scholar] [CrossRef]
- Zhang, H.B.; Yuan, X.F.; Liu, Y.; Wu, J.Q.; Song, X.G.; He, F.D. Experimental study on the pullout behavior of scrap tire strips and their application as soil reinforcement. Constr. Build. Mater. 2020, 254, 119288. [Google Scholar] [CrossRef]
- Lv, J.H.; Yang, Z.N.; Shi, W.; Lu, Z.C.; Zhang, Q.; Ling, X.Z. Dynamic Characteristics of Rubber Reinforced Expansive Soil (ESR) at Positive and Negative Ambient Temperatures. Polymers 2022, 14, 3985. [Google Scholar] [CrossRef] [PubMed]
- Zhou, Z.W.; Ma, W.; Zhang, S.J.; Mu, Y.H.; Li, G.Y. Effect of freeze-thaw cycles in mechanical behaviors of frozen loess. Cold Reg. Sci. Techol. 2018, 146, 9–18. [Google Scholar] [CrossRef]
- Zhang, Y.G.; Liu, S.H.; Deng, G.; Fang, B.X.; Zhang, Y.Y.; Lu, Y. Effect of freeze-thaw cycles on mechanical behavior of clay-gravel mixtures. J. Mt. Sci. 2022, 19, 3615–3626. [Google Scholar] [CrossRef]
- Yang, A.W.; Yang, S.P.; Zhong, X.K.; Zhang, X.W. Mechanical Properties and Structural Evolution of Sludge-cured Lightweight Soils Subjected to Freeze-thaw Cycles. KSCE J. Civ. Eng. 2022, 26, 4478–4488. [Google Scholar] [CrossRef]
- Orakoglu, M.E.; Liu, J.K.; Lin, R.; Tian, Y.H. Performance of Clay Soil Reinforced with Fly Ash and Lignin Fiber Subjected to Freeze-Thaw Cycles. J. Cold Reg. Eng. 2017, 31, 04017013. [Google Scholar] [CrossRef]
- Xu, J.; Li, Y.F.; Lan, W.; Wang, S.H. Shear strength and damage mechanism of saline intact loess after freeze-thaw cycling. Cold Reg. Sci. Technol. 2019, 164, 102779. [Google Scholar] [CrossRef]
- Zaimoglu, A.S.; Calik, Y.; Akbulut, R.K.; Yetimoglu, T. A Study on Freeze-Thaw Behavior of Randomly Distributed Fiber-Reinforced Soil. Period. Polytech.-Civ. Eng. 2016, 60, 3–9. [Google Scholar] [CrossRef]
- Wang, M.; Meng, S.J.; Sun, Y.Q.; Fu, H.Q. Shear strength of frozen clay under freezing-thawing cycles using triaxial tests. Earthq. Eng. Eng. Vib. 2018, 17, 761–769. [Google Scholar] [CrossRef]
- Ghazavi, M.; Roustaei, M. Freeze-thaw performance of clayey soil reinforced with geotextile layer. Cold Reg. Sci. Technol. 2013, 89, 22–29. [Google Scholar] [CrossRef]
- Orakoglu, M.E.; Liu, J.K. Effect of Freeze-Thaw Cycles on Triaxial Strength Properties of Fiber-Reinforced Clayey Soil. KSCE J. Civ. Eng. 2017, 21, 2128–2140. [Google Scholar] [CrossRef]
- Cui, G.H.; Cheng, Z.; Zhang, D.L.; Ma, S.X.; Liu, Z.Q. Effect of Freeze-Thaw Cycles on Dynamic Characteristics of Undisturbed Silty Clay. KSCE J. Civ. Eng. 2022, 26, 3831–3846. [Google Scholar] [CrossRef]
- Yang, Z.N.; Lu, Z.C.; Shi, W.; Wang, C.; Ling, X.Z.; Liu, X.; Guan, D.; Cheng, Z.J. Dynamic Properties of Expansive Soil-Rubber under Freeze-Thaw Cycles. J. Mater. Civ. Eng. 2023, 35, 04023026. [Google Scholar] [CrossRef]
- Selvakumar, S.; Soundara, B. 24—Swelling behavior of expansive soils stabilized with expanded polystyrene geofoam inclusion. In New Materials in Civil Engineering; Samui, P., Kim, D., Iyer, N.R., Chaudhary, S., Eds.; Butterworth-Heinemann: Oxford, UK, 2020; pp. 745–776. [Google Scholar]
- D2487-17, A; Standard Practice for Classification of Soils for Engineering Purposes (Unified Soil Classification System). ASTM International: West Conshohocken, PA, USA, 2017. [CrossRef]
- D698-12, A; Standard Test Method for Laboratory Compaction Characteristics of Soil Using Standard Effort. ASTM International: West Conshohocken, PA, USA, 2021. [CrossRef]
- D2216-19, A; Standard Test Methods for Laboratory Determination of Water (Moisture) Content of Soil and Rock by Mass. ASTM International: West Conshohocken, PA, USA, 2019. [CrossRef]
- D4318-17e1, A; Standard Test Methods for Liquid Limit, Plastic Limit, and Plasticity Index of Soils. ASTM International: West Conshohocken, PA, USA, 2017. [CrossRef]
- Prakash, K.; Sridharan, A. Free swell ratio and clay mineralogy of fine-grained soils. Geotech. Test. J. 2004, 27, 220–225. [Google Scholar] [CrossRef]
- D854-14, A; Standard Test Methods for Specific Gravity of Soil Solids by Water Pycnometer. ASTM International: West Conshohocken, PA, USA, 2014. [CrossRef]
- D7928-17, A; Standard Test Method for Particle-Size Distribution (Gradation) of Fine-Grained Soils Using the Sedimentation (Hydrometer) Analysis. ASTM International: West Conshohocken, PA, USA, 2017. [CrossRef]
- Akbarimehr, D.; Eslami, A.; Esmail, A. Geotechnical behaviour of clay soil mixed with rubber waste. J. Clean Prod. 2020, 271, 122632. [Google Scholar] [CrossRef]
- Correia, N.S.; Rocha, S.A.; Lodi, P.C.; McCartney, J.S. Shear strength behavior of clayey soil reinforced with polypropylene fibers under drained and undrained conditions. Geotext. Geomembr. 2021, 49, 1419–1426. [Google Scholar] [CrossRef]
- Estabragh, A.R.; Bordbar, A.T.; Javadi, A.A. Mechanical Behavior of a Clay Soil Reinforced with Nylon Fibers. Geotech. Geol. Eng. 2011, 29, 899–908. [Google Scholar] [CrossRef]
- Wang, D.-Y.; Ma, W.; Niu, Y.-H.; Chang, X.-X.; Wen, Z. Effects of cyclic freezing and thawing on mechanical properties of Qinghai–Tibet clay. Cold Reg. Sci. Technol. 2007, 48, 34–43. [Google Scholar] [CrossRef]
- Tang, L.; Cong, S.Y.; Geng, L.; Ling, X.Z.; Gan, F.D. The effect of freeze-thaw cycling on the mechanical properties of expansive soils. Cold Reg. Sci. Technol. 2018, 145, 197–207. [Google Scholar] [CrossRef]
- Zhao, G.T.; Han, Z.; Zou, W.L.; Wang, X.Q. Evolution of mechanical behaviours of an expansive soil during drying-wetting, freeze-thaw, and drying-wetting-freeze-thaw cycles. Bull. Eng. Geol. Environ. 2021, 80, 8109–8121. [Google Scholar] [CrossRef]
- Liu, J.K.; Chang, D.; Yu, Q.M. Influence of freeze-thaw cycles on mechanical properties of a silty sand. Eng. Geol. 2016, 210, 23–32. [Google Scholar] [CrossRef]
- Lu, Y.; Liu, S.H.; Weng, L.P.; Wang, L.J.; Li, Z.; Xu, L. Fractal analysis of cracking in a clayey soil under freeze-thaw cycles. Eng. Geol. 2016, 208, 93–99. [Google Scholar] [CrossRef]
- Luo, Z.L.; Zheng, Y.J.; Zhang, X.; Wang, L.H.; Gao, Y.; Liu, K.X.; Han, S.J. Effect of Phase Change Materials on Mechanical Properties of Stabilized Loess Subgrade Subjected to Freeze-Thaw Cycle. J. Mater. Civ. Eng. 2023, 35, 04023217. [Google Scholar] [CrossRef]
- Li, T.G.; Kong, L.W.; Guo, A.G. The deformation and microstructure characteristics of expansive soil under freeze-thaw cycles with loads. Cold Reg. Sci. Technol. 2021, 192, 103393. [Google Scholar] [CrossRef]
- Ahmadi, S.; Ghasemzadeh, H.; Changizi, F. Effects of A low-carbon emission additive on mechanical properties of fine-grained soil under freeze-thaw cycles. J. Clean Prod. 2021, 304, 127157. [Google Scholar] [CrossRef]
- Fan, K.; Pei, Q.; Liu, L.; Han, Z.; Zou, W. Strength and microstructure of a lignin fiber-reinforced expansive soil in cold regions. Geosynth. Int. 2022, 29, 622–629. [Google Scholar] [CrossRef]
- Duncan, J.M.; Chang, C.-Y. Nonlinear analysis of stress and strain in soils. J. Soil Mech. Found. Div. 1970, 96, 1629–1653. [Google Scholar] [CrossRef]






| Soil Parameters | Results | Reference Standards |
|---|---|---|
| Maximum dry density | 1.858 g/cm3 | ASTM D698-12 [39] |
| Optimum moisture content | 15.71% | |
| Natural moisture content | 6.06% | ASTM D2216-19 [40] |
| Liquid limit | 57.9% | ASTM D4318-17e1 [41] |
| Plastic limit | 22.3% | |
| Free swell ratio | 71% | Prakash et al. [42] |
| Specific gravity ds | 2.72 | ASTM D854-14 [43] |
| Uniformity coefficient (Cu) | 9.3 | ASTM D7928-17 [44] |
| References | Soil Types | Test Method | Number of Freeze–Thaw Cycles | Confining Pressures/kPa |
|---|---|---|---|---|
| Tang et al. [49] | Expensive clay | CU | 0, 1, 3, 5, 9 | 100, 200, 300 |
| Zhao et al. [50] | Expensive clay | CU | 0, 1, 4, 6, 10 | 50, 100, 200, 300 |
| References | σ3/kPa | N | a | b | R2 | Ei/MPa | (σ1–σ3)ult/kPa |
|---|---|---|---|---|---|---|---|
| This study | 100 | 0 | 0.01157 | 0.01161 | 0.998 | 8.64 | 86.13 |
| 1 | 0.00947 | 0.01246 | 0.996 | 10.56 | 80.26 | ||
| 3 | 0.01794 | 0.01008 | 0.996 | 5.57 | 99.21 | ||
| 6 | 0.01728 | 0.01124 | 0.998 | 5.79 | 88.97 | ||
| 10 | 0.01741 | 0.01067 | 0.997 | 5.74 | 93.72 | ||
| 15 | 0.01787 | 0.01168 | 0.997 | 5.60 | 85.62 | ||
| 200 | 0 | 0.01219 | 0.00596 | 0.997 | 8.20 | 167.79 | |
| 1 | 0.01240 | 0.00630 | 0.996 | 8.06 | 158.73 | ||
| 3 | 0.01479 | 0.00545 | 0.997 | 6.76 | 183.49 | ||
| 6 | 0.01507 | 0.00559 | 0.995 | 6.64 | 178.89 | ||
| 10 | 0.01352 | 0.00569 | 0.997 | 7.40 | 175.75 | ||
| 15 | 0.01440 | 0.00608 | 0.997 | 6.94 | 164.47 | ||
| 300 | 0 | 0.00876 | 0.00433 | 0.997 | 11.42 | 230.95 | |
| 1 | 0.00919 | 0.00445 | 0.997 | 10.88 | 224.72 | ||
| 3 | 0.01038 | 0.00439 | 0.997 | 9.63 | 227.79 | ||
| 6 | 0.01119 | 0.00472 | 0.997 | 8.94 | 211.86 | ||
| 10 | 0.01141 | 0.00431 | 0.995 | 8.76 | 232.02 | ||
| 15 | 0.01124 | 0.00455 | 0.997 | 8.90 | 219.78 | ||
| Tang et al. [49] | 100 | 0 | 0.00305 | 0.00543 | 0.997 | 32.79 | 184.16 |
| 1 | 0.00546 | 0.00580 | 0.997 | 18.32 | 172.41 | ||
| 3 | 0.00774 | 0.00637 | 0.998 | 12.92 | 156.99 | ||
| 5 | 0.00862 | 0.00724 | 0.998 | 11.60 | 138.12 | ||
| 9 | 0.00958 | 0.00772 | 0.997 | 10.44 | 129.53 | ||
| 200 | 0 | 0.00381 | 0.00236 | 0.995 | 26.25 | 423.73 | |
| 1 | 0.00465 | 0.00277 | 0.994 | 21.51 | 361.01 | ||
| 3 | 0.00436 | 0.00333 | 0.997 | 22.94 | 300.30 | ||
| 5 | 0.00524 | 0.00359 | 0.998 | 19.08 | 278.55 | ||
| 9 | 0.00592 | 0.00376 | 0.998 | 16.89 | 265.96 | ||
| 300 | 0 | 0.00276 | 0.00156 | 0.994 | 36.23 | 641.03 | |
| 1 | 0.00312 | 0.00178 | 0.996 | 32.05 | 561.80 | ||
| 3 | 0.00331 | 0.00195 | 0.995 | 30.21 | 512.82 | ||
| 5 | 0.00405 | 0.00205 | 0.998 | 24.69 | 487.80 | ||
| 9 | 0.00483 | 0.00211 | 0.999 | 20.70 | 473.93 | ||
| Zhao et al. [50] | 50 | 0 | 0.00344 | 0.00712 | 0.999 | 29.07 | 140.45 |
| 1 | 0.00603 | 0.00806 | 0.999 | 16.58 | 124.07 | ||
| 4 | 0.00894 | 0.00891 | 0.999 | 11.19 | 112.23 | ||
| 6 | 0.01032 | 0.00951 | 0.999 | 9.69 | 105.15 | ||
| 10 | 0.01293 | 0.00961 | 0.999 | 7.73 | 104.06 | ||
| 100 | 0 | 0.00223 | 0.00479 | 0.999 | 44.84 | 208.77 | |
| 1 | 0.00383 | 0.00527 | 0.990 | 26.11 | 189.75 | ||
| 4 | 0.00448 | 0.00606 | 0.999 | 22.32 | 165.02 | ||
| 6 | 0.00499 | 0.00647 | 0.999 | 20.04 | 154.56 | ||
| 10 | 0.00626 | 0.00654 | 0.999 | 15.97 | 152.91 | ||
| 200 | 0 | 0.00244 | 0.00309 | 0.999 | 40.98 | 323.62 | |
| 1 | 0.00278 | 0.00349 | 0.999 | 35.97 | 286.53 | ||
| 4 | 0.00313 | 0.00381 | 0.999 | 31.95 | 262.47 | ||
| 6 | 0.00422 | 0.00406 | 0.999 | 23.70 | 246.31 | ||
| 10 | 0.00475 | 0.00414 | 0.999 | 21.05 | 241.55 | ||
| 300 | 0 | 0.00159 | 0.00231 | 0.999 | 62.89 | 432.90 | |
| 1 | 0.00212 | 0.00252 | 0.999 | 47.17 | 396.83 | ||
| 4 | 0.00258 | 0.00263 | 0.999 | 38.76 | 380.23 | ||
| 6 | 0.00288 | 0.00277 | 0.999 | 34.72 | 361.01 | ||
| 10 | 0.00352 | 0.00280 | 0.999 | 28.41 | 357.14 |
Disclaimer/Publisher’s Note: The statements, opinions and data contained in all publications are solely those of the individual author(s) and contributor(s) and not of MDPI and/or the editor(s). MDPI and/or the editor(s) disclaim responsibility for any injury to people or property resulting from any ideas, methods, instructions or products referred to in the content. |
© 2024 by the authors. Licensee MDPI, Basel, Switzerland. This article is an open access article distributed under the terms and conditions of the Creative Commons Attribution (CC BY) license (https://creativecommons.org/licenses/by/4.0/).
Share and Cite
Yang, Z.; Sun, Z.; Ling, X.; Cai, G.; Wang, R.; Meng, X. Influence of Mixing Rubber Fibers on the Mechanical Properties of Expansive Clay under Freeze–Thaw Cycles. Appl. Sci. 2024, 14, 5437. https://doi.org/10.3390/app14135437
Yang Z, Sun Z, Ling X, Cai G, Wang R, Meng X. Influence of Mixing Rubber Fibers on the Mechanical Properties of Expansive Clay under Freeze–Thaw Cycles. Applied Sciences. 2024; 14(13):5437. https://doi.org/10.3390/app14135437
Chicago/Turabian StyleYang, Zhongnian, Zhenxing Sun, Xianzhang Ling, Guojun Cai, Rongchang Wang, and Xiang Meng. 2024. "Influence of Mixing Rubber Fibers on the Mechanical Properties of Expansive Clay under Freeze–Thaw Cycles" Applied Sciences 14, no. 13: 5437. https://doi.org/10.3390/app14135437
APA StyleYang, Z., Sun, Z., Ling, X., Cai, G., Wang, R., & Meng, X. (2024). Influence of Mixing Rubber Fibers on the Mechanical Properties of Expansive Clay under Freeze–Thaw Cycles. Applied Sciences, 14(13), 5437. https://doi.org/10.3390/app14135437
