Abstract
Inertial navigation systems experience error accumulation over time, leading to the use of integrated navigation as a classical solution to mitigate inertial drift. This provides a novel approach to navigation and positioning by using the combined advantages of inertial and geomagnetic navigation systems. However, inertial/geomagnetic navigation is affected by significant magnetic interference in practical scenarios, resulting in reduced navigation accuracy. This research introduces a new neural network-assisted integrated inertial–geomagnetic navigation method (IM-NN), and utilizes the adaptive cubature Kalman filter to integrate attitude information from geomagnetism and inertial sensors. A model was created utilizing a Long Short-Term Memory Network (LSTM) to represent the relationship between specific force, angular velocity, and integrated navigation attitude information. The dynamics were estimated based on current and previous Inertial Measurement Unit (IMU) data using IM-NN. This study demonstrated that the method effectively corrected inertial accumulation errors and mitigated geomagnetic disruption, resulting in a more accurate and dependable navigation solution in environments with geomagnetic rejection compared to conventional single inertial navigation methods.
1. Introduction
An inertial navigation system (INS) offers benefits such as concealed, anti-electromagnetic interference, and reliable placement in autonomous scenarios. Nevertheless, its critical limitation lies in the degradation of positioning accuracy with time [1,2]. Many studies have detailed the concept of multi-sensor information fusion, using a strap-down inertial navigation system (SINS), polarized light navigation system (PLNS), and global navigation satellite system (GNSS) to mitigate INS cumulative errors [3,4,5]. Due to the advantages of a geomagnetic navigation system (MNS), which include the lack of accumulation errors in time and distance, studying an INS/MNS navigation system that combines the advantages of both navigation systems is crucial from a strategic standpoint [6]. Research on INS/MNS information fusion has been conducted at Silsoe Institute [7], UK, and Florida Atlantic University [8], USA, with the aim of enhancing navigation accuracy. Due to the measurement errors of gyroscopes, accelerometers, and/or magnetometers inside the MIMU in various studies, sensor fusion algorithms (SFAs) have been proposed to accurately and robustly estimate the 3D orientation [9]. These studies offered important insights for INS/MNS navigation. The current studies focus on exploring the use of various Kalman algorithms to fuse INS/MNS information more efficiently, aiming to optimize the fusion algorithm and minimize errors.
As a widely used optimization estimator, the Kalman filter (KF) is a customary filtering scheme to improve the accuracy of combinatorial navigation. However, it may not provide accurate estimates for nonlinear and non-Gaussian systems, and could lead to biased estimates in the presence of model errors [10]. Approximately 60 years ago, the extended KF (EKF) algorithm was proposed for nonlinear systems [11,12]. The algorithm’s fundamental approach involves linearizing nonlinear transformations; but this process results in significant truncation error and requires computationally intensive calculations of the Jacobi matrix. Therefore, a more stable and accurate nonlinear cubature filter (cubature KF, CKF) was proposed to address various limitations. It uses the multidimensional integrating sphere-radial volume rule to calculate multivariate moment integrals encountered in nonlinear Bayesian filters. The CKF can be applied to solve nonlinear filtering problems throughout a wide spectrum of dimensions, from low to high [13]. Additionally, since the covariance matrix of the measurement noise and process noise has an important effect on the performance of the filter in estimating the dynamic state, an adaptive filtering method based on innovation and residuals adaptively estimates and , making its initial error more robust and improving the dynamic state estimation accuracy [10,14].
In this paper, we propose an adaptive method for adjusting the CKF to have higher robustness and precision; however, in view of recent studies, it has become more important to solve navigation interruptions, such as out-of-lock problems when integrated navigation system-equipped ground vehicles or UAVs pass through environments with weak signals, which results in a scenario in which the INS single mode of operation deteriorates sharply in terms of navigation accuracy [15,16]. There is an increasing interest in utilizing artificial neural network algorithms such as a radial basis function neural network (RBFNN), back-propagation neural network (BPNN), and Temporal Convolutional Network (TCN), to develop models that can effectively map vehicle dynamics (attitude, velocity, or position) based on inputs [17,18]. Nevertheless, some of the aforementioned methods rely on static neural networks, which are challenging to identify with time-series data. In recent years, deep learning has achieved satisfactory performance in time-series prediction [19]. In [20], recurrent neural networks (RNNs) were integrated with UKF to real-time estimate and compensate for the random drift of gyroscopes. However, RNNs have issues with gradient vanishing and gradient exploding when dealing with long time sequences. An RNN-based LSTM model was created to address the issue, outperforming existing neural networks and significantly enhancing prediction accuracy [21,22]. The above discoveries also provide crucial guidance to the research ideas in this paper. This study is significant due to the creation of a scheme framework (IM-NN) that seamlessly integrates the adaptive CKF algorithm with LSTM neural networks for INS/MNS. The contributions of this paper are summarized as follows:
- (1)
- The IMU utilizes the EKF to fuse data from the gyroscope and accelerometer using the quaternion solution method. This process enhances the accuracy and stability of the pitch and roll angles in the attitude information. According to the attitude information obtained by the above method, an adaptive-assisted CKF algorithm is proposed based on innovation and residuals to fuse INS and MNS information, resulting in more accurate heading angle information with less computational effort. The adverse effects of and on the filtering estimation in nonlinear systems are addressed to improve the robustness of the system.
- (2)
- A seamless IM-NN fusion strategy is established to map the nonlinear relationship between sensor measurements during MNS interruption and the fused INS/MNS heading angle. The adaptive-assisted CKF algorithm is used to fuse the INS and MNS data when MNS is accessible to achieve accurate and reliable heading angle information. Simultaneously, the LSTM network is applied to train the INS data and MNS data in order to construct the IM-NN model. When MNS is unavailable, the trained IM-NN model is used to forecast the target output to maintain high navigation accuracy.
The remainder of this paper is organized as follows: In Section 2, the details are provided for the INS/MNS navigation system and the proposed mathematical model using the adaptive-assisted CKF algorithm. And,the process of building a seamless navigation model for IM-NN when faced with MNS disruption is described. In Section 3, validation experiments and simulations are described. Finally, conclusions are presented in Section 4.
2. Methodology
- A.
- INS/MNS Navigation model based on adaptive CKF
This work utilizes the EKF algorithm to initially fuse the IMU measurement data, namely gyroscope and accelerometer information, to calculate the resulting carrier attitude information. This system can accurately estimate roll and pitch information; but due to time drift in the INS, the obtained heading information deviates greatly. Additionally, the performance of the algorithm is compromised by the improper selection of and in the filtering process. To solve this problem, an adaptive CKF combination algorithm based on innovation and residuals is put forth, which incorporates magnetometer data derived from the attitude angle information found in the INS solution.
The proposed adaptive CKF algorithm employs the heading angle and Z-axis offset from the gyroscope solution output as the state quantity and the heading angle calculated using the magnetometer data as the quantity measurement for a posteriori estimation. This algorithm is based on innovation and residuals to optimally estimate the heading information. Its combined navigation block diagram is shown in Figure 1.
Figure 1.
Block diagram of INS/MNS integrated navigation.
The equations describing the equations of state and measurement are expressed as
respectively, where represents the heading angle; is the gyroscope Z-axis offset; is the gyroscope-measured angular velocity; represents the state matrix A, and is measurement matrix H; and T is the update period.
The inclination compensation of the INS output attitude by magnetometer data was used to obtain the actual observations:
where , , and represent the roll, pitch, and heading (yaw), respectively; and , , and are the three-axis data recorded by the magnetometer.
The adaptive CKF procedure is divided into two parts: the time update and observation update. The specific process is as follows:
- (1)
- Time update:
① Calculate and propagate the volume points:
where ; and denotes the state quantity dimension ; is the representative unit matrix; and is the previous state estimate. is the square root of the prior distribution covariance matrix of the state quantity.
② Predict the state:
③ Calculate the a priori error covariance matrix:
④ Calculate the process noise matrix function :
where represents the forgetting factor and, in this paper, is set; is the innovation, that is, the difference between the true measurement and the predicted measurement;
- (2)
- Update the observation:
① Calculate and propagate the volume points:
② Predict the measurement:
③ Calculate the observation noise matrix function :
where is the residual, that is, the difference between the true measurement and the state estimate.
④ Calculate the observed predicted covariance and cross-covariance:
⑤ Calculate the Kalman gain, state update, and corresponding error covariance matrix:
The proposed combined navigation algorithm, adaptive CKF, involves iterating through temporal update and measurement update procedures, as shown in Figure 2. In this paper, the initial estimates for and are provided so that the state estimates can be computed recursively.
Figure 2.
Block diagram of adaptive CKF algorithm.
- B.
- LSTM Neural Network
LSTM outperforms simple RNN by addressing the issue of gradient explosion, resulting in enhanced ability to learn long-term dependencies, as described in [23,24]. An LSTM consists of three types of gate structures, the forget gate, input gate, and output gate, which serve to protect and regulate cell states. The network structure’s makeup is as follows:
- (1)
- The forget gate determines which information to remove from the cell state:
- (2)
- The input gate decides which new information is stored in the cell state:
- (3)
- Update the previous cell status to the new candidate values:
- (4)
- The output gate decides the output correlation value:
- C.
- Seamless IM-NN Fusion Structure
The accuracy of the integrated mathematical model of the INS/MNS navigation system is compromised by MNS disruption due to the system’s nonlinearity and complexity. The proposed seamless IM-NN fusion structure is precisely based on LSTM to build the relational model. This model captures specific force, angular velocity, and heading angular attitude information.
Modeling the relationship between the constructed INS output information and the actual measurement , rather than the misaligned mathematical model, provides valuable insights for enhancing the analysis of intricate nonlinear systems. The input and output can be expressed as
where represent the angular velocity of the tri-axial weight measured by the gyroscope; represent the tri-axial specific force measured by the accelerometer; and represents the measured heading angle.
The proposed seamless IM-NN fusion structure is divided into two mode structures. When the MNS is accessible, the IM-NN structure operates in the training mode structure, as shown in Figure 3a. The heading angle is optimally estimated in adaptive CKF by fusing the heading information provided by the MNS with the attitude information output from the INS solution. Meanwhile, IMU raw data and MNS data are continuously fed into the IM-NN structure based on the LSTM network for prolonged training. This process leads to the development of a dependable input–output relationship model, , by the adjustment of weights among the hidden layer neurons. In the training model of IM-NN, inertia and geomagnetism are still fused according to the adaptive CKF algorithm of Equations (4)–(14).
Figure 3.
(a) Block diagram of integrated INS/MNS navigation based on IM-NN training mode. (b) Block diagram of integrated INS/MNS navigation based on IM-NN prediction model.
When MNS interruption is unavailable, the IM-NN structure switches to the prediction mode, as shown in Figure 3b. The trained IM-NN structure utilizes the current IMU data to predict the pseudo-heading attitude angle. This prediction as measured information is then integrated into the adaptive CKF together with the attitude information from the IMU to obtain the optimal estimate of the heading angle. The seamless IM-NN fusion structure is used to maintain navigation accuracy even in the absence of the MNS signal. In the IM-NN prediction mode, output from the trained model is substituted for in Equation (13) and the seamless fusion process of Equations (4)–(14) is continued.
3. Results
To verify the effectiveness of the proposed seamless IM-NN fusion structure, a self-constructed unmanned vehicle platform is applied, which is equipped with a CMP10A 10-axis attitude sensor. Figure 4 shows the experimental setup and hardware structure. The 10-axis attitude measurement device incorporates a three-axis geomagnetic sensor and IMU. The attitude sensor consists of an accelerometer, a gyroscope, a magnetometer, and a barometer. It has a resolution of 0.0005 (g/LSB) for the acceleration, 0.061 (°/s) for the gyroscope, and 0.0667 (mGauss/LSB) for the magnetometer. A computer receives and displays experimental data and runs the program to achieve the fusion process of the heading angle. The reference heading angle of the test system comes from a high-precision compact optical fiber integrated navigation system (model: SPAN-KVH1750), which has a heading accuracy of 0.035° and a sampling frequency of 100 Hz (root mean square, RMS). Experiments were conducted to confirm the algorithm’s superiority, and six representative methods were proposed for comparison.
Figure 4.
Experimental equipment.
- (1)
- Method 1: Reference system.
- (2)
- Method 2: Pure INS algorithm.
- (3)
- Method 3: EKF INS/MNS algorithm.
- (4)
- Method 4: CKF INS/MNS algorithm.
- (5)
- Method 5: Adaptive CKF INS/MNS algorithm.
- (6)
- Method 6: Adaptive CKF-LSTM INS/MNS algorithm.
The test results are analyzed later in this section.
- A.
- Verification of the Adaptive CKF Algorithm
The test was conducted on 6 April 2023, at 0940 h at 3 College Road, Taiyuan, China (112.45° E, 38.02° N). The CMP10A 10-axis attitude sensor was mounted on the UV in conjunction with the reference system. The experiment began by validating the EKF fusion performance of the pitch and roll information from the IMU (comprising a three-axis gyroscope and three-axis accelerometer). Subsequently, the EKF algorithm fusion process was performed for the collected three-axis gyroscope and three-axis accelerometer data. The comparison effect is shown in Figure 5a,b. The precision and stability of pitch and roll output have been substantially enhanced.

Figure 5.
(a) Pitch angle in INS. (b) Roll angle in INS.
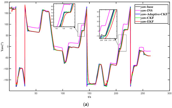
During normal geomagnetic conditions, the tri-axial magnetometer data obtained by the device were fused with the experimental attitude output results in the initial stage using three distinct fusion algorithms for comparison. The heading fusion strategy’s performance was assessed by plotting the heading angle curves of each of the five methods for contrast, as depicted in Figure 6a,b.

Figure 6.
(a) The comparative analysis of the heading angle of the four methods. (b) The comparative analysis of the heading angle error of the four methods.
Method 2 experienced a gradual increase in temporal errors and a decrease in measurement accuracy. Method 3 enhanced heading accuracy by incorporating a magnetometer, but due to the system’s dynamic nonlinear nature, the heading accuracy was lower and diverged more easily compared to the nonlinear fusion algorithm, Method 4. Method 5 enhanced the CKF by using an adaptive method to adjust the Q and R depending on the updated interest rate and residuals, resulting in increased resilience and a notable boost in the accuracy of the heading angle measurement.
To further illustrate the effectiveness of the algorithms used in this paper, the statistical characteristic values of four algorithms are summarized in Table 1. Method 3 showed a 76.93% improvement in heading accuracy compared to Method 2, Method 4 showed an 83.36% improvement, and Method 5 showed an 83.72% improvement. Method 5 proposed in this paper outperformed other fusion algorithms in terms of the numerical characteristics, flexibility, and robustness of the fused heading angle.
Table 1.
Median, Max, Min, and RMS of The Yaw Obtained by Four Methods in The Magnetic Normality Experiment (Unit: °).
- B.
- Verification of the seamless IM-NN integration strategy
To verify the effectiveness of the proposed seamless IM-NN fusion strategy in the presence of geomagnetic disruption, the data collected by the device were split equally into two groups. For the LSTM network, the first 80% of data in each group were used to train the model, while the remaining 20% were used to predict and test it. This approach can capture the basic motion state of the trolley, improving the effectiveness of training the network model. The results of the training and validation analysis are shown in Figure 7a,b.
Figure 7.
(a) LSTM-based training and validation analysis of pre-group data. (b) LSTM-based training and validation analysis of post-group data.
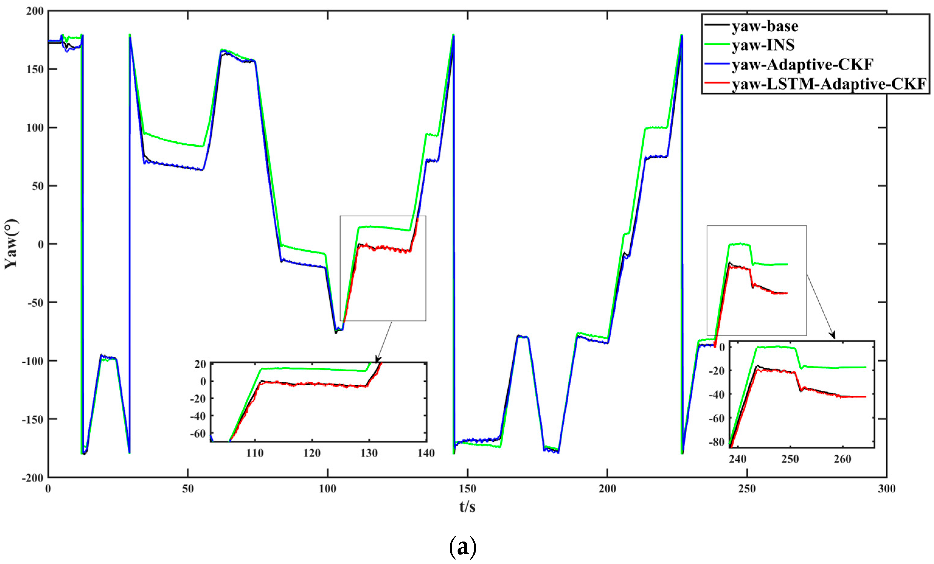
The two groups of predicted data periods were used as the interruption period for the MNS. Method 4 processed data during the MNS normal period, while Method 5 processed forecasted data during the MNS interruption period. Figure 8a,b display the heading angle curves and heading angle error curves of the four ways to assess the performance of the seamless fusion strategy during geomagnetic disruption.

Figure 8.
(a) Analysis of heading angle during periods containing geomagnetic disruptions. (b) Analysis of heading angle errors during periods containing geomagnetic disruptions.
Throughout the interruption, the error progressively grew as only INS was available for the heading analysis, and the LSTM prediction model seamlessly filled the gap caused by the interruption. Table 2 shows the comparative analysis of the statistical characteristic values of Method 6 and pure INS. The results demonstrated that the seamless IM-NN fusion structure effectively suppressed the INS error and improved the heading accuracy in the presence of MNS interruption, outperforming the other four methods.
Table 2.
Median, Max, Min, and Rms of The Yaw Obtained by Two Methods in The Magnetic Anomaly Experiment (Unit: °).
4. Discussion
This study aims to address the issue of error accumulation in standalone INS and the challenges related to fusion optimization and disruption in integrated navigation systems. A new INS/MNS combined navigation system was proposed, utilizing LSTM with an adaptive CKF algorithm. The proposed seamless IM-NN fusion structure developed during MNS data loss correlates current input information with prior model information to compensate for the loss of heading accuracy. Field tests and simulations were performed to confirm the effectiveness of the suggested strategy.
The experimental results demonstrated that the proposed Method 5 fusion algorithm significantly improved heading accuracy compared to Method 2 in magnetic normal environment experiments. Method 3 improved by 76.93%, Method 4 by 83.36%, and Method 5 by 83.72%. In the magnetic anomaly environment experiment, Method 6 increased heading accuracy by 83.50% compared to pure INS Method 2. The results proved that the designed IM-NN based on an LSTM network successfully captured the inherent nonlinear relationship between INS output and heading information, delivering precise navigation information in the event of MNS interruption.
Novel fusion filtering algorithms need to be investigated in the future to further optimize the combined navigation. The proposed IM-NN still has limitations: for example, it can only compensate for the prediction using deep learning network algorithms when the directional accuracy decreases significantly, but the magnitude of the decrease in directional accuracy in the initial stage is small and cannot be detected by active sensing. At the same time, the predicted values output by the deep learning network algorithm are still in error compared to the observed values.
In a future research direction, fault detection algorithms will be considered to assist the deep learning network, and optimized Kalman fusion filtering algorithms will be explored to reduce the error in the nonlinear system of combinatorial navigation and further improve the orientation accuracy of integrated navigation.
Author Contributions
Conceptualization, T.L. and H.Z.; Methodology, T.L., T.Z. and H.Z.; Validation, T.L., T.Z. and C.W.; Investigation, T.Z. and H.Z.; Resources, C.W.; Data curation, T.Z.; Writing—original draft, T.L. and T.Z.; Writing—review & editing, C.W.; Visualization, T.L. and T.Z.; Supervision, C.W.; Project administration, C.W.; Funding acquisition, C.W. All authors have read and agreed to the published version of the manuscript.
Funding
This work was supported in part by the Innovative Research Group Project of National Natural Science Foundation of China (51821003), the Excellent Youth Foundation of Shanxi Province (202103021222011), the key research and development project of Shanxi Province (202202020101002), the fundamental research program of Shanxi Province (202303021211150), the Aviation Science Foundation (2022Z0220U0002), the foundation of the State Key Laboratory of Satellite Navigation System and Equipment Technology (CEPNT-2021KF-08), and the Shanxi Province key laboratory of quantum sensing and precision measurement (201905D121001).
Institutional Review Board Statement
Not applicable.
Informed Consent Statement
Not applicable.
Data Availability Statement
The data that support the findings of this study are available on reasonable request from the corresponding author. The data are not publicly available due to privacy.
Conflicts of Interest
The authors declare that they have no known competing financial interests or personal relationships that could have appeared to influence the work reported in this paper.
References
- Wang, D.; Wang, B.; Huang, H.; Yao, Y.; Xu, X. Robust Filter Method for SINS/DVL/USBL Tight Integrated Navigation System. IEEE Sens. J. 2023, 23, 10912–10923. [Google Scholar] [CrossRef]
- Yao, Y.; Xu, X.; Zhang, T.; Hu, G. An Improved Initial Alignment Method for SINS/GPS Integration with Vectors Subtraction. IEEE Sens. J. 2021, 21, 18256–18262. [Google Scholar] [CrossRef]
- Wu, X.; Cao, H.; Wang, C.; Shen, C.; Tang, J.; Liu, J. Heading Measurement Frame Based on Atmospheric Scattering Beams for Intelligent Vehicle. IEEE Trans. Intell. Transp. Syst. 2024, 1–16. [Google Scholar] [CrossRef]
- Wu, X.; Liu, J.; Shen, C.; Cao, H.; Wang, C.; Tang, J. Vehicle-Mounted Polarization Orientation Strategy Considering Inclined Pavement and Occlusion Conditions. IEEE Trans. Intell. Veh. 2024, 1–12. [Google Scholar] [CrossRef]
- Shen, C.; Xiong, Y.; Zhao, D.; Wang, C.; Cao, H.; Song, X.; Tang, J.; Liu, J. Multi-rate strong tracking square-root cubature Kalman filter for MEMS-INS/GPS/polarization compass integrated navigation system. Mech. Syst. Signal Process. 2021, 163, 108146. [Google Scholar] [CrossRef]
- Zheng, H.; Wang, H.; Wu, L.; Chai, H.; Wang, Y. Simulation Research on Gravity-Geomagnetism Combined Aided Underwater Navigation. J. Navig. 2012, 66, 83–98. [Google Scholar] [CrossRef]
- Smith, R.; Frost, A.; Probert, P. Aspects of heading determination via fusion of inclinometer and magnetometer data. In Proceedings of the 1997 8th International Conference on Advanced Robotics, Monterey, CA, USA, 7–9 July 1997. [Google Scholar]
- Grenon, G.; An, P.; Smith, S.; Healey, A. Enhancement of the Inertial Navigation System for the Morpheus Autonomous Underwater Vehicles. IEEE J. Ocean. Eng. 2001, 26, 548–560. [Google Scholar] [CrossRef]
- Nazarahari, M.; Rouhani, H. Sensor fusion algorithms for orientation tracking via magnetic and inertial measurement units: An experimental comparison survey. Inf. Fusion 2021, 76, 8–23. [Google Scholar] [CrossRef]
- Huang, Y.; Bai, M.; Li, Y.; Zhang, Y.; Chambers, J. An Improved Variational Adaptive Kalman Filter for Cooperative Localization. IEEE Sens. J. 2021, 21, 10775–10786. [Google Scholar] [CrossRef]
- Smith, G.L.; Schmidt, S.F.; McGee, L.A. Application of Statistical Filter Theory to the Optimal Estimation of Position and Velocity on Board a Circumlunar Vehicle; National Aeronautics and Space Administration: Washington, DC, USA, 1962; Volume 135. [Google Scholar]
- Schmidt, S.F. Application of state-space methods to navigation problems. In Advances in Control Systems; Elsevier: Amsterdam, The Netherlands, 1966; Volume 3, pp. 293–340. [Google Scholar]
- Yang, R.; Zhang, A.; Zhang, L.; Hu, Y. A Novel Adaptive H-Infinity Cubature Kalman Filter Algorithm Based on Sage-Husa Estimator for Unmanned Underwater Vehicle. Math. Probl. Eng. 2020, 2020, 1–10. [Google Scholar] [CrossRef]
- Shen, C.; Zhao, X.; Wu, X.; Cao, H.; Wang, C.; Tang, J.; Liu, J. Multi-Aperture Visual Velocity Measurement Method Based on Biomimetic Compound-Eye for UAVs. IEEE Internet Things J. 2023, 11, 11165–11174. [Google Scholar] [CrossRef]
- Zhao, H.; Liu, J.; Chen, X.; Cao, H.; Wang, C.; Li, J.; Shen, C.; Tang, J. Information Monitoring and Adaptive Information Fusion of Multi-Source Fusion Navigation Systems in Complex Environments. IEEE Internet Things J. 2024. [Google Scholar] [CrossRef]
- Liu, Y.; Luo, Q.; Zhou, Y. Deep Learning-Enabled Fusion to Bridge GPS Outages for INS/GPS Integrated Navigation. IEEE Sens. J. 2022, 22, 8974–8985. [Google Scholar] [CrossRef]
- Shen, C.; Zhang, Y.; Tang, J.; Cao, H.; Liu, J. Dual-optimization for a MEMS-INS/GPS system during GPS outages based on the cubature Kalman filter and neural networks. Mech. Syst. Signal Process. 2019, 133, 106222. [Google Scholar] [CrossRef]
- Zhang, X.; Tang, J.; Cao, H.; Wang, C.; Shen, C.; Liu, J. Cascaded Speech Separation Denoising and Dereverberation Using Attention and TCN-WPE Networks for Speech Devices. IEEE Internet Things J. 2024, 11, 18047–18058. [Google Scholar] [CrossRef]
- Sak, H.; Senior, A.; Beaufays, F. Long short-term memory recurrent neural network architectures for large scale acoustic modeling. Proc. Interspeech 2014, 338–342. [Google Scholar] [CrossRef]
- Li, D.; Zhou, J.; Liu, Y. Recurrent-neural-network-based unscented Kalman filter for estimating and compensating the random drift of MEMS gyroscopes in real time. Mech. Syst. Signal Process. 2020, 147, 107057. [Google Scholar] [CrossRef]
- Liu, D.; Chen, X. An ANN-Based Data Fusion Algorithm for INS/CNS Integrated Navigation System. IEEE Sens. J. 2022, 22, 7846–7854. [Google Scholar] [CrossRef]
- Shen, C.; Zhang, Y.; Guo, X.; Chen, X.; Cao, H.; Tang, J.; Li, J.; Liu, J. Seamless GPS/Inertial Navigation System Based on Self-Learning Square-Root Cubature Kalman Filter. IEEE Trans. Ind. Electron. 2020, 68, 499–508. [Google Scholar] [CrossRef]
- Lipton, Z.C.; Berkowitz, J.; Elkan, C. A Critical Review of Recurrent Neural Networks for Sequence Learning. arXiv 2015, arXiv:1506.00019. [Google Scholar]
- Wagstaff, B.; Kelly, J. LSTM-Based Zero-Velocity Detection for Robust Inertial Navigation. In Proceedings of the 2018 International Conference on Indoor Positioning and Indoor Navigation (IPIN), Nantes, France, 24–27 September 2018; pp. 1–8. [Google Scholar]
Disclaimer/Publisher’s Note: The statements, opinions and data contained in all publications are solely those of the individual author(s) and contributor(s) and not of MDPI and/or the editor(s). MDPI and/or the editor(s) disclaim responsibility for any injury to people or property resulting from any ideas, methods, instructions or products referred to in the content. |
© 2024 by the authors. Licensee MDPI, Basel, Switzerland. This article is an open access article distributed under the terms and conditions of the Creative Commons Attribution (CC BY) license (https://creativecommons.org/licenses/by/4.0/).










