Propagation Characteristics of Initial Compression Wave Induced by 400 km/h High-Speed Trains Passing through Very Long Tunnels
Abstract
Featured Application
Abstract
1. Introduction
2. Theoretical Approach
2.1. Governing Equations
2.2. Heat Transfer and Friction Terms
2.3. Initial and Boundary Conditions
2.4. Numerical Calculation Approach
- (1)
- characteristic line
- (2)
- characteristic line
- (3)
- characteristic line
2.5. Validation of the Numerical Approach
3. Comparison of Unsteady Friction Models
4. Results and Discussion
4.1. The Spatiotemporal Variation Characteristics of Pressure and Pressure Gradient during Compression Wave Propagation
4.2. Variation Characteristics of Wavelength of Compression Waves
4.3. Variation Characterization of Pressure Gradient and Amplitude of Compression Wavess
4.4. Effect of Friction Terms
4.5. Effect of Ambient Temperature
4.6. Mitigation Characteristics of Compression Waves Pressure Gradient in Different Tunnel Entrance Hoods
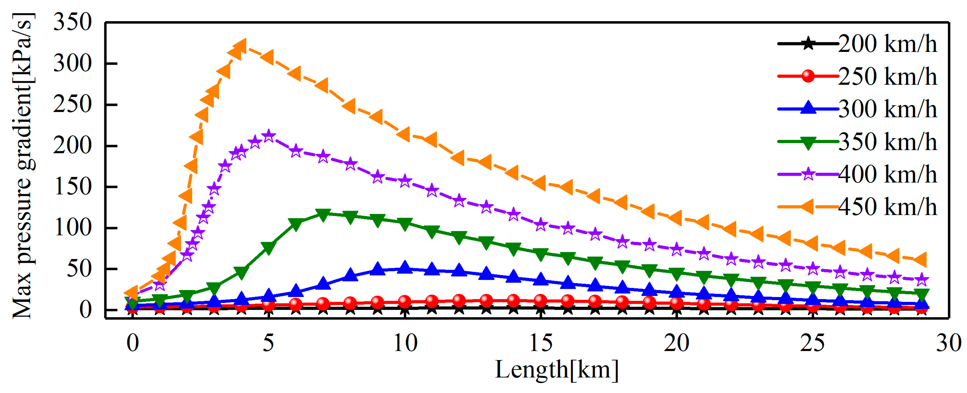
4.7. The Distribution Characteristics of Steepening Critical Distance of Compression Waves at Different Train Speeds
5. Conclusions
- (1)
- When the initial compression waves propagate in very long tunnels, they undergo a steepening phase (characterized by steepening waveform, decreasing wavelength, and increasing pressure gradient) followed by an attenuation phase (characterized by elongation waveform, increasing wavelength, and decreasing pressure gradient). During the steepening phase, the nonlinear effects of the compression waves are stronger than the frictional effects, whereas during the attenuation phase, the opposite is true. Due to the frictional effects, the pressure amplitude decreases continuously during compression wave propagation.
- (2)
- The pressure gradient of the initial compression waves of the type A tunnel entrance hoods and type B tunnel entrance hoods decreased by 32.38% and 68.11%, respectively. This is compared to the case of no tunnel entrance hood. The tunnel entrance hoods not only reduce the pressure gradient of the initial compression waves but also extend the steepening critical distance.
- (3)
- Steady frictional effects primarily reduce the pressure amplitude of compression waves without affecting the steepening process of the compression waves. Unsteady frictional effects alter the waveform of the compression waves, reducing the pressure gradient and suppressing the steepening process of the compression waves. The decrease in ambient temperature increases the nonlinear effects of compression waves, reducing viscous dissipation and resulting in an increased steepening rate and attenuation ratio. The degree of the steepening of compression waves depends on the initial compression waves’ pressure gradient and friction effects. As a train’s speed increases, the steepening critical distance shortens.
- (4)
- The mitigating performance of different tunnel entrance hoods shows a trend of initially increasing and then decreasing with increasing propagation distance. The type A tunnel entrance and type B tunnel entrance hoods achieve maximum reduction rates of 63% and 95%, respectively, at distances of 3 km and 4 km. When assessing the performance of tunnel entrance hoods, it is essential to consider not only their impact on the pressure gradient of initial compression waves but also the propagation characteristics of the initial compression waves in the tunnel. This implies the need to find the optimal matching relationship between tunnel entrance hoods and tunnel length to ensure their mitigating performance is maximized.
Author Contributions
Funding
Institutional Review Board Statement
Informed Consent Statement
Data Availability Statement
Conflicts of Interest
References
- Niu, J.; Sui, Y.; Yu, Q.; Cao, X.; Yuan, Y. Aerodynamics of railway train/tunnel system: A review of recent research. Energy Built Environ. 2020, 1, 351–375. [Google Scholar] [CrossRef]
- Ozawa, S.; Maeda, T.; Matsumura, T.; Uchida, K.; Kajiyama, H.; Tanemoto, K. Countermeasures to reduce micro-pressure waves radiating from exits of Shinkansen tunnels. In Proceedings of the Seventh International Symposium on the Aerodynamics and Ventilation of Vehicle Tunnels, Brighton, UK, 27–29 November 1991. [Google Scholar]
- Sturt, R.; Lynch, P.; Burns, R.; Clark, S.; Horton, B.; Derkowski, P.; Keylin, A.; Wilson, N. Aerodynamic Assessment and Mitigation–Design Considerations for High-Speed Rail; Department of Transportation: Washington, DC, USA, 2022; pp. 221–236. [Google Scholar]
- Mei, Y. High-Speed Railway Tunnel Aerodynamics, 1st ed.; Science Publishers: Beijing, China, 2009; pp. 40–255. [Google Scholar]
- Ozawa, S.; Uchida, T.; Maeda, T. Reduction of micro-pressure wave radiated from tunnel exit by hood at tunnel entrance. Railw. Tech. Res. Inst. Q. Rep. 1978, 19, 77–83. [Google Scholar]
- Ozawa, S. Studies of micro-pressure wave radiated from a tunnel exit. Railw. Tech. Res. Rep. 1979, 1121, 1–92. [Google Scholar]
- Takayama, K.; Sasoh, A.; Onodera, O.; Kaneko, R.; Matsui, Y. Experimental investigation on tunnel sonic boom. Shock Waves 1995, 5, 127–138. [Google Scholar] [CrossRef]
- Murray, P.R.; Howe, M.S. Influence of hood geometry on the compression wave generated by a high-speed train. J. Sound Vib. 2010, 329, 2915–2927. [Google Scholar] [CrossRef]
- Saito, S. Optimizing Cross-Sectional Area of Tunnel Entrance Hood for High-Speed Rail. J. Wind. Eng. Ind. Aerodyn. 2019, 184, 296–304. [Google Scholar] [CrossRef]
- Ma, W.; Fang, Y.; Li, T.; Shao, M. Effects of Hoods at the Entrances and Exits of High-Speed Railway Tunnels on the Micro-Pressure Wave. Appl. Sci. 2024, 14, 692. [Google Scholar] [CrossRef]
- Zhang, J.; Wang, Y.; Han, S.; Wang, F.; Gao, G. A novel arch lattice-shell of enlarged cross-section hoods for micro-pressure wave mitigation at exit of maglev tunnels. Tunn. Undergr. Space Technol. 2023, 132, 104859. [Google Scholar] [CrossRef]
- Wang, T.; Feng, Z.; Lu, Y.; Gong, Y.; Zhu, Y.; Zhao, C.; Wang, Y. Study on the mitigation effect of a new type of connected structure on micro-pressure waves around 400 km/h railway tunnel exit. J. Wind. Eng. Ind. Aerodyn. 2023, 240, 105510. [Google Scholar] [CrossRef]
- Lin, T.; Yang, M.; Zhang, L.; Wang, T.; Zhong, S. Influence of bionics shark gills tunnel portal on the micro-pressure wave at the tunnel exit. Tunn. Undergr. Space Technol. 2024, 144, 105542. [Google Scholar] [CrossRef]
- Kurita, T.; Okumura, Y.; Ichigi, T. Development of train nose shape for reducing micro-pressure waves. JR East Tech. Rev. 2002, 1, 22–28. [Google Scholar]
- Hein, D.; Ehrenfried, K.; Heine, G.; Huntgeburth, S. Experimental and theoretical study of the pressure wave generation in railway tunnels with vented tunnel portals. J. Wind. Eng. Ind. Aerodyn. 2018, 176, 290–300. [Google Scholar] [CrossRef]
- Mashimo, S.; Nakatsu, E.; Aoki, T.; Matsuo, K. Attenuation and Distortion of a Compression Wave Propagating in a High-Speed Railway Tunnel. JSME Int. J. Ser. B Fluids Therm. Eng. 1997, 40, 51–57. [Google Scholar] [CrossRef]
- Mashimo, S.; Nakatsu, E.; Aoki, T.; Funasaki, K.; Matsuo, K. Attenuation and Distorition of Propagating Compression Waves in Shinkansen Tunnel. Eng. Sci. Rep. Kyushu Univ. 1994, 16, 15–22. [Google Scholar]
- Fukuda, T.; Iida, M.; Murata, K. Distortion of Compression Wave Propagating through Slab Track Tunnel with Side Branches. Q. Rep. RTRI 2001, 42, 71–76. [Google Scholar] [CrossRef]
- Fukuda, T.; Ozawa, S.; Iida, M.; Takasaki, T.; Wakabayashi, Y. Distortion of compression wave propagating through very long tunnel with slab tracks. JSME Int. J. Ser. B Fluids Therm. Eng. 2006, 49, 1156–1164. [Google Scholar] [CrossRef]
- Miyachi, T.; Saito, S.; Fukuda, T.; Sakuma, Y.; Ozawa, S.; Arai, T.; Sakaue, S.; Nakamura, S. Propagation characteristics of tunnel compression waves with multiple peaks in the waveform of the pressure gradient: Part 1: Field measurements and mathematical model. Proc. Inst. Mech. Eng. Part F J. Rail Rapid Transit 2016, 230, 1297–1308. [Google Scholar] [CrossRef]
- Miyachi, T.; Ozawa, S.; Iida, M.; Fukuda, T.; Arai, T. Propagation characteristics of tunnel compression waves with multiple peaks in the waveform of the pressure gradient: Part 2: Theoretical and numerical analyses. Proc. Inst. Mech. Eng. Part F J. Rail Rapid Transit 2016, 230, 1309–1317. [Google Scholar] [CrossRef]
- Tielkes, T.; Kaltenbach, H.J.; Hieke, M.; Deeg, P.; Eisenlauer, M. Measures to counter-act micro-pressure waves radiating from tunnel exits of DB’s new Nuremberg-Ingolstadt high-speed line: Noise and Vibration Mitigation for Rail Transportation Systems. In Proceedings of the 9th International Workshop on Railway Noise, Munich, Germany, 4–8 September 2007. [Google Scholar]
- Adami, S.; Kaltenbach, H.J. Sensitivity of the wave-steepening in railway tunnels with respect to the friction model. In Proceedings of the 6th International Colloquium on: Bluff Body Aerodynamics and Applications, Milano, Italy, 20–24 July 2008. [Google Scholar]
- Wu, J.; Shi, X.; Wan, X. Study on intensification and mitigation methods of micro pressure wave of double track tunnel in 300 to 350 km/h high speed railway. China Civ. Eng. J. 2017, 50, 209–214. [Google Scholar]
- Nakamura, S.; Sasa, D.; Aoki, T. Attenuation and distortion of compression waves propagating in very long tube. J. Therm. Sci. 2011, 20, 53–57. [Google Scholar] [CrossRef]
- Okubo, H.; Fukuda, T.; Miyachi, T.; Saito, S. Prediction of the Micro-pressure Waves Using an Unsteady Acoustic Analysis. Q. Rep. RTRI 2020, 61, 278–283. [Google Scholar] [CrossRef]
- Wang, H.; Lei, B.; Bi, H.; Yu, T. Wavefront evolution of compression waves propagating in high speed railway tunnels. J. Sound Vib. 2018, 431, 105–121. [Google Scholar] [CrossRef]
- Iyer, R.S.; Kim, D.H.; Kim, H.D. Propagation characteristics of compression wave in a high-speed railway tunnel. Phys. Fluids 2021, 33, 086104. [Google Scholar] [CrossRef]
- Wang, K.; Xiong, X.; Wen, C.; Chen, G.; Liang, X.; Huang, H.; Wang, J. Formation and propagation characteristics of a weak shock wave in maglev tube. Phys. Fluids 2024, 36, 036120. [Google Scholar] [CrossRef]
- Yoon, T.; Lee, S. Efficient prediction methods for the micro-pressure wave from a high-speed train entering a tunnel using the Kirchhoff formulation. J. Acoust. Soc. Am. 2001, 110, 2379–2389. [Google Scholar] [CrossRef] [PubMed]
- Rivero, J.M.; González-Martínez, E.; Rodríguez-Fernández, M. A methodology for the prediction of the sonic boom in tunnels of high-speed trains. J. Sound Vib. 2019, 446, 37–56. [Google Scholar] [CrossRef]
- Baron, A.; Molteni, P.; Vigevano, L. High-speed trains: Prediction of micro-pressure wave radiation from tunnel portals. J. Sound Vib. 2006, 296, 59–72. [Google Scholar] [CrossRef]
- Zielke, W. Frequency-Dependent Friction in Transient Pipe Flow. J. Base Eng. Trans ASME 1968, 90, 109–115. [Google Scholar] [CrossRef]
- Vardy, A.E.; Brown, J.M. Transient, turbulent, smooth pipe friction. J. Hydraul. Res. 1995, 33, 435–456. [Google Scholar] [CrossRef]
- Trikha, A.K. An Efficient Method for Simulating Frequency-Dependent Friction in Transient Liquid Flow. ASME J. Fluids Eng. 1975, 97, 97–105. [Google Scholar] [CrossRef]
- Vardy, A.E.; Brown, J.M. An overview of wave propagation in tunnels. In TRANSAERO—A European Initiative on Transient Aerodynamics for Railway System Optimisation; Springer: Berlin/Heidelberg, Germany, 2002; pp. 249–266. [Google Scholar]
- Vardy, A.E.; Brown, J.M. Transient turbulent friction in fully rough pipe flows. J. Sound Vib. 2004, 270, 233–257. [Google Scholar] [CrossRef]
- Mohamed, S.G.; Ghidaoui, M.S.; Mansour, S. Efficient treatment of the Vardy–Brown unsteady shear in pipe transients. J. Hydraul. Eng. 2002, 128, 102–112. [Google Scholar]
- Tanaka, T.; Aoki, T. Characteristics of unsteady boundary layer induced by the compression wave propagating in a tunnel. Open J. Fluid Dyn. 2012, 2, 257–263. [Google Scholar] [CrossRef]
- Fukuda, T.; Iida, M.; Maeda, T.; Maeno, K.; Honma, H. Investigation of Compression Wave Propagating in Slab Track Tunnel of High-Speed Railway (1st Report, Field Test and One-Dimensional Numerical Analysis). Jpn. Soc. Mech. Eng. 1998, 64, 1391–1397. [Google Scholar] [CrossRef]
- Liu, Z.; Soper, D.; Hemida, H.; Chen, B. A study of the influence of separation bubbles around a generic freight train on pressure waves inside tunnels using 1D and 3D numerical methods. J. Wind. Eng. Ind. Aerodyn. 2023, 240, 105461. [Google Scholar] [CrossRef]
- Abd El-Rahman, A.I.; Sabry, A.S.; Mobarak, A. Non-linear simulation of single pass perforated tube silencers based on the method of characteristics. J. Sound Vib. 2004, 278, 63–81. [Google Scholar] [CrossRef]
- William-Louis, M.J.P.; Tounier, C. Non-homentropic flow generated by trains in tunnels with side branchs. Int. J. Numer. Methods Heat Fluid Flow 1998, 8, 183–198. [Google Scholar] [CrossRef]
- Woods, W.A.; Pope, C.W. A generalized flow prediction method for the unsteady flow generated by a train in a single tunnel. J. Wind. Eng. Ind. Aerodyn. 1981, 7, 331–360. [Google Scholar] [CrossRef]
- Wang, H. Wavefront Evolution during the Propagation of Compression Wave and Micro-Pressure Wave. Ph.D. Thesis, Southwest Jiaotong University, Chengdu, China, 20 May 2015. [Google Scholar]





























Disclaimer/Publisher’s Note: The statements, opinions and data contained in all publications are solely those of the individual author(s) and contributor(s) and not of MDPI and/or the editor(s). MDPI and/or the editor(s) disclaim responsibility for any injury to people or property resulting from any ideas, methods, instructions or products referred to in the content. |
© 2024 by the authors. Licensee MDPI, Basel, Switzerland. This article is an open access article distributed under the terms and conditions of the Creative Commons Attribution (CC BY) license (https://creativecommons.org/licenses/by/4.0/).
Share and Cite
Wei, K.; Mei, Y.; Sun, Q.; Hu, X. Propagation Characteristics of Initial Compression Wave Induced by 400 km/h High-Speed Trains Passing through Very Long Tunnels. Appl. Sci. 2024, 14, 5946. https://doi.org/10.3390/app14135946
Wei K, Mei Y, Sun Q, Hu X. Propagation Characteristics of Initial Compression Wave Induced by 400 km/h High-Speed Trains Passing through Very Long Tunnels. Applied Sciences. 2024; 14(13):5946. https://doi.org/10.3390/app14135946
Chicago/Turabian StyleWei, Kang, Yuangui Mei, Qi Sun, and Xiao Hu. 2024. "Propagation Characteristics of Initial Compression Wave Induced by 400 km/h High-Speed Trains Passing through Very Long Tunnels" Applied Sciences 14, no. 13: 5946. https://doi.org/10.3390/app14135946
APA StyleWei, K., Mei, Y., Sun, Q., & Hu, X. (2024). Propagation Characteristics of Initial Compression Wave Induced by 400 km/h High-Speed Trains Passing through Very Long Tunnels. Applied Sciences, 14(13), 5946. https://doi.org/10.3390/app14135946
