Featured Application
Elimination of Emerging Pollutants (pesticides) present in effluents from industrial wastewater treatment plants.
Abstract
Emerging pollutants in wastewater pose significant risks to human health and wildlife, particularly due to their persistence in treated effluents from WWTPs. Very recent research has focused on developing new techniques based on advanced oxidation processes using inorganic and organic photocatalysts for treating polluted effluents under visible light. This study investigates a pesticide-removal system utilizing heterogeneous photoactive polymeric materials P2, P3, and P4. These materials, engineered as hydrophilic polymeric microparticles and functionalized with Rose Bengal, have demonstrated efficient singlet oxygen generation and first-order kinetics in the degradation of AHMPD, a pyrimidine fungicide. Given that most studies in the literature have concentrated on urban WWTPs, with less emphasis on industrial wastewater treatment, this research focused on real water samples from the effluent of an industrial WWTP in the agri-food sector, which processes large volumes of citrus and where high concentrations of AHMPD and other pesticides were detected at certain times of the year. The degradation potential of photoactive materials P3 and P4 was evaluated, achieving removal rates of AHMPD up to 85% under conditions of pH = 11 with 48 h of exposure to visible light.
1. Introduction
The escalating concern surrounding emerging pollutants (EPs) in wastewater is primarily due to their substantial risks to human health and wildlife. In contemporary wastewater treatment plants (WWTPs), the persistence of EPs and pathogenic organisms in treated effluents highlights a critical challenge in maintaining the quality of aquatic bodies and ensuring the safety of reused water for humans, animals, and ecosystems [1,2,3]. Traditional treatment methodologies, such as the activated sludge process (secondary treatment) and tertiary processes, including filtration and disinfection, generally fail to effectively eliminate many EPs. These systems are primarily designed to remove conventional pollutants in compliance with existing regulatory standards; consequently, many EPs persist in aquatic ecosystems and reclaimed waters used for irrigation. Recently, substantial scientific efforts have been directed toward developing processes for the removal of EPs from water, employing various techniques such as adsorption, advanced oxidation processes, and photocatalytic methods, among others [4,5,6,7,8,9,10]. Many of these studies have been conducted on individual pollutants in the laboratory, and other efforts have been focused on the elimination of EPs in real wastewater scenarios, especially in urban WWTPs. Concerning industrial wastewater treatment plants (IWWTPs), they have not been as extensively studied; however, interest in them has recently increased [11,12,13].
The line of research in which we have been working recently, the Life Clean Up project [14] (which employs a series of treatment stages including ultrafiltration, adsorption, photocatalysis, desorption, and pulsed light), presents a promising satisfactory result for removal micropollutants as pharmaceuticals, personal care products (PPCPs) and pesticides within urban water treatment settings [15,16,17,18]. However, this technology is not suitable for industrial wastewater due to the limitation of the adsorption stage at the low concentrations of pesticides present in the effluent. Therefore, in this research work, we decided to consider a pesticide-removal system based solely on photocatalysis. For this purpose, previously developed heterogeneous photoactive polymeric materials were recovered and utilized [19,20]. The heterogeneous photocatalysts were engineered as hydrophilic photoactive polymeric microparticles via the polymerization of p-chloromethylstyrene and p-divinylbenzene, followed by covalent functionalization with Rose Bengal and hydrophilic functional groups. These photoactive polymeric microparticles demonstrated efficient photocatalysts capable of generating singlet oxygen upon visible light irradiation and are fully recoverable and effective for subsequent reaction cycles. They have also demonstrated efficacy in photochemical oxidation reactions of 9,10-anthracenedipropionic acid and 2-furoic acid [19], although not yet explored for the oxidation of EPs.
In the field of photoactive micro- or nano-particles, numerous recent and impactful studies can be found in the literature investigating photodegradation and removal of contaminants in urban or industrial wastewater. Particularly noteworthy is the use of inorganic semiconductor materials such as TiO2, Cu2O, and Fe2O3 [6,7,8,21,22,23,24,25]. Generally, the development of these photoactive materials is accompanied by research into their photo-redox mechanisms, the dielectric properties of the materials, or resonant electron transfer mechanisms. In some cases, it also involves novel investigations such as in-process analytical technology characterization techniques (PAT) [26] or the effect of controlling the catalytic activity through the study of the thermal effects of light irradiation and the influence of wavelength and intensity [27]. On the other hand, current studies in the literature have reported the use of organic photocatalysts as an efficient alternative in treating polluted effluents [28]. Furthermore, very recent works describe polymeric materials incorporating Rose Bengal for the efficient degradation of diclofenac [29,30], ofloxacin [30,31], acetaminophen [30], sulfamethoxazole [31] or noscapine [31] under visible light irradiation.
This fact encourages us to undertake the present investigation, in which we aim to validate the application of the described photoactive polymeric materials, which may hold promise for the removal of EPs with aromatic chemical structures. Rose Bengal (RB) will be used as a photosensitizer in this research. RB is a natural xanthene-based compound that exhibits high absorption in the 500–600 nm range and a triplet state (ET = 175 kJ mol−1) that can be completely quenched by oxygen [32]. Rose Bengal is considered a highly efficient photosensitizer for generating singlet oxygen (O2(1Δg)) [33] and demonstrates a high quantum yield (ØΔ) for O2(1Δg) generation in various polar solvents (ranging from 0.73 to 0.78). For example, the ØΔ for RB in water is 0.75 and in methanol 0.76 [34]. Additionally, as previously indicated, it is one of the most widely used molecular photosensitizers for conducting singlet oxygen reactions.
For this purpose, real water samples from an industrial wastewater treatment plant were used and the validation study has been conducted with effluent water of the company. The company belongs to the agri-food sector, specializing in the production of citrus fruit derivatives, and processes 40,000 tons of citrus per year. Its IWWTP is engineered to produce effluent that adheres to the regulatory limits set by authorities for discharge into the sewage network. However, water samples analyzed have identified the presence of fungicides such as 2-amino-4-hydroxy-6-methyl–Pyrimidine (AHMPD), Imazalil, or Thiabendazole at abnormally high concentrations during specific times of the year.
This research work seeks to investigate the ability of these photoactive materials in the degradation of AHMPD, an emerging contaminant with the basic molecular structure of some systemic pyrimidine fungicides [35], through advanced oxidation processes utilizing the singlet state of oxygen. The novelty of this research lies in the fact that, to date, no studies have been conducted on the removal of AHMPD from wastewater originating from urban or industrial WWTPs. However, its photocatalytic mechanism and reaction kinetics in water have been studied using unsupported RB as a photosensitizer [36,37,38].
2. Materials and Methods
2.1. Synthesis and Characterization of Photoactive Polymers
The photoactive polymeric materials used as photosensitizers in this research are based on the procedure first described by D. C. Neckers [39], where Rose Bengal is covalently anchored to chloromethylated styrenic resins. The hydrophilic properties of the new materials are achieved by introducing two hydrophilic functional groups into the polymer matrix: ethylenediamine and γ-gluconolactone, according to the work first described by J. M. J. Fréchet [40]. The experimental procedure for the synthesis of these polymers is described in detail in the previously described work [19]. Below is a summary of the polymer preparation procedure.
The synthesis of these materials consists of several stages. In the first stage, the copolymerization between p-chloromethylstyrene (CME, monomer) and p-divinylbenzene (DVB, crosslinking agent) is carried out. In a subsequent stage, starting from this synthesized polymer (P1), Rose Bengal is anchored in the polymer matrix (P2), and finally, systems that impart hydrophilicity, such as ethylenediamine (EDA) and γ-gluconolactone (γ-GL), are incorporated with the aim of developing photoactive polymeric materials for application in aqueous media (P3 and P4). The polymer P1 (composed of CME and DVB) is not photoactive, as it lacks RB in its polymer matrix. In contrast, P2, P3, and P4, which do contain covalently bound RB in their structure, can be used as supported polymeric photocatalysts. The structural difference between them is based on the incorporation of ethylenediamine (P3 and P4) and γ-gluconolactone (P4).
All commercially available reagents and solvents were used: p-chloromethylstyrene (Sigma, Burlington, MA, USA, 90%), divinylbenzene (DVB; Fluka, Buchs, Switzerland, ~80% mixture of isomers; the residual is composed mainly of 1,3- and 1,4-ethylstyrene isomers), 2,2′-azobis(isobutyronitrile) (AIBN; Sigma, ≥98.0%), Rose Bengal sodium salt (Fluka), tetrabutylammonium hydroxide solution ~25% in MeOH (~0.8 M) (TBAOH solution; Fluka), ethylenediamine (Sigma, ≥99%), γ-gluconolactone (Sigma, ≥99%), 9,10-anthracenedipropionic acid (ADPA; Aldrich, Burlington, MA, USA, ≥98.0%), 2-furoic acid (Merck, Rahway, NJ, USA, ≥99%), 1-dodecanol (Aldrich, 98%), tetrahydrofuran (Scharlab, Barcelona, Spain, synthesis grade), ethyl acetate (Scharlab, synthesis grade), ethanol (Scharlab, 96%), methanol (Scharlab, synthesis grade), methanol (Scharlab, spectroscopy grade), 1,4-dioxane (Panreac, Barcelona, Spain, spectroscopy grade), toluene (Scharlab, synthesis grade) and N,N′-dimethylformamide (treated previously with anhydrous MgSO4).
For this research, the complete characterization of the materials was replicated [19]. The polymer characterization process consists of three stages. The first stage corresponds to the study of the polymerization process, which has been carried out through characterization by FT-IR spectroscopy, FT-Raman spectroscopy, and TGA of the polymer matrices. The second part involves the study of the optical properties of the polymers due to the covalent anchoring of RB to the matrix. This study has been conducted using UV–Vis absorption spectroscopy, fluorescence emission, and excitation spectroscopy, the determination of the amount of RB in the polymer matrix, and the determination of the particle size of the polymers using granulometric analysis techniques and scanning electron microscopy (SEM). All these procedures are described in more detail in the previous work [19].
Finally, the characterization section involves the ability to generate singlet oxygen. The singlet oxygen generation capacity of the materials was determined by analyzing the photo-oxidation kinetics of anthracene-9,10-dipropionic acid (ADPA) in Milli-Q water. For each polymer, 40 mg of the photosensitizer was added to 10 mL of the ADPA solution (1.2 × 10−4 M) in a test tube. The heterogeneous mixture was stirred and equilibrated with air. The test tubes were irradiated at room temperature with a 50 W halogen lamp positioned 2 cm from the light source. Experiments with the polymers in the dark were also conducted under the same conditions to evaluate possible substrate adsorption on the polymeric photocatalyst. Additionally, control experiments for P1–P4 were performed under the same conditions without a photosensitizer by irradiation of ADPA alone and using Rose Bengal (5 µM) as the photosensitizer. The photo-oxidation reaction of ADPA was monitored using UV–Vis spectrophotometry over 60 min by measuring the decrease in the ADPA absorption band at 398 nm. The procedure for measuring ADPA conversion at each time point involved stopping the reaction by turning off the lamp and recording the absorption spectrum of a 1 mL aliquot. The aliquot was then returned to the reaction medium, and the reaction was resumed by turning the lamp back on.
2.2. Photo-Oxidation Kinetics of AHMPD with Polymers P2, P3, and P4 as Photosensitizers
The photo-oxidation rate of AHMPD was studied for the photosensitizers P2–P4 in aqueous solutions at pH = 7 and pH = 11. In each experiment, 40 mg of the photosensitizer was added to 10 mL of the AHMPD solution (5 × 10−6 M) in a test tube. The heterogeneous mixture was kept under agitation and in equilibrium with air. The test tubes were irradiated at room temperature with a 125 W medium–pressure Hg vapor lamp, which was surrounded by an aqueous solution of FeCl3 (0.1 M) used as a filter for wavelengths below 450 nm. The tubes were placed at a distance of 2 cm from the solution. Control experiments were conducted with the polymers in the dark to evaluate any possible adsorption of the substrate to the polymeric photocatalyst. Additional controls were performed under the same conditions but without any photosensitizer (irradiation of the substrate alone) and using Rose Bengal (5 µM) as the photosensitizer. The photo-oxidation reaction of AHMPD was monitored using a UV–Vis spectrophotometer by measuring the decrease of the band at 270 nm. The procedure used for measuring the degradation of AHMPD at each specific time involved stopping the reaction by turning off the lamp and extracting an aliquot (100 µL of the reaction mixture diluted to a volume of 5 mL with the corresponding solvent). The reaction was then reactivated by turning the lamp back on.
2.3. AHMPD Degradation Studies with P3 and P4 Polymers as Photosensitizers in Industrial WWTP Samples
To evaluate the degradation of AHMPD in real samples, the effluents from an industrial wastewater treatment plant (IWWTP) of a Spanish company in the agri-food sector, specifically dedicated to the production of citrus derivatives, will be used. This company processes 40,000 tons of citrus per year, including 7000 tons of organic citrus. About 90% of this amount is utilized for lemon-derived products such as juices, concentrates, pulp, peel flakes, fibers, and essential oils. The remaining 10% is allocated to other citrus fruits like orange, tangerine-clementine, and grapefruit. The facility operates two production lines: one for juices, concentrates, and fruit cells and another for essential oils. Both lines consume water and produce wastewater. The company’s total water consumption ranges between 20,000 and 30,000 m3/year, with approximately 90% becoming wastewater. This wastewater, a mixture from the two production processes, is treated at the IWWTP before being discharged into the sewer system. The IWWTP is designed to produce an effluent that meets regulatory discharge limits. It includes the following stages: reception, pre-treatment, cavitation air flotation system, homogenization, biological treatment, effluent homogenization, and sludge treatment. For this research, experiments utilized two samples of the effluents from this IWWTP.
The photocatalytic reactions (employing an Hg vapor lamp) and the monitoring of AHMPD degradation (via UV–Vis spectrophotometry at 270 nm) were conducted according to the previously established protocol, with all samples pre-adjusted to pH = 11.
3. Results and Discussion
3.1. Synthesis and Characterization of Photoactive Polymers
The complete synthesis and characterization of the materials were replicated according to the previous work [19], yielding the same results concerning the physical characterization (FT-IR, FT-Raman, particle size, SEM microscopy, etc.), the study of their optical properties (UV–Vis absorption spectroscopy, fluorescence spectroscopy) and the determination of the amount of Rose Bengal in the polymer matrix. In Figure 1, the synthesis process of each polymer, as well as the functional groups introduced into the structure, is illustrated.
Figure 1.
Chemical composition of polymers P1–P4 and their schematic synthesis process.
The following are the results obtained from the characterization of each photoactive material: P1: FT-IR (cm−1): 3018, 2917, 1629, 1425, 1265, 906, 795, 707. FT-Raman (cm−1): 3058, 2906, 1631, 1408, 1267, 1181, 1001. The decomposition temperature is 500–510 °C, and the average particle diameter is 24.2 µm. P2: FT-IR (cm−1): 3020, 2920, 1625, 1453, 1266, 902, 794, 709. FT-Raman (cm−1): 3054, 2907, 1627, 1411, 1266, 1180, 1003. The decomposition temperature is 500–510 °C, UV–Vis absorption (λmax, nm): 571, fluorescence emission (λmax, nm): 602 (λex = 572 nm), Rose Bengal loading: 2 μmol RB g−1 resin, and the average particle diameter is 28.1 µm. P3: FT-IR (cm−1): 3358, 3046, 2921, 1619, 1447, 990, 906, 798, 713. FT-Raman (cm−1): 3055, 2903, 1632, 1407, 1315, 1179, 1105, 1003, 803. The decomposition temperature is 500–510 °C, UV–Vis absorption (λmax, nm): 561, fluorescence emission (λmax, nm): 593 (λex = 564 nm), Rose Bengal loading: 2 μmol RB g−1 resin, and the average particle diameter is 24.5 µm. P4: FT-IR (cm−1): 3367, 3056, 2928, 1628, 1451, 1081, 902, 804, 704. FT-Raman (cm−1): 3055, 2903, 1634, 1408, 1307, 1188, 1086, 1001, 930, 803. The decomposition temperature is 500–510 °C, UV–Vis absorption (λmax, nm): 562, fluorescence emission (λmax, nm): 591 (λex = 564 nm), Rose Bengal loading: 2 μmol RB g−1 resin, and the average particle diameter is 28.8 µm.
No leaching of Rose Bengal (RB) was observed in any of the polymers. Figure 2 presents the absorption spectra for polymers P2–P4, as well as RB in Milli-Q water solution. The absorption maxima for the polymeric materials are observed between 562 nm and 571 nm. These values are consistent with those previously obtained [19] and those reported in the literature for covalently anchored RB on styrenic resins [41]. Although the absorption spectrum of RB-containing polymers is analogous to that of the dye in an aqueous solution, all polymers exhibit broader spectra compared to free Rose Bengal. Furthermore, the maximum absorption spectrum of the polymer matrices is shifted to higher wavelengths compared to free RB (λmax = 557 nm), with P3 and P4 between 561 and 562 nm and P2 at 571 nm.
Figure 2.
Illustration of the normalized UV–Vis absorption spectra for polymers P1–P4 and Rose Bengal (Milli-Q water, 6 µM).
Finally, it should be noted that polymers P2–P4 proved to be efficient in generating singlet oxygen, as demonstrated by experiments conducted on the oxidation kinetics of ADPA. The results of the generation efficiency are presented in the following section.
3.2. Study of the Photo-Oxidation Kinetics of AHMPD with Polymers P2, P3, and P4 as Photosensitizers
The ability of polymers P2–P4 was tested in the photodegradation reaction of AHMPD, where the absorption of AHMPD (5 × 10−6 M) was monitored at 270 nm as a function of time using photosensitizers P2, P3, and P4. The experiments were conducted at pH = 7 and pH = 11. Control experiments performed in the dark and in the absence of a photosensitizer showed no adsorption of the compound on the polymers nor degradation of AHMPD by direct irradiation in any case. According to the literature, the degradation of AHMPD by singlet oxygen produced by Rose Bengal follows a first-order kinetic pattern and has been studied in an aqueous solution. The experimental evidence suggests a charge-transfer-mediated mechanism involving the formation of an initial encounter excited complex [36].
In this context, first-order kinetics were determined for P2, P3, and P4 by fitting the value of the absorption maximum at 270 nm as a function of time (AHMPD, 5 × 10−6 M) and the experiments were carried out for both pH = 7 and pH = 11 media. The irradiation was performed using a 125 W medium–pressure Hg vapor lamp, which was surrounded by an aqueous solution of FeCl3 (0.1 M) used as a filter for wavelengths below 450 nm in order to avoid the degradation of AHMPD by direct photolysis, as well as the possible degradation of Rose Bengal by the action of the UV fraction of the light emitted by the lamp. It is noteworthy that the results obtained with respect to the decrease in the UV–Vis AHMPD absorption band (Figure 3) are comparable to those reported in the literature.
Figure 3.
Decreasing absorption band of AHMPD (5 × 10−6 M, pH = 11) at 270 nm using P2 as photosensitizer.
On the other hand, the results also confirmed first-order kinetics in all cases; however, the reaction time was significantly slower than that reported in the reference work with unsupported RB, with reaction times in minutes instead of hours, as in the case of P2–P4. [36]. The results obtained for first-order kinetics are presented in Figure 4.
Figure 4.
First-order kinetics for P2, P3, and P4 (measured in wavelength absorption maximum at 270 nm) in pH = 11.
The first-order kinetics values are presented in Table 1 with the observed rate constants (kobs) obtained by fitting the conversion data over time (first-order kinetics) and the final conversions achieved for each photosensitizer at pH = 7 and pH = 11.
Table 1.
Conversions and first-order constants for P1, P2, and P3 (t = 48 h).
As observed, the degradation is significantly more effective at pH = 11, achieving a conversion of 84% after 48 h of reaction with photosensitizer P4. Additionally, polymers P3 and P4 exhibit higher performance than P2, which demonstrates the efficacy of grafting with ethylenediamine and γ-gluconolactone to improve the hydrophilicity of the polymeric matrices, compared to the nonpolar polymers P1 and P2, these results are comparable to prior research [19,20].
In addition to testing the ability of P2–P4 to promote the degradation of AHMPD in aqueous solutions at pH = 7 and pH = 11, the ability to generate singlet oxygen was also studied for the three photosensitizers as a control. For this purpose, the model reaction of anthracene-9,10-dipropionic acid photo-oxidation to form ADPA-O2 endoperoxide, which is widely studied in aqueous media, was performed (1.2 × 10−4 M in Milli-Q water). This reaction was previously utilized for the same polymers in the prior work [19], and it has long been used as a control [42]. The results obtained are also presented in Table 2 and are consistent with those reported in the previous study.
Table 2.
Effectiveness of polymers P1–P4 in the photo-oxidation of AHMPD (pH = 7 and pH = 11) and singlet oxygen generation was measured with the model reaction of ADPA oxidation.
Table 2 presents the relative effectiveness of polymers P1–P4 in both reaction media with different pH. The reaction at pH = 11 is more efficient because the photo-oxidation mechanism is favored in an alkaline environment, as will be explained later. The differences in the photooxidative capacity of polymers P2–P4 are attributed to the varying hydrophilic properties of each structure, with more favorable results in the more hydrophilic polymers, P3 and P4, respectively. The introduction of the functional group γ-gluconolactone, in addition to ethylenediamine, provides greater hydrophilicity and increases the reaction efficiency by approximately 10% for AHMPD in both media (pH = 7 and pH = 11) for P4. However, in experiments that evaluate the singlet oxygen generation capacity for the photo-oxidation of ADPA, both P3 and P4 exhibit similar capacities. Finally, it is worth mentioning that in all cases, both controls—the P1 polymer (without RB) and the experiments conducted in the dark—did not result in any photo-oxidation reactions. Additionally, no leaching was observed in any of the polymers and recyclability experiments of polymers P3 and P4 showed no loss of photocatalytic capacity over five reaction cycles.
3.3. Interpretation of the Photocatalytic Mechanism for the Photo-Oxidation of AHMPD Using Rose of Bengal
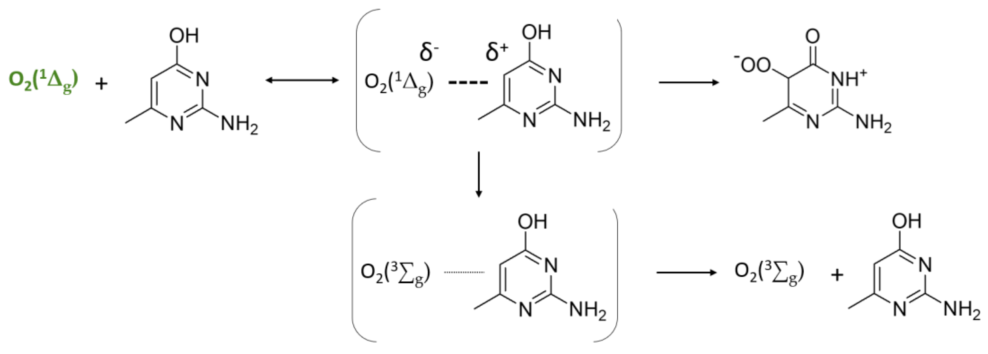
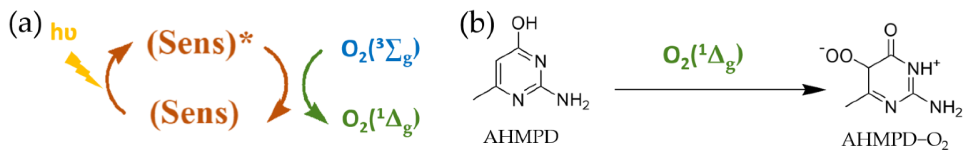
According to the literature, the photo-oxidation reaction of AHMPD-type pyrimidines through sensitization can be summarized as follows. The first step is the excitation of the photosensitizer (Figure 5a). When Rose Bengal absorbs visible light (500–600 nm), it transitions from its ground state (RB or Sens) to an excited singlet state (RB* or Sens*), and singlet oxygen (O2(1Δg)) is generated from the ground state molecular oxygen (O2(3∑g)). Next, the oxidation of AHMPD occurs to form a zwitterionic compound that can be identified as AHMPD+O2 (Figure 5b), formerly proposed by Dixon and Wells [43] and corroborated by García [36]. In this work, we have not analyzed the products of the sensitized photo-oxidation of AHMPD and rely on the mechanisms described in the literature. However, it is considered that the divalent ionic compound product of the oxidation is susceptible to being separated from the recovered water via electrodialysis or chemical precipitation.
Figure 5.
Illustration of the possible primary photo-oxidation of AHMPD [36,43] for the degradation of the pollutant AHMPD using singlet oxygen (b) generated from a photosensitizer excited with visible light (hν) (a).
On the other hand, it is known that in O2(1Δg)-mediated photooxidations of compounds possessing aromatic OH groups, the overall O2(1Δg) quenching increases in higher polarity of the solvent and is favored with the OH group in the ionized form [44]. Additionally, García, who was the first to study the photo-oxidation reaction of AHMPD, also proposes a mechanism involving an intermediate complex with partial charge transfer between singlet oxygen and AHMPD during the photo-oxidation process [36] (Figure 6).
Figure 6.
Quenching of singlet molecular oxygen O2(1Δg) by AHMPD.
In the presence of alkali, the OH-ionized form predominates, and the reaction with O2(1Δg) is favored. This fact explains the increase in efficiency of the photo-oxidation process at pH = 11. Nevertheless, the reaction also occurs, albeit less favorably, at pH = 7; this is due to the presence of 2-amino and, especially, 6-methyl groups, which increases the electron donor ability of the substrate and, consequently, favors the generation of the charge transfer-mediated encounter complex.
Regarding the effect of the supported photosensitizers, it is worth noting that RB was one of the first photosensitizers used in the heterogeneous phase, with pioneers A. P. Schaap and D. C. Neckers being the first to covalently anchor it to low-crosslinked chloromethylated polystyrene resins [39,45,46]. The photo-oxidation mechanism of supported RB is the same as that of free RB, as it has only been immobilized on support to achieve heterogeneity in photocatalysis, ensuring its recovery and reuse. Previous studies have already demonstrated that for polymers P2–P4 (which contain RB immobilized in their structure), the mechanism of action is the same as that of molecular RB [19,20].
On the other hand, novel strategies can be pursued in future work with these materials to increase the reaction kinetics. For example, recent studies describe improved mechanisms to enhance the efficiency in the rate of dye in the presence of semiconductor nanostructures with dielectric Mie resonances [47], displaying links between the scattering and carrier dynamics [48]. Moreover, the molecular control of the charge-transfer process using an interface and local field engineering strategies [49] may also be of interest and evaluated in future work.
3.4. AHMPD Degradation Studies with P3 and P4 Polymers as Photosensitizers in Industrial WWTP Samples
To evaluate the actual degradation capacity of AHMPD in real samples, two effluent samples from the IWWTP were utilized. The detected concentrations of the pesticide were abnormally high in both samples, at 0.027 ppm and 0.016 ppm, respectively. These concentrations were measured by GC-MS/MS according to the analytical data provided by the IWWTP manager. These dates correspond to high-production campaigns for the agri-food company.
Based on the previously obtained results, degradation tests of AHMPD were conducted using both real water samples. Photosensitizers P3 and P4 were employed for these tests, with experiments performed with the sample brought at pH = 11. The AHMPD analytical results of the samples are presented in Table 3.
Table 3.
Degradation rates for AHMPD with P3 and P4 in Sample 1 and Sample 2, pH = 11.
The experiments were conducted in quintuplicate for each of the samples, resulting in a total of 20 experiments, as the degradation kinetics for P3 and P4 were evaluated for each sample. In all cases, the kinetic constants were calculated and were also found in first-order kinetics. Additionally, the percentage of AHMPD degradation was calculated and monitored by UV–Vis at the absorption maximum of 270 nm. Table 3 presents the degradation percentage, accompanied by the standard deviation. Figure 7 shows a comparison of the AHMPD degradation rates between the initial control samples used for the first-order kinetic calculations of P2, P3, and P4 and the experiments conducted on the real samples using P3 and P4.
Figure 7.
Comparison of the AHMPD degradation rate between the initial control samples for the kinetic calculations conducted for P2, P3, and P4 and for the experiments in both real samples of P3 and P4.
The degradation percentages in industrial effluent samples are comparable to those observed in the initial tests for kinetic calculations for both P3 and P4. Notably, P4 also exhibits higher degradation percentages. These results are significant as they demonstrate degradation monitored via UV–Vis in both real samples, as a typical issue with IWWTP effluent samples is the interference in spectroscopy due to the possible presence of organic matter; however, the pH = 11 of the reaction medium could favor the elimination of these potential interferences. Regarding the reaction kinetics for these samples, they were also slow, with reaction times similar to those observed in previous experiments at 5 × 10−6 M (equivalent to 625 ppm). It is important to highlight that these two samples exhibit high concentrations of this pesticide. Although the current legislation does not mandate the company to conduct such analyses for determining EPs, they occasionally do. Consequently, the frequency of AHMPD presence in the effluent waters of the IWWTP and the underlying reasons remain unclear, likely due to the pesticide’s use at specific times in the citrus farms supplying the company.
4. Conclusions
The photoactive polymeric materials exhibit the capacity to degrade AHMPD in real effluent samples from an IWWTP at 85% at best. The hydrophilic design of the polymers enhances the photooxidative capability, as demonstrated by photosensitizers P3 and P4. Therefore, the use of these photosensitizers is suggested for future studies due to their effectiveness in aqueous media. Although an 85% degradation rate is high, there is room for improvement because control experiments have shown that polymers P3 and P4 achieved over 99% ADPA oxidation rates. Moreover, future research should focus on improving the kinetics and evaluating the removal efficiency of other pesticide EPs occasionally detected in the IWWTP analytics (such as Imazalil, Thiabendazole, Pyrimethanil, and Metalaxyl), which are present at concentrations similar to AHMPD in some analyses of specific periods. Although the degradation kinetics of AHMPD are slower compared to the literature, AHMPD was selected for this initial evaluation due to its suitability for UV–Vis monitoring, consistent with the previous studies using the same photosensitizers. These findings should be viewed as a preliminary approach and proof of concept. This study demonstrates that sensitized photo-oxidation is an alternative pathway for the environmental or programmed degradation of pyrimidine-type or N-heteroaromatic compounds, especially in their ionized form by OH, paving the way for the application of these polymeric materials—or an improvement of these photosensitizers—as degrading agents for environmental contaminants.
Supplementary Materials
The following supporting information can be downloaded at: https://www.mdpi.com/article/10.3390/app14146308/s1, Characterization of P1–P4 polymers by spectroscopy FT-IR and FT-Raman: spectroscopy P1, spectroscopy P2, spectroscopy P3 and spectroscopy P4; legend for FT-IR (Fourier Transform Infrared Spectroscopy): percentage transmittance (%T) as a function of frequency (cm−1), legend for FT-Raman (Fourier Transform Raman Spectroscopy): Raman intensity in arbitrary units as a function of frequency (cm−1); Characterization of P1–P4 polymers by thermogravimetric analysis (TGA): ATG P1–P4; legend: black curve is percentage weight loss as a function of temperature, blue curve (TGA curve) is percentage weight loss as a function of time, red curve (DTG curve) is the first derivative of the TGA curve.
Funding
This research was funded by the Spanish Ministry of Science and Innovation through the State Investigation Agency with the Torres Quevedo industrial postdoctoral program PTQ2020-011517.
Data Availability Statement
Data is contained within the article and Supplementary Materials.
Acknowledgments
The author wishes to express their gratitude to their PhD thesis supervisors at Universitat Jaume I for their mentorship. It was during this period when the design of the polymeric materials was first conducted; the synthesis and characterization process has been replicated in this work for the specific use of photo-oxidation of contaminants in IWWTP.
Conflicts of Interest
The author declares no conflict of interest.
References
- Arman, N.Z.; Salmiati, S.; Aris, A.; Salim, M.R.; Nazifa, T.H.; Muhamad, M.S.; Marpongahtun, M. A review on emerging pollutants in the water environment: Existences, health effects and treatment processes. Water 2021, 13, 3258. [Google Scholar] [CrossRef]
- Patel, N.A.V.E.E.N.; Khan, M.D.; Shahane, S.; Rai, D.; Chauhan, D.; Kant, C.; Chaudhary, V.K. Emerging pollutants in aquatic environment: Source, effect, and challenges in biomonitoring and bioremediation-a review. Pollution 2020, 6, 99–113. [Google Scholar]
- Morin-Crini, N.; Lichtfouse, E.; Liu, G.; Balaram, V.; Ribeiro, A.R.L.; Lu, Z.; Crini, G. Worldwide cases of water pollution by emerging contaminants: A review. Environ. Chem. Lett. 2022, 20, 2311–2338. [Google Scholar] [CrossRef]
- Vasilachi, I.C.; Asiminicesei, D.M.; Fertu, D.I.; Gavrilescu, M. Occurrence and fate of emerging pollutants in water environment and options for their removal. Water 2021, 13, 181. [Google Scholar] [CrossRef]
- Lima, E.C. Removal of emerging contaminants from the environment by adsorption. Ecotoxicol. Environ. Saf. 2018, 150, 1–17. [Google Scholar]
- Shahid, M.K.; Kashif, A.; Fuwad, A.; Choi, Y. Current advances in treatment technologies for removal of emerging contaminants from water–A critical review. Coord. Chem. Rev. 2021, 442, 213993. [Google Scholar] [CrossRef]
- Madureira, J.; Melo, R.; Margaça, F.M.; Verde, S.C. Ionizing radiation for treatment of pharmaceutical compounds: A review. J. Water Process Eng. 2022, 49, 103179. [Google Scholar] [CrossRef]
- Rathi, B.S.; Kumar, P.S.; Show, P.L. A review on effective removal of emerging contaminants from aquatic systems: Current trends and scope for further research. J. Hazard. Mater. 2021, 409, 124413. [Google Scholar] [CrossRef] [PubMed]
- Chatterjee, D.; Dasgupta, S. Visible light induced photocatalytic degradation of organic pollutants. J. Photochem. Photobiol. C Photochem. Rev. 2005, 6, 186–205. [Google Scholar] [CrossRef]
- Marin, M.L.; Santos-Juanes, L.; Arques, A.; Amat, A.M.; Miranda, M.A. Organic photocatalysts for the oxidation of pollutants and model compounds. Chem. Rev. 2012, 112, 1710–1750. [Google Scholar] [CrossRef]
- Motamedi, M.; Yerushalmi, L.; Haghighat, F.; Chen, Z. Recent developments in photocatalysis of industrial effluents: A review and example of phenolic compounds degradation. Chemosphere 2022, 296, 133688. [Google Scholar] [CrossRef] [PubMed]
- Madureira, J.; Barros, L.; Cabo Verde, S.; Margaça, F.M.; Santos-Buelga, C.; Ferreira, I.C. Ionizing radiation technologies to increase the extraction of bioactive compounds from agro-industrial residues: A review. J. Agric. Food Chem. 2020, 68, 11054–11067. [Google Scholar] [CrossRef] [PubMed]
- Madureira, J.; Margaça, F.M.; Santos-Buelga, C.; Ferreira, I.C.; Verde, S.C.; Barros, L. Applications of bioactive compounds extracted from olive industry wastes: A review. Compr. Rev. Food Sci. Food Saf. 2022, 21, 453–476. [Google Scholar] [CrossRef] [PubMed]
- Life Clean Up. Available online: https://www.lifecleanup.eu/ (accessed on 1 July 2024).
- Rizzi, V.; Gubitosa, J.; Fini, P.; Petrella, A.; Romita, R.; Agostiano, A.; Cosma, P. A “classic” material for capture and detoxification of emergent contaminants for water purification: The case of tetracycline. Environ. Technol. Innov. 2020, 19, 100812. [Google Scholar] [CrossRef]
- Rizzi, V.; Romita, R.; Gómez, V.M.; Gubitosa, J.; Gabaldón, J.A.; Fortea, M.I.; Gómez, T.; Cosma, P.; Fini, P. The synergistic action of cyclodextrin-based adsorbent and advanced oxidation processes for sulfamethoxazole removal from water. Int. J. Environ. Sci. Technol. 2022, 19, 10663–10676. [Google Scholar] [CrossRef]
- Gubitosa, J.; Mongiovi, C.; Romita, R.; Cosma, P.; Nuzzo, S.; Rizzi, V.; Fini, P. Removal of emerging contaminants from water using cyclodextrin-based polymers and advanced oxidation processes: The case of carbamazepine. Processes 2022, 10, 1703. [Google Scholar] [CrossRef]
- Fabregat, V.; Pagán, J.M. Technical–Economic Feasibility of a New Method of Adsorbent Materials and Advanced Oxidation Techniques to Remove Emerging Pollutants in Treated Wastewater. Water 2024, 16, 814. [Google Scholar] [CrossRef]
- Fabregat, V.; Burguete, M.I.; Galindo, F. Singlet oxygen generation by photoactive polymeric microparticles with enhanced aqueous compatibility. Environ. Sci. Pollut. Res. 2014, 21, 11884–11892. [Google Scholar] [CrossRef]
- Fabregat, V.; Burguete, M.I.; Luis, S.V.; Galindo, F. Improving photocatalytic oxygenation mediated by polymer supported photosensitizers using semiconductor quantum dots as ‘light antennas’. RSC Adv. 2017, 7, 35154–35158. [Google Scholar] [CrossRef]
- Bruckmann, F.S.; Schnorr, C.; Oviedo, L.R.; Knani, S.; Silva, L.F.; Silva, W.L.; Bohn Rhoden, C.R. Adsorption and photocatalytic degradation of pesticides into nanocomposites: A review. Molecules 2022, 27, 6261. [Google Scholar] [CrossRef]
- Saien, J.; Khezrianjoo, S. Degradation of the fungicide carbendazim in aqueous solutions with UV/TiO2 process: Optimization, kinetics and toxicity studies. J. Hazard. Mater. 2008, 157, 269–276. [Google Scholar] [CrossRef] [PubMed]
- Tirumala, R.T.A.; Gyawali, S.; Wheeler, A.; Ramakrishnan, S.B.; Sooriyagoda, R.; Mohammadparast, F.; Andiappan, M. Structure–property–performance relationships of cuprous oxide nanostructures for dielectric Mie resonance-enhanced photocatalysis. ACS Catal. 2022, 12, 7975–7985. [Google Scholar] [CrossRef]
- Ashar, A.; Qayyum, A.; Bhatti, I.A.; Aziz, H.; Bhutta, Z.A.; Abdel-Maksoud, M.A.; Eletmany, M.R. Photo-Induced Super-Hydrophilicity of Nano-Calcite@ Polyester Fabric: Enhanced Solar Photocatalytic Activity against Imidacloprid. ACS Omega 2023, 8, 35722–35737. [Google Scholar] [CrossRef] [PubMed]
- Gyawali, S.; Tirumala, R.T.A.; Andiappan, M.; Bristow, A.D. Size-and shape-dependent charge-carrier dynamics in sub-micron cuprous oxide nanoparticles. In Frontiers in Optics; Optica Publishing Group: Washington, DC, USA, 2022; p. JTu4A-86. [Google Scholar]
- Mohammadparast, F.; Tirumala, R.T.A.; Ramakrishnan, S.B.; Dadgar, A.P.; Andiappan, M. Operando UV–Vis spectroscopy as potential in-line PAT system for size determination of functioning metal nanocatalysts. Chem. Eng. Sci. 2020, 225, 115821. [Google Scholar] [CrossRef]
- Addanki Tirumala, R.T.; Khatri, N.; Ramakrishnan, S.B.; Mohammadparast, F.; Khan, M.T.; Tan, S.; Andiappan, M. Tuning Catalytic Activity and Selectivity in Photocatalysis on Mie-Resonant Cuprous Oxide Particles: Distinguishing Electromagnetic Field Enhancement Effect from the Heating Effect. ACS Sustain. Chem. Eng. 2023, 11, 15931–15940. [Google Scholar] [CrossRef]
- Blázquez-Moraleja, A.; Cabezuelo, O.; Martinez-Haya, R.; Schmidt, L.C.; Bosca, F.; Marin, M.L. Organic photoredox catalysts: Tuning the operating mechanisms in the degradation of pollutants. Pure Appl. Chem. 2023, 95, 899–912. [Google Scholar] [CrossRef]
- Blázquez-Moraleja, A.; Moya, P.; Marin, M.L.; Bosca, F. Synthesis of novel heterogeneous photocatalysts based on Rose Bengal for effective wastewater disinfection and decontamination. Catal. Today 2023, 413, 113948. [Google Scholar] [CrossRef]
- Flores, J.; Moya, P.; Bosca, F.; Marin, M.L. Photoreactivity of new rose bengal-SiO2 heterogeneous photocatalysts with and without a magnetite core for drug degradation and disinfection. Catal. Today 2023, 413, 113994. [Google Scholar] [CrossRef]
- Blázquez-Moraleja, A.; Bosio, A.; Gamba, S.; Bosca, F.; Marin, M.L. Covalent or ionic bonding of Eosin Y to silica: New visible-light photocatalysts for redox wastewater remediation. J. Environ. Chem. Eng. 2023, 11, 111024. [Google Scholar] [CrossRef]
- Redmond, R.W.; Gamlin, J.N. A compilation of singlet oxygen yields from biologically relevant molecules. Photochem. Photobiol. 1999, 70, 391–475. [Google Scholar] [CrossRef]
- Lambert, C.R.; Kochevar, I.E. Does rose bengal triplet generate superoxide anion? J. Am. Chem. Soc. 1996, 118, 3297–3298. [Google Scholar] [CrossRef]
- Neckers, D.C. Rose bengal. J. Photochem. Photobiol. A Chem. 1989, 47, 1–29. [Google Scholar] [CrossRef]
- Marsh, R.W. (Ed.) Systemic Fungicides; CABI Digital Library: London, UK, 1972. [Google Scholar]
- Pajares, A.; Gianotti, J.; Stettler, G.; Haggi, E.; Miskoski, S.; Criado, S.; García, N.A. Kinetics of the dye sensitized photooxidation of 2-amino-4-hydroxy-6-methylpyrimidine, a model compound for some fungicides. J. Photochem. Photobiol. A Chem. 2000, 135, 207–212. [Google Scholar] [CrossRef]
- Haggi, E.; Bertolotti, S.; Miskoski, S.; Amat-Guerri, F.; García, N.A. Environmental photodegradation of pyrimidine fungicides Kinetics of the visible-light-promoted interactions between riboflavin and 2-amino-4-hydroxy-6-methylpyrimidine. Can. J. Chem. 2002, 80, 62–67. [Google Scholar] [CrossRef]
- Afroz, Z.; Faizan, M.; Alam, M.J.; Rodrigues, V.H.N.; Ahmad, S.; Ahmad, A. Synthesis, structural, hirshfeld surface, spectroscopic studies and quantum chemical calculation of the proton transfer complex between 2-amino-4-hydroxy-6-methylpyrimidine and salicylic acid. J. Mol. Struct. 2018, 1171, 438–448. [Google Scholar] [CrossRef]
- Tamagaki, S.; Liesner, C.E.; Neckers, D.C. Polymer-based sensitizers for photochemical reactions. Silica gel as a support. J. Org. Chem. 1980, 45, 1573–1576. [Google Scholar] [CrossRef]
- Wang, Q.C.; Svec, F.; Frechet, J.M. Hydrophilization of porous polystyrene-based continuous rod column. Anal. Chem. 1995, 67, 670–674. [Google Scholar] [CrossRef] [PubMed]
- Paczkowska, B.; Paczkowski, J.; Neckers, D.C. Heterogeneous and semiheterogeneous photosensitization: Photochemical processes using derivatives of rose bengal. Macromolecules 1986, 19, 863–870. [Google Scholar] [CrossRef]
- Lindig, B.A.; Rodgers, M.A.; Schaap, A.P. Determination of the lifetime of singlet oxygen in water-d2 using 9, 10-anthracenedipropionic acid, a water-soluble probe. J. Am. Chem. Soc. 1980, 102, 5590–5593. [Google Scholar] [CrossRef]
- Dixon, S.R.; Wells, C.H. Dye-sensitised photo-oxidation of 2-dimethylamino-5, 6-dimethylpyrimidin-4-01 in aqueous solution. Pestic. Sci. 1983, 14, 444–448. [Google Scholar] [CrossRef]
- García, N.A. New trends in photobiology: Singlet-molecular-oxygen-mediated photodegradation of aquatic phenolic pollutants. A kinetic and mechanistic overview. J. Photochem. Photobiol. B Biol. 1994, 22, 185–196. [Google Scholar] [CrossRef]
- Schaap, A.P.; Thayer, A.L.; Blossey, E.C.; Neckers, D.C. Polymer-Based Sensitizers for Photooxidations. II. J. Am. Chem. Soc. 1975, 97, 3741–3745. [Google Scholar] [CrossRef]
- Blossey, E.C.; Neckers, D.C.; Thayer, A.L.; Schaap, A.P. Polymer-based sensitizers for photooxidations. J. Am. Chem. Soc. 1973, 95, 5820–5822. [Google Scholar] [CrossRef]
- Addanki Tirumala, R.T.; Ramakrishnan, S.B.; Mohammadparast, F.; Khatri, N.; Arumugam, S.M.; Tan, S.; Andiappan, M. Structure–property–performance relationships of dielectric Cu2O nanoparticles for Mie resonance-enhanced dye sensitization. ACS Appl. Nano Mater. 2022, 5, 6699–6707. [Google Scholar] [CrossRef]
- Gyawali, S.; Tirumala, R.T.A.; Loh, H.; Andiappan, M.; Bristow, A.D. Photocarrier Recombination Dynamics in Highly Scattering Cu2O Nanocatalyst Clusters. J. Phys. Chem. C 2024, 128, 2003–2011. [Google Scholar] [CrossRef]
- Boerigter, C.; Aslam, U.; Linic, S. Mechanism of charge transfer from plasmonic nanostructures to chemically attached materials. ACS Nano 2016, 10, 6108–6115. [Google Scholar] [CrossRef]
Disclaimer/Publisher’s Note: The statements, opinions and data contained in all publications are solely those of the individual author(s) and contributor(s) and not of MDPI and/or the editor(s). MDPI and/or the editor(s) disclaim responsibility for any injury to people or property resulting from any ideas, methods, instructions or products referred to in the content. |
© 2024 by the author. Licensee MDPI, Basel, Switzerland. This article is an open access article distributed under the terms and conditions of the Creative Commons Attribution (CC BY) license (https://creativecommons.org/licenses/by/4.0/).






