EGS-YOLO: A Fast and Reliable Safety Helmet Detection Method Modified Based on YOLOv7
Abstract
1. Introduction
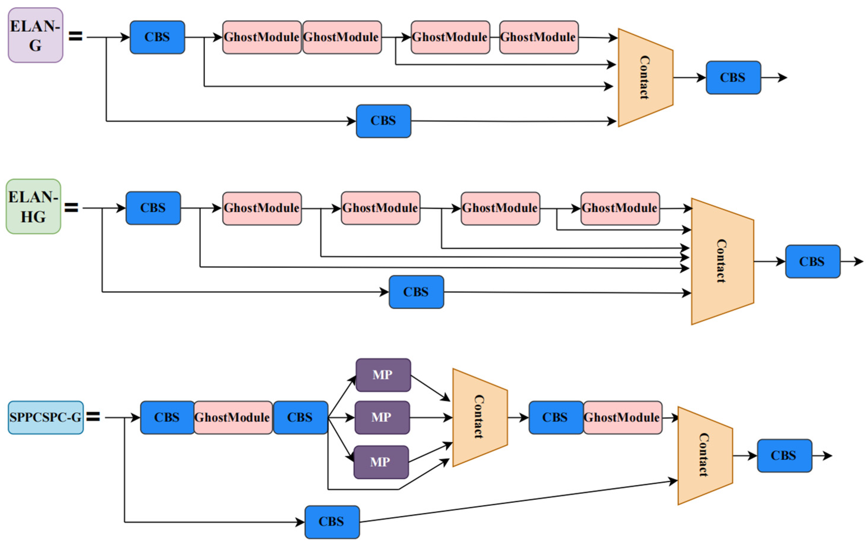
- Based on YOLOv7 [16], to increase the model’s inference speed and decrease parameters, part of the CBS modules are replaced with GhostModule to compose efficient structures. After comparing it with several other lightweight modules, GhostModule was selected. Reducing computing costs.
- To enhance the feature extraction performance of the model in complex contexts, the SE attention mechanism is adopted into the model. This allows the model to focus on worthwhile information in the image without compromising inference speed. After comparing it with several other attention mechanisms, SE was selected.
- To accelerate the model’s convergence, the EIOU loss function is introduced. This helps the model focus on the difference between the width and height of the object in the image rather than the aspect ratio.
2. YOLOv7 Object Detection Algorithm
2.1. Object Detection Algorithm
2.2. YOLOv7 Structure
3. Proposed Method EGS-YOLO
3.1. GhostModule
3.2. SE (Squeeze and Excitation Block)
3.3. EIOU Loss
4. Experiment
4.1. Dataset
4.2. Experimental Setup
4.3. Evaluation Index
4.4. Experiment Results
4.4.1. Experimentation and Selection of Attention Mechanism
4.4.2. Experimentation and Selection of Lightweight Modules
4.4.3. Ablation Experiment
4.4.4. Comparative Experiment
5. Conclusions
Author Contributions
Funding
Institutional Review Board Statement
Informed Consent Statement
Data Availability Statement
Acknowledgments
Conflicts of Interest
References
- Park, M.-W.; Elsaft, N.; Zhu, Z. Hardhat-wearing detection for enhancing on-site safety of construction workers. J. Constr. Eng. Manag. 2015, 141, 04015024. [Google Scholar] [CrossRef]
- Kelm, A.; Laußat, L.; Meins-Becker, A.; Platz, D.; Khazaee, M.J.; Costin, A.M. Mobile passive radio frequency identification (RFID) portal for automated and rapid control of personal protective equipment (PPE) on con-struction sites. Autom. Constr. 2013, 36, 38–52. [Google Scholar] [CrossRef]
- Barro-Torres, S.; Fernández-Caramés, T.M.; Pérez-Iglesias, H.J.; Escudero, C.J. Real-time personal protective equipment monitoring system. Comput. Commun. 2012, 36, 42–50. [Google Scholar] [CrossRef]
- Dong, S.; He, Q.; Li, H.; Yin, Q. Automated PPE Misuse Identification and Assessment for Safety Performance Enhancement. In Proceedings of the ICCREM, Lulea, Sweden, 11–12 August 2015; Volume 2015, pp. 204–214. [Google Scholar] [CrossRef]
- Sun, X.; Xu, K.; Wang, S. Detection and tracking of safety helmet in factory environment. Meas. Sci. Technol. 2021, 32, 105406. [Google Scholar] [CrossRef]
- Fang, Q.; Li, H.; Luo, X.; Ding, L.; Luo, H.; Rose, T.M.; An, W. Detecting non-hardhatuse by a deep learning method from far-field surveillance videos. Autom. Constr. 2018, 85, 1–9. [Google Scholar] [CrossRef]
- Zhao, L.; Tohti, T.; Hamdulla, A. BDC-YOLOv5: A helmet detection model employs improved YOLOv5. Signal Image Video Process. 2023, 17, 4435–4445. [Google Scholar] [CrossRef]
- Hayat, A.; Morgado-Dias, F. Deep Learning-Based Automatic Safety Helmet Detection System for Construction Safety. Appl. Sci. 2022, 12, 8268. [Google Scholar] [CrossRef]
- Li, Z.; Xie, W.; Zhang, L.; Lu, S.; Xie, L. Toward Efficient Safety Helmet Detection Based on YoloV5 with Hierarchical Positive Sample Selection and Box Density Filtering. IEEE Trans. Instrum. Meas. 2022, 71, 2508314. [Google Scholar] [CrossRef]
- Li, X.; Hao, T.; Li, F.; Zhao, L.; Wang, Z. Faster R-CNN-LSTM Construction Site Unsafe Behavior Recognition Model. Appl. Sci. 2023, 13, 10700. [Google Scholar] [CrossRef]
- Fu, Z.; Ling, J.; Yuan, X.; Li, H.; Li, H.; Li, Y. Yolov8n-FADS: A Study for Enhancing Miners’ Helmet Detection Accuracy in Complex Underground Environments. Sensors 2024, 24, 3767. [Google Scholar] [CrossRef] [PubMed]
- Barlybayev, A.; Amangeldy, N.; Kurmetbek, B.; Krak, I.; Razakhova, B.; Tursynova, N. Personal protective equipment detection using YOLOv8 architecture on object detection benchmark datasets: A comparative study. Cogent Eng. 2024, 11, 2333209. [Google Scholar] [CrossRef]
- He, C.; Tan, S.; Zhao, J.; Ergu, D.; Liu, F.; Ma, B.; Li, J. Efficient and Lightweight Neural Network for Hard Hat Detection. Electronics 2024, 13, 2507. [Google Scholar] [CrossRef]
- Xu, H.; Wu, Z. MCX-YOLOv5: Efficient helmet detection in complex power warehouse scenarios. J. Real-Time Image Proc. 2024, 21, 27. [Google Scholar] [CrossRef]
- Otgonbold, M.-E.; Gochoo, M.; Alnajjar, F.; Ali, L.; Tan, T.-H.; Hsieh, J.-W.; Chen, P.-Y. SHEL5K: An Extended Dataset and Benchmarking for Safety Helmet Detection. Sensors 2022, 22, 2315. [Google Scholar] [CrossRef] [PubMed]
- Wang, C.; Bochkovskiy, A.; Liao, H.M. YOLOv7: Trainable bag-of-freebies sets new state-of-the-art for real-time object detectors. In Proceedings of the 2023 IEEE/CVF Conference on Computer Vision and Pattern Recognition (CVPR), Vancouver, BC, Canada, 18–22 June 2023; pp. 7464–7475. [Google Scholar]
- Girshick, R.; Donahue, J.; Darrell, T. Rich feature hierarchies for accurate object detection and semantic segmentation. In Proceedings of the IEEE Conference on Computer Vision and Pattern Recognition, 23–28 June 2014; pp. 580–587. [Google Scholar] [CrossRef]
- Girshick, R. Fast R-CNN. In Proceedings of the IEEE International Conference on Computer Vision, Santiago, Chile, 7–13 December 2015; pp. 1440–1448. [Google Scholar] [CrossRef]
- Ren, S.; He, K.; Girshick, R.; Sun, J. Faster R-CNN: Towards Real-Time Object Detection with Region Proposal Networks. In Proceedings of the IEEE Transactions on Pattern Analysis and Machine Intelligence, Montreal, QC, Canada, 7–12 December 2015. [Google Scholar] [CrossRef]
- Liu, W.; Anguelov, D.; Erhan, D.; Szegedy, C. SSD: Single Shot MultiBox Detector. In Computer Vision—ECCV 2016; Springer: Cham, Switzerland, 2016. [Google Scholar]
- Redmon, J.; Divvala, S.; Girshick, R. You only look once: Unified, real-time object detection. In Proceedings of the IEEE Conference on Computer Vision and Pattern Recognition, Las Vegas, NV, USA, 27–30 June 2016; pp. 779–788. [Google Scholar]
- Howard, A.G.; Zhu, M.; Chen, B.; Kalenichenko, D.; Wang, W.; Weyand, T. Mobilenets: Efficient convolutional neural networks for mobile vision applications. arXiv 2017, arXiv:1704.04861. [Google Scholar]
- Sandler, M.; Howard, A.; Zhu, M.; Zhmoginov, A.; Chen, L.C. Mobilenetv2: Inverted residuals and linear bottlenecks. In Proceedings of the IEEE Conference on Computer Vision and Pattern Recognition, Salt Lake City, UT, USA, 18–23 June 2018; pp. 4510–4520. [Google Scholar]
- Howard, A.; Sandler, M.; Chu, G.; Chen, L.-C.; Chen, B.; Tan, M. Searching for mobilenetv3. In Proceedings of the 2019 IEEE/CVF International Conference on Computer Vision (ICCV 2019), Seoul, Republic of Korea, 27 October–2 November 2019. [Google Scholar]
- Tan, M.; Le, Q. Efficientnetv2: Smaller models and faster training. In Proceedings of the International Conference on Machine Learning (ICML), Virtual Event, 18–24 July 2021; pp. 10096–10106. [Google Scholar]
- Nascimento, M.G.D.; Prisacariu, V.; Fawcett, R. DSConv: Efficient Convolution Operator. In Proceedings of the 2019 IEEE/CVF International Conference on Computer Vision (ICCV), Seoul, Republic of Korea, 27 October–2 November 2019; pp. 5147–5156. [Google Scholar] [CrossRef]
- Chen, J.; Kao, S.-H.; He, H.; Zhuo, W.; Wen, S.; Lee, C.H. Run, Don’t Walk: Chasing Higher FLOPS for Faster Neural Networks. arXiv 2023, arXiv:2303.03667. [Google Scholar]
- Han, K.; Wang, Y.; Tian, Q. Ghostnet: More features from cheap operations. In Proceedings of the IEEE/CVF Conference on Computer Vision and Pattern Recognition (CVPR), Seattle, WA, USA, 13–19 June 2020; pp. 1580–1589. [Google Scholar]
- Hassanin, M.; Anwar, S.; Radwan, I.; Khan, F.; Mian, A. Visual attention methods in deep learning: An in-depth survey. Inf. Fusion 2024, 108, 102417. [Google Scholar] [CrossRef]
- Hu, J.; Shen, L.; Sun, G. Squeeze-and-excitation networks. In Proceedings of the IEEE Conference on Computer Vision and Pattern Recognition, Salt Lake City, UT, USA, 18–23 June 2018; pp. 7132–7141. [Google Scholar]
- Zhu, X.; Cheng, D.; Zhang, Z.; Lin, S.; Dai, J. An Empirical Study of Spatial Attention Mechanisms in Deep Networks. In Proceedings of the 2019 IEEE/CVF International Conference on Computer Vision (ICCV), Seoul, Republic of Korea, 27 October–2 November 2019; pp. 6687–6696. [Google Scholar]
- Woo, S.; Park, J.; Lee, J.Y. CBAM: Convolutional block attention module. In Proceedings of the European Conference on Computer Vision (ECCV), Munich, Germany, 8–14 September 2018; Lecture Notes in Computer Science. IEEE: Piscataway, NJ, USA, 2018; pp. 3–19. [Google Scholar]
- Zheng, Z.; Wang, P.; Liu, W.; Li, J.; Ye, R.; Ren, D. Distance-iou loss: Faster and better learning for bounding box regression. In Proceedings of the AAAI Conference on Artificial Intelligence, New York, NY, USA, 7–12 February 2020; Volume 34, pp. 12993–13000. [Google Scholar] [CrossRef]
- Zhang, Y.F.; Ren, W.; Zhang, Z. Focal and efficient iou loss for accurate bounding box regression. Neurocomputing 2022, 506, 146–157. [Google Scholar] [CrossRef]

















| Parameter | Configuration |
|---|---|
| CPU | Xeon (R) Platinum 8255C |
| GPU | RTX 3090 (24 G) |
| System environment | ubuntu20.04 |
| Acceleration environment | CUDA11.3 |
| Language | Python3.8 |
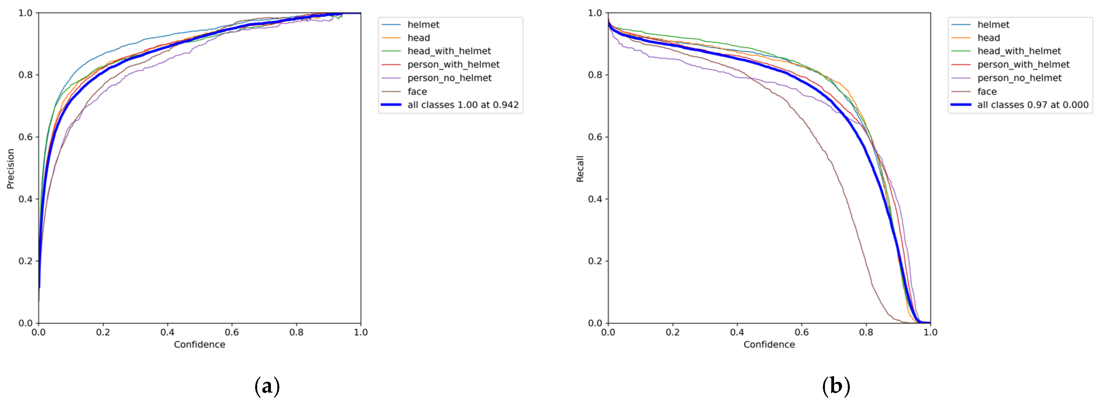
| Name | Precision (%) | Recall (%) | mAP@0.5 (%) |
|---|---|---|---|
| Helmet | 93.3 | 87.5 | 92.9 |
| Head | 90.4 | 86.8 | 92.1 |
| Head with helmet | 89.8 | 88.8 | 93.2 |
| Person with helmet | 90.6 | 85.6 | 92.7 |
| Person no helmet | 86.1 | 79 | 86.9 |
| Face | 89.3 | 80.4 | 88.8 |
| All | 89.9 | 84.7 | 91.1 |
| Method | mAP@0.5 (%) | Params (M) | FLOPs (G) | Inference (ms) | Size (MB) |
|---|---|---|---|---|---|
| Baseline | 90.9 | 36.5 | 103.2 | 4.5 | 74.9 |
| +SE | 91.6 | 36.8 | 103.6 | 4.5 | 75.5 |
| +CBAM | 91.1 | 36.8 | 103.8 | 14.9 | 75.5 |
| +SimAM | 91.4 | 36.5 | 103.3 | 15.1 | 74.9 |
| +SHUFFLE | 91.1 | 36.5 | 103.3 | 10.1 | 74.9 |
| +CA | 91.2 | 36.8 | 103.8 | 19.5 | 75.4 |
| Method | mAP@0.5 (%) | Params (M) | FLOPs (G) | Inference (ms) | Size (MB) |
|---|---|---|---|---|---|
| Baseline | 90.9 | 36.5 | 103.2 | 4.5 | 74.9 |
| +GhostModule | 90.1 | 22.6 | 68.0 | 3.9 | 47.2 |
| +PConv | 90.4 | 24.4 | 72.3 | 4.3 | 50.7 |
| +DSConv | 87.7 | 23.4 | 65.6 | 3.8 | 55.4 |
| +MBConv | 90.5 | 25.3 | 75.0 | 4.9 | 52.7 |
| Method | mAP@0.5 (%) | Params (M) | FLOPs (G) | Inference (ms) | Size (MB) |
|---|---|---|---|---|---|
| Baseline | 90.9 | 36.5 | 103.2 | 4.5 | 74.9 |
| +GhostModule | 90.1 | 22.6 | 68.0 | 3.9 | 47.2 |
| +GhostModule + SE | 90.6 | 22.9 | 68.3 | 3.9 | 47.8 |
| +GhostModule + EIOU | 90.7 | 22.6 | 68.0 | 3.9 | 47.2 |
| +GhostModule + EIOU + SE | 91.1 | 22.9 | 68.3 | 3.9 | 47.8 |
| Method | mAP@0.5 (%) | Params (M) | FLOPs (G) | Inference (ms) | Size (MB) |
|---|---|---|---|---|---|
| YOLOv3 | 87.1 | 61.5 | 154.6 | 10.2 | 123.6 |
| Faster R-CNN | 41.3 | 108 | 137 | 30 | 108.9 |
| YOLOv5m | 86.6 | 20.9 | 47.9 | 7.0 | 42.3 |
| YOLOv5l | 87 | 46.1 | 107.7 | 9.5 | 92.9 |
| YOLOv5x | 87.3 | 86.2 | 203.9 | 13.9 | 173.2 |
| YOLOv7 | 90.9 | 36.5 | 103.2 | 4.5 | 74.9 |
| YOLOv8m | 89.4 | 25.8 | 78.7 | 7.2 | 52.1 |
| Barlybayev et al. [12] | 89.6 | × | × | × | × |
| Otgonbold et al. [15] | 88.28 | 36.9 | × | × | × |
| EGS-YOLO | 91.1 | 22.9 | 68.3 | 3.9 | 47.8 |
Disclaimer/Publisher’s Note: The statements, opinions and data contained in all publications are solely those of the individual author(s) and contributor(s) and not of MDPI and/or the editor(s). MDPI and/or the editor(s) disclaim responsibility for any injury to people or property resulting from any ideas, methods, instructions or products referred to in the content. |
© 2024 by the authors. Licensee MDPI, Basel, Switzerland. This article is an open access article distributed under the terms and conditions of the Creative Commons Attribution (CC BY) license (https://creativecommons.org/licenses/by/4.0/).
Share and Cite
Han, J.; Li, Z.; Cui, G.; Zhao, J. EGS-YOLO: A Fast and Reliable Safety Helmet Detection Method Modified Based on YOLOv7. Appl. Sci. 2024, 14, 7923. https://doi.org/10.3390/app14177923
Han J, Li Z, Cui G, Zhao J. EGS-YOLO: A Fast and Reliable Safety Helmet Detection Method Modified Based on YOLOv7. Applied Sciences. 2024; 14(17):7923. https://doi.org/10.3390/app14177923
Chicago/Turabian StyleHan, Jianfeng, Zhiwei Li, Guoqing Cui, and Jingxuan Zhao. 2024. "EGS-YOLO: A Fast and Reliable Safety Helmet Detection Method Modified Based on YOLOv7" Applied Sciences 14, no. 17: 7923. https://doi.org/10.3390/app14177923
APA StyleHan, J., Li, Z., Cui, G., & Zhao, J. (2024). EGS-YOLO: A Fast and Reliable Safety Helmet Detection Method Modified Based on YOLOv7. Applied Sciences, 14(17), 7923. https://doi.org/10.3390/app14177923
