Mesostructural Model for the Fatigue Analysis of Open-Cell Metal Foams
Abstract
1. Introduction
2. Metal Foam
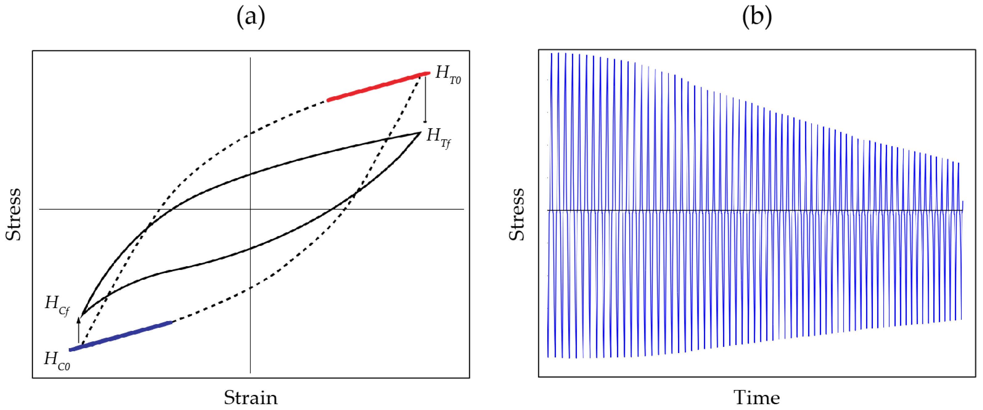
3. Proposed Model
4. Application and Validation of the Proposed Model
5. Conclusions
Author Contributions
Funding
Institutional Review Board Statement
Informed Consent Statement
Data Availability Statement
Conflicts of Interest
References
- Taherishargh, M.; Katona, B.; Fiedler, T.; Orbulov, I.N. Fatigue properties of expanded perlite/aluminum syntactic foams. J. Compos. Mater. 2017, 51, 773–781. [Google Scholar] [CrossRef]
- Dineshkumar, J.; Jesudas, T.; Elayaraja, R. Characteristics, applications and processing of aluminium foams—A Review. Mater. Today Proc. 2021, 42, 1773–1776. [Google Scholar] [CrossRef]
- Behymer, N.; Morsi, K. Review: Closed-Cell Metallic Foams Produced via Powder Metallurgy. Metals 2023, 13, 959. [Google Scholar] [CrossRef]
- Smith, B.H.; Szyniszewski, S.; Hajjar, J.F.; Schafer, B.W.; Arwade, S.R. Characterization of steel foams for structural components. Metals 2012, 2, 399–410. [Google Scholar] [CrossRef]
- Banhart, J.; Seeliger, H.W. Aluminium foam sandwich panels: Manufacture, metallurgy and applications. Adv. Eng. Mater. 2008, 10, 793–802. [Google Scholar] [CrossRef]
- Cardoso, E.; Oliveira, B. Study of the use of metallic foam in a vehicle for an energy-economy racing circuit. Mater. Werkst. 2010, 41, 257–264. [Google Scholar] [CrossRef]
- Marin, E.; Fedrizzi, L.; Zagra, L. Porous metallic structures for orthopaedic applications: A short review of materials and technologies. Eur. Orthop. Traumatol. 2010, 1, 103–109. [Google Scholar] [CrossRef]
- Smith, B.; Szyniszewski, S.; Hajjar, J.; Schafer, B.; Arwade, S. Steel foam for structures: A review of applications, manufacturing and material properties. J. Constr. Steel Res. 2012, 71, 1–10. [Google Scholar] [CrossRef]
- Kalpakoglou, T.; Yiatros, S. Metal foams: A review for mechanical properties under tensile and shear stress. Front. Mater. 2022, 9, 998673. [Google Scholar] [CrossRef]
- Ashby, M.; Evans, A.; Fleck, N.; Gibson, L.; Hutchinson, J.; Wadley, H. Metal foams a design guide, Butter worth Heinemann. United States Am. 2000, 1, 119. [Google Scholar]
- Silva, M.J.; Gibson, L.J. The effects of non-periodic microstructure and defects on the compressive strength of two-dimensional cellular solids. Int. J. Mech. Sci. 1997, 39, 549–563. [Google Scholar] [CrossRef]
- McCullough, K.Y.G.; Fleck, N.A.; Ashby, M.F. The stress–life fatigue behaviour of aluminium alloy foams. Fatigue Fract. Eng. Mater. Struct. 2000, 23, 199–208. [Google Scholar] [CrossRef]
- Sugimura, Y.; Rabiei, A.; Evans, A.G.; Harte, A.; Fleck, N.A. Compression fatigue of a cellular Al alloy. Mater. Sci. Eng. A 1999, 269, 38–48. [Google Scholar] [CrossRef]
- Ingraham, M.D.; DeMaria, C.; Issen, K.; Morrison, D. Low cycle fatigue of aluminum foam. Mater. Sci. Eng. A 2009, 504, 150–156. [Google Scholar] [CrossRef]
- Pinto, H.; Arwade, S.R.; Veale, P. Response of open cell aluminum foams to fully reversed cyclic loading. J. Eng. Mech. 2011, 137, 911–918. [Google Scholar] [CrossRef]
- Pinto, H.; Arwade, S. Damage accumulation model for aluminium-closed cell foams subjected to fully reversed cyclic loading. Fatigue Fract. Eng. Mater. Struct. 2011, 34, 1021–1034. [Google Scholar] [CrossRef]
- Pinto, H.; Peña, Á.; Aravena, I. Exponential Model for Damage Accumulation in Closed Cell Aluminum Foams. Rev. Constr. J. Constr. 2015, 14, 80–85. [Google Scholar] [CrossRef][Green Version]
- Pinto, H.; Amini, A.; Peña, Á.; Moraga, P.; Valenzuela, M. Fatigue and damage accumulation in open cell aluminium foams. Fatigue Fract. Eng. Mater. Struct. 2018, 41, 483–493. [Google Scholar] [CrossRef]
- Guo, K.; Mu, M.; Zhou, S.; Zhang, Y. Dynamic responses of metal foam sandwich beam under repeated impacts considering impact location and face thickness distribution. Compos. Part C Open Access 2023, 11, 100372. [Google Scholar] [CrossRef]
- Guo, K.; Mu, M.; Zhou, S. Investigation on the dynamic behaviors of aluminum foam sandwich beams subjected to repeated low-velocity impacts. Metals 2023, 13, 1115. [Google Scholar] [CrossRef]
- Belardi, V.; Trupiano, S.; Fanelli, P.; Vivio, F. Overall elastic characterization of equivalent FE models for aluminum foams through computational homogenization approach and genetic algorithm optimization. Eur. J. Mech. A/Solids 2024, 103, 105189. [Google Scholar] [CrossRef]
- Zhao, S.; Zhang, X.; Wang, R.; Li, R. Stress-strain states and energy absorption in open-cell aluminium foams under hypervelocity impact. Compos. Struct. 2023, 313, 116885. [Google Scholar] [CrossRef]
- Pinto, H. Models for Crack Propagation and Fatigue Analysis Based on Strain and Stress Life Data. Applications. Ph.D. Thesis, University of Cantabria, Santander, Spain, 2009. [Google Scholar]
- Castillo, E.; Fernández-Canteli, A.; Hadi, A.; López-Aenlle, M. A fatigue model with local sensitivity analysis. Fatigue Fract. Eng. Mater. Struct. 2007, 30, 149–168. [Google Scholar] [CrossRef]
- Castillo, E.; Fernández-Canteli, A.; Pinto, H.; López-Aenlle, M. A general regression model for statistical analysis of strain–life fatigue data. Mater. Lett. 2008, 62, 3639–3642. [Google Scholar] [CrossRef]
- Castillo, E.; Fernández-Canteli, A. A general regression model for lifetime evaluation and prediction. Int. J. Fract. 2001, 107, 117–137. [Google Scholar] [CrossRef]
- Pinto, H.; De Jesus, A.M.; Fernández-Canteli, A.; Castillo, E.; Pereira, H.F. Analysis of constant and variable amplitude strain-life data using a novel probabilistic Weibull regression model. J. Press. Vessel Technol. 2010, 132, 061401. [Google Scholar] [CrossRef]






| Strain Amplitude | Number of Cycles to Failure | ||
|---|---|---|---|
| 0.003 | 4076 | 2706 | 1069 |
| 0.004 | 589 | 786 | 690 |
| 0.005 | 111 | 173 | 161 |
| 0.0075 | 31 | 29 | 26 |
| 0.01 | 11 | 13 | 11 |
| 0.0125 | 6 | 7 | 8 |
Disclaimer/Publisher’s Note: The statements, opinions and data contained in all publications are solely those of the individual author(s) and contributor(s) and not of MDPI and/or the editor(s). MDPI and/or the editor(s) disclaim responsibility for any injury to people or property resulting from any ideas, methods, instructions or products referred to in the content. |
© 2024 by the authors. Licensee MDPI, Basel, Switzerland. This article is an open access article distributed under the terms and conditions of the Creative Commons Attribution (CC BY) license (https://creativecommons.org/licenses/by/4.0/).
Share and Cite
Pinto, H.; Sepulveda, A.; Moraga, P.; Gálvez, H.A.; Peña, A.; Gornall, J.; García, J. Mesostructural Model for the Fatigue Analysis of Open-Cell Metal Foams. Appl. Sci. 2024, 14, 8527. https://doi.org/10.3390/app14188527
Pinto H, Sepulveda A, Moraga P, Gálvez HA, Peña A, Gornall J, García J. Mesostructural Model for the Fatigue Analysis of Open-Cell Metal Foams. Applied Sciences. 2024; 14(18):8527. https://doi.org/10.3390/app14188527
Chicago/Turabian StylePinto, Hernan, Alexander Sepulveda, Paola Moraga, Héctor A. Gálvez, Alvaro Peña, Jose Gornall, and José García. 2024. "Mesostructural Model for the Fatigue Analysis of Open-Cell Metal Foams" Applied Sciences 14, no. 18: 8527. https://doi.org/10.3390/app14188527
APA StylePinto, H., Sepulveda, A., Moraga, P., Gálvez, H. A., Peña, A., Gornall, J., & García, J. (2024). Mesostructural Model for the Fatigue Analysis of Open-Cell Metal Foams. Applied Sciences, 14(18), 8527. https://doi.org/10.3390/app14188527

