Size-Dependent Mechanical Properties and Excavation Responses of Basalt with Hidden Cracks at Baihetan Hydropower Station through DFN–FDEM Modeling
Abstract
1. Introduction
2. Structural Characteristics of Basalt
2.1. Engineering Background
2.2. Structural Characteristics of Basalt Blocks
2.2.1. Meso-Structural Characteristics of Basalt
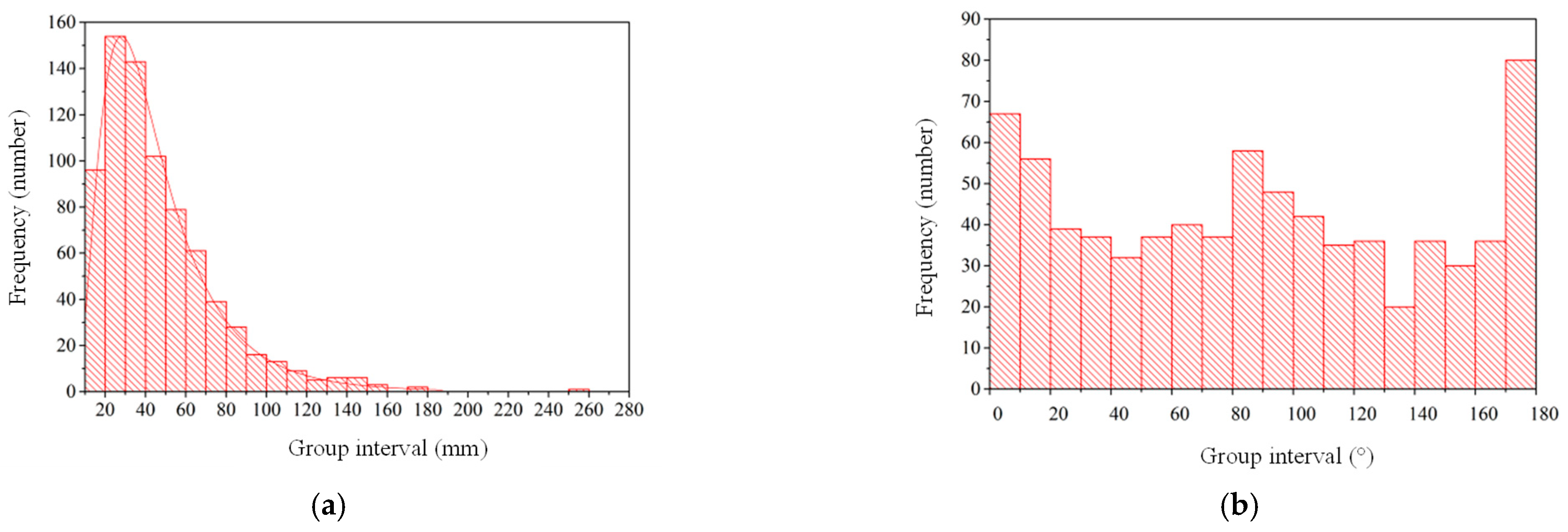
2.2.2. Statistical Characteristics of Hidden Cracks in Basalt
3. Creation of a Numerical Model of Basalt
3.1. Fundamental Introduction of FDEM
3.2. Generation of an SRM Model of Basalt Blocks
3.3. Establishment of an FDEM Model of Basalt Rock Mass of an Underground Powerhouse
4. Analysis of Results
4.1. Size Effect of the Mechanical Properties of Basalt Blocks
4.1.1. Size Effects of Mechanical Parameters
4.1.2. Size Effects of Stress–Strain Curve Characteristics
4.1.3. Size Effects of Strength Criterion
4.1.4. Size Effects of Failure Modes
4.2. Fracture Behaviors of Basalt Rock Mass during Excavation
4.2.1. Failure Features of Basalt Rock Mass Found in Underground Caverns
4.2.2. Fracture Evolution Laws of Basalt Rock Mass during Excavation
4.2.3. Failure Mechanism of Basalt Rock Mass
5. Discussion
5.1. Size Effect of Rock Strength
5.2. Fracture Mechanism of Hard Brittle Rocks
6. Conclusions
- The SRM model was established by combining an FDEM model representing an intact matrix and a DFN model generated based on the statistical characteristics of the geometric parameters of hidden cracks. It represents an important method for efficiently and accurately studying the mechanical properties of hard brittle rocks with complex structures.
- The obtained REV size of basalt blocks containing hidden cracks was 0.5 m. With the increase in the sample size, the mechanical properties as reflected in the stress–strain curve changed from elastic–brittle to elastic–plastic or ductile, the strength failure criterion changed from linear to nonlinear, and the failure modes changed from fragmentation failure to local structure-controlled failure and then to splitting failure. The essence of the rock size effect is its own structural effect, influenced by external conditions, such as the confining pressure, temperature, and loading rate, indicating that it is crucial to consider the real structural features of rocks to understand their mechanical behaviors.
- The surrounding rock mass during excavation in the Baihetan Hydropower Station mainly exhibited a spalling failure mode, closely related to the complex structural characteristics of basalt and high in situ stresses; that is, a tensile fracture mechanism characterized by stress–structure coupling. The nucleation process of typical failure behaviors (e.g., spalling, rock-bursts) in deep underground engineering has a certain relationship with the fracture evolution of surrounding rocks at different depths, and they have a certain degree of synergy. Therefore, it is important to understand the fracture evolution laws of surrounding rocks during excavation to reveal the failure mechanism and formulate control measures.
- This study has some limitations. On the one hand, the main focus was on basalt blocks with small-scale hidden cracks. There was less focus on basalt rock mass with engineering-scale hard structural planes, such as random joints and faults. On the other hand, this study mainly focused on the size effect analysis of the rock mechanical properties with a given distribution characteristic of the structural planes, without considering the effect of the change in the structural plane under different geometric parameters on the REV and corresponding mechanical properties. Related research will be performed in future work.
Author Contributions
Funding
Institutional Review Board Statement
Informed Consent Statement
Data Availability Statement
Acknowledgments
Conflicts of Interest
Nomenclature
| DFN | Discrete fracture network |
| FDEM | Finite-discrete element method |
| SRM | Synthetic rock mass |
| REV | Representative elementary volume |
| UCS | Unconfined compressive strength |
| BDS | Brazilian basic splitting strength |
| P21 | Areal fracture intensity |
| σ3 | Confining stress |
| σ1–σ3 | Deviatoric stress |
| ρ | Bulk density |
| E | Young’s modulus |
| ν | Poisson’s ratio |
| φ | Internal friction angle |
| c | Cohesive strength |
| ft | Tensile strength |
| KIc | Mode I fracture toughness |
| Gf1 | Mode I fracture energy |
| Gf2 | Mode II fracture energy |
| Pn | Normal contact penalty |
| Pt | Tangential contact penalty |
| Pf | Fracture penalty |
| ε₁ | Axial strain |
| ε3 | Lateral strain |
References
- Peng, J.B.; Cui, P.; Zhuang, J.Q. Challenges to engineering geology of Sichuan—Tibet railway. Chin. J. Rock Mech. Eng. 2020, 39, 2377–2389. (In Chinese) [Google Scholar]
- Feng, X.T.; Yang, C.X.; Kong, R.; Zhao, J.; Zhou, Y.Y.; Yao, Z.B.; Hu, L. Excavation-induced deep hard rock fracturing: Methodology and applications. J. Rock Mech. Geotech. Eng. 2022, 14, 1–34. [Google Scholar] [CrossRef]
- He, M.C.; Wang, Q.; Wu, Q.Y. Innovation and future of mining rock mechanics. J. Rock Mech. Geotech. Eng. 2021, 13, 1–21. [Google Scholar] [CrossRef]
- Zhao, Y.S. Retrospection on the development of rock mass mechanics and the summary of some unsolved centennial problems. Chin. J. Rock Mech. Eng. 2021, 40, 1297–1336. (In Chinese) [Google Scholar]
- Liu, T.T.; Zhang, C.; Li, X.P.; Xu, K.; Xu, M.N.; Wang, Z.X. Triaxial experimental study of mechanical behavior of non-persistent jointed granite subjected to slight cyclic dynamic disturbances. Theor. Appl. Fract. Mec. 2024, 130, 104254. [Google Scholar] [CrossRef]
- Zhao, C.X.; Zhang, Z.X.; Wang, S.F.; Lei, Q.H. Effects of fracture network distribution on excavation-induced coupled responses of pore pressure perturbation and rock mass deformation. Comput. Geotech. 2022, 145, 104670. [Google Scholar] [CrossRef]
- Bahaaddini, M.; Sharrock, G.; Hebblewhite, B.K. Numerical investigation of the effect of joint geometrical parameters on the mechanical properties of a non-persistent jointed rock mass under uniaxial compression. Comput. Geotech. 2013, 49, 206–225. [Google Scholar] [CrossRef]
- Wang, X.; Cai, M. A DFN–DEM Multi-scale Modeling Approach for Simulating Tunnel Excavation Response in Jointed Rock Masses. Rock Mech. Rock Eng. 2020, 53, 1053–1077. [Google Scholar] [CrossRef]
- Hamdi, P.; Stead, D.; Elmo, D. Characterizing the influence of stress-induced microcracks on the laboratory strength and fracture development in brittle rocks using a finite-discrete element method-micro discrete fracture network FDEM-μDFN approach. J. Rock Mech. Geotech. Eng. 2015, 7, 609–625. [Google Scholar] [CrossRef]
- Software, R. ELFEN User’s Manual. Swansea, UK. 2004. Available online: http://www.rockfield.co.uk (accessed on 15 March 2023).
- Mahabadi, O.K.; Grasselli, G.; Munjiza, A. Y-GUI: A graphical user interface and pre-processor for the combined finite-discrete element code, Y2D, incorporating material heterogeneity. Comput. Geotech. 2010, 36, 241–252. [Google Scholar] [CrossRef]
- Lisjak, A.; Grasselli, G. A review of discrete modeling techniques for fracturing processes in discontinuous rock masses. J. Rock Mech. Geotech. Eng. 2014, 6, 301–314. [Google Scholar] [CrossRef]
- Bahrani, N.; Kaiser, P.K. Numerical investigation of the influence of specimen size on the unconfined strength of defected rocks. Comput. Geotech. 2016, 77, 56–67. [Google Scholar] [CrossRef]
- Farahmand, K.; Vazaios, I.; Diederichs, M.S.; Vlachopoulos, N. Investigating the scale-dependency of the geometrical and mechanical properties of a moderately jointed rock using a synthetic rock mass (SRM) approach. Comput. Geotech. 2018, 95, 162–179. [Google Scholar] [CrossRef]
- Xu, W.J.; Zhang, H.Y. Research on the effect of rock content and sample size on the strength behavior of soil-rock mixture. Bull. Eng. Geol. Environ. 2021, 80, 2715–2726. [Google Scholar] [CrossRef]
- Asadi, P.; Ashrafi, M.J.; Fakhimi, A. Physical and numerical evaluation of effect of specimen size on dynamic tensile strength of rock. Comput. Geotech. 2022, 142, 104538. [Google Scholar] [CrossRef]
- Bahaaddini, M.; Hagan, P.C.; Mitra, R.; Hebblewhite, B.K. Scale effect on the shear behaviour of rock joints based on a numerical study. Eng. Geol. 2014, 181, 212–223. [Google Scholar] [CrossRef]
- Zhou, Z.Q.; Sun, J.W.; Lai, Y.B.; Wei, C.C.; Hou, J.; Bai, S.S.; Huang, X.X.; Liu, H.L.; Xiong, K.Q.; Cheng, S. Study on size effect of jointed rock mass and influencing factors of the REV size based on the SRM method. Tunn. Undergr. Sp. Tech. 2022, 127, 104613. [Google Scholar] [CrossRef]
- Martin, C.D.; Read, R.S.; Martino, J.B. Observations of brittle failure around a circular test tunnel. Int. J. Rock Mech. Min. Sci. 1997, 34, 1065–1073. [Google Scholar] [CrossRef]
- Cai, M.; Kaiser, P.K.; Tasaka, Y.; Maejima, T.; Morioka, H.; Minami, M. Generalized crack initiation and crack damage stress thresholds of brittle rock masses near underground excavations. Int. J. Rock Mech. Min. Sci. 2004, 41, 833–847. [Google Scholar] [CrossRef]
- Feng, X.T.; Zhou, Y.Y.; Jiang, Q. Rock mechanics contributions to recent hydroelectric developments in China. Int. J. Rock Mech. Min. Sci. 2019, 11, 511–526. [Google Scholar] [CrossRef]
- Zhang, C.Q.; Zhou, H.; Feng, X.T. An index for estimating the stability of brittle surrounding rock mass: FAI and its engineering application. Rock Mech. Rock Eng. 2011, 44, 401–414. [Google Scholar] [CrossRef]
- Zhang, Z.R.; Wu, S.C.; Cheng, H.Y.; Han, L.Q.; Zhong, G.; Zhang, J. Rockburst simulation tests on structural plane of deep high-stress circular tunnels: A true triaxial test study on several different hard rocks. Theor. Appl. Fract. Mec. 2024, 132, 104473. [Google Scholar] [CrossRef]
- Lin, Q.B.; Cao, P.; Meng, J.J.; Cao, R.H.; Zhao, Z.Y. Strength and failure characteristics of jointed rock mass with double circular holes under uniaxial compression: Insights from discrete element method modelling. Theor. Appl. Fract. Mec. 2020, 109, 102692. [Google Scholar] [CrossRef]
- Bewick, R.P. The Strength of Massive to Moderately Jointed Rock and its Application to Cave Mining. Rock Mech. Rock Eng. 2021, 54, 3629–3661. [Google Scholar] [CrossRef]
- Vazaios, I.; Vlachopoulos, N.; Diederichs, M.S. Assessing fracturing mechanisms and evolution of excavation damaged zone of tunnels in interlocked rock masses at high stresses using a finite discrete-element approach. J. Rock Mech. Geotech. Eng. 2019, 11, 701–722. [Google Scholar] [CrossRef]
- Zhao, D.C.; Xia, Y.J.; Zhang, C.Q.; Tang, C.A.; Zhou, H.; Liu, N.; Singh, H.K.; Zhao, Z.X.; Chen, J.; Mu, C.Q. Failure modes and excavation stability of large-scale columnar jointed rock masses containing interlayer shear weakness zones. Int. J. Rock Mech. Min. Sci. 2022, 159, 105222. [Google Scholar] [CrossRef]
- Han, G.; Zhou, H.; Hou, J.; Zhang, C.S.; Singh, H.K.; Gao, Y. A comprehensive investigation on the shear properties of interlayer shear weakness zones. Bull. Eng. Geol. Environ. 2021, 80, 8765–8787. [Google Scholar] [CrossRef]
- Bubeck, A.; Walker, R.J.; Healy, D.; Dobbs, M.; Holwell, D.A. Pore geometry as a control on rock strength. Earth Planet. Sci. Lett. 2017, 457, 38–48. [Google Scholar]
- Zhang, C.Q.; Liu, Z.J.; Pan, Y.B.; Gao, Y.; Zhou, H.; Cui, G.J. Influence of amygdale on crack evolution and failure behavior of basalt. Eng. Fract. Mech. 2020, 226, 106843. [Google Scholar] [CrossRef]
- Liu, Z.J.; Zhang, C.Q.; Zhang, C.S.; Gao, Y.; Zhou, H.; Chang, Z.R. Deformation and failure characteristics and fracture evolution of cryptocrystalline basalt. J. Rock Mech. Geotech. Eng. 2019, 11, 990–1003. [Google Scholar] [CrossRef]
- Liu, Z.J.; Wang, H.B.; Zhou, B. Effect of natural defects on the fracture behaviors and failure mechanism of basalt through mesotesting and FDEM modeling. Eng. Fract. Mech. 2022, 271, 108598. [Google Scholar] [CrossRef]
- Liu, Z.J.; Wang, H.B.; Zhang, C.Q.; Zhou, B.; Zhou, H. Size dependences of the mechanical behaviors of basalt rock blocks with hidden joints analyzed using a hybrid DFN–FDEM model. Eng. Fract. Mech. 2021, 258, 108078. [Google Scholar] [CrossRef]
- Zhang, W.; Chen, J.P.; Liu, C.; Huang, R.; Li, M.; Zhang, Y. Determination of geometrical and structural representative volume elements at the Baihetan dam site. Rock Mech. Rock Eng. 2012, 45, 409–419. [Google Scholar] [CrossRef]
- Dai, F.; Li, B.; Xu, N.W.; Fan, Y.L.; Zhang, C.Q. Deformation forecasting and stability analysis of large-scale underground powerhouse caverns from microseismic monitoring. Int. J. Rock Mech. Min. Sci. 2016, 86, 269–281. [Google Scholar] [CrossRef]
- Wang, M.; Li, H.B.; Han, J.Q.; Xiao, X.H.; Zhou, J.W. Large deformation evolution and failure mechanism analysis of the multi-freeface surrounding rock mass in the Baihetan underground powerhouse. Eng. Fail. Anal. 2019, 100, 214–226. [Google Scholar] [CrossRef]
- Sun, Q.H.; Li, S.J.; Guo, H.S.; Zheng, M.Z.; Yang, Z.Y. In situ test of excavation damaged zone of columnar jointed rock masses under different borehole conditions. Bull. Eng. Geol. Environ. 2021, 80, 2991–3007. [Google Scholar] [CrossRef]
- Xia, Y.J.; Zhang, C.Q.; Zhou, H.; Hou, J.; Su, G.S.; Gao, Y.; Liu, N.; Singh, H.K. Mechanical behavior of structurally reconstructed irregular columnar jointed rock mass using 3D printing. Eng. Geol. 2020, 268, 105509. [Google Scholar] [CrossRef]
- Shi, A.C.; Li, C.J.; Hong, W.B.; Lu, G.D.; Zhou, J.W.; Li, H.B. Comparative analysis of deformation and failure mechanisms of underground powerhouses on the left and right banks of Baihetan hydropower station. J. Rock Mech. Geotech. Eng. 2022, 14, 731–745. [Google Scholar] [CrossRef]
- Hu, Z.H.; Wu, B.B.; Xu, N.W.; Wang, K. Effects of discontinuities on stress redistribution and rock failure: A case of underground caverns. Tunn. Undergr. Sp. Tech. 2022, 127, 104583. [Google Scholar] [CrossRef]
- Geomechanica Inc. Irazu 2D Geomechanical Simulation Software, Version 3.1; Geomechanica Inc.: Toronto, ON, Canada, 2017; Available online: http://www.geomechanica.com/software (accessed on 20 December 2022).
- Tatone, B.S.A.; Grasselli, G. A calibration procedure for two-dimensional laboratory-scale hybrid finite–discrete element simulations. Int. J. Rock Mech. Min. Sci. 2015, 75, 56–72. [Google Scholar] [CrossRef]
- Zhang, C.S.; Chu, W.J.; Liu, N.; Zhu, Y.S.; Hou, J. Laboratory tests and numerical simulations of brittle marble and squeezing schist at Jinping II hydropower station. China J. Rock Mech. Geotech. Eng. 2011, 3, 30–38. [Google Scholar] [CrossRef]
- Renani, H.R.; Cai, M. Forty-year review of the Hoek–Brown failure criterion for jointed rock masses. Rock Mech. Rock Eng. 2022, 55, 439–461. [Google Scholar] [CrossRef]
- Jiang, Q.; Feng, X.T.; Fan, Y.L.; Fan, Q.X.; Liu, G.F.; Pei, S.F.; Duan, S.Q. In situ experimental investigation of basalt spalling in a large underground powerhouse cavern. Tunn. Undergr. Sp. Tech. 2017, 68, 82–94. [Google Scholar] [CrossRef]
- Zhao, J.S.; Jiang, Q.; Lu, J.F.; Chen, B.R.; Pei, S.F.; Wang, Z.L. Rock fracturing observation based on microseismic monitoring and borehole imaging: In situ investigation in a large underground cavern under high geostress. Tunn. Undergr. Sp. Tech. 2022, 126, 104549. [Google Scholar] [CrossRef]
- Hoek, E.; Brown, E.T. Underground Excavations in Rock; Institution of Mining and Metallurgy: London, UK, 1980. [Google Scholar]
- Guan, R.; Peng, J.; Yao, M.D.; Jiang, Q.H.; Wong, L.N.Y. Effects of specimen size and thermal-damage on physical and mechanical behavior of a fine-grained marble. Eng. Geol. 2018, 232, 46–55. [Google Scholar]
- Liu, Z.J.; Zhang, C.S.; Zhang, C.Q.; Wang, H.B.; Zhou, H.; Zhou, B. Effects of amygdale heterogeneity and sample size on the mechanical properties of basalt. J. Rock Mech. Geotech. Eng. 2022, 14, 93–107. [Google Scholar] [CrossRef]
- Read, R.S. 20 years of excavation response studies at AECL’s underground research laboratory. Int. J. Rock Mech. Min. Sci. 2004, 41, 1251–1275. [Google Scholar] [CrossRef]
- Zhang, C.S.; Liu, N.; Chu, W.J. Key technologies and risk management of deep tunnel construction at Jinping II hydropower station. J. Rock Mech. Geotech. Eng. 2016, 8, 499–512. [Google Scholar] [CrossRef]
- Xiao, Y.X.; Feng, X.T.; Feng, G.L.; Liu, H.J.; Jiang, Q.; Qiu, S.L. Mechanism of evolution of stress–structure controlled collapse of surrounding rock in caverns: A case study from the Baihetan hydropower station in China. Tunn. Undergr. Sp. Tech. 2016, 51, 56–67. [Google Scholar] [CrossRef]
- Hoek, E.; Martin, C.D. Fracture initiation and propagation in intact rock-A review. J. Rock Mech. Geotech. Eng. 2014, 6, 287–300. [Google Scholar] [CrossRef]



















| Mechanical Parameters | Matrix | Hidden Crack | Rock Block |
|---|---|---|---|
| Bulk density, ρ (kg/m3) | 2900.00 | 2800.00 | |
| Poisson’s ratio, ν | 0.15 | 0.25 | |
| Young’s modulus, E (GPa) | 50.00 | 30.00 | |
| Internal friction angle, φ (°) | 40.00 | 25.00 | 47.50 |
| Cohesive strength, c (MPa) | 75.00 | 15.00 | 12.50 |
| Tensile strength, ft (MPa) | 18.50 | 4.00 | 7.15 |
| Mode-I fracture energy, Gf1 (N/m) | 100.00 | 20.00 | 20.00 |
| Mode-II fracture energy, Gf2 (N/m) | 1000.00 | 200.00 | 200.00 |
| Normal contact penalty, Pn (GPa·m) | 500.00 | 10.00 | 300.00 |
| Tangential contact penalty, Pt (GPa/m) | 500.00 | 10.00 | 300.00 |
| Fracture penalty, Pf (GPa) | 500.00 | 10.00 | 300.00 |
| Type | E (GPa) | c (MPa) | φ (°) | UCS (MPa) | BDS (MPa) |
|---|---|---|---|---|---|
| Simulation | 45.08 | 52.15 | 46.81 | 231.67 | 22.71 |
| 49.88 | 82.63 | 39.78 | 328.46 | 21.66 | |
| 48.53 | 22.78 | 35.72 | 80.89 | 22.37 | |
| 43.23 | 37.8 | 46.55 | 161.09 | 22.51 | |
| 40.12 | 33.56 | 42.6 | 140.34 | 16.33 | |
| 47.68 | 25.33 | 40.57 | 64.23 | 23.67 | |
| 35.46 | 32.47 | 47.08 | 150.79 | 13.84 | |
| 49.88 | 82.63 | 39.78 | 330.21 | 21.16 | |
| 49.88 | 82.63 | 39.78 | 330.21 | 21.16 | |
| 49.88 | 82.63 | 39.78 | 330.21 | 21.16 | |
| Average | 45.96 | 53.46 | 41.85 | 214.81 | 20.66 |
| Test | 45.82 | 57.44 | 41.16 | 197.01 | 18.50 |
Disclaimer/Publisher’s Note: The statements, opinions and data contained in all publications are solely those of the individual author(s) and contributor(s) and not of MDPI and/or the editor(s). MDPI and/or the editor(s) disclaim responsibility for any injury to people or property resulting from any ideas, methods, instructions or products referred to in the content. |
© 2024 by the authors. Licensee MDPI, Basel, Switzerland. This article is an open access article distributed under the terms and conditions of the Creative Commons Attribution (CC BY) license (https://creativecommons.org/licenses/by/4.0/).
Share and Cite
Ding, C.; Liu, Z.; Mei, X.; Ouyang, S. Size-Dependent Mechanical Properties and Excavation Responses of Basalt with Hidden Cracks at Baihetan Hydropower Station through DFN–FDEM Modeling. Appl. Sci. 2024, 14, 9069. https://doi.org/10.3390/app14199069
Ding C, Liu Z, Mei X, Ouyang S. Size-Dependent Mechanical Properties and Excavation Responses of Basalt with Hidden Cracks at Baihetan Hydropower Station through DFN–FDEM Modeling. Applied Sciences. 2024; 14(19):9069. https://doi.org/10.3390/app14199069
Chicago/Turabian StyleDing, Changdong, Zhenjiang Liu, Xiancheng Mei, and Shaoming Ouyang. 2024. "Size-Dependent Mechanical Properties and Excavation Responses of Basalt with Hidden Cracks at Baihetan Hydropower Station through DFN–FDEM Modeling" Applied Sciences 14, no. 19: 9069. https://doi.org/10.3390/app14199069
APA StyleDing, C., Liu, Z., Mei, X., & Ouyang, S. (2024). Size-Dependent Mechanical Properties and Excavation Responses of Basalt with Hidden Cracks at Baihetan Hydropower Station through DFN–FDEM Modeling. Applied Sciences, 14(19), 9069. https://doi.org/10.3390/app14199069

