Abstract
Controlling the total amount of river pollutant discharge is an important means of water resource protection and management, and it is also a necessary condition for ensuring the normal functioning of water areas. The total amount of pollutant discharge is closely related to the water environmental capacity (WEC). Shifting from the traditional method of calculating WEC to dynamic analyses and calculations, concerning practical applications, in this paper, a dynamic adaptive calculation method is proposed for the river WEC that considers the changes in adaptive demand and hydrological conditions. In this method, the dynamic WEC is represented by intervals based on dynamic changes in different spatial and temporal scales, various calculation methods, hydrological conditions, and parameters. According to the calculation results for the WEC, a variable interval was formed. Taking the Shaanxi section of the main stream of the Wei River as the research object, with the support of an integrated platform, the dynamic adaptive calculation of the WEC in the Shaanxi section of the Wei River was realized, and a corresponding simulation system was constructed. The verification results show that (1) the dynamic calculation of WEC can be realized by freely combining different model methods and calculation conditions; (2) the WEC is described using a variable interval, which has strong applicability and operability; and (3) the simulation system can quickly adapt to the changing needs of practical applications and provide managers with visual and credible decision support. The research results provide a theoretical basis for river water environment pollution prevention and environmental management decision-making and help in the high-quality development of the river basin.
1. Introduction
With the development of the human economy and society, the problem of river water environmental pollution has become increasingly prominent [1]. At present, many sustainable development goals related to water environments have been put forward internationally [2]. In order to manage rivers scientifically and effectively, the calculation of water environmental capacity (WEC) has become a key issue [3]. WEC plays a crucial role in evaluating and managing the resources and quality of river water [4]. The scientific and reasonable calculation of WEC determines the development of a river and economy.
Water resource management agencies in most countries have stipulated restrictions on the discharge of sewage into rivers and other natural water bodies, that is, the maximum allowable concentration of specific pollutants that may be discharged into water bodies [5], and have reduced the impact on the environment by formulating pollution control strategies. In different countries and regions, different concepts and definitions have been derived from the restrictions on the discharge of sewage into rivers and other natural water bodies. Japanese scholars first put forward the concept of environmental capacity in 1968 [6]. Concerning WEC, European and American scholars suggested similar concepts, such as assimilation capacity, maximum allowable pollutant capacity, the allowable pollutant discharge level of a water body, and dilution capacity [7,8]. In 1998, Chinese scholars proposed the concept of water pollution carrying capacity, which is an extension of WEC, and the basic principles of the two are the same. The best definition is provided by the US Environmental Protection Agency, which developed a regulatory application called total maximum daily load (TMDL), which can quickly reflect the dynamic relationship between water quality and water environment quality [9]. WEC refers to the maximum amount of a certain pollutant that can be contained in the water in a certain period of time when the water quality target requirements are met under the designed hydrological conditions [10]. WEC reflects the balanced relationship, feedback mechanism, and self-regulating ability of water resource protection and social and economic development systems [11].
WEC is affected by various processes and factors, such as water environment characteristics, pollutant characteristics, pollutant emission pathways, and emission space. These include the types and concentrations of pollutants from different sources and their spatial distributions [12]; changes in hydrological processes [13]; factors controlling the degradation, transformation, mixing, and migration of pollutants [14,15]; and the coupling of these processes and factors. Based on these physical and chemical processes, various models have been studied to calculate WEC. Based on a one-dimensional water quality model, Liu et al. [16] proposed a river WEC calculation method combined with the matrix calculation algorithm, and they applied this method to analyze the temporal and spatial variation patterns of WEC. Fu et al. [17] proposed the combination of a one-dimensional water quality model and a uniform mixing formula to calculate WEC, and they applied it to Yongkang city. For rivers with insufficient data and low calculation accuracy, scholars [18,19,20] have studied some simple WEC calculation models. For basins with abundant data and high calculation accuracy, scholars [21,22,23] have studied the WEC calculation model based on hydrological processes. Bui and Pham [24] proposed a system for calculating river WEC by simulating the changes in river hydrology, water quality, and hydraulic conditions combined with calculation models. The system integrates relevant calculation models, various influencing parameters, and databases, which comprehensively considers the influence of river hydrology, water quality, and hydraulic conditions on WEC. Wang et al. [4] proposed a machine learning-assisted method to estimate the watershed-scale WEC through process-based model simulations of pollutant concentrations and an artificial neural network (ANN). Through the global optimization method, a watershed-scale WEC that meets water quality constraints can be obtained. Considering the relationship between the water environment and pollutant emissions, Li et al. [25] analyzed the uncertainty of WEC based on Copula and Bayesian models. Most of these WEC calculation methods have specific computational conditions and are suitable for different situations. In practical applications, it is necessary to choose reasonably according to a river’s situation and the level of data collected.
In addition to studying the calculation model for WEC, scholars have also studied the effects of changes in the calculation conditions on WEC, such as flow rate, background concentration, degradation coefficient, and design frequency. Some scholars [26,27,28] have set different design frequencies and used a one-dimensional water quality model to calculate the WEC of river sections in their study areas. Other scholars [29] have proposed that for the calculation of WEC, because the hydrological and hydraulic processes in different regions of the basin are different, the whole basin needs to be divided into different regions to ensure the accuracy of river WEC calculations. Some scholars [30] have established a water level–lake area–reservoir relationship model and found that dynamic changes in WEC in the lake area depends on the dynamic changes in the hydrology and water quality. Some scholars [31] have proposed that different hydrological conditions will affect the value of parameters, and the determination of WEC parameters should be dynamically determined according to the actual situation of a river.
Most of the aforementioned research on WEC calculation focuses on model construction, calculation condition setting, and parameter analysis, with limited research focusing on a systematic and universal framework for WEC determination. WEC is influenced by numerous factors, including the water cycle, hydrological elements, natural factors, inflow processes, and discharge processes, and is dynamic in nature. However, the current model is difficult to adapt to changing environmental conditions, and the research results obtained under fixed conditions are mostly used to make plans, which are difficult to apply in practice.
Given the dynamic nature of WEC, in this paper, a dynamic adaptive calculation method is proposed for river WEC, aiming to achieve dynamic WEC calculations and adapt to the development of river. This method synthetically considers various variable factors, including temporal–spatial scale changes, river flow changes, parameter changes, hydrological conditions changes, calculation method changes, etc., and calculates the result interval of river WEC at various time scales. WEC is a variable interval. Supported by an integration platform, a dynamic adaptive calculation simulation system for WEC in the Wei River was constructed. By considering the dynamics of spatial–temporal scales, hydrological conditions, model methodologies and their parameters, and the dynamics of design guarantee rate, the calculation results of WEC are expressed in intervals, and the dynamic simulations and adaptive calculations of river WEC are realized. It can solve the problems caused by various uncertainties, such as difficulty in accurately quantifying WEC, poor adaptability, and poor operability, and provide decision support for managers.
2. Study Area
The study area is the Wei River Basin in Shaanxi Province (Figure 1), located between 104~110 °E and 34~37 °N, with an area of 134,300 km2. The Wei River, a perennial river in northern China, with an average annual runoff of 7.57 billion m3 [32], flows through the provinces of Gansu, Ningxia, and Shaanxi, with a total length of 818 km. The Shaanxi section of the main stream of the Wei River flows through Baoji, Yangling, Xianyang, Xi’an, and Weinan [33]. It mainly supplies production and living water, as well as drainage, to cities along the river in this area. Most of the water flows through the Loess Plateau from northwest to southeast, with a high sediment content and a gentle slope. The younger geological units in the Shaanxi section of the Wei River mainly include Cenozoic strata, which are composed of clay, sand, and gravel mixed layers, forming shallow pore water aquifers and confined water aquifers in the alluvial plain. These aquifers are well developed near the riparian zone of the Wei River, with thicknesses ranging from 10 to 90 meters, indicative of a significant water resource in the area. The hydraulic conductivity of the riverbed varies greatly, ranging from 316 to 1465 μs/cm, with an average of 860 μs/cm. There are many tributaries of the Wei River, mainly including nine large-flow tributaries, such as the Qian River, the Hei River, the Ba River, and the Jing River (Figure 1), as well as five large water intakes and sixty-nine sewage outlets.
Figure 1.
Overview of Shaanxi section of Wei River Basin.
The Wei River supports the people’s life, social progress, and economic development in the administrative regions along the Wei River in Shaanxi Province, and serves as the basis for the economic, social, and human development of the entire province. However, since the 1980s, the Wei River has not only become the main source of urban water use in Shaanxi Province but has also transformed into a natural sewage discharge site within the city. As the pollutant discharge exceeds the pollution carrying capacity of the river itself, the water pollution problem is deteriorating, and the natural functional state of the Wei River has been greatly changed, making a water use and water shortage crisis for the city. Moreover, with the expansion and transformation of urban construction, the Wei River has changed its original landform and hydrological characteristics, resulting in the continuous shrinking of the river system. Therefore, in order to scientifically implement the total amount control of water pollution and the prevention and control of water environmental pollution, it is a key issue to determine a reasonable and feasible WEC.
Water function zoning is the basis for the implementation of total water pollution control in river basins. It is a scientific basis for determining the dominant functions of different river reaches, formulating water environment quality standards, and carrying out water resources protection and management. According to the “Shaanxi Province Water Environmental Function Zoning”, the Wei River can be divided into 14 functional areas, as shown in Figure 1 and Table 1. The main pollutants in the Wei River are chemical oxygen demand (COD), NH3-N, total phosphorus (TP), and dissolved oxygen (DO) [34,35,36], among which COD and NH3-N are the most important pollutants in the Shaanxi section of Wei River. Therefore, COD and NH3-N are the main research objects in this paper.
Table 1.
Water function zoning and water quality target of Shaanxi section of Wei River.
3. Methodology
3.1. Problems with Traditional Methods
Most of the research on WEC calculation focuses on the establishment of calculation models, influencing factors, analysis and determination of model parameters, and solution methods of algorithms. However, the model is difficult to adapt to changing environmental conditions, and rarely considers the impact of human activities, which makes the calculation results mostly stay in the simulation stage and difficult to apply to practice. In addition, most of the current research is under static conditions, and the research results under fixed conditions are mostly used to formulate plans, while the WEC will be affected by various factors in time and space, which is a dynamic process. Static and planned management schemes are difficult to cope with complex and changing environments and needs. After in-depth analysis, it was found that the traditional WEC calculation has the following problems:
- (1)
- Limitations of traditional methods. Due to the differences in understanding of the definition of WEC, the differences in water quality models, the differences in simplification, and the different requirements for water quality standards, the WEC calculation method has different expressions, and its calculation demands, accuracy, and applicability are different. For different watersheds, based on the generalized conditions of each model expression, select and apply appropriate calculation formulas. The limitations of the WEC calculation method is significant.
- (2)
- Inability to adapt to changes in development. WEC is proposed based on the management of water function areas. It is not only related to the natural attributes of water bodies and pollutants, but also includes social attributes such as human needs for water body functions. Both natural and social attributes are dynamic. Factors, such as changes in spatial–temporal scale, changes in design frequencies, changes in functional requirements, and changes in calculation methods, all determine that WEC is a dynamically changing quantity. The traditional WEC calculation is static, making it difficult to accurately quantify the WEC.
- (3)
- The operability is not strong. The traditional method is mostly aimed at a specific research basin, a specific time scale, and a specific hydrological condition. Some deterministic models and parameters are used to calculate the WEC. When the basin, hydrological conditions, or pollutants change, the calculation results under fixed conditions cannot cope with the changing environment and needs, and the operability is not strong.
- (4)
- Parameter determination shows a lack of adaptability. The parameter determination of the traditional method lacks the basis, which cannot reflect the hydrological characteristics of the river and the dynamic characteristics of other natural factors, resulting in a lack of accuracy and applicability in the calculation results of WEC. Because the hydrological, hydraulic and water quality conditions of the river vary with time and space, and the pollution source also has the law of time change, and the hydrological factors and pollution sources have a direct impact on the change in parameters. Therefore, the parameters for different river sections and different hydrological conditions should be distinct.
3.2. Dynamic Adaptive Calculation Method for Water Environmental Capacity
3.2.1. Overall Framework
The overall framework of the dynamic adaptive calculation for WEC is shown in Figure 2. This method starts from the dynamic nature of WEC [38], adaptively selects the calculation method of WEC according to different river attributes and external conditions, and studies the establishment of a dynamic adaptive calculation method for WEC, which provides a scientific basis and technical support for the calculation of river WEC in a dynamic and changing environment. The specific steps are as follows: (1) Summarize the applicable conditions, focusing directions, consideration factors, advantages and disadvantages, the data requirements of the existing WEC calculation methods, analyses and classify the WEC calculation methods [39,40], so as to guide the selection of methods suitable for different research areas. According to the various attributes and actual conditions of the study area, the calculation method of WEC is selected adaptively. (2) Based on an in-depth analysis of the influence mechanism of changing factors, such as environment, demand, and conditions, on the traditional calculation model of WEC [41], a dynamic calculation method for WEC is established to cope with the changing environmental conditions. (3) The dynamics of time scale, model, guarantee rate, and parameter provide four ways of realizing the dynamic calculation for river WEC, based on an integrated platform for a WEC dynamic calculation simulation system to realize the dynamic application. The combination of calculation and application dynamics finally forms a dynamic calculation model for WEC. (4) Based on the dynamic calculation method for WEC, the results obtained under various changing environmental conditions are integrated into an interval, and an interval expression for WEC is proposed. A dynamic adaptive mechanism for WEC is established to adapt to dynamic environment changes, resolve risks caused by changes, and improve the quality of decision-making services.
Figure 2.
The overall framework of dynamic adaptive calculation method of water environmental capacity.
3.2.2. Calculation Model and Method
1. Water environmental capacity calculation model
- (1)
- Section-beginning control model [42]
The “section” in the section-beginning control refers to the river segment located between any two sewage outlet sections along the river, while the section-beginning refers to the first sewage outlet section located upstream of each section. It calculates the WEC, that is, based on the division of each section within a functional area (Figure 3), the water quality of the upstream section is controlled to meet the requirements of the functional area. Because the section-beginning control model ensures that the water quality of the entire river reaches the standard, it is suitable for areas with higher water quality requirements or lower pollution levels.
Figure 3.
The division of each segment in the functional section.
At the beginning of the functional section, owing to the difference between the water quality standard of the functional area and the pollutant concentration of the incoming water, the dilution capacity of the incoming water is provided, as follows:
where is the dilution capacity at the beginning of the functional segment, t/d; is the water quality standard for functional section, mg/L; is the incoming water flow, m3/s; and is the COD concentration of incoming water, mg/L.
Since the water quality standard is controlled at the beginning of each section, after a period of degradation, the degradation amount at the end of a section is the WEC at the section. Then, the WEC at the control section is as follows:
where is the WEC at the section, t/d; is the sewage discharge at the section, m3/s; and is the main flow after mixing.
Therefore,
Organize the formula, as follows:
- (2)
- Standard model
The WEC was calculated according to the one-dimensional water quality model of a river given in the “Water Environmental Capacity Calculation Regulations” (GB/T 25173-2010) [43] promulgated by the People’s Republic of China in 2010. The concentration of pollutants in a river section is as follows:
where is the pollutant concentration after flowing through distance, mg/L; is the longitudinal distance along a river, m; is the average velocity of the channel section under the design flow, m/s; is the pollutant comprehensive attenuation coefficient, 1/s; and is the concentration of pollutants in the initial section, mg/L.
Its water environmental capacity is as follows:
where is the discharge flow of waste water, m3/s and is the inflow flow of the initial section, m3/s.
- (3)
- Section-end control model [42]
The section-end control model is actually for the control of the water quality of the downstream section and the maximum discharge of the upstream pollution sources, but it is necessary to clarify each sewage outlet in advance. Figure 4 shows the model diagram.
Figure 4.
The schematic diagram of the section-end control model.
In the figure, and are the concentration and discharge of water quality in the upper reaches of the river reach, respectively; and are the concentration and discharge of sewage at the sewage outlet, respectively; is the concentration of pollutants after mixing; and is the concentration of pollutants in the downstream section at the distance from the sewage outlet. Then,
where is the length of the upstream and downstream section of a river; is the water quality degradation coefficient; is the flow rate; when there is only one sewage outlet or the sewage outlet is generalized as shown in Figure 3; and , the water environmental capacity , shown in the following:
- (4)
- Subsection summation model [44]
Water function zoning is divided into several sections according to the sewage outlet, water intake, and tributary inlet as the control section, and the water quantity and pollutants meet the law of material conservation before and after the control section. There are water intakes, sewage outlets, and tributary inlets in the water function zoning, and the functional zoning is divided into section, as follows:
One-dimensional water quality model:
where is the pollutant concentration, mg/L; is the longitudinal distance along a river, m; is the average velocity of the channel section under the design flow, m/s; and is the concentration of pollutants in the initial section, mg/L.
The material balance equation is as follows:
where is the inflow flow of the river section, m3/s; is the discharge of section , m3/s; is the initial mass concentration of pollutants in the river section, mg/L; is the mass concentration of pollutants in reach , mg/L; is the distance from the control section to the lower section of the functional zoning, m; and is the WEC for section , g/s.
The flow balance equation is as follows:
where is the discharge volume or tributary flow or water intake flow of the sewage outlet for the river section, m3/s.
The WEC for the river section is as follows:
where is the velocity of the river section, m/s.
The WEC of the river is , the available water environmental capacity is as follows:
2. Water environmental capacity calculation parameters
- (1)
- Design hydrological conditions
- 1)
- Yearly scale design hydrological conditions involve determining the design flow based on the frequency of the driest month and the frequency of all months. The frequency of the driest month involves selecting the monthly flow data from the long series of a hydrological station and frequency analyzing the driest month flow of each year as the empirical point data. Similarly, the frequency of all months involves selecting the monthly flow data from the long series of a hydrological station and frequency analyzing the monthly average flow of all months of each hydrological year as the empirical point data. The theoretical frequency curve is then obtained by two frequency arrangement methods, and flow values corresponding to 90%, 75%, and 50% design frequencies are adopted.
- 2)
- Wet, normal, and dry periods represent the design hydrological conditions. The design flow is calculated according to the frequency of the water period and a typical year. The idea of calculating the design flow of a water period according to its frequency involves selecting a long series of monthly flow data from a hydrological station. Based on current research habits in the field of hydrology, a hydrological year is divided into wet, normal, and dry periods. The normal period is from March to June, the wet period is from July to October, and the dry period is November and December, and January and February of the following year. In each hydrological year, the average flow for each water period is used as the empirical point data, and the P-III curve is selected to obtain the theoretical frequency curve. Then, the flow values at different design frequencies (such as 90%, 75%, and 50%) are obtained from the curve. The idea of calculating the design flow for a water period according to a typical year method is to select the monthly flow data from a long series of a hydrological station. The typical year should be selected according to the conventional method. The step is to select a series of monthly flow data from a hydrological station, taking the annual average flow of the hydrological year as the empirical point data, and using the P-III curve to obtain the theoretical frequency curve. From this curve, typical years at different design frequencies (such as 90%, 75%, and 50%) are obtained. The average flow of the wet, normal, and dry periods corresponding to the 90% typical year is the design flow value of each water period at 90% frequency, and the design flow of the other design frequencies in each water period is calculated in turn.
- 3)
- Monthly scale design flow determination is divided into monthly frequency calculation design flow and typical year frequency calculation design flow. The basic idea of calculating the monthly design flow based on monthly frequency is to select the monthly flow data from a long series of hydrological stations, classify the monthly average flows for each hydrological year (from January to December), and use these as empirical point data. The P-III curve is used for wiring, and the theoretical frequency curve is selected. The monthly design flow at different design frequencies (such as 90%, 75%, and 50%) can be obtained. The idea of calculating the design flow at the monthly scale according to the typical year method is to select the monthly flow data from a long series of hydrological stations, use the annual average flow as empirical point data, use the P-III curve for wiring, and obtain the theoretical frequency curve. The typical years at different design frequencies (such as 90%, 75%, and 50%) can be obtained. The average flow of each month corresponding to a 90% typical year is the design flow of each month at a 90% frequency, and the design flow for each month at other design frequencies is calculated in turn.
In this study, the fitting calculation process of P-III frequency curve is programmed by Java language. Users only need to provide the average flow, design frequency, and time scale to obtain the design flow.
- (2)
- Design flow velocity
According to the measured flow velocity data provided in the hydrological yearbook, a flow velocity relationship curve is fitted and a flow velocity relationship equation is obtained. Then, the design flow velocity is calculated according to the design flow.
- (3)
- Water quality target concentration C0, Cs
Cs is the upper limit of the water environmental quality standard. The initial pollutant mass concentration C0 was the target concentration of water quality in the previous functional zoning.
- (4)
- Comprehensive attenuation coefficient
The comprehensive attenuation coefficient is used to describe the natural degradation rate of pollutants in water, reflecting the natural attenuation process of pollutants in the water environment without any artificial treatment. At present, the main methods for calculating the comprehensive attenuation coefficient include laboratory simulations, measured data inversion, the least squares method, and the steepest descent method. In this study, the comprehensive attenuation coefficients of rivers under different pollutants, time scales, and river sections were determined using the measured data inversion method, as follows:
where and are the mass concentration of pollutants, mg/L and is the distance between water function areas, m.
3. Interval expression for water environmental capacity
River hydrology, water quality, hydraulic, and other natural conditions are constantly changing. If only the value of a single WEC calculated under fixed conditions is used for decision-making, when the calculation conditions change, the value cannot continue to provide a reference for follow-up work, and cannot meet the needs of river water environment management in dynamic and changing environments [45]. Therefore, the interval expression of WEC is proposed (Figure 5), and the interval is used to replace a fixed value, so that a larger range can be provided in decision-making to adapt to the changes in various conditions.
Figure 5.
Interval working principal diagram for WEC calculation results based on combination and synthesis.
When representing the calculation results of WEC, considering the combination of different calculation methods, different level years, different water volumes, and other changes, different scenario conditions are formed, and the range of WEC composition forms the result interval. For the calculation result boundary, the maximum and minimum values of the calculation model results under various changes are first used as the upper and lower bounds of the initial interval [46]. Subsequently, the decision makers participate in adjusting this initial interval, considering the adaptability of the current river and combining their own experience, to dynamically adjust the boundaries.
For the application of the calculation model, according to the different characteristics of the water function area, combined with the environmental changes and the richness of the data, a suitable model is selected. For the high functional area, the high standard WEC calculation model is used. For the low functional area, the low standard WEC calculation model is used to ensure that the calculated interval results are accurate. In addition, the calculation model should be adjusted in time according to the actual situation, and then the result interval should be recalculated. According to this process, the calculation model should be continuously revised to adapt to the dynamic changes in the environment. With the continuous application of the system, based on the calculation model component library, according to the change combined with the calculation time-scale intelligent push adaptive model combination, the adaptability of the results is continuously improved. The advantage of the interval expression of WEC is to provide a result interval, to resolve the risks caused by changes when guiding pollutant discharge, to increase its adaptability, and to dynamically adapt and improve the quality of decision-making services in the implementation process.
3.3. Dynamic Adaptive Simulation System for Water Environmental Capacity
The WEC under different conditions is not the same. River WEC is constantly changing, the change in flow size, the change in water environment, human influences, and so on will lead to the change in WEC. The traditional method of calculating WEC is to calculate the WEC value under static conditions by setting specific calculation conditions, determining the calculation period, fixed calculation parameters, etc. The calculation results are the WEC under specific conditions, which are mostly used for planning, but cannot be applied in practice. Therefore, in this paper, a dynamic adaptive calculation method of WEC is proposed which adapts to the change in hydrological conditions and social needs, and the realization of this method needs the support of information technology. Based on the database technology and the knowledge visualization integrated platform, the application of this method is realized, and the WEC dynamic adaptive computing system for the Shaanxi section of Wei River is designed and developed [47]. The design of the knowledge visualization integration platform conforms to the Technical Specification for Water Conservancy Information Processing Platform (SL538-2011), which is the standard in the water conservancy industry. The platform is based on service-oriented architecture (SOA) design, and uses theme, component, and knowledge graph visualization to build a business system. The system integrates various types of information, business application systems, and existing systems, finally providing Web services. On the platform, a multi-node big data service platform can be built based on a Hadoop or Spark framework. The typical cases completed by the platform include the comprehensive regulation of water resources security in Beijing–Tianjin–Hebei, the decision-making of hydropower dispatching in Shaanxi, and the comprehensive service of water resources in the Wei River.
The main interface of the WEC dynamic adaptive computing system for the Shaanxi section of the Wei River, which is based on this platform, is shown in Figure 6. Each rectangular button or icon depicted in the diagram represents a business node and corresponds to a relevant component. By clicking on a node, you can view the relevant information associated with it. In the calculation process, to select calculation conditions by clicking on nodes, choosing the pollutant type (COD, NH3-N), calculation method (standard model, etc.), design frequency (90%, 70%, 50%), time scale (yearly scale, wet, normal, and dry period, monthly scale), hydrological conditions, etc., you can select according to different needs. The calculation results will change with the change in calculation conditions. By clicking on the results of statistical nodes, users can view the calculation results in the form of tables or graphics. In addition, the river is generalized with the line segments, red dots, and blue dots shown in the figure. The line segments in the figure are the water functional areas, the red dots are the water quality and hydrological sections, and the blue dots are sewage outlets. The decision maker can obtain the WEC of each water function area under different calculation conditions by selecting the calculation conditions and clicking on the line segment representing the water function area. At the same time, users can click on the red dot representing the water quality and hydrology section to view the basic information of each water functional area, and click on the blue dot representing the sewage outlet to obtain the amount of sewage. Through this system, managers can manage rivers more scientifically and adaptively.
Figure 6.
The main interface of dynamic adaptive computing simulation system for WEC of Wei River.
Figure 7 shows the calculation results of the WEC in the Shaanxi section of the Wei River. The first table on the left-hand side of the figure shows the statistics on the discharge volume of each sewage outlet in the Xianyang industrial water area of the Wei River. The middle table is the WEC results for the Xianyang industrial water area of the Wei River, and the bottom table is the statistics on WEC parameters. The first table on the right-hand side of the figure is the statistical results of WEC, in the middle is the histogram of the WEC for water function areas, and the bottom table is the calculation result interval of WEC in the water function area. By clicking on the hydrologic condition node, the selection box in the upper left-hand corner of Figure 7 will appear. You can select the frequency arrangement method and calculation time scale, and click the nodes of “Model selection”, “pollutant type”, and “Guarantee rate selection” to select the corresponding contents, so as to realize the dynamic adaptive calculation for WEC.
Figure 7.
WEC dynamic adaptive simulation system calculation results display interface.
4. Results and Discussions
4.1. Water Environmental Capacity Calculation
Based on information technology, the WEC dynamic adaptive calculation simulation system for the Shaanxi section of the Wei River is constructed, and the WEC dynamic adaptive calculation method is realized in the system. With the support of this system, decision makers can select different calculation conditions according to river conditions and needs, and perform WEC calculations for the river at different time scales. The system can also integrate WEC calculation results under different scenarios within a certain time scale into an interval to enhance the adaptability and scientific accuracy in practical applications. In this paper, the calculation results of WEC for the Shaanxi section of the Wei River were selected in different situations, and the dynamic change characteristics of the river WEC were analyzed. Different models, different design frequencies, different frequency arrangements, and different time scales are taken as examples to illustrate the rationality and necessity of dynamic adaptive WEC calculation results in practical applications.
4.1.1. Yearly Scale
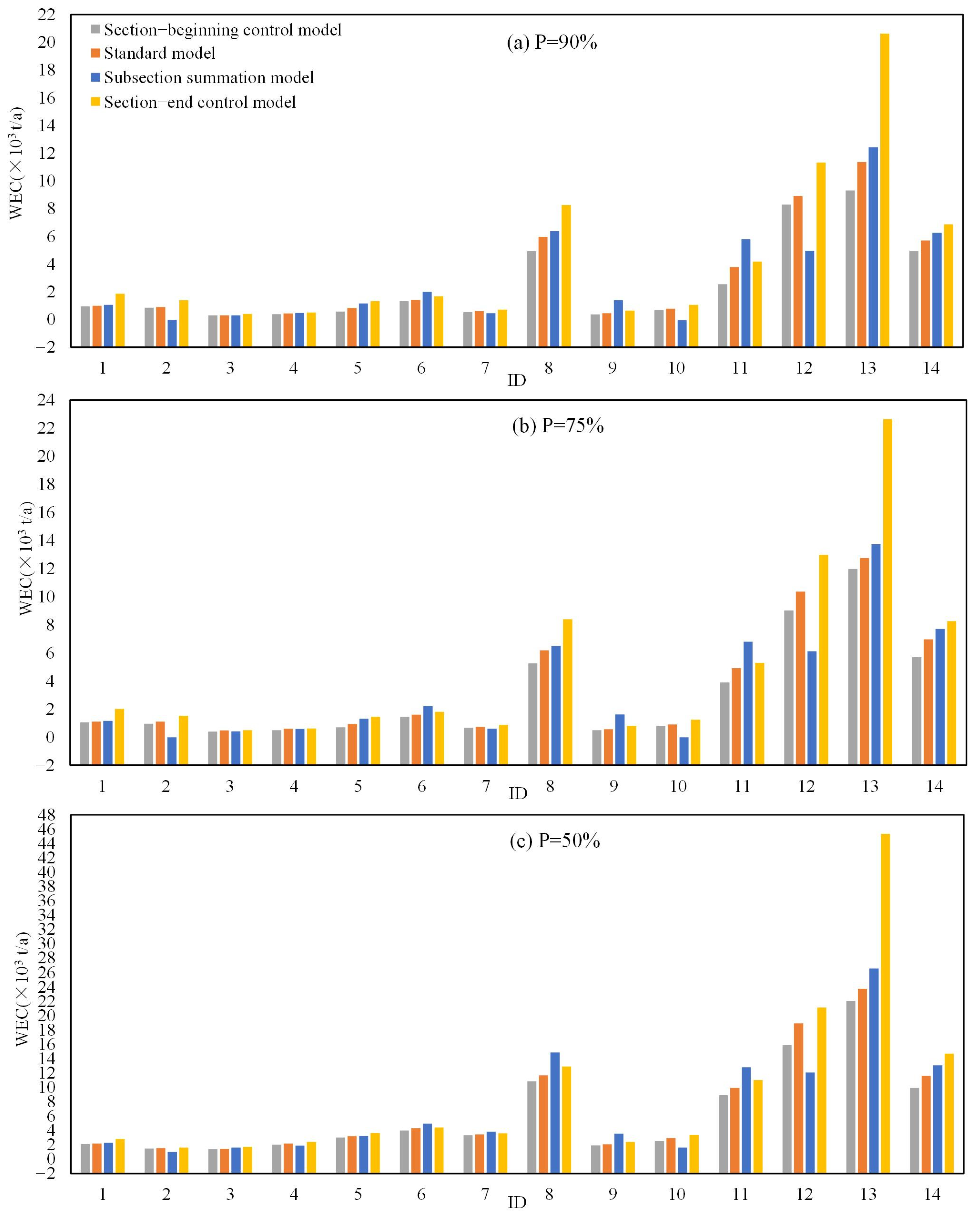
In order to facilitate the comparative analysis, the WEC results of COD and NH3-N in the same water function area under different design hydrological conditions were calculated using the standard model, the section-beginning control model, the section-end control model, and the subsection summation model through the simulation system. At a 90% design frequency, the COD WEC of the Shaanxi section of the Wei River based on the four calculation models is 42,449.18 t/a, 35,981.36 t/a, 60,824.15 t/a, and 42,574.95 t/a, respectively. The NH3-N WEC is 2453.97 t/a, 2163.43 t/a, 3088.36 t/a, and 2699.58 t/a, respectively. At a 75% design frequency, the COD WEC of the Shaanxi section of the Wei River based on the four calculation models is 49,130.73 t/a, 42,826.27 t/a, 68,318.24 t/a, and 48,680.20 t/a, respectively. The NH3-N WEC is 3259.76 t/a, 2959.55 t/a, 3928.37 t/a and 3571.13 t/a, respectively. At a 50% design frequency, the COD WEC of the Shaanxi section of the Wei River based on the four calculation models is 99,086.76 t/a, 89,302.05 t/a, 130,889.13 t/a, and 103,152.35 t/a, respectively. The NH3-N WEC is 4528.62 t/a, 4129.47 t/a, 5377.03 t/a, and 4857.39 t/a, respectively. Based on the four calculation models, the WEC values of both COD and NH3-N in the Shaanxi section of the Wei River increase as the design frequency decreases from 90% to 75% and then to 50%. It shows that the size of WEC is proportional to the design flow. In addition, the WEC of COD is larger than that of NH3-N, because the attenuation coefficient of NH3-N is small. By analyzing the results of the four models, it can be concluded that the calculation results of the section-end control model are the largest, followed by the subsection summation model, then the standard model, and finally the section-beginning control model, which is the smallest. The calculation results of the models verify the characteristics of each one. The section-end control model ensures that the water quality of the downstream control section meets the standard, as well as determining the maximum allowable discharge of each pollution source in the upstream. The subsection summation model considers the influence of tributaries and water intakes on WEC. It avoids the situation that the calculation requirements for WEC are too strict or too loose. The standard model is based on the generalized sewage outlet inflow section as the reference section. Its actual self-purification length is half of the river length. The section-beginning control model controls the water quality of the upstream section, and requires the water quality of the whole functional area to reach the standard. The change process of river WEC obtained by calculation of the four models is shown in Figure 8 and Figure 9. The ordinates of Figure 8 and Figure 9 are the size of WEC, and the abscissa is the ID of the water function areas (corresponding to the 14 water function areas in the Shaanxi section of Wei River in Table 1). Figure 8 illustrates the WEC of different models for COD at 90%, 75%, and 50% design frequencies, and Figure 9 illustrates the WEC of different models for NH3-N at 90%, 75%, and 50% design frequencies.
Figure 8.
Calculation results of COD WEC under different design frequencies.
Figure 9.
Calculation results of NH3N WEC under different design frequencies.
Based on the comprehensive analysis of Figure 8 and Figure 9, it can be seen that the WEC calculation results of the four calculation models of nearly half of the water function zoning follow the rule of the section-end control model > the subsection summation model > the standard model > the section-beginning control model. However, the WEC calculation results of the subsection summation model in water function areas 2, 10, and 12 are the smallest, and the WEC calculation results of the subsection summation model water function areas of 6, 9, 11, and 14 are the largest, which is due to the characteristics of the model. The subsection summation model takes into account the influence of tributaries and water intakes when calculating the WEC. There are large water intakes in the 2, 10, and 12 water function areas, and large tributaries in the 6, 9, 11, and 14 water function areas. The water intake reduces the flow, resulting in the WEC also being small. On the contrary, the tributary increases the flow, leading to the WEC increasing. It shows that the larger water intake and tributaries in the water function area will affect the size of WEC. In addition, it can be seen from Figure 8 and Figure 9 that among the 14 water functional areas in the Shaanxi section of the Wei River, the WEC of the Weinan agricultural water use area (ID:13) is the largest, and the WEC of the Baoji agricultural water use area (ID:2), Baoji landscape area (ID:3), and Xianyang sewage control area (ID:10) are the smallest. By analyzing the WEC of different design frequencies in Figure 8 and Figure 9, it can be concluded that WEC is negatively correlated with the size of design frequency, that is, WEC decreases with the increase in design frequency.
4.1.2. Wet, Normal and Dry Periods
The WEC of COD and NH3-N in the different functional areas of the Wei River, during different water periods, at a 90% design frequency, has been calculated. The frequency arrangement mode is based on the frequency of the water period, and the standard model is selected as the calculation model. Under a design frequency of 90%, the calculation results for COD WEC in wet, normal, and dry periods are 137,418.76 t/a, 69,795.8 t/a, and 57,546.77 t/a, respectively. Similarly, the calculation results for NH3-N WEC are 4871.63 t/a, 2733.44 t/a, and 1940.03 t/a, respectively. Comparing and analyzing the WEC of COD and NH3-N in the wet, normal, and dry periods, it can be concluded that the wet period has the highest WEC, followed by the normal period, and then the dry period. The variation process of the WEC of COD and NH3-N in different water periods in the Shaanxi section of the Wei River is shown in Figure 10 and Figure 11.
Figure 10.
The calculation results of COD WEC in different water periods based on the standard model.
Figure 11.
The calculation results of NH3-N WEC in different water periods based on the standard model.
It can be seen from Figure 10 and Figure 11 that the WEC of each water function area is relatively large during the wet period and relatively small during the dry period. In practical management and planning, decision-makers can formulate corresponding pollutant emission control strategies and water resources protection measures based on the characteristics of WEC in different periods.
4.1.3. Monthly Scale
The WEC of COD and NH3-N at 50%, 75%, and 90% design frequencies for each water function area in the Shaanxi section of the Wei River from January to December has been calculated. In this paper, the Gansu–Shaanxi buffer zone of the Wei River was taken as an example to analyze the monthly changes in WEC. Figure 12 and Figure 13 are the monthly WEC change trend of COD and NH3-N in the Gansu–Shaanxi buffer zone of the Wei River.
Figure 12.
Monthly variation trend of COD WEC in Gansu–Shaanxi buffer zone of Wei River under different design frequencies.
Figure 13.
Monthly variation trend of NH3-N WEC in Gansu–Shaanxi buffer zone of Wei River under different design frequencies.
It can be seen from Figure 12 and Figure 13 that the monthly WEC within the year is significantly different. The WEC in September is the largest from January to December, accounting for approximately 16.53% of the annual WEC. This is followed by October and August, which together account for about 25.13% of the annual WEC. The third largest WEC values are observed in July and May, while the WEC in June is slightly smaller. The WEC in February and March is the smallest relatively, accounting for only 1.73% of the annual WEC. The monthly WEC throughout the year is ranked as follows: September > October > August > July > May > June > November > April > December > January > March > February.
4.2. Water Environment Capacity Interval
Using the simulation system, the result intervals of WEC for each water function zone can be calculated under varying time scales, hydrological conditions, calculation methods, and parameters. The intervals of the calculation results for COD and NH3-N WEC in the Gansu–Shaanxi buffer zone are shown in Table 2 and Table 3, respectively. It can be seen that the intervals of COD WEC in the 90%, 75%, and 50% flood periods for the Gansu–Shaanxi buffer zone of the Wei River are [3319.59, 6002.50] t/a, [5638.69, 10,195.71] t/a, and [13,100.59, 20,539.60] t/a, respectively. Similarly, the intervals of NH3-N WEC for these same flood periods are [503.42, 708.12] t/a, [825.15, 1170.18] t/a, and [1412.48, 2130.47] t/a, respectively. In the non-flood period, the intervals of COD WEC are [3431.15, 7467.45] t/a, [5585.52, 12,363.83] t/a, and [9842.24, 19,248.18] t/a, while the intervals of NH3-N WEC are [496.82, 847.97] t/a, [675.11, 1132.46] t/a, and [1055.55, 1902.38] t/a, respectively. Decision makers can determine the appropriate WEC based on their own experience and the actual situation, taking into account the interval of calculation results for the WEC, in order to adapt to the dynamic changes in the external world.
Table 2.
The calculation results interval of COD WEC of different design frequencies in Gansu–Shaanxi buffer zone of Wei River in each month. unit: t/a.
Table 3.
The calculation results interval of NH3-N WEC of different design frequencies in Gansu–Shaanxi buffer zone of Wei River in each month. unit: t/a.
5. Conclusions
The WEC of the river is a quantity that dynamically changes over time. It is influenced by numerous factors, including hydrological conditions, model parameters, spatial scales, and human activities. The calculation of WEC should adopt a dynamic method rather than a static one. At present, most scholars at home and abroad use a specific hydrological condition or a deterministic model to calculate the WEC. In order to solve the problem that traditional WEC calculation is difficult to adapt to the needs and changes in hydrological conditions, in this study, a dynamic adaptive calculation method is proposed for WEC. The implementation of this method necessitates the support of information technology. Based on an integrated platform, knowledge graph technology is used to visualize the river water function area. The WEC calculation model is componentized by integrating component technology, SOA architecture, and Web service technology. The knowledge graph and components are used to build a dynamic adaptive WEC calculation simulation system quickly and flexibly. The WEC dynamic adaptive calculation method is applied to the Shaanxi section of the Wei River, and the WEC dynamic adaptive calculation simulation system of the Shaanxi section of the Wei River is constructed. The following conclusions are obtained:
- (1)
- The size of the river WEC is closely related to factors such as design flow, water period, spatial scale, parameters, water quality objectives, and others. The larger the design flow, the greater the degradation coefficient, and the greater the difference in water quality targets between adjacent water functional areas. Additionally, the river in the wet season tends to have a larger WEC. Managers can apply different restrictions on WEC depending on different water periods, functional areas, and water volumes. When WEC is large, it discharges more pollutants, whereas when the WEC is small, it is strictly controlled. Dynamic management can make better use of the resource value of WEC.
- (2)
- This method enables the dynamic adaptive calculation of WEC. The dynamic adaptive simulation system based on this method can perform WEC calculations across various spatial–temporal scales, using different calculation methods, with different design frequencies, and under various parameter combinations. Through personalized customization, users can choose the WEC calculation scheme that best suits their needs.
- (3)
- This method improves the adaptability of WEC calculation results. The WEC, under this method, varies in response to changes in variable factors such as spatial–temporal scale, design frequencies, and calculation models. The variable interval is used to describe the calculation results of WEC, which can cope with the complex and changeable environment and demand.
- (4)
- The dynamic adaptive computing simulation system under this method makes the calculation process of WEC visualized, componentized, and dynamic, which makes the calculation results more reasonable and practical. According to the actual needs of users, the existing WEC calculation model is encapsulated into standardized components and added to the component library. It can be replaced, integrated, and directly extracted for use. It does not need to rewrite the code, which shortens the system development cycle and improves the system development efficiency.
The dynamic adaptive calculation method for river WEC proposed in this paper promotes innovation in WEC calculation methodologies and theories, improves the scientific nature of water environment management, the accuracy of environmental management decision-making, and promotes the implementation of water environment planning and total pollutant control. With the aggravation of global climate change, future research should focus on the impact mechanism of climate change on WEC, explore dynamic WEC calculation methods to adapt to climate change, and provide technical support for addressing the challenges posed by climate change.
Author Contributions
Conceptualization, Y.G.; methodology, Y.G. and N.W.; data analysis, F.G. and Y.G.; writing—original draft preparation, Y.G. and G.Z.; writing—review and editing, J.X. and J.L.; supervision, N.W. All authors have read and agreed to the published version of the manuscript.
Funding
This research was supported by the Key Scientific Research Program of Education Department of Shaanxi Provincial Government (Grant No. 22JT029), the Science and Technology Program of Shaanxi Province (Grant No. 2021slkj-5), and the Program of Powerchina Northwest Engineering Corporation Limited (Grant No. XBY-ZDKJ-2022-5).
Institutional Review Board Statement
Not applicable.
Informed Consent Statement
Not applicable.
Data Availability Statement
The authors confirm that the data supporting the findings of this study are available within this article.
Acknowledgments
The authors are grateful to the editors and the anonymous reviewers for their insightful comments and suggestions.
Conflicts of Interest
The authors declare no conflicts of interest.
References
- Zhang, H.; Cao, X.; Huo, S.; Ma, C.; Li, W.; Liu, Y.; Tong, Y.; Wu, F. Changes in China’s river water quality since 1980: Management implications from sustainable development. Npj Clean Water 2023, 6, 45. [Google Scholar] [CrossRef]
- Wang, M.; Janssen, A.B.G.; Bazin, J.; Strokal, M.; Ma, L.; Kroeze, C. Accounting for interactions between Sustainable Development Goals is essential for water pollution control in China. Nat. Commun. 2022, 13, 730. [Google Scholar] [CrossRef] [PubMed]
- Ma, T.; Sun, S.; Fu, G.; Hall, J.W.; Ni, Y.; He, L.; Yi, J.; Zhao, N.; Du, Y.; Pei, T.; et al. Pollution exacerbates China’s water scarcity and its regional inequality. Nat. Commun. 2020, 11, 650. [Google Scholar] [CrossRef] [PubMed]
- Wang, X.; Li, R.; Tian, Y.; Liu, C. Watershed-scale water environmental capacity estimation assisted by machine learning. J. Hydrol. 2021, 597, 126310. [Google Scholar] [CrossRef]
- Chinyama, A.; Ncube, R.; Ela, W. Critical pollution levels in Umguza River, Zimbabwe. Phys. Chem. Earth 2016, 93, 76–83. [Google Scholar] [CrossRef]
- Bai, J.Z.; Yang, J.M.; Feng, M.Q. Study on the water environmental capacity and the sewage control of the Sushui River. In Materials Science and Information Technology; Zhang, C.S., Ed.; Trans Tech Publications Ltd.: Zurich, Switzerland, 2012; Pts 1–8; pp. 995–1001. [Google Scholar]
- Liu, L.; Zhou, J.; An, X. Using fuzzy theory and information entropy for water quality assessment in Three Gorges region, China. Expert Syst. Appl. 2010, 37, 2517–2521. [Google Scholar] [CrossRef]
- Pinto, D.; Shrestha, S.; Babel, M.S. Delineation of groundwater potential zones in the Comoro watershed, Timor Leste using GIS, remote sensing and analytic hierarchy process (AHP) technique. Appl. Water Sci. 2017, 7, 503–519. [Google Scholar] [CrossRef]
- Monfared, S.A.H.; Darmian, M.D.; Snyder, S.A.; Azizyan, G.; Pirzadeh, B.; Moghaddam, M.A. Water quality planning in rivers: Assimilative capacity and dilution flow. Bull. Environ. Contam. Toxicol. 2017, 99, 531–541. [Google Scholar] [CrossRef]
- Li, Y.X.; Qiu, R.Z.; Yang, Z.F.; Li, C.H.; Yu, J.S. Parameter determination to calculate water environmental capacity in Zhangweinan Canal Sub-basin in China. J. Environ. Sci. 2010, 22, 904–907. [Google Scholar] [CrossRef]
- Shu, S.H.; Ma, H.A. Comparison of two models for calculating water environment capacity of Songhua River. In Life System Modeling and Intelligent Computing; Li, K., Jia, L., Sun, X., Fei, M., Irwin, G.W., Eds.; Springer: Berlin/Heidelberg, Germany, 2010; Volume 6330, pp. 683–690. [Google Scholar]
- Wu, P.; Tang, Y.; Dang, M.; Wang, S.; Jin, H.; Liu, Y.; Jing, H.; Zheng, C.; Yi, S.; Cai, Z. Spatial-temporal distribution of microplastics in surface water and sediments of Maozhou River within Guangdong-Hong Kong-Macao Greater Bay Area. Sci. Total Environ. 2020, 717, 135187. [Google Scholar] [CrossRef]
- Guo, J.X.; Wang, L.C.; Yang, L.; Deng, J.C.; Zhao, G.M.; Guo, X.Y. Spatial-temporal characteristics of nitrogen degradation in typical Rivers of Tai Lake Basin, China. Sci. Total Environ. 2020, 713, 136456. [Google Scholar] [CrossRef] [PubMed]
- Shi, B.; Wang, P.; Jiang, J.P.; Liu, R.T. Applying high-frequency surrogate measurements and a wavelet-ANN model to provide early warnings of rapid surface water quality anomalies. Sci. Total Environ. 2018, 610–611, 1390–1399. [Google Scholar] [CrossRef]
- Shi, Y.N.; Eissenstat, D.M.; He, Y.T.; Davis, K.J. Using a spatially-distributed hydrologic biogeochemistry model with a nitrogen transport module to study the spatial variation of carbon processes in a Critical Zone Observatory. Ecol. Model. 2018, 380, 8–21. [Google Scholar] [CrossRef]
- Liu, Q.K.; Jiang, J.G.; Jing, C.W.; Qi, J.G. Spatial and seasonal dynamics of water environmental capacity in mountainous rivers of the southeastern coast, China. Int. J. Environ. Res. Public Health 2018, 15, 21. [Google Scholar] [CrossRef] [PubMed]
- Fu, L.; Wang, J.; Jin, Q.; You, A. Study of sustainable development in Yongkang city based on environmental capacity and pollutant control. IOP Conf. Ser. Earth Environ. Sci. 2020, 510, 032020. [Google Scholar] [CrossRef]
- Yan, R.H.; Gao, Y.N.; Li, L.L.; Gao, J.F. Estimation of water environmental capacity and pollution load reduction for urban lakeside of Lake Tai, eastern China. Ecol. Eng. 2019, 139, 105587. [Google Scholar] [CrossRef]
- Chen, Q.W.; Wang, Q.B.; Li, Z.J.; Li, R.N. Uncertainty analyses on the calculation of water environmental capacity by an innovative holistic method and its application to the Dongjiang River. J. Environ. Sci. 2014, 26, 1783–1790. [Google Scholar] [CrossRef] [PubMed]
- Xie, R.R.; Pang, Y.; Bao, K. Spatiotemporal distribution of water environmental capacity-a case study on the western areas of Tai Lake in Jiangsu Province, China. Environ. Sci. Pollut. Res. 2014, 21, 5465–5473. [Google Scholar] [CrossRef]
- Li, K.Q.; Zhang, L.; Li, Y.; Zhang, L.J.; Wang, X.L. A three-dimensional water quality model to evaluate the environmental capacity of nitrogen and phosphorus in Jiaozhou Bay, China. Marine Pollut. Bull. 2015, 91, 306–316. [Google Scholar] [CrossRef]
- Liu, R.M.; Sun, C.C.; Han, Z.X.; Chen, L.; Huang, Q.; Chen, Y.X.; Gao, S.H.; Shen, Z.Y. Water environmental capacity calculation based on uncertainty analysis: A case study in the Baixi watershed area, China. Procedia Environ. Sci. 2012, 13, 1728–1738. [Google Scholar] [CrossRef]
- Zhao, C.S.; Yang, S.T.; Sun, Y.; Zhang, H.T.; Sun, C.L.; Xu, T.R.; Lim, R.P.; Mitrovic, S.M. Estimating river accommodation capacity for organic pollutants in data-scarce areas. J. Hydrol. 2018, 564, 442–451. [Google Scholar] [CrossRef]
- Bui, L.T.; Pham, H.T.H. Linking hydrological, hydraulic and water quality models for river water environmental capacity assessment. Sci. Total Environ. 2023, 857, 159490. [Google Scholar] [CrossRef]
- Li, J.; Shen, Z. Uncertainty analysis and economic value prediction of water environmental capacity based on Copula and Bayesian model: A case study of Yitong River, China. J. Environ. Manag. 2024, 359, 121059. [Google Scholar] [CrossRef]
- Fang, X.B.; Zhang, J.Y.; Mei, C.X.; Wong, M.H. The assimilative capacity of Qiantang River watershed, China. Water Environ. J. 2012, 28, 192–202. [Google Scholar] [CrossRef]
- Wang, N.; Li, J.W.; Xie, J.C. Dynamic study on pollution carrying capacity of urban rivers. Environ. Eng. 2014, 32, 50–54. [Google Scholar] [CrossRef]
- Song, X.F.; Jin, Y. Study on the pollutant carrying capacity of the backwater river in the water receiving area of the Han-to-Wei River Water Diversion Project in Shaanxi Province. People’s Yellow River 2020, 42, 76–80. [Google Scholar]
- Weiwei, S.; Yong, P. Water environmental capacity and pollutant sharing rate calculation based on water diversion of qinhuai river. In Proceedings of the 7th International Conference on Informatics, Environment, Energy and Application, Beijing, China, 28–31 March 2018; pp. 10–14. [Google Scholar] [CrossRef]
- Huang, Y.F.; Wang, J.S.; Yang, M. Analysis of dynamic pollution absorption capacity of East Dongting Lake based on water-area-lake volume relationship. J. Yangtze River Sci. Res. Inst. 2018, 35, 12–16. [Google Scholar]
- Zavareh, M.M.J.; Mahjouri, N.; Rahimzadegan, M.; Rahimpour, M. A drought index based on groundwater quantity and quality: Application of multivariate copula analysis. J. Clean. Prod. 2023, 417, 137959. [Google Scholar] [CrossRef]
- Wang, X.; Su, P.; Lin, Q.; Song, J.; Sun, H.; Cheng, D.; Wang, S.; Peng, J.; Fu, J. Distribution, assessment and coupling relationship of heavy metals and macroinvertebrates in sediments of the Wei River Basin. Sustain. Cities Soc. 2019, 50, 101665. [Google Scholar] [CrossRef]
- Zhang, X.; Luo, J.G.; Du, J.L.; Jin, N.; Cui, Z. Study and application of thematic model for dynamic calculation of pollutant carrying capacity of water functional zones. Water Conserv. Inf. Technol. 2016, 2, 24–28. [Google Scholar] [CrossRef]
- Xia, X.Q.; Zhang, L.; Yao, L.J. Health assessment of Wei River based on AHP-fuzzy comprehensive evaluation method. J. Northwest Univ. (Nat. Sci. Ed.) 2024, 54, 413–423. [Google Scholar]
- Liu, G.Y. The Characteristics of Water Quality Change in Shaanxi Section of Wei River and the Evaluation of the Implementation Effect of Its Control Policy. Master’s Thesis, Xi’an University of Architecture and Technology, Xi’an, China, 2023. [Google Scholar]
- Hu, D.X.; Li, L.; Zhang, Y. Changes and trends of water quality before and after comprehensive treatment in Shaanxi section of Wei River. J. Bull. Soil Water Conserv. 2018, 38, 91–96. [Google Scholar]
- GB 3838-2002; State Environmental Protection Administration, General Administration of Quality Supervision, Inspection and Quarantine of the People’s Republic of China. Environmental quality standards for surface water; China Environmental Science Press: Beijing, China, 2002. (In Chinese)
- Gen, W.B.; Zhao, S.; Hou, J.S. Analysis of dynamic pollutant carrying capacity of Anyang River. J. Yellow River 2021, 43, 110–113. [Google Scholar]
- Luo, H.P.; Zhao, K.F.; Cao, H.Q. Summary and thinking on the calculation theory of water pollution carrying capacity. J. Yangtze River Sci. Res. Inst. 2022, 39, 47–55+69. [Google Scholar]
- Liu, X.D.; Yang, T.; Shi, J.J. Discussion on the river calculation model in the current waters’ pollutant carrying capacity calculation procedure. J. Environ. Prot. Sci. 2018, 44, 32–36. [Google Scholar]
- Zhang, X.J.; Yang, K.; Cai, A.F. Analysis of the influence of uncertain parameters on the pollutant carrying capacity of water bodies. J. China Rural. Water Hydropower 2012, 01, 13–17. [Google Scholar]
- Zhou, X.D.; Guo, J.L.; Cheng, W.; Song, C.; Cao, G. The comparison of the environmental capacity calculation methods. J. Xi’an Univ. Technol. 1999, 15, 1–6. [Google Scholar] [CrossRef]
- GB/T 25173-2010.2010-09-26; Rules for Calculation of Water Area Pollution Carrying Capacity. Ministry of Water Resources of the People’s Republic of China: Beijing, China, 2010.
- Zhang, X.; Luo, J.G.; Xie, J.C. Study and application of a calculation model of river pollution carrying capacity considering water intake and tributaries. J. Hydraul. Eng. 2017, 48, 317–324. [Google Scholar] [CrossRef]
- Zhang, X. Study on Dynamic Analysis and Calculation of Pollutant Carrying Capacity and Process Control of Water Function Area (River Section). Ph.D. Thesis, Xi’an University of Technology, Xi’an, China, 2020. [Google Scholar]
- Zhang, G.; Xie, J.C.; Luo, J.G. Calculation of pollutant carrying capacity in Longmen-Sanmenxia section of the Yellow River. Water Resour. Prot. 2013, 29, 18–21. [Google Scholar]
- Xie, J.C.; Luo, J.G. Integrated service platform for the information explosion process in water resources industry and its application pattern. Water Resour. Inf. 2010, 5, 18–22. [Google Scholar] [CrossRef]
Disclaimer/Publisher’s Note: The statements, opinions and data contained in all publications are solely those of the individual author(s) and contributor(s) and not of MDPI and/or the editor(s). MDPI and/or the editor(s) disclaim responsibility for any injury to people or property resulting from any ideas, methods, instructions or products referred to in the content. |
© 2024 by the authors. Licensee MDPI, Basel, Switzerland. This article is an open access article distributed under the terms and conditions of the Creative Commons Attribution (CC BY) license (https://creativecommons.org/licenses/by/4.0/).












