Study on the Susceptibility of Drifting Snow in Ya’an–Qamdo Section of the Railway in Southwest China
Abstract
1. Introduction
2. Data and Methodology
2.1. Study Area
2.2. WRF Setup and Experiment
2.2.1. Equations of WRF
2.2.2. Model Configuration
2.3. Verification of Simulation Results
2.3.1. Evaluation Statistics
2.3.2. Verify Performance for WRF Model
2.4. Occurrence Probability Determination Method
3. Result and Discussion
3.1. Simulation Results of Temperature Distribution
3.2. Simulation Results of Precipitation Distribution
3.3. Simulation Results of Wind Field Distribution
3.4. Drifting Snow Susceptibility Judgment
3.5. Discussion of Occurrence Probability
4. Conclusions
- (1)
- Among the simulations of temperature, rainfall, and wind speed, the simulation result of temperature is the best, followed by wind speed and rainfall. The WRF model can simulate the change trend of the three meteorological elements very accurately during the calculation period.
- (2)
- For mountainous areas with complex terrain, using the method of increasing the number of layers in the vertical direction and densifying near the ground can significantly improve the simulation result of wind speed by the WRF model.
- (3)
- The regional climate of the Ya’an to Qamdo railway is influenced by the south branch jet stream of the westerly circulation. The temperature is high in the east and low in the west, the rainfall is more in the east and less in the west, and the wind speed is high in the west and low in the east. The average wind speed is concentrated around 5–8 m/s, and the dominant wind direction in winter is mainly westerly and southwesterly.
- (4)
- The WRF model can be applied to determine the susceptibility of drifting snow in areas lacking meteorological information: the total length of Ya’an–Qamdo section is about 700 km, of which about 321 km of railway may experience drifting snow. The railway is more likely to be affected by drifting snow disaster when passing through Kangding County, Luding County, and Tianquan County where they border each other; although there are places with higher probability of drifting snow occurrence in the simulation area, these places are far away from the railway and will not affect it.
Author Contributions
Funding
Institutional Review Board Statement
Informed Consent Statement
Data Availability Statement
Conflicts of Interest
References
- Bagnold, R.A. The Physics of Blown Sand and Desert Dunes; Methuen & Co., Ltd.: London, UK, 1941; Volume 265. [Google Scholar]
- Owen, P.R. Saltation of uniform grains in air. J. Fluid Mech. 1964, 20, 225–242. [Google Scholar] [CrossRef]
- Kind, R.J. Mechanics of aeolian transport of snow and sand. J. Wind Eng. Ind. Aerodyn. 1990, 36, 855–866. [Google Scholar] [CrossRef]
- Budd, W.F. The drifting of nonuniform snow particles. Stud. Antarct. Meteorol. 1966, 9, 59–70. [Google Scholar]
- Schmidt, R.A. Estimates of threshold windspeed from particle sizes in blowing snow. Cold Reg. Sci. Technol. 1981, 4, 187–193. [Google Scholar] [CrossRef]
- Kind, R.J.; Murray, S.B. Saltation flow measurements relating to modeling of snowdrifting. J. Wind Eng. Ind. Aerodyn. 1982, 10, 89–102. [Google Scholar] [CrossRef]
- Flaga, A.; Flaga, L. Wind tunnel tests and analysis of snow load distribution on three different large size stadium roofs. Cold Reg. Sci. Technol. 2019, 160, 163–175. [Google Scholar] [CrossRef]
- Qiang, S.G.; Zhou, X.Y.; Kosugi, K.; Gu, M. A study of snow drifting on a flat roof during snowfall based on simulations in a cryogenic wind tunnel. J. Wind Eng. Ind. Aerodyn. 2019, 188, 269–279. [Google Scholar] [CrossRef]
- Liu, M.M.; Zhang, Q.W.; Fan, F.; Shen, S.Z. Modeling of the Snowdrift in Cold Regions: Introduction and Evaluation of a New Approach. Appl. Sci. 2019, 9, 3393. [Google Scholar] [CrossRef]
- Li, P.X.; Bai, M.Z.; Ding, L.S.; Cui, Z.Z.; Zhang, Z.C. Field measurement and outdoor wind tunnel test of snow-drifting: Snow distribution characteristics of railway subgrade and deposition mechanism. J. Wind Eng. Ind. Aerodyn. 2022, 230, 15. [Google Scholar] [CrossRef]
- Basnet, K.; Constantinescu, G.; Muste, M.; Ho, H. Method to Assess Efficiency and Improve Design of Snow Fences. J. Eng. Mech. 2015, 141, 04014136. [Google Scholar] [CrossRef]
- Li, P.X.; Bai, M.Z.; Li, J.X.; Qiu, S.M.; Wei, Z.J. Analysis of the influence of snow fences on snow redistribution under snow-drifting in railway cuttings. Cold Reg. Sci. Technol. 2022, 196, 103520. [Google Scholar] [CrossRef]
- Nieto, P.J.G.; Diaz, J.J.D.; Castro-Fresno, D.; Munoz, F.B. Numerical simulation of the performance of a snow fence with airfoil snow plates by FVM. J. Comput. Appl. Math. 2010, 234, 1200–1210. [Google Scholar] [CrossRef]
- Ma, W.; Luo, Y.; Li, F.; Sun, Y. The influence of wind deflectors on the snow distribution in road cuttings during snowdrift. Cold Reg. Sci. Technol. 2022, 196, 103505. [Google Scholar] [CrossRef]
- Li, L.; Pomeroy, J.W. Estimates of threshold wind speeds for snow transport using meteorological data. J. Appl. Meteorol. 1997, 36, 205–213. [Google Scholar] [CrossRef]
- Bychkova, V.I.; Kurbatova, M.M.; Zarochentsev, G.A.; Ignatov, R.Y. Blowing Snow Forecast Using Numerical Atmospheric Model Output Data. Russ. Meteorol. Hydrol. 2018, 43, 444–448. [Google Scholar] [CrossRef]
- Libbrecht, K.G. Physical Dynamics of Ice Crystal Growth. Annu. Rev. Mater. Res. 2017, 47, 271–295. [Google Scholar] [CrossRef]
- Huang, N.; Sang, J.B.; Han, K. A numerical simulation of the effects of snow particle shapes on blowing snow development. J. Geophys. Res.-Atmos. 2011, 116, D22206. [Google Scholar] [CrossRef]
- Mellor, M. Blowing Snow. Monogr. III-A3C; US Army Cold Regions Research and Engineering Laboratory: Hanover, NH, USA, 1965. [Google Scholar]
- He, B.H.; Bai, M.Z.; Liu, B.L.; Li, P.X.; Qiu, S.M.; Li, X.; Ding, L.S. Evaluation of Drifting Snow Susceptibility Based on GIS and GA-BP Algorithms. Isprs Int. J. Geo-Inf. 2022, 11, 142. [Google Scholar] [CrossRef]
- Caldwell, P.; Chin, H.N.S.; Bader, D.C.; Bala, G. Evaluation of a WRF dynamical downscaling simulation over California. Clim. Chang. 2009, 95, 499–521. [Google Scholar] [CrossRef]
- Chotamonsak, C.; Salathe, E.P.; Kreasuwan, J.; Chantara, S.; Siriwitayakorn, K. Projected climate change over Southeast Asia simulated using a WRF regional climate model. Atmos. Sci. Lett. 2011, 12, 213–219. [Google Scholar] [CrossRef]
- Goncalves, M.; Barrera-Escoda, A.; Guerreiro, D.; Baldasano, J.M.; Cunillera, J. Seasonal to yearly assessment of temperature and precipitation trends in the North Western Mediterranean Basin by dynamical downscaling of climate scenarios at high resolution (1971–2050). Clim. Chang. 2014, 122, 243–256. [Google Scholar] [CrossRef]
- Yang, X. Research on the Characteristics of Drifting Snow Disaster in Xinjiang Mayitas Traffic Corridor. J. Railw. Eng. Soc. 2018, 35, 1–6. [Google Scholar]
- Qi, Y. Strategies of railway alignment selection for Karamay-Tacheng railway in Xinjiang considering snow drifting disasters. J. Railw. Sci. Eng. 2018, 15, 2813–2824. [Google Scholar]
- Luo, Y.; Ma, W.-Y.; Sun, Y.-C. Prediction on wind speed and wind direction of traffic line in alpine region. Gongcheng Lixue/Eng. Mech. 2022, 39, 195–201. [Google Scholar] [CrossRef]
- Ma, J.L.; Yao, X.P. Summer Extreme Precipitation in the Key Region of the Sichuan-Tibet Railway. Adv. Atmos. Sci. 2023, 40, 843–855. [Google Scholar] [CrossRef]
- Lin, Z.Q.; Yao, X.P.; Du, J.; Zhou, Z.B. Refined Evaluation of Satellite Precipitation Products against Rain Gauge Observations along the Sichuan-Tibet Railway. J. Meteorol. Res. 2022, 36, 779–797. [Google Scholar] [CrossRef]
- Zhang, J.P.; Zhao, T.B.; Zhou, L.B.; Ran, L.K. Historical Changes and Future Projections of Extreme Temperature and Precipitation along the Sichuan-Tibet Railway. J. Meteorol. Res. 2021, 35, 402–415. [Google Scholar] [CrossRef]
- Gao, Y.; Xu, J.; Chen, D. Evaluation of WRF Mesoscale Climate Simulations over the Tibetan Plateau during 1979–2011. J. Clim. 2015, 28, 2823–2841. [Google Scholar] [CrossRef]
- Chen, S.; Hamdi, R.; Ochege, F.U.; Du, H.; Chen, X.; Yang, W.; Zhang, C. Added Value of a Dynamical Downscaling Approach for Simulating Precipitation and Temperature Over Tianshan Mountains Area, Central Asia. J. Geophys. Res.-Atmos. 2019, 124, 11051–11069. [Google Scholar] [CrossRef]
- Minder, J.R.; Letcher, T.W.; Skiles, S.M. An evaluation of high-resolution regional climate model simulations of snow cover and albedo over the Rocky Mountains, with implications for the simulated snow-albedo feedback. J. Geophys. Res.-Atmos. 2016, 121, 9069–9088. [Google Scholar] [CrossRef]
- Wrzesien, M.L.; Durand, M.T.; Pavelsky, T.M.; Howat, I.M.; Margulis, S.A.; Huning, L.S. Comparison of Methods to Estimate Snow Water Equivalent at the Mountain Range Scale: A Case Study of the California Sierra Nevada. J. Hydrometeorol. 2017, 18, 1101–1119. [Google Scholar] [CrossRef]
- Liu, L.; Zhang, X.Z.; Han, C.B.; Ma, Y.M. A performance evaluation of various physics schemes on the predictions of precipitation and temperature over the Tibet Autonomous Region of China. Atmos. Res. 2023, 292, 106878. [Google Scholar] [CrossRef]
- Minola, L.; Zhang, G.F.; Ou, T.H.; Kukulies, J.; Curio, J.; Guijarro, J.A.; Deng, K.Q.; Azorin-Molina, C.; Shen, C.; Pezzoli, A.; et al. Climatology of near-surface wind speed from observational, reanalysis and high-resolution regional climate model data over the Tibetan Plateau. Clim. Dyn. 2023. [Google Scholar] [CrossRef]
- Zhou, X.; Ding, B.H.; Yang, K.; Pan, J.M.; Ma, X.G.; Zhao, L.; Li, X.; Shi, J.C. Reducing the Cold Bias of the WRF Model Over the Tibetan Plateau by Implementing a Snow Coverage-Topography Relationship and a Fresh Snow Albedo Scheme. J. Adv. Model. Earth Syst. 2023, 15, e2023MS003626. [Google Scholar] [CrossRef]
- Zhi-Hui, Y.; Lian-Tang, D. Description of Microphysical Processes in WRF Model and Its Prediction Experiment. Desert Oasis Meteorol. 2007, 1, 1–6. [Google Scholar]
- Xie, B.; Fung, J.C.H.; Chan, A.; Lau, A. Evaluation of nonlocal and local planetary boundary layer schemes in the WRF model. J. Geophys. Res.-Atmos. 2012, 117, D12103. [Google Scholar] [CrossRef]
- Liu, L.; Ma, Y.; Menenti, M.; Zhang, X.; Ma, W. Evaluation of WRF Modeling in Relation to Different Land Surface Schemes and Initial and Boundary Conditions: A Snow Event Simulation Over the Tibetan Plateau. J. Geophys. Res. Atmos. 2019, 124, 209–226. [Google Scholar] [CrossRef]
- Fan, Z.U.; Shuxian, F.; Yongwei, W.; Xi, W.U. Numerical simulation and error characteristics for wind speed on a wind farm over a complex underlying surface. Trans. Atmos. Sci. 2016, 39, 672–682. [Google Scholar]
- Du, Y.; Xu, T.; Che, Y.; Yang, B.; Chen, S.; Su, Z.; Su, L.; Chen, Y.; Zheng, J. Uncertainty Quantification of WRF Model for Rainfall Prediction over the Sichuan Basin, China. Atmosphere 2022, 13, 838. [Google Scholar] [CrossRef]
- Vionnet, V.; Guyomarc’h, G.; Bouvet, F.N.; Martin, E.; Durand, Y.; Bellot, H.; Bel, C.; Puglièse, P. Occurrence of blowing snow events at an alpine site over a 10-year period: Observations and modelling. Adv. Water Resour. 2013, 55, 53–63. [Google Scholar] [CrossRef]
- Guyomarc’h, G.; Bellot, H.; Vionnet, V.; Naaim-Bouvet, F.; Déliot, Y.; Fontaine, F.; Puglièse, P.; Nishimura, K.; Durand, Y.; Naaim, M. A meteorological and blowing snow data set (2000–2016) from a high-elevation alpine site (Col du Lac Blanc, France, 2720 m a.s.l.). Earth Syst. Sci. Data 2019, 11, 57–69. [Google Scholar] [CrossRef]















| Parameters | Region 1 | Region 2 | ||
|---|---|---|---|---|
| d01 | d02 | d01 | d02 | |
| Grid space | 9 km | 3 km | 9 km | 3 km | 
| Grid points | 100 × 100 | 88 × 88 | 100 × 100 | 148 × 130 | 
| ETA levels | 32 | 32 | 41 | 41 | 
| Time step | 27 | 27 | 27 | 27 | 
| Mesh layer | 1 | 2 | 3 | 4 | 5 | 
| Height/m | 4 | 30 | 64 | 93 | 131 | 
| Mesh layer | 6 | 7 | 8 | 9 | 10 | 
| Height/m | 183 | 234 | 283 | 554 | 946 | 
| Mesh layer | 11 | 12 | 13 | 14 | 15 | 
| Height/m | 1116 | 1181 | 1261 | 1367 | 1525 | 
| Scheme | Case1 | Case2 | Case3 | Case4 | 
|---|---|---|---|---|
| mp_physics | Thompson | Purdue-Lin | Purdue-Lin | Thompson | 
| bl_pbl_physics | YSU | MRF | YSU | MRF | 
| ra_sw_physics | RRTM | RRTM | RRTM | RRTM | 
| ra_la_physics | Dudhia | Dudhia | Dudhia | Dudhia | 
| sf_surface_physics | Noah | Noah | Noah | Noah | 
| sf_sfclay_physics | MM5 | MM5 | MM5 | MM5 | 
| cu_physics | / | / | / | / | 
| ETA Levels | R | MBE | RMSE | 
|---|---|---|---|
| 32 | 0.10 | 7.23 | 7.69 | 
| 41 | 0.44 | 2.81 | 3.15 | 
| Scheme | R | MBE | RMSE | |||
|---|---|---|---|---|---|---|
| Precipitation | Wind Speed | Precipitation | Wind Speed | Precipitation | Wind Speed | |
| Case1 | 0.27 | 0.51 | 0.01 | 1.21 | 1.41 | 1.71 | 
| Case2 | 0.40 | 0.45 | 0.15 | 2.38 | 1.42 | 3.20 | 
| Case3 | 0.51 | 0.54 | 0.10 | 1.32 | 1.07 | 1.80 | 
| Case4 | 0.34 | 0.33 | 0.63 | 0.90 | 3.02 | 0.62 | 
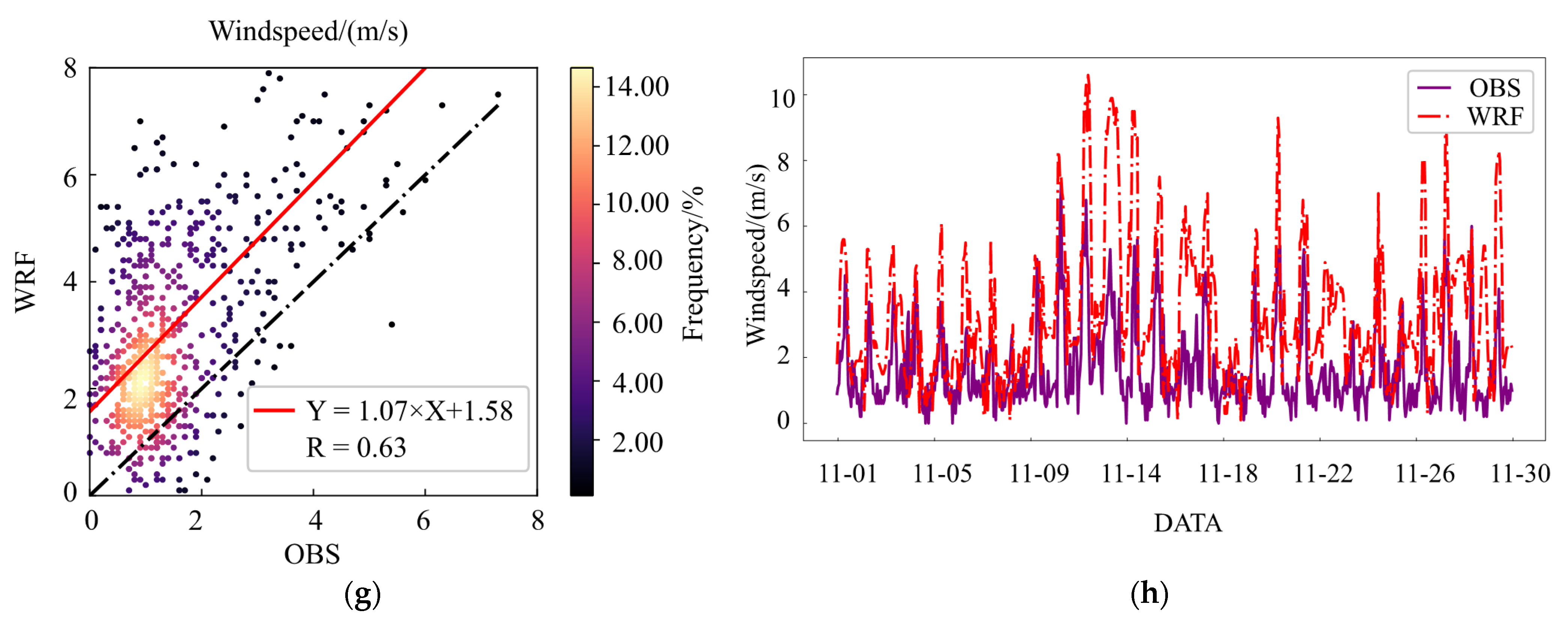
| Meteorological Element | Station | R | MBE | RMSE | Comparison | 
|---|---|---|---|---|---|
| Temperature | Kangding | 0.82 | 2.64 | 4.06 | 0.60–0.80 | 
| Litang | 0.90 | 1.43 | 3.21 | ||
| Wind speed | Kangding | 0.54 | 0.52 | 2.26 | 0.51–0.56 | 
| Litang | 0.63 | −1.69 | 2.37 | ||
| Rainfall | Kangding | 0.54 | 1.32 | 1.80 | 0.50–0.60 | 
| Litang | 0.58 | 1.21 | 1.52 | 
| Disclaimer/Publisher’s Note: The statements, opinions and data contained in all publications are solely those of the individual author(s) and contributor(s) and not of MDPI and/or the editor(s). MDPI and/or the editor(s) disclaim responsibility for any injury to people or property resulting from any ideas, methods, instructions or products referred to in the content. | 
© 2024 by the authors. Licensee MDPI, Basel, Switzerland. This article is an open access article distributed under the terms and conditions of the Creative Commons Attribution (CC BY) license (https://creativecommons.org/licenses/by/4.0/).
Share and Cite
Zhou, X.; Zhang, Z.; Yang, W.; Liu, Q. Study on the Susceptibility of Drifting Snow in Ya’an–Qamdo Section of the Railway in Southwest China. Appl. Sci. 2024, 14, 475. https://doi.org/10.3390/app14020475
Zhou X, Zhang Z, Yang W, Liu Q. Study on the Susceptibility of Drifting Snow in Ya’an–Qamdo Section of the Railway in Southwest China. Applied Sciences. 2024; 14(2):475. https://doi.org/10.3390/app14020475
Chicago/Turabian StyleZhou, Xue, Zhen Zhang, Weidong Yang, and Qingkuan Liu. 2024. "Study on the Susceptibility of Drifting Snow in Ya’an–Qamdo Section of the Railway in Southwest China" Applied Sciences 14, no. 2: 475. https://doi.org/10.3390/app14020475
APA StyleZhou, X., Zhang, Z., Yang, W., & Liu, Q. (2024). Study on the Susceptibility of Drifting Snow in Ya’an–Qamdo Section of the Railway in Southwest China. Applied Sciences, 14(2), 475. https://doi.org/10.3390/app14020475
 
        

 
                                                
 
       