Stochastic Generation of Peak Ground Accelerations Based on Single Seismic Event Data for Safety Assessment of Structures
Abstract
1. Introduction
2. Methodology
2.1. Ground Motion Database
2.2. Stochastic Point-Source Model
2.2.1. Parameters of Stochastic Point-Source Model
2.2.2. Transformation into Time Domain
- (1)
- Generate Gaussian or uniform white noise for the desired time duration.
- (2)
- Apply a shaping window function to the white noise by multiplying them.
- (3)
- Transform the windowed noise into the frequency domain and normalize it by the square root of the mean square (RMS) amplitude spectrum.
- (4)
- Multiply the normalized noise with the modeled FAS as defined in Equation (1).
- (5)
- Apply Inverse Fast Fourier Transformation to obtain the predicted ground motion time histories.
2.3. Seismic Source Characterization and PGA Distribution Modeling
2.3.1. Statistical Modeling of Source Parameters for the 2017 Pohang Earthquake
2.3.2. Computation of PGA Probability Distributions from Artificial Earthquakes
- (1)
- Obtain recorded source parameters from the earthquake source in the vicinity of the site of interest.
- (2)
- Determine the Probability Density Function (PDF) of source parameters using Equations (20) and (21).
- (3)
- Generate sample pairs of and by Frank copula sampling for use in MCS.
- (4)
- Define the seismological and geological parameters needed to compute the FAS.
- (5)
- Use the MCS to generate artificial earthquakes with Equation (22) and transform them into the time domain as described in Section 2.2.2.
- (6)
- Determine PGAs and calculate their probability distribution.
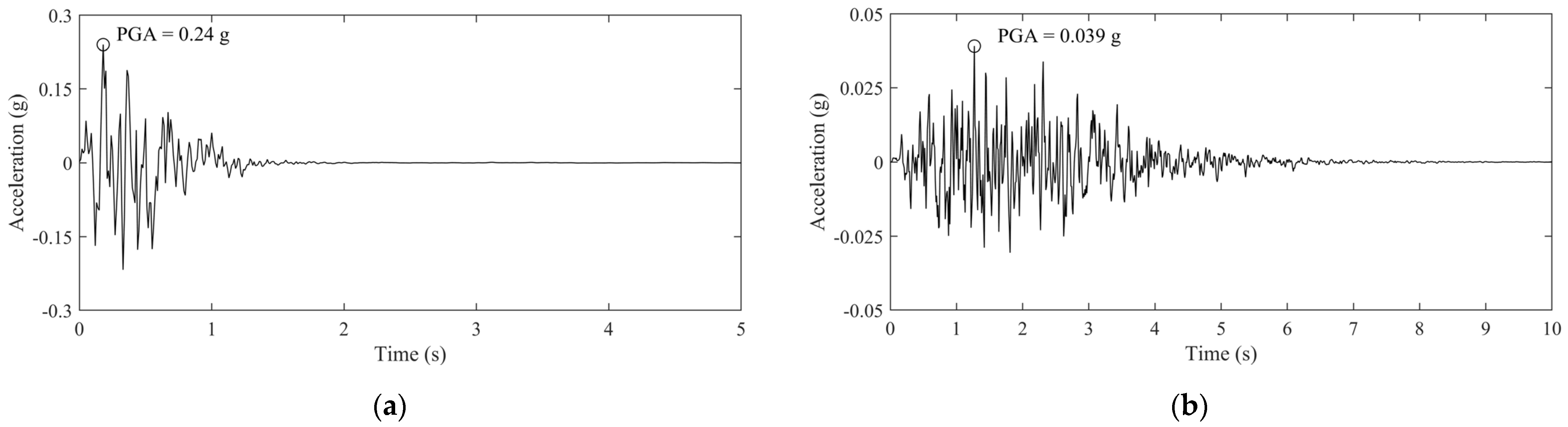
3. Results
4. Discussion
5. Conclusions
Author Contributions
Funding
Institutional Review Board Statement
Informed Consent Statement
Data Availability Statement
Acknowledgments
Conflicts of Interest
References
- NECIS-National Earthquake Comprehensive Information System. Available online: https://necis.kma.go.kr/necis-dbf/usermain/new/common/mainMapForm.do (accessed on 10 April 2024).
- Search Earthquake Catalog. Available online: https://earthquake.usgs.gov/earthquakes/search/ (accessed on 10 April 2024).
- Nuclear Power in South Korea. Available online: https://world-nuclear.org/information-library/country-profiles/countries-o-s/south-korea.aspx (accessed on 10 April 2024).
- Kwater. Available online: https://www.kwater.or.kr/eng/busi/resoPage.do?s_mid%5Cu003d1179= (accessed on 10 April 2024).
- Gasparini, D.; Vanmarcke, E.H. SIMQKE: A Program for Artificial Motion Generation: User’s Manual and Documentation; Department of Civil Engineering, Massachusetts Institute of Technology: Massachusetts, MA, USA, 1976. [Google Scholar]
- Boore, D.M. Simulation of ground motion using the stochastic method. Pure. Appl. Geophys. 2003, 160, 635–676. [Google Scholar] [CrossRef]
- Campbell, K.W. Prediction of strong ground motion using the hybrid empirical method and its use in the development of ground-motion (attenuation) relations in eastern North America. Bull. Seismol. Soc. Am. 2003, 93, 1012–1033. [Google Scholar] [CrossRef]
- Rezaeian, S.; Der Kiureghian, A. A stochastic ground motion model with separable temporal and spectral nonstationarities. Earthq. Eng. Struct. Dyn. 2008, 37, 1565–1584. [Google Scholar] [CrossRef]
- Rezaeian, S.; Der Kiureghian, A. Simulation of synthetic ground motions for specified earthquake and site characteristics. Earthq. Eng. Struct. Dyn. 2010, 39, 1155–1180. [Google Scholar] [CrossRef]
- Nau, J.M.; Hall, W.J. Scaling methods for earthquake response spectra. J. Struct. Eng. 1984, 110, 1533–1548. [Google Scholar] [CrossRef]
- Vidic, T.; Fajfar, P.; Fischinger, M. Consistent inelastic design spectra: Strength and displacement. Earthq. Eng. Struct. Dyn. 1994, 23, 507–521. [Google Scholar] [CrossRef]
- Khansoltani, E.; Shakeri, K. Scaling of ground motion records for nonlinear time history analysis of structures. In Proceedings of the 7th International Conference on Seismology and Earthquake Engineering, Teheran, Iran, 18–21 May 2015. [Google Scholar]
- Vanmarcke, E.H.; Gasparini, D.A. Simulated earthquake ground motions. In Proceedings of the 4th International Conference on Structural Mechanics in Reactor Technology, San Francisco, CA, USA, 15–19 August 1977. [Google Scholar]
- Tolis, S.V.; Faccioli, E. Displacement design spectra. J. Earthq. Eng. 1999, 3, 107–125. [Google Scholar] [CrossRef]
- Erduran, E.; Lindholm, C. A Critical Look at the Use of Design Spectrum Shape for Seismic Risk Assessment. Earthq. Spectra 2012, 28, 1711–1721. [Google Scholar] [CrossRef]
- Baker, J.; Bradley, B.; Stafford, P. Physics-Based Ground-Motion Characterization. In Seismic Hazard and Risk Analysis; Cambridge University Press: Cambridge, UK, 2021; pp. 196–233. [Google Scholar]
- Bora, S.S.; Scherbaum, F.; Kuehn, N.; Stafford, P. Fourier spectral-and duration models for the generation of response spectra adjustable to different source-, propagation-, and site conditions. Bull. Earthq. Eng. 2014, 12, 467–493. [Google Scholar] [CrossRef]
- Shearer, P.M. The Seismic Wave Equation. In Introduction to Seismology, 3rd ed.; Cambridge University Press: Cambridge, UK, 2019; pp. 39–60. [Google Scholar]
- Sun, X.; Hartzell, S.; Rezaeian, S. Ground-motion simulation for the 23 August 2011, Mineral, Virginia, earthquake using physics-based and stochastic broadband methods. Bull. Seismol. Soc. Am. 2015, 105, 2641–2661. [Google Scholar] [CrossRef]
- Brune, J.N. Tectonic stress and the spectra of seismic shear waves from earthquakes. J. Geophys. Res. 1970, 75, 4997–5009. [Google Scholar] [CrossRef]
- Shi, J.; Kim, W.Y.; Richards, P.G. The corner frequencies and stress drops of intraplate earthquakes in the northeastern United States. Bull. Seismol. Soc. Am. 1998, 88, 531–542. [Google Scholar] [CrossRef]
- Jee, H.W.; Han, S.W. Regional ground motion prediction equation developed for the Korean Peninsula using recorded and simulated ground motions. J. Earthq. Eng. 2022, 26, 5384–5406. [Google Scholar] [CrossRef]
- Beyreuther, M.; Barsch, R.; Krischer, L.; Megies, T.; Behr, Y.; Wassermann, J. ObsPy: A Python toolbox for seismology. Seismol. Res. Lett. 2010, 81, 530–533. [Google Scholar] [CrossRef]
- Kwon, J.; Heo, T.; Kim, J.K.; Oh, H.S. A New P-Wave Detector via Moving Empirical Cumulative Distribution Function. Bull. Seismol. Soc. Am. 2018, 108, 2080–2089. [Google Scholar] [CrossRef]
- Anderson, J.G.; Hough, S.E. A model for the shape of the Fourier amplitude spectrum of acceleration at high frequencies. Bull. Seismol. Soc. Am. 1984, 74, 1969–1993. [Google Scholar]
- Ktenidou, O.J.; Gélis, C.; Bonilla, L.F. A study on the variability of kappa (κ) in a borehole: Implications of the computation process. Bull. Seismol. Soc. Am. 2013, 103, 1048–1068. [Google Scholar] [CrossRef]
- Zhao, J.X.; Irikura, K.; Zhang, J.; Fukushima, Y.; Somerville, P.G.; Asano, A.; Ohno, Y.; Oouchi, T.; Takahashi, T.; Ogawa, H. An empirical site-classification method for strong-motion stations in Japan using H/V response spectral ratio. Bull. Seismol. Soc. Am. 2006, 96, 914–925. [Google Scholar] [CrossRef]
- Atkinson, G.M. Empirical attenuation of ground-motion spectral amplitudes in southeastern Canada and the northeastern United States. Bull. Seismol. Soc. Am. 2004, 94, 1079–1095. [Google Scholar] [CrossRef]
- Atkinson, G.M.; Silva, W. Stochastic modeling of California ground motions. Bull. Seismol. Soc. Am. 2000, 90, 255–274. [Google Scholar] [CrossRef]
- Boore, D.M.; Boatwright, J. Average body-wave radiation coefficients. Bull. Seismol. Soc. Am. 1984, 74, 1615–1621. [Google Scholar] [CrossRef]
- Atkinson, G.M.; Boore, D.M. Ground-motion relations for eastern North America. Bull. Seismol. Soc. Am. 1995, 85, 17–30. [Google Scholar] [CrossRef]
- Kim, S.K. A study on the crustal structure of the Korean Peninsula. J. Geol. Soc. Korea. 1995, 31, 393–403. (In Korean) [Google Scholar]
- Andrews, D.J. Objective determination of source parameters and similarity of earthquakes of different size. In Earthquake Source Mechanics; Das, S., Boatwright, J., Scholz, C.H., Eds.; American Geophysical Union: Washington, DC, USA, 1986; Volume 37, pp. 259–267. [Google Scholar]
- Snoke, J.A. Stable determination of (Brune) stress drops. Bull. Seismol. Soc. Am. 1987, 77, 530–538. [Google Scholar]
- Lam, N.; Wilson, J.; Hutchinson, G. Generation of synthetic earthquake accelerograms using seismological modelling: A review. J. Earthq. Eng. 2000, 4, 321–354. [Google Scholar] [CrossRef]
- Saragoni, G.R.; Hart, G.C. Simulation of artificial earthquakes. Earthq. Eng. Struct. Dyn. 1973, 2, 249–267. [Google Scholar] [CrossRef]
- Boore, D.M. Stochastic simulation of high-frequency ground motions based on seismological models of the radiated spectra. Bull. Seismol. Soc. Am. 1983, 73, 1865–1894. [Google Scholar]
- Boatwright, J.; Choy, G.L. Acceleration source spectra anticipated for large earthquakes in northeastern North America. Bull. Seismol. Soc. Am. 1992, 82, 660–682. [Google Scholar]
- De Michele, C.; Salvadori, G.; Canossi, M.; Petaccia, A.; Rosso, R. Bivariate Statistical Approach to Check Adequacy of Dam Spillway. J. Hydrol. Eng. 2005, 10, 50–57. [Google Scholar] [CrossRef]
- Genest, C.; Favre, A.C. Everything You Always Wanted to Know about Copula Modeling but Were Afraid to Ask. J. Hydrol. Eng. 2007, 12, 347–368. [Google Scholar] [CrossRef]
- Genest, C.; Rémillard, B.; Beaudoin, D. Goodness-of-fit tests for copulas: A review and a power study. Insur. Math. Econ. 2009, 44, 199–213. [Google Scholar] [CrossRef]
- Goda, K.; Atkinson, G.M. Interperiod Dependence of Ground-Motion Prediction Equations: A Copula Perspective. Bull. Seismol. Soc. Am. 2009, 99, 922–927. [Google Scholar] [CrossRef]
- Xu, Y.; Tang, X.S.; Wang, J.P.; Kuo-Chen, H. Copula-based joint probability function for PGA and CAV: A case study from Taiwan: Joint Probability Function for PGA and CAV. Earthq. Eng. Struct. Dyn. 2016, 45, 2123–2136. [Google Scholar] [CrossRef]
- Sklar, M. Fonctions de Répartition à N Dimensions et Leurs Marges; Annales de l’ISUP: Paris, France, 1959; pp. 229–231. [Google Scholar]
- Kramer, S.L. Estimation of Ground Motion Parameters. In Geotechnical Earthquake Engineering; Pearson Education India: Chennai, India, 1996; p. 87. [Google Scholar]











| Information | Details |
|---|---|
| UTC time | 15 November 2017 05:29:31 |
| KST time (local time) | 15 November 2017 14:29:31 |
| Magnitude | |
| Depth (km) | 7 km |
| PGA (g) | ) |
| Copula Function | Log-Likelihood Estimate | Spearman Correlation Coefficient |
|---|---|---|
| Clayton | –0.000049 | –0.00489 |
| Frank | 11.88 | –0.457 |
| Gaussian | 11.15 | –0.414 |
| Gumbel | –0.000089 | –0.0138 |
| t | 11.21 | –0.445 |
| 10 km | 25 km | 50 km | 75 km | |
|---|---|---|---|---|
| 1.437 | 3.233 | 4.452 | 5.236 | |
| 0.934 | 0.852 | 0.827 | 0.823 |
| Case | Station | Source-to-Site Distance (km) | PGA (g) | Median PGA of Records (g) | Median PGA of Simulations (g) |
|---|---|---|---|---|---|
| 1 | PHA2 | 11.56 | 0.27 | 0.27 | 0.24 |
| 2 | HAK | 24.04 | 0.036 | 0.036 | 0.039 |
| CHS | 25.96 | 0.028 | |||
| DKJ | 30.50 | 0.048 | |||
| 3 | YOCB | 41.06 | 0.015 | 0.015 | 0.012 |
| CSO | 41.35 | 0.059 | |||
| YODB | 47.72 | 0.014 | |||
| ADO2 | 49.69 | 0.042 | |||
| USN2 | 51.63 | 0.035 | |||
| JEJB | 53.40 | 0.0045 | |||
| DAG2 | 57.63 | 0.015 | |||
| 4 | YEYB | 62.99 | 0.014 | 0.0065 | 0.0053 |
| ULJ2 | 65.31 | 0.0058 | |||
| EUSB | 67.32 | 0.0065 | |||
| GUWB | 70.56 | 0.0050 | |||
| ADOA | 79.29 | 0.0090 | |||
| CIGB | 89.47 | 0.0040 | |||
| GUM | 98.15 | 0.052 | |||
| UJN | 98.40 | 0.080 | |||
| BUS2 | 99.80 | 0.0036 |
Disclaimer/Publisher’s Note: The statements, opinions and data contained in all publications are solely those of the individual author(s) and contributor(s) and not of MDPI and/or the editor(s). MDPI and/or the editor(s) disclaim responsibility for any injury to people or property resulting from any ideas, methods, instructions or products referred to in the content. |
© 2024 by the authors. Licensee MDPI, Basel, Switzerland. This article is an open access article distributed under the terms and conditions of the Creative Commons Attribution (CC BY) license (https://creativecommons.org/licenses/by/4.0/).
Share and Cite
Seok, J.; Lee, J. Stochastic Generation of Peak Ground Accelerations Based on Single Seismic Event Data for Safety Assessment of Structures. Appl. Sci. 2024, 14, 10031. https://doi.org/10.3390/app142110031
Seok J, Lee J. Stochastic Generation of Peak Ground Accelerations Based on Single Seismic Event Data for Safety Assessment of Structures. Applied Sciences. 2024; 14(21):10031. https://doi.org/10.3390/app142110031
Chicago/Turabian StyleSeok, Jihoon, and Jeeho Lee. 2024. "Stochastic Generation of Peak Ground Accelerations Based on Single Seismic Event Data for Safety Assessment of Structures" Applied Sciences 14, no. 21: 10031. https://doi.org/10.3390/app142110031
APA StyleSeok, J., & Lee, J. (2024). Stochastic Generation of Peak Ground Accelerations Based on Single Seismic Event Data for Safety Assessment of Structures. Applied Sciences, 14(21), 10031. https://doi.org/10.3390/app142110031
