Next Article in Journal
Acute Effects of Photobiomodulation Therapy Combined with Static Magnetic Field in C2C12 Muscle Cells Exposed and Not Exposed to H2O2
Next Article in Special Issue
Fine-Tuning Retrieval-Augmented Generation with an Auto-Regressive Language Model for Sentiment Analysis in Financial Reviews
Previous Article in Journal
Impact of Sound and Image Features in ASMR on Emotional and Physiological Responses
Previous Article in Special Issue
Automatizing Automatic Controller Design Process: Designing Robust Automatic Controller under High-Amplitude Disturbances Using Particle Swarm Optimized Neural Network Controller
 
 
Font Type:
Arial Georgia Verdana
Font Size:
Aa Aa Aa
Line Spacing:
Column Width:
Background:
Review

Artificial Intelligence-Powered Recommender Systems for Promoting Healthy Habits and Active Aging: A Systematic Review

by
Juan Lopez-Barreiro
1,
Jose Luis Garcia-Soidan
1,*,
Luis Alvarez-Sabucedo
2 and
Juan M. Santos-Gago
2
1
Faculty of Education and Sport Sciences, Campus A Xunqueira, University of Vigo, 36005 Pontevedra, Spain
2
AtlanTTic, Campus Lagoas-Marcosende, University of Vigo, 36310 Vigo, Spain
*
Author to whom correspondence should be addressed.
Appl. Sci. 2024, 14(22), 10220; https://doi.org/10.3390/app142210220
Submission received: 2 September 2024 / Revised: 22 October 2024 / Accepted: 5 November 2024 / Published: 7 November 2024
(This article belongs to the Special Issue Applications of Data Science and Artificial Intelligence)

Abstract

(1) Background: Increasing life expectancy allows for more age-related health issues. Enhancing physical, cognitive, mental, and social health is crucial. Promoting healthy habits combats stress and diseases. Recommendation systems, like collaborative filtering, tailor suggestions but face challenges. Techniques such as artificial intelligence and machine learning are vital. Personalized health recommendations improve lifestyles and mitigate issues. (2) Methods: A systematic review adhering to the general principles of the Preferred Reporting Items for Systematic Reviews and Meta-Analyses was conducted with the aim of identifying articles on innovative research about using recommendation algorithms, machine learning, or artificial intelligence to promote healthy habits and active aging. (3) Results: A total of 34 articles were included in this work. They address the topic of recommendation systems that use machine learning or artificial intelligence in the promotion of healthy habits. (4) Conclusions: This article reviews health-related activity recommendation techniques for the general population. With rising life expectancy and common health issues, effective recommendations are crucial for future public health. Limitations include excluding simpler models. Despite many proposals, systematic adherence mechanisms are lacking. Developing traceable, verifiable systems for healthy activity recommendations is vital for aging populations in developed countries.

1. Introduction

It is a well-known fact that human life expectancy is continually increasing. However, living longer also entails a higher risk of facing age-associated health issues, which can significantly diminish the quality of life. For this reason, it is essential for individuals to seek ways to improve and maintain their independence, skills, health, and well-being in all aspects: physical, cognitive, mental, and social. Moreover, given the fast-paced lifestyles that people lead today [1], both in young people and adults, it is crucial to promote healthy habits in all areas of life to mitigate stress and related diseases.
Historically, recommendation systems based on collaborative filtering (CF) [2] have been widely used due to their effectiveness in capturing user preferences. These systems can be easily implemented in various contexts without the need to extract specific features of the recommended object, as is the case with content-based recommendation systems [3,4].
The recommendation algorithm is the main component of recommendation systems and can vary considerably in nature. There are several main variants, such as the previously mentioned CF systems [5], content-based systems [6], and hybrid systems [7]. CF-based recommendation systems model user interests based on the similarity between users or items, using interaction data. On the other hand, content-based systems focus on the intrinsic features of the content to be recommended.
Although collaborative filtering-based recommendations are useful, they face challenges such as data fragmentation and the cold start problem [4]. To overcome these obstacles, techniques such as data augmentation, data imputation, user profiling, content-based recommendations, and hybrid methods can be employed [8,9].
These recommendation techniques are often complemented by additional methods to incorporate contextual information into the recommendation process [10]. This includes recommendations through contextual pre-filtering, contextual post-filtering, and contextual modeling [11].
With the advancement of the Internet and communication technologies, we are witnessing an exponential growth in available data. Extracting useful information from these large volumes of data are one of the most significant challenges. In this complex task, technologies grouped under the general terms of machine learning (ML) and artificial intelligence (AI) play a crucial role. Predictive models derived from these fields, extracted from the vast amount of data available across various platforms, can be used for multiple purposes. One of the most relevant, which has gained importance in recent years, is the development of recommendation systems.
Creating recommendation systems that provide relevant information to users is a significant challenge that has focused the efforts of researchers. Although many solutions have been proposed so far to implement recommendation systems, this is an ongoing path that requires further research and efforts [12].
For the development of recommendation systems, different ML algorithms are used, which, according to Mahesh [13], are classified into “Supervised learning”, “Unsupervised learning”, “Semi-supervised learning”, “Reinforcement learning”, “Multi-task learning”, “Ensemble learning”, “Neural networks”, and “Instance based learning”, as shown in more detail in Figure 1.
Personalized recommendation systems are particularly interesting as they tailor their recommendations to the specific conditions of each user. To develop these systems, it is essential to have data about the user. An initial assessment of the user’s state is crucial. Additionally, other data are critical, such as historical user behavior data, including ratings, clicks, tags, and comments. These data allow for modeling user preferences based on their historical interactions, which enables the development of what is known as CF [14,15].
In the health sector, these tools are extremely useful. Many current health issues can be mitigated or even eliminated if people follow healthy recommendations in their daily lives. This would be the case for issues such as high blood pressure, high glucose levels, and physical inactivity, which are related to a modern lifestyle characterized by sedentarism, chronic stress, and a high consumption of hypercaloric foods and recreational drugs [16].
Recommendation systems offer the possibility to motivate and engage users to change their behavior [17]. They provide people with better choices and actionable insights based on observed behavior [18,19,20]. To achieve this goal, creating a gamified environment is interesting. Through the use of game-like components, people can be motivated and encouraged in non-gaming contexts to improve adherence to healthy practices [21].
Due to this, and the interest of modern societies in maintaining and enhancing people’s abilities for as long as possible, there is a need to conduct this systematic review with the aim of answering the research questions shown in Table 1.
To answer these questions, a review of the scientific literature was conducted with the goal of identifying published articles that discuss innovative research focused on the implementation of recommendation systems using recommendation algorithms, ML techniques, or AI to promote healthy habits and/or active aging. The ultimate aim of this study is to highlight the potential of recommendation systems in both explored and unexplored fields of the mentioned areas, to identify existing gaps, and to lay the groundwork for new lines of research in this domain.
Section 2 of this manuscript discusses the methodology and tools used to identify the relevant scientific literature to answer the research questions posed. Section 3 describes the results of applying this methodology, namely the identification of 34 relevant articles that meet the criteria established in Section 2. Section 3 presents the analysis of the selected articles. Finally, Section 5 offers the conclusions derived from this systematic review.

2. Materials and Methods

This review adhered to the general principles of the Preferred Reporting Items for Systematic Reviews and Meta-Analyses (PRISMA) [22]. In line with this approach, a search strategy was defined, eligibility criteria were established, and a selection process was followed. As a result, a corpus of documents was obtained, which will allow for the extraction of results based on the proposed search.

2.1. Search Strategy

The following normative databases were used to conduct the search process for the initiation phase of PRISMA on 18 August 2024: Web of Science (WoS), ProQuest, IEEE Xplore, Scopus, and PubMed.
The aim of the search was to locate studies that addressed (1) the use of recommendation systems, (2) applied in the fields of physical activity, exercise, active aging, mental health, dietary habits, and sleep habits, and (3) reported the use of ML or AI.
In accordance with the search requirements, the standard query consisted of three blocks of terms, one for each of the aforementioned conditions, linked by logical AND (∧) operators. Within each block, the terms related to the search condition were connected using logical OR (∨) operators:
((“recommend* system*”) ∨ (“recommend* algorithm*”) ∨ (“recommend* platform*”) ∨ (“referral system”) ∨ (“referral platform”) ∨ (“referral algorithm”))
                                                                                                                                             ∧
((health*) ∨ (“physical activity”) ∨ (“physical exercise”) ∨ (exercise) ∨ (“active ageing”) ∨ (“active aging”) ∨ (ageing) ∨ (aging) ∨ (sport) ∨ (diet) ∨ (habit) ∨ (nutrition) ∨ (sleep) ∨ (“health* habit*”) ∨ (“mental health”) ∨ (“cognitive function”))
                                                                                                                                             ∧
((“ML”) ∨ (“machine learning”) ∨ (“AI”) ∨ (“artificial intelligence”) ∨ (“DL”) ∨ (“deep learning”))
The results of the database searches, filtered by title and abstract, were uploaded to Zotero.

2.2. Selection Criteria

Only articles written in English and relevant to answering the research questions were considered.
The following exclusion criteria were applied:
  • Works not clearly focused on the fields of physical activity, exercise, active aging, health, mental health, dietary habits, and sleep habits;
  • Work focused on specific diseases;
  • Systematic review articles;
  • Doctoral thesis;
  • Articles focused on the technical characteristics of different types of recommendation algorithms without direct application to the proposed field.

2.3. Selection Process

The files corresponding to searches in each database were imported using the JabRef software(version 5.13 for Mac OS) [23] to eliminate duplicates. Once duplicates were removed, the complete list was exported to a spreadsheet to manage the review of each one. The articles were divided into two blocks for the initial analysis. In this phase, each article was reviewed by two specialists, one from the technical field and another from the health field.
During the screening phase, based on the information contained in the title and abstract, the relevance of each article to answering the research questions was evaluated, with each article being tagged on a scale from 0 (not relevant at all) to 3 (completely relevant), as was performed in another review [24]. To ensure a balanced perspective, one evaluator was a specialist in the technological field, while the other was a health expert. Articles with an average score of 2.5 or 3 points moved directly to the next phase. Articles with an average score of 0, 0.5, or 1 point were discarded. In line with this methodology, articles rated with an average score of 1.5 or 2 points were reevaluated to decide whether they should move on to the full-text analysis phase or be discarded by an additional evaluator.
Next, the articles considered for the next phase, the full-text analysis, were reassigned to pairs of reviewers from the ICT and health fields, avoiding the reviewers assigned in the first phase. Again, in case of discrepancies in the scoring, another pair of reviewers would participate to resolve the decision.
These works that passed to the final phase would be deeply analyzed, focusing mainly on extracting the following information: (1) domain; (2) item recommended; (3) recommendation model; (4) data from user; (5) support database; (6) technology readiness level; (7) gamification (reward), as shown in Table 1.

3. Results

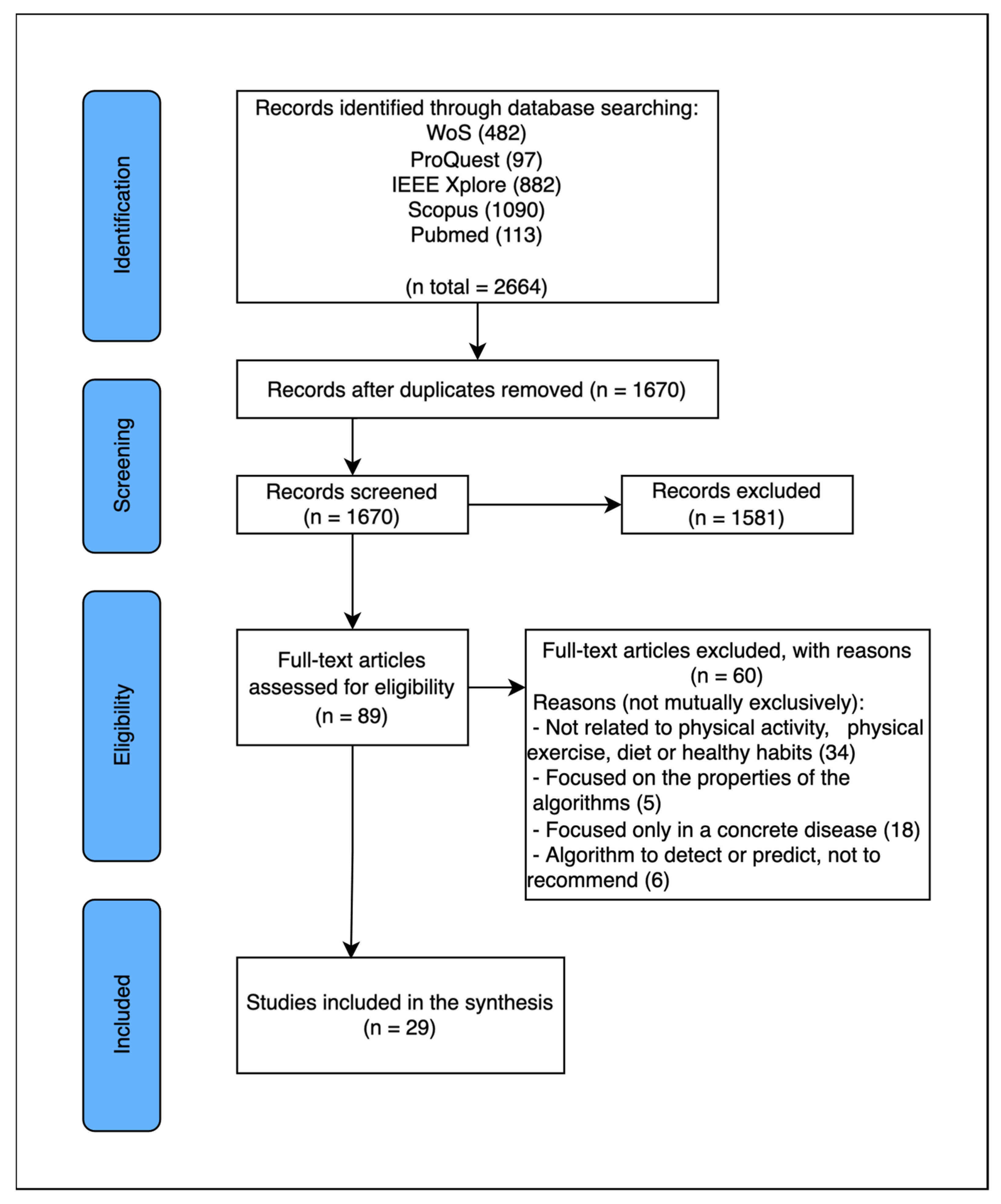
As mentioned earlier, the objective of this study was to conduct a systematic review using the PRISMA methodology to analyze and synthesize findings from selected studies on the innovative use of recommendation systems. These systems employ various recommendation algorithms, as well as ML, DL, or other AI techniques, in fields such as physical activity, exercise, active aging, health, mental health, dietary habits, and sleep habits. As shown in Figure 2, the initial search identified 3109 articles from the selected databases.
Once duplicates were removed, 2026 articles were evaluated by their title and abstract, and assigned a score from 0 to 3 based on their relevance to the research. After scoring, the majority of the articles (1918) received less than 1 point and were directly discarded. Only three articles received 1.5 points, 24 articles scored 2 points, 33 papers were rated with 2.5 points, and 48 received the highest score of 3 points. In total, 108 works advanced to the full-text reading phase.
These 108 selected works were thoroughly analyzed. In this analysis, each paper was reviewed by a different pair of reviewers. During this full reading phase, 74 works were excluded for various reasons, as shown in Figure 1, mainly for not meeting all the inclusion/exclusion criteria. Thus, the final corpus for analysis in this systematic review was narrowed down to 34 works [25,26,27,28,29,30,31,32,33,34,35,36,37,38,39,40,41,42,43,44,45,46,47,48,49,50,51,52,53,54,55,56,57,58].
As can be seen in Table 2, the included works are grouped according to the domain under ten different domains. Under the “Diet” label, seven works are grouped [25,26,27,28,29,30,31]. In the “PA” category, another six studies are included [32,33,34,35,36,37].
Under the label “PA, social activities and diet”, one work is found [38]. Four other works are grouped under “PA and diet” [39,40,41,42]. Two works are classified under the label “PA and sleep quality” [43,44]. The work by Anusari et al. [45] is classified under “PA, PE and diet”.
Four works [46,47,48,49] are grouped under the “PE” label. Seven more works are classified under “PE and diet” [50,51,52,53,54,55,56]. Another work is classified under “PE and mental health” [57]. Finally, one work under the “Sport” label [58].
Within the recommendation model, a wide variety of approaches are found, highlighting the well-known CF, content-based filtering, and knowledge-based filtering models. Within these models, various algorithms are developed, specified in Table 1 as “Technique used”.
The most notable data collected from users, for whom the recommendations are intended, include sociodemographic information, Body Mass Index (BMI), user preferences, and physical activity (PA) levels.
Regarding the databases used to store these data, most works included in this systematic review do not specify whether they use conventional or distributed databases. However, based on the information provided in the articles, it can be inferred that many use conventional databases. Notably, three studies mention the use of distributed databases. One study utilizes the “Microsoft Azure” database [37], and two others use blockchain technology to store their data [53,54].
Regarding the development level of the included proposals, they are found at TRL-3 (experimental proof of concept), TRL-4 (technology validated in the lab), and TRL-5 (technology validated in a relevant environment (industrially relevant environment in the case of key enabling technologies)) [59].
In the last column of Table 2, there is information related to the use of gamification to engage users and the specific elements used for that purpose. Notably, only four studies utilize this feature: Orte et al. [27] use missions to encourage user participation, Lee et al. [56] aim to engage users through personalized feedback, Zhao et al. [35] promote involvement through “Exergames”, and finally, Chatterjee, Prinz et al. [34] use personalized messages and rewards to motivate users to participate in the activities proposed by their system.
As shown in Table 2 and previously mentioned, the 34 works included in this systematic review are categorized into 10 domains. A brief summary of the contributions is outlined below.
  • Diet.
Under this label, six works are placed. Nouh et al. [31] proposed a smart recommender system, called a smart recommender system of hybrid learning, which uses hybrid learning methods to improve personal well-being services, particularly in health food recommendations. The system addresses challenges like the cold start problem and scalability in recommender systems by combining content-based and collaborative filtering experimental results show that SRHL improves recommendation accuracy by 14.61% compared to traditional methods. Toledo et al. [30] presented a food recommender system to generate personalized daily meal plans. It employs a multi-criteria decision-making approach and optimization techniques. Experimental results demonstrate its effectiveness in providing personalized, nutritionally balanced recommendations. In Silva et al. [29], a collaborative filtering-based recommender system for personalized dietary advice using data from the ELSA-Brasil study was evaluated. It compares user-based and item-based algorithms, finding both effective but with slight advantages for user-based filtering. Hamdollahi and Hashemzadeh [28] developed FoodRecNet, a deep learning-based food recommender system that personalizes recommendations using a wide range of user and food characteristics, including preferences, health conditions, and food images. Evaluations show FoodRecNet significantly improves recommendation accuracy compared to existing methods, addressing challenges like the cold-start problem and enhancing user experience. In Orte et al. [27], the CarpeDiem app was developed, a mobile-health framework designed to promote nutritional behavior change through gamification. It uses personalized dietary missions, based on key food groups, and advanced AI techniques to foster healthier eating habits and prevent chronic diseases. The app emphasizes gradual, sustainable changes and personalization to improve long-term adherence. Ramaraj et al. [26] presented a model that recommends nutritious meals for Indian women athletes and active youth using LSTM and LSTM with GRU. It focuses on personalizing diet plans based on age, height, and weight to enhance performance and recovery, using Indian cuisine for culturally relevant suggestions. And finally, Cunha et al. [25] discussed the development of a food recommendation system using a MLPN. The system helps individuals and caregivers make informed meal choices based on nutritional goals, personal preferences, and daily needs. The model achieves over 60% accuracy in predicting complete meals, highlighting the importance of personalized nutrition plans.
  • Physical Activity.
Under this domain, we can find another six works. The first one belongs to Ali et al. [37], who developed a multimodal hybrid reasoning methodology integrating rule-based, case-based, and preference-based reasoning to offer personalized physical activity recommendations. The system, validated in a weight management scenario, significantly improves recommendation accuracy by tailoring advice to individual user profiles, preferences, and goals. In the work of Li et al. [36], an adaptive, data-driven system designed to provide personalized activity recommendations using fitness tracker data is presented. The system generates customized hour-by-hour PA plans, adjusts recommendations based on real-time data, and aims to improve user adherence to daily PA targets by dynamically updating goals throughout the day. Zhao et al. [35] developed an ML-based approach to recommend personalized PA for exergame players. It emphasizes the importance of player modeling to enhance engagement and effectiveness in promoting PA. The study demonstrates improved accuracy in PA recommendations by tailoring them to individual preferences and behaviors. In Chatterjee, Pahari et al. [33], an eCoaching system that uses machine learning and semantic ontology to monitor PA and generate personalized recommendations was introduced. By integrating sensor data and personal preferences, the system tailors lifestyle advice to help users achieve their health goals, with improved performance through transfer and incremental learning methods. Chatterjee, Prinz et al. [34] detailed the development of the ProHealth eCoach app, designed to promote a healthy lifestyle through personalized activity recommendations. Using an iterative user-centered design approach, the app integrates user preferences, feedback, and AI-driven insights to deliver tailored coaching, aiming to enhance user engagement and motivation in achieving health goals. And finally, in Vairavasundaram et al. [32], a deep learning-based system for dynamically recommending personalized PA through a mobile fitness app is proposed. By clustering users based on physical and physiological data, the system tailors daily activity plans, adjusting them in real-time to help users achieve their fitness goals, showing improved accuracy over traditional methods.
  • Physical Activity, Social Activities and Diet.
Under this label, only one work is placed. The mentioned work belongs to Wang et al. [38], who introduced a personalized recommendation algorithm for elderly diets and physical and social exercises using CF techniques. By combining user and item-based CF, the system offers tailored suggestions, achieving 63.1% accuracy. The fusion algorithm outperforms traditional methods, enhancing user satisfaction and supporting healthy aging by adapting recommendations to individual preferences and needs.
  • Physical Activity and Diet.
Placed within this domain, there are another four works. The work of Mojarad et al. [42] proposed a context-aware adaptive recommendation system for personal well-being services. It integrates machine learning models and an ontology-based approach to recognize human activities and contexts. The system uses probabilistic reasoning to provide personalized, adaptive recommendations, aiming to promote healthy lifestyles by adjusting to user behaviors and feedback. Other work from Palomares et al. [41] talked about an enhanced framework for personalized well-being recommendations that integrates fuzzy inference and evolutionary computing called F-EvoRecSys. The system improves the diversity of PA suggestions by considering user exercise habits. Through simulations and user studies, F-EvoRecSys demonstrates its effectiveness in offering more tailored and varied health recommendations. Annapoorna et al. [40] developed an automated system for personalized diet and exercise recommendations based on obesity classification. Using machine learning algorithms like DTC, the system classifies users’ obesity levels and provides tailored diet and PA plans. The proposed system aims to enhance individual health by offering precise, data-driven recommendations to support weight management and overall well-being. Lastly, in Hemaraju et al. [39], “Yourcare”, a diet and fitness recommendation system that leverages ML algorithms, is presented. It uses K-MC and RFC among others to provide personalized diet and PA plans based on user data like age, weight, and fitness goals. The system achieves high accuracy, particularly with the XGBC, for predicting optimal health recommendations.
  • Physical Activity and Sleep Quality.
Under this label, only two works are located. The first one belongs to Erdeniz et al. [43], in which the development of RS for IoT-enabled Quantified-Self applications was presented, focusing on three approaches: Virtual Coach, Virtual Nurse, and Virtual Sleep Regulator. These systems provide personalized PA and sleep recommendations by analyzing user data from IoT devices. And the other one belongs to Dalla Vecchia et al. [44], who developed an Explainable AI framework called ICARE, designed for context-aware health recommendations, particularly for improving sleep quality through PA. It uses data-mining algorithms to provide personalized suggestions.
  • Physical Activity, Physical Exercise, and Diet.
Under this domain only one work is placed. This one was written by Anusari et al. [45], and presented “SriHealth”, a mobile application designed for Sri Lankans, offering personalized meal plans, PA, and yoga schedules. Utilizing ML and natural language processing, the app tailors recommendations based on user preferences and health conditions. The system achieved high accuracy in providing these personalized health and wellness suggestions.
  • Physical Exercise.
This domain includes four research projects. The first was made by Costa et al. [49], and it talked about an interactive robot system designed to assist elderly individuals in performing daily physical activities at home called PHAROS, which uses advanced AI techniques, including deep learning, to monitor and recommend personalized PE based on the user’s physical abilities and health status. The system aims to promote active aging and improve overall well-being. Tran et al. [48] designed a RS to support a fitness assistance system using AI. The system employs ML algorithms, such as ANN and LR, to predict and suggest personalized workout routines. It aims to enhance user experience by providing tailored PE recommendations. In Basnayake et al. [47], a RS that combines food and exercise ontologies to create personalized PE plans for individuals, particularly targeting overweight professionals. The system uses Python and ontological frameworks to tailor PE recommendations based on user-specific data, such as body measurements, exercise preferences, and medical history. And finally, Chen et al. [46] developed an AI-based PE prescription system designed to guide individuals in adopting effective PE routines. The system uses data from an exercise community to recommend tailored PE modes and predict the impact on resting heart rate over one to three months. It achieves high accuracy in recommending exercise routines.
  • Physical Exercise and Diet.
This domain contains seven investigations, starting with the one developed by Lee et al. [56], which presented a Lifestyle RS based on the Framingham Heart Study and Clinical Decision Support System. It offers personalized health recommendations, such as meal plans and exercise routines, tailored to users’ vital signs, medical history, and preferences, aiming to improve overall well-being through a user-friendly interface. Donciu et al. [55] presented “The Runner”, an RS designed for runners to provide personalized workout and nutrition plans based on user profiles, preferences, and goals. It combines expert knowledge with social dimensions, leveraging semantic web technologies to offer tailored recommendations and adapt to users’ evolving needs. Jamil, Quayyum et al. [53] proposed an intelligent microservice architecture based on blockchain technology for healthcare applications, specifically focusing on predictive analytics for personalized fitness and diet data in an IoT environment. It integrates machine learning with blockchain to enhance data security, scalability, and performance, using Hyperledger Fabric to ensure secure and efficient data management and analysis. In Jamil, Kahng et al. [54], a secure fitness framework combining IoT-enabled blockchain technology with machine learning was implemented. It aims to enhance data security, privacy, and real-time analysis in fitness applications. The framework utilizes smart contracts and an inference engine to provide personalized workout and diet recommendations, ensuring efficient data management and improved user experience in fitness environments. Balpande et al. [52] introduced an AI-based gym trainer and diet recommendation system designed to offer personalized PE routines and diet plans. It utilizes ML algorithms for workout monitoring and posture analysis, while also providing customized diet recommendations based on user inputs, aiming to enhance fitness and health outcomes efficiently. Ultimately, Sadhasivam et al. [50] presented a ML-based system for personalized diet and workout recommendations. By analyzing user inputs like height, weight, and age, the system provides tailored dietary plans and PE routines. It employs K-MC and RFC to classify users’ needs and suggest appropriate strategies for weight loss, weight gain, or maintenance.
  • Physical Exercise and Mental Health.
In this domain, only one work was found. It belongs to Mahyari and Pirolli [57], who discussed the implementation of a dual-RNN system designed to recommend personalized PE routines and predict the likelihood of successful completion for each activity and mental health. By analyzing users’ PE history and performance data, the system aims to offer tailored recommendations, enhancing users’ adherence to fitness goals and improving health outcomes.
  • Sport.
Once again, only one research study was included within this domain. This is the work by Li and Sun [58], which created an improved CF algorithm for sports training analysis. By optimizing traditional CF techniques, the proposed method enhances the efficiency and accuracy of personalized training recommendations for athletes. It uses data mining to analyze historical data, identifying athletes’ preferences to suggest suitable training activities, ultimately improving training outcomes.
After summarizing the characteristics of the articles that progressed to the final phase, in Figure 3, the reader can observe that the research related to the areas mentioned above follows an upward tendency.

4. Discussion

In this section, we present an analysis of the data obtained from the 34 publications analyzed. We proposed four research questions (Table 1), which are discussed here:
RQ1: To what extent have personalized healthy activity recommendation systems been developed?
In this systematic review, we examined publications up to 18 August 2024, from major databases using the search query mentioned in Section 1. As illustrated in Figure 3, there is an upward trend in the number of publications in this field. This suggests that the relationship between recommendation systems utilizing AI or ML in areas such as physical activity, exercise, active aging, mental health, eating habits, and sleep habits is still in its early stages of development, with a growing number of research studies on the topic.
Regarding the level of development and use of AI, as shown in Table 2, it can be seen that it is in an early phase of development, as indicated by the Technology Readiness Level (TRL) (between 3 and 5) of the publications included in this work. Three works are at TRL-3 (Experimental proof of concept) [39,54,57], 22 are at TRL-4 (Technology validated in lab) [25,26,28,31,33,34,35,36,37,38,40,43,44,45,46,48,50,51,53,55,56,58], and eight are at TRL-5 (Technology validated in relevant environment) [27,29,30,32,41,42,47,49,52].
Many of the studies we examined lacked real-world testing. Instead of evaluating recommendations with actual users, they relied on calculations and comparisons of different recommendation methods using datasets on very limited testing scenarios. Therefore, it is not possible to obtain a clear evaluation of the actual performance in real world scenarios. As the reader may note, there is not a comparable set of parameters to establish a fair comparison or even a common (and mature) TLR level for all the evaluated options.
Only in two studies [41,42] included validation with real users performed. In Mojarad et al. [42], they tested the functioning of their recommendations with a real user in four different scenarios with satisfactory results. In Palomares et al. [41], they conducted an online survey with 117 subjects who were asked three questions about their satisfaction with the recommendation made. According to this survey, 63.53% of the participants showed a preference for the more diverse PA recommendation made over a less advanced one.
Given the current state of technological advancement and the limited validation in real-world environments observed in the proposals reviewed in this study, it is clear that while these proposals hold significant societal value, they are still in the early stages of development. It is important to highlight that these tools have great potential to improve quality of life, particularly in terms of physical, mental, and behavioral health. Once fully developed and applied in real-world settings, these systems can encourage the adoption of healthy habits through various strategic approaches, underscoring their potential as valuable interventions.
RQ2: What types of algorithms do they use? Do they use ML? Or other AI techniques?
In the analyzed works, a wide range of algorithms are used, as shown in Table 2. In terms of recommendation techniques, these vary from CF, content-based filtering, rule-based filtering, knowledge-based filtering, to various hybrid systems. The latter are present in 16 of the 34 works analyzed. It is important to note that in 17 of the works, the implemented recommendation model is not mentioned.
Works employing “Supervised learning” use algorithms such as decision tree classifier (DTC), random forest classifier (RFC), support vector machine (SVM), support vector classifier (SVC), Naivë Bayes algorithm (NB), Gaussian Naivë Bayes algorithm (GNB), linear regression (LR), and support vector regression (SVR). At least one of these algorithms was used in nine works [32,33,35,39,40,45,48,50,54].
In four works [35,39,44,50], algorithms classified as “Unsupervised learning” were used, specifically Aged LookBackApriori (ALBA), K-means clustering (K-MC), and genetic algorithm (GA). Another four works [31,33,43,54] employed “Instance based learning” algorithms, such as the K-nearest neighbor algorithm (K-NN). In one work, Hemaraju et al. [39], an algorithm classified as “Ensemble learning” eXtreme gradient boosting classifier (XGBC) was used.
Finally, in eight works [25,26,28,32,46,48,49,57] “Neural networks” were used, specifically, recurrent neural networks (RNNs), convolutional neural networks (CNNs), fully connected neural networks (FCNN), gated recurrent units (GRUs), multilayer perceptron networks (MLPNs), C2R, which a is combination of CNN and RNN, gated recurrent neural networks (GRUNNs), artificial neural networks (ANNs), and long short-term memory (LSTM).
There is a significant heterogeneity in the use of different types of algorithms in each work. There is no clearly preferred option in the domain. Moreover, it is observable that the use of one type of algorithm does not exclude the use of others, even within the same proposal, as can be seen in works where up to three different types of ML (supervised, unsupervised, and ensemble learning) algorithm are used [39].
A wide range of studies using various types of algorithms has been noted. This diversity underscores that the field is still in development, with no clear consensus yet on which algorithm is best suited for specific applications. The common practice of using multiple algorithm types within the same study further reflects efforts to compare and assess the differences in performance of the generated recommendations.
Additionally, there is a notable presence of works that use recommendation techniques other than ML, such as AHPSort [30], PASP [42], or the “Fuzzy inference engine” [41].
RQ3: Is gamification used to encourage healthy practices?
Regarding the use of a gamified environment, as shown in Table 2, its implementation is rather limited. Only 4 of the 34 studies analyzed [27,34,35,56] utilize this approach to encourage user engagement and adherence to the healthy practices recommended by the system.
Among the various gamification elements available, only missions are used to encourage user participation [27], personalized feedback [56], “Exergames” [35], and personalized messages and rewards to motivate users to perform the activities proposed in their system [34].
As noted in some works [60,61,62], several elements can be utilized to design a gamification environment that promotes user participation. Key components such as badges, leaderboards, goal setting, challenges, scoreboards, and rewards have been identified as critical for enhancing engagement in PA practices. Furthermore, as discussed in The Physical Activity Messaging Framework [63], following specific guidelines when sending messages is also essential to encourage this practice and effectively engage users.
The absence of simpler elements, such as leaderboards, is notable. Also noteworthy is the lack of any type of gamification environment in the two works that use blockchain technology as a support database [53,54], despite the fact that blockchain technology facilitates proposals such as transparent leaderboards, or the delivery of rewards automatically and without user intervention by means of oracles and smart contracts, due to its characteristics of automation, transparency, reliability, and security.
Given the importance attributed to gamification in the literature as a key element for engaging users in various recommendation systems, its implementation would be highly beneficial. However, its absence represents a major shortcoming in the analyzed studies. Regarding the ethical issues related to data protection, the lack of gamification in the two works [53,54] that use blockchain technology is particularly noteworthy, as there are studies that demonstrate how to comply with data protection laws through the use of this technology [64].
The primary aim of any system designed to recommend healthy activities, like the 34 examined in this review, should be to engage users and motivate them to participate in the suggested activities. This participation is key to improving their overall health and well-being. Beyond focusing on immediate benefits, these systems should also promote the development of lifelong healthy habits starting in childhood, with the broader goal of supporting healthy aging. This approach not only improves quality of life but also leads to substantial economic savings by lowering long-term healthcare costs.
RQ4: What user data are used to make the recommendation?
Regarding the user data used for making recommendations, these are of a very diverse nature, as can be seen in Table 2. The data collected from users to make the recommendation include sociodemographic information, body mass index (BMI), user preferences, and their levels of PA, in general. It is important to note that these data are used simply to determine to which group or cluster the users should be assigned to receive their recommendation. This cluster is determined, as appropriate, by BMI, sociodemographic data, levels of physical activity, or preferences, whether related to activities, PA, or diet.
Thus, the recommendation is not overly personalized for each user. By grouping users and making recommendations based on similarities, these suggestions turn out to be more generic and do not take into account all the particularities of each user, unlike what occurs in previous works by the authors [65]. In the referenced work, various dimensions of the subjects’ health are considered, such as physical function, mental health, vitality, diet, and sleep, all assessed through validated and standardized questionnaires; injuries, illnesses, available material for training, and available facilities, as well as sociodemographic data. With all this information, it is possible to recommend challenges in a fully personalized and individualized way for each subject. Of all the works present in this review, only one of them [27] uses a questionnaire to collect objective user data, in this case related to dietary habits. It is possible that the absence of comprehensive data collected from validated questionnaires, which would provide complete information about the user, contributes to a discrepancy between the performance of these recommendations in controlled laboratory settings and their effectiveness in real-world scenarios. While these recommendations may perform well in a closed environment, they may fail to fully engage users, meet their expectations, or significantly impact their overall health when applied outside the laboratory.
Among the limitations of this study, it is noteworthy that solutions not using new data analysis paradigms such as AI have not been explored. Therefore, solutions opting for simpler models or those that do not require massive computations may have been excluded from this analysis [65]. As another limitation, we lack a description of the tests performed with the algorithms in order to be able to make comparisons on their performance and real utility.
This study shows that although there are many proposals, they often lack a systematic process and mechanisms to encourage adherence to them.
Following the points raised in this discussion, it would be valuable to conduct further research to explore the effectiveness of the applications in real-world environments. Additionally, to maximize the success of their implementation, it is crucial to use all available methods to engage users effectively, such as incorporating gamification strategies.

5. Conclusions

This article reviews existing AI-based recommendation techniques for health-related activities targeting the general population. Given the trends of increasing life expectancy and prevalent health issues in developed countries, comprehensive recommender systems could play a crucial role in the future. Effective, evidence-based recommendations with high adherence may become essential for maintaining public health. However, the use of AI models also presents several questions that must be addressed in the coming years through more basic research initiatives. In this context, some of the open challenges in this field relate to issues of transparency in algorithmic decision making, ensuring that the outcomes are consistently non-harmful to the user and safeguarding the privacy of the data themselves.
This review suggests that while promising proposals exist, much work is still needed to develop traceable, verifiable systems that can be reliably offered to the general population. Continued development and real-world evaluation of these systems are necessary. As these proposals advance, they could play a significant role in addressing health challenges, especially in aging populations where adherence to healthy habits could prevent common diseases.

Author Contributions

Conceptualization, J.L.-B. and L.A.-S.; methodology, J.L.-B., L.A.-S., J.L.G.-S. and J.M.S.-G.; software, J.L.-B. and L.A.-S.; formal analysis, J.L.-B., L.A.-S., J.L.G.-S. and J.M.S.-G.; data curation, J.L.-B., L.A.-S., J.L.G.-S. and J.M.S.-G.; writing—original draft preparation, J.L.-B. and L.A.-S.; writing—review and editing, J.L.-B., L.A.-S., J.L.G.-S. and J.M.S.-G. All authors have read and agreed to the published version of the manuscript.

Funding

This research was co-funded by Grant PID2020-115137RB-I00 funded by MCIN/AEI/10.13039/501100011033 and by the Grant ED481A-2021/350 “Pre-doctoral grant program” of the Xunta de Galicia (Department of Culture, Education and University).

Institutional Review Board Statement

Not applicable.

Informed Consent Statement

Not applicable.

Conflicts of Interest

The authors declare no conflicts of interest.

References

  1. Lippke, S.; Schalk, T.M.; Kühnen, U.; Shang, B. Pace of Life and Perceived Stress in International Students. PsyCh J. 2021, 10, 425–436. [Google Scholar] [CrossRef] [PubMed]
  2. Chen, R.; Hua, Q.; Chang, Y.-S.; Wang, B.; Zhang, L.; Kong, X. A Survey of Collaborative Filtering-Based Recommender Systems: From Traditional Methods to Hybrid Methods Based on Social Networks. IEEE Access 2018, 6, 64301–64320. [Google Scholar] [CrossRef]
  3. Su, X.; Khoshgoftaar, T.M. A Survey of Collaborative Filtering Techniques. Adv. Artif. Intell. 2009, 2009, 421425. [Google Scholar] [CrossRef]
  4. Sun, Z.; Guo, Q.; Yang, J.; Fang, H.; Guo, G.; Zhang, J.; Burke, R. Research Commentary on Recommendations with Side Information: A Survey and Research Directions. Electron. Commer. Res. Appl. 2019, 37, 100879. [Google Scholar] [CrossRef]
  5. Afoudi, Y.; Lazaar, M.; Al Achhab, M. Collaborative Filtering Recommender System; Springer: Berlin/Heidelberg, Germany, 2019; pp. 332–345. [Google Scholar]
  6. Sanchez Bocanegra, C.L.; Sevillano Ramos, J.L.; Rizo, C.; Civit, A.; Fernandez-Luque, L. HealthRecSys: A Semantic Content-Based Recommender System to Complement Health Videos. BMC Med. Inform. Decis. Mak. 2017, 17, 63. [Google Scholar] [CrossRef]
  7. Adomavicius, G.; Tuzhilin, A. Toward the next Generation of Recommender Systems: A Survey of the State-of-the-Art and Possible Extensions. IEEE Trans. Knowl. Data Eng. 2005, 17, 734–749. [Google Scholar] [CrossRef]
  8. Lika, B.; Kolomvatsos, K.; Hadjiefthymiades, S. Facing the Cold Start Problem in Recommender Systems. Expert Syst. Appl. 2014, 41, 2065–2073. [Google Scholar] [CrossRef]
  9. Tahmasebi, F.; Meghdadi, M.; Ahmadian, S.; Valiallahi, K. A Hybrid Recommendation System Based on Profile Expansion Technique to Alleviate Cold Start Problem. Multimed. Tools Appl. 2021, 80, 2339–2354. [Google Scholar] [CrossRef]
  10. Adomavicius, G.; Tuzhilin, A. Context-Aware Recommender Systems. In Recommender Systems Handbook; Springer: Berlin/Heidelberg, Germany, 2010; pp. 217–253. [Google Scholar]
  11. Verbert, K.; Manouselis, N.; Ochoa, X.; Wolpers, M.; Drachsler, H.; Bosnic, I.; Duval, E. Context-Aware Recommender Systems for Learning: A Survey and Future Challenges. IEEE Trans. Learn. Technol. 2012, 5, 318–335. [Google Scholar] [CrossRef]
  12. Shokrzadeh, Z.; Feizi-Derakhshi, M.-R.; Balafar, M.-A.; Mohasefi, J.B. Knowledge Graph-Based Recommendation System Enhanced by Neural Collaborative Filtering and Knowledge Graph Embedding. Ain Shams Eng. J. 2024, 15, 102263. [Google Scholar] [CrossRef]
  13. Mahesh, B. Machine Learning Algorithms—A Review. Int. J. Sci. Res. IJSR 2020, 9, 381–386. [Google Scholar] [CrossRef]
  14. Sarwar, B.; Karypis, G.; Konstan, J.; Riedl, J. Item-Based Collaborative Filtering Recommendation Algorithms. In Proceedings of the Web Conference, Hong Kong, China, 1–5 May 2001; pp. 285–295. [Google Scholar]
  15. Zhang, H.; Shen, F.; Liu, W.; He, X.; Luan, H.; Chua, T.-S. Discrete Collaborative Filtering. In Proceedings of the SIGIR ‘16: Proceedings of the 39th International ACM SIGIR conference on Research and Development in Information Retrieval, Pisa, Italy, 17–21 July 2016; pp. 325–334. [Google Scholar]
  16. Stevens, G.; Mascarenhas, M.; Mathers, C. Global Health Risks: Progress and Challenges. Bull. World Health Organ. 2009, 87, 646. [Google Scholar] [CrossRef] [PubMed]
  17. Yürüten, O. Recommender Systems for Healthy Behavior Change; EPFL: Lausanne, Switzerland, 2017. [Google Scholar]
  18. Hidalgo, J.I.; Maqueda, E.; Risco-Martín, J.L.; Cuesta-Infante, A.; Colmenar, J.M.; Nobel, J. glUCModel: A Monitoring and Modeling System for Chronic Diseases Applied to Diabetes. J. Biomed. Inform. 2014, 48, 183–192. [Google Scholar] [CrossRef] [PubMed]
  19. Rabbi, M.; Aung, M.H.; Zhang, M.; Choudhury, T. MyBehavior: Automatic Personalized Health Feedback from User Behaviors and Preferences Using Smartphones. In Proceedings of the 2015 ACM International Joint Conference on Pervasive and Ubiquitous Computing, Osaka, Japan, 7–11 September 2015; pp. 707–718. [Google Scholar]
  20. Radha, M.; Willemsen, M.C.; Boerhof, M.; IJsselsteijn, W.A. Lifestyle Recommendations for Hypertension through Rasch-Based Feasibility Modeling. In Proceedings of the UMAP ‘16: Proceedings of the 2016 Conference on User Modeling Adaptation and Personalization, Halifax, NS, Canada, 13–17 July 2016; pp. 239–247. [Google Scholar]
  21. Gómez-Díaz, R.; García-Rodríguez, A. Bibliotecas, Juegos y Gamificación: Una Tendencia de Presente Con Mucho Futuro. Anu. ThinkEPI 2018, 12, 125–135. [Google Scholar] [CrossRef]
  22. Moher, D.; Liberati, A.; Tetzlaff, J.; Altman, D.G. Preferred Reporting Items for Systematic Reviews and Meta-Analyses: The PRISMA Statement. Int. J. Surg. 2010, 8, 336–341. [Google Scholar] [CrossRef]
  23. JabRef—Free Reference Manager—Stay on Top of Your Literature. Available online: https://www.jabref.org/ (accessed on 3 July 2024).
  24. Santos-Gago, J.M.; Ramos-Merino, M.; Vallarades-Rodriguez, S.; Álvarez-Sabucedo, L.M.; Fernández-Iglesias, M.J.; García-Soidán, J.L. Innovative Use of Wrist-Worn Wearable Devices in the Sports Domain: A Systematic Review. Electronics 2019, 8, 1257. [Google Scholar] [CrossRef]
  25. Cunha, C.A.S.; Cardoso, T.R.; Duarte, R.P. Meal Suggestions for Caregivers and Indecisive Individuals Without a Set Food Plan. In International Conference on Smart Objects and Technologies for Social Good; Springer Nature: Cham, Switzerland, 2024; Volume 556, pp. 172–183. [Google Scholar]
  26. Ramaraj, K.; Narayan, V.; Dhivyaprabha, T.T.; Subashini, P. A Healthy Nutrition Suggestion Model for Indian Women Sports Players & Active Youth Using Long Short-Term Memory. Internet Technol. Lett. 2023, 7, e452. [Google Scholar] [CrossRef]
  27. Orte, S.; Migliorelli, C.; Sistach-Bosch, L.; Gómez-Martínez, M.; Boqué, N. A Tailored and Engaging mHealth Gamified Framework for Nutritional Behaviour Change. Nutrients 2023, 15, 1950. [Google Scholar] [CrossRef]
  28. Hamdollahi Oskouei, S.; Hashemzadeh, M. FoodRecNet: A Comprehensively Personalized Food Recommender System Using Deep Neural Networks. Knowl. Inf. Syst. 2023, 65, 3753–3775. [Google Scholar] [CrossRef]
  29. Silva, V.C.; Gorgulho, B.; Marchioni, D.M.; Alvim, S.M.; Giatti, L.; de Araujo, T.A.; Alonso, A.C.; Santos, I.d.S.; Lotufo, P.A.; Benseñor, I.M. Recommender System Based on Collaborative Filtering for Personalized Dietary Advice: A Cross-Sectional Analysis of the ELSA-Brasil Study. Int. J. Environ. Res. Public Health 2022, 19, 14934. [Google Scholar] [CrossRef]
  30. Toledo, R.Y.; Alzahrani, A.A.; Martinez, L. A Food Recommender System Considering Nutritional Information and User Preferences. IEEE Access 2019, 7, 96695–96711. [Google Scholar] [CrossRef]
  31. Nouh, R.M.; Lee, H.-H.; Lee, W.-J.; Lee, J.-D. A Smart Recommender Based on Hybrid Learning Methods for Personal Well-Being Services. Sensors 2019, 19, 431. [Google Scholar] [CrossRef] [PubMed]
  32. Vairavasundaram, S.; Varadarajan, V.; Srinivasan, D.; Balaganesh, V.; Damerla, S.B.; Swaminathan, B.; Ravi, L. Dynamic Physical Activity Recommendation Delivered through a Mobile Fitness App: A Deep Learning Approach. Axioms 2022, 11, 346. [Google Scholar] [CrossRef]
  33. Chatterjee, A.; Pahari, N.; Prinz, A.; Riegler, M. Machine Learning and Ontology in eCoaching for Personalized Activity Level Monitoring and Recommendation Generation. Sci. Rep. 2022, 12, 19825. [Google Scholar] [CrossRef]
  34. Chatterjee, A.; Prinz, A.; Gerdes, M.; Martinez, S.; Pahari, N.; Meena, Y.K. ProHealth eCoach: User-Centered Design and Development of an eCoach App to Promote Healthy Lifestyle with Personalized Activity Recommendations. BMC Health Serv. Res. 2022, 22, 1120. [Google Scholar] [CrossRef]
  35. Zhao, Z.; Arya, A.; Orji, R.; Chan, G. Physical Activity Recommendation for Exergame Player Modeling Using Machine Learning Approach. In Proceedings of the 2020 IEEE 8th International Conference on Serious Games and Applications for Health (SeGAH), Vancouver, BC, Canada, 12–14 August 2020; pp. 1–9. [Google Scholar]
  36. Li, Z.; Das, S.; Codella, J.; Hao, T.; Lin, K.; Maduri, C.; Chen, C.-H. An Adaptive, Data-Driven Personalized Advisor for Increasing Physical Activity. IEEE J. Biomed. Health Inform. 2018, 23, 999–1010. [Google Scholar] [CrossRef]
  37. Ali, R.; Afzal, M.; Hussain, M.; Ali, M.; Siddiqi, M.H.; Lee, S.; Kang, B.H. Multimodal Hybrid Reasoning Methodology for Personalized Wellbeing Services. Comput. Biol. Med. 2016, 69, 10–28. [Google Scholar] [CrossRef]
  38. Wang, X.; Song, Y.; Chen, W.; Du, H.; Su, X.; Wang, H. Research and Implementation of Personalized Recommendation Algorithm for Senior Diet Exercise Based on Collaborative Filtering. In Proceedings of the ISAIMS ‘23: Proceedings of the 2023 4th International Symposium on Artificial Intelligence for Medicine Science, Chengdu, China, 20–22 October 2023; pp. 796–804. [Google Scholar]
  39. Hemaraju, S.; Kaloor, P.M.; Arasu, K. Yourcare: A Diet and Fitness Recommendation System Using Machine Learning Algorithms; AIP Publishing: Melville, NY, USA, 2023; Volume 2655. [Google Scholar]
  40. Annapoorna, E.; Sai, P.N.; Goud, K.R.S.; Koushik, K.; Saini, M. Automated Diet and Exercise Suggestion Based on Obesity Classification; EDP Sciences: Les Ulis, France, 2023; Volume 430, p. 01049. [Google Scholar]
  41. Palomares, I.; Alcaraz-Herrera, H.; Shen, K.-Y. F-EvoRecSys: An Extended Framework for Personalized Well-Being Recommendations Guided by Fuzzy Inference and Evolutionary Computing. Int. J. Fuzzy Syst. 2022, 24, 2783–2797. [Google Scholar] [CrossRef]
  42. Mojarad, R.; Attal, F.; Chibani, A.; Amirat, Y. Context-Aware Adaptive Recommendation System for Personal Well-Being Services. In Proceedings of the 2020 IEEE 32nd International Conference on Tools with Artificial Intelligence (ICTAI), Baltimore, MD, USA, 9–11 November 2020; pp. 192–199. [Google Scholar]
  43. Erdeniz, S.; Menychtas, A.; Maglogiannis, I.; Felfernig, A.; Tran, T. Recommender Systems for IoT Enabled Quantified-Self Applications. Evol. Syst. 2019, 11, 291–304. [Google Scholar] [CrossRef]
  44. Dalla Vecchia, A.; Oliboni, B.; Quintarelli, E. ICARE: The Principles of Explainable AI in a Context-Aware Recommendation APP. In EDBT/ICDT Workshops; CEUR-WS: Aachen, Germany, 2024; Available online: https://ceur-ws.org/Vol-3651/HeDAI-2.pdf (accessed on 4 November 2024).
  45. Anusari, T.G.M.; Amarasinghe, B.Y.; Munasinghe, G.K.; Epitawala, E.K.N.; Pemadasa, M.N.; Weerasinghe, L. SriHealth: A Single Platform for Meal Plans, Workouts, Yoga Schedules Based on SriLankan Lifestyle. In Proceedings of the 2021 3rd International Conference on Advancements in Computing (ICAC), Colombo, Sri Lanka, 9–11 December 2021; pp. 216–221. [Google Scholar]
  46. Chen, H.-K.; Chen, F.-H.; Lin, S.-F. An Ai-Based Exercise Prescription Recommendation System. Appl. Sci. 2021, 11, 2661. [Google Scholar] [CrossRef]
  47. Basnayake, C.; Peiris, C.; Wickramarathna, H.; Jayathunga, P. Recommender System Based on Food and Exercise Ontologies to Find the Suitable Fitness Exercise Plan with the Aid of Python. In Proceedings of the 2021 5th SLAAI International Conference on Artificial Intelligence (SLAAI-ICAI), Colombo, Sri Lanka, 6–7 December 2021; pp. 1–6. [Google Scholar]
  48. Tran, T.T.; Choi, J.W.; Dang, C.V.; SuPark, G.; Baek, J.Y.; Kim, J.W. Recommender System with Artificial Intelligence for Fitness Assistance System. In Proceedings of the 2018 15th International Conference on Ubiquitous Robots (UR), Honolulu, HI, USA, 26–30 June 2018; pp. 489–492. [Google Scholar]
  49. Costa, A.; Martinez-Martin, E.; Cazorla, M.; Julian, V. PHAROS–PHysical Assistant RObot System. Sensors 2018, 18, 2633. [Google Scholar] [CrossRef] [PubMed]
  50. Sadhasivam, S.; Sarvesvaran, M.; Prasanth, P.; Latha, L. Diet and Workout Recommendation Using ML. In Proceedings of the 2023 2nd International Conference on Advancements in Electrical, Electronics, Communication, Computing and Automation (ICAECA), Coimbatore, India, 16–17 June 2023; pp. 1–4. [Google Scholar]
  51. Gaikwad, S.; Awatade, P.; Sirdeshmukh, Y.; Prasad, C. Diet Plan and Home Exercise Recommendation System Using Smart Watch. In Proceedings of the 2023 International Conference on Artificial Intelligence for Innovations in Healthcare Industries (ICAIIHI), Raipur, India, 29–30 December 2023; Volume 1, pp. 1–5. [Google Scholar]
  52. Balpande, M.; Sharma, J.; Nair, A.; Khandelwal, M.; Dhanray, S. AI Based Gym Trainer and Diet Recommendation System. In Proceedings of the 2023 IEEE 4th Annual Flagship India Council International Subsections Conference (INDISCON), Mysore, India, 5–7 August 2023; pp. 1–7. [Google Scholar]
  53. Jamil, F.; Qayyum, F.; Alhelaly, S.; Javed, F.; Muthanna, A. Intelligent Microservice Based on Blockchain for Healthcare Applications. Comput. Mater. Contin. 2021, 69, 2513–2530. [Google Scholar] [CrossRef]
  54. Jamil, F.; Kahng, H.K.; Kim, S.; Kim, D.-H. Towards Secure Fitness Framework Based on IoT-Enabled Blockchain Network Integrated with Machine Learning Algorithms. Sensors 2021, 21, 1640. [Google Scholar] [CrossRef]
  55. Donciu, M.; Ionita, M.; Dascalu, M.; Trausan-Matu, S. The Runner--Recommender System of Workout and Nutrition for Runners. In Proceedings of the 2011 13th International Symposium on Symbolic and Numeric Algorithms for Scientific Computing, Timisoara, Romania, 26–29 September 2011; pp. 230–238. [Google Scholar]
  56. Lee, S.; Byung, H.-Y.; Choe, H.; Park, B.-Y.; Park, R.-W.; Park, P.; Hwang, H.-J.; Lee, B.-M.; Lee, Y.-H.; Kang, U.-G. Lifestyle Recommendation System Using Framingham Heart Study Based Clinical Decision Support System (CDSS). In World Congress on Medical Physics and Biomedical Engineering 2006: August 27–September 1, 2006 COEX Seoul, Korea “Imaging the Future Medicine”; Springer: Berlin/Heidelberg, Germany, 2007; Volume 14, pp. 4016–4019. [Google Scholar]
  57. Mahyari, A.; Pirolli, P. Physical Exercise Recommendation and Success Prediction Using Interconnected Recurrent Neural Networks. In Proceedings of the 2021 IEEE International Conference on Digital Health (ICDH), Chicago, IL, USA, 5–10 September 2021; pp. 148–153. [Google Scholar]
  58. Li, X.; Sun, F. Sports Training Analysis Method Based on Collaborative Filtering. In Proceedings of the 2021 International Conference on High Performance Big Data and Intelligent Systems (HPBD&IS), Macau, China, 5–7 December 2021; pp. 83–87. [Google Scholar]
  59. The Definitions of the TRL Levels to Be Used Are in General Annexes/Annex G; European Commission: Luxembourg, 2014; Available online: https://ec.europa.eu/research/participants/data/ref/h2020/other/wp/2018-2020/annexes/h2020-wp1820-annex-g-trl_en.pdf (accessed on 4 November 2024).
  60. Koivisto, J.; Hamari, J. Gamification of Physical Activity: A Systematic Literature Review of Comparison Studies; CEUR-WS: Aachen, Germany, 2019. [Google Scholar]
  61. Xu, L.; Shi, H.; Shen, M.; Ni, Y.; Zhang, X.; Pang, Y.; Yu, T.; Lian, X.; Yu, T.; Yang, X. The Effects of mHealth-Based Gamification Interventions on Participation in Physical Activity: Systematic Review. JMIR Mhealth Uhealth 2022, 10, e27794. [Google Scholar] [CrossRef]
  62. Zichermann, G.; Cunningham, C. Gamification by Design: Implementing Game Mechanics in Web and Mobile Apps; O’Reilly Media, Inc.: Sebastopol, CA, USA, 2011; ISBN 1-4493-1539-9. [Google Scholar]
  63. Williamson, C.; Baker, G.; Tomasone, J.R.; Bauman, A.; Mutrie, N.; Niven, A.; Richards, J.; Oyeyemi, A.; Baxter, B.; Rigby, B. The Physical Activity Messaging Framework (PAMF) and Checklist (PAMC): International Consensus Statement and User Guide. Int. J. Behav. Nutr. Phys. Act. 2021, 18, 164. [Google Scholar] [CrossRef]
  64. Lopez-Barreiro, J.; Alvarez-Sabucedo, L.; Garcia-Soidan, J.L.; Santos-Gago, J.M. Towards a Blockchain Hybrid Platform for Gamification of Healthy Habits: Implementation and Usability Validation. Appl. Syst. Innov. 2024, 7, 60. [Google Scholar] [CrossRef]
  65. Lopez-Barreiro, J.; Garcia-Soidan, J.L.; Alvarez-Sabucedo, L.; Santos-Gago, J.M. Practical Approach to Designing and Implementing a Recommendation System for Healthy Challenges. Appl. Sci. 2023, 13, 9782. [Google Scholar] [CrossRef]
Figure 1. Mahesh classification of ML algorithms [13].
Figure 1. Mahesh classification of ML algorithms [13].
Applsci 14 10220 g001
Figure 2. Flow diagram of the systematic review according to PRISMA guidelines.
Figure 2. Flow diagram of the systematic review according to PRISMA guidelines.
Applsci 14 10220 g002
Figure 3. Evolution of the publication year of the included studies.
Figure 3. Evolution of the publication year of the included studies.
Applsci 14 10220 g003
Table 1. Research questions addressed by this systematic review.
Table 1. Research questions addressed by this systematic review.
Research QuestionStatement
RQ1To what extent have personalized healthy activity recommendation systems been developed?
RQ2What types of algorithms do they use? Do they use ML? Other AI techniques?
RQ3Is gamification used to encourage healthy practices?
RQ4What user data are used to make the recommendation?
Table 2. Synthesis of the studies. Ordered in chronological order and according to domain.
Table 2. Synthesis of the studies. Ordered in chronological order and according to domain.
Author/YearDomainItem RecommendedRecommendation ModelData from UserSupport DatabaseTRLGamification (Reward)
(Nouh et al., 2019) [31]DietFoodCF and CBF. Technique used: K-NNSociodemographic, health status, and personal informationNEM4NEM
(Toledo et al., 2019) [30]Daily mealsNEM. Technique used: AHPSortSociodemographic, heart rate,
burned calories, and daily PA level
NEM (conventional)5NEM
(Silva et al., 2022) [29]Diet plansCF. Techniques used: NEMSociodemographic and eating habitsNEM (conventional)5NEM
(Hamdollahi and Hashemzadeh, 2023) [28]MealsNEM. Techniques used: FCNN and CNNUser preferences, health conditions, sociodemographic information, food ingredients, type of cooking, food category, food tags, diet, and allergiesNEM (conventional)4NEM
(Orte et al., 2023) [27]Key food groupsKBF. Technique used: RBRModified food-frequency questionnaireConventional5Yes (Missions)
(Ramaraj et al., 2023) [26]MealsNEM. Techniques used: LSTM and GRUSociodemographicNEM (conventional)4NEM
(Cunha et al., 2024) [25]MealsData driven. Techniques used: MLPNUser preferences and daily goalsNEM (conventional)4NEM
(Ali et al., 2016) [37]PAWalking, running, climbing, bicycling, hiking…NEM. Techniques used: RBR, CBR, and PBRBMIDistributed (Microsoft Azure)4NEM
(Li et al., 2018) [36]Daily stepsNEM. Technique used: Multi-level clusteringSociodemographic and PA levelNEM (conventional)4NEM
(Zhao et al., 2020) [35]Walking, running, climbing, bicycling, hiking…CF. Techniques used: SVM and K-MCSociodemographic, daily steps, active calories, walking/running distances, calendar events, location, player type, and exercise typeNEM (conventional)4Yes (Exergames)
(Chatterjee, Pahari et al., 2022) [33]NEMHybrid (data driven and rule based).
Techniques used: SVC, GNB, DTC, RFC, K-NN, and DC
NEMNEM4NEM
(Chatterjee, Prinz et al., 2022) [34]Daily and weekly stepsHybrid (data driven and rule based) Techniques used: NEMSociodemographic, activity levels, and health statusNEM4Yes (motivational messages and rewards)
(Vairavasundaram et al., 2022) [32]Hour and daily stepsNEM. Techniques used: RFC, SVR, RNN, and LSTMSociodemographic, activity levels, and step countNEM (conventional)5NEM
(Wang et al., 2023) [38]PA, social activities, and dietMeals, social activities and PACF. Techniques used: NEMUser preferencesConventional4NEM
(Mojarad et al., 2020) [42]PA and dietHealthy lifestyle (stretching, stop eating, listening to music…)KBF. Technique used: PASPNEMNEM (conventional)5NEM
(Palomares et al., 2022) [41]Meals and PA (swimming, dancing, bicycling…)NEM. Techniques used: GA and RBF using a fuzzy inference engineUser preferences, physical condition, and goalsNEM (conventional)5NEM
(Annapoorna et al., 2023) [40]Walking, jogging, strength training, HIIT, and personalized menusNEM. Technique used: DTCDiet and exercise preferencesNEM (conventional)4NEM
(Hemaraju et al., 2023) [39]Foods depending on goals and preferences and hiking, running, bicycling...NEM. Techniques used: K-MC, LR, DTC, RFC, and XGBCSociodemographic and diseasesNEM (conventional)3NEM
(Erdeniz et al., 2019) [43]PA and sleep qualitySteps and sleep time.CF and CBF. Technique used: K-NNSociodemographic, physical condition, medical history, chronic diseases, and cardiovascular diseasesNEM4NEM
(Dalla Vecchia et al., 2024) [44]Sleep time and intensity of PAALBAPA levels and sleep qualityNEM (conventional)4NEM
(Anusari et al., 2021) [45]PA, PE, and dietNEMKnowledge-based filtering. Used techniques: NB, RFC, DTC, and SVMSociodemographic, user preferences, health conditions, PA levels, bedtime, and medical recordsNEM (conventional)4NEM
(Costa et al., 2018) [49]PEWorkout routinesNEM. Techniques used: RNN, C2R and GRUNNHealth status, user preferences and daily activity in the workoutsNEM (conventional)5NEM
(Tran et al., 2018) [48]Workout routinesNEM. Techniques used: ANN and LRUser preferences and user daily activity in the workoutsNEM (conventional)4NEM
(Basnayake et al., 2021) [47]Play some sport, bicycling, running, walking, and the intensity of the activityExpert system using OntologySociodemographic, exercise preferences, diet details, and medical recordsNEM (conventional)5NEM
(Chen et al., 2021) [46]Running, hiking and indoor exerciseA four-layer neural networkSociodemographic and rest heart rateConventional4NEM
(Lee et al., 2007) [56]PE and dietHealthier diet and PENEMGeneral index based on diet and medical recordsNEM (conventional)4Yes (Personalized feedback)
(Donciu et al., 2011) [55]Daily diet and workoutNEMPersonal information, hobbies, nutrition preferences, sports preferences, and declared purposeNEM (conventional)4NEM
(Jamil, Qayyum et al., 2021) [53]Diet plans and workout routinesNEM. Techniques used: NEMSociodemographic and PA levels using IoTDistributed (blockchain)4NEM
(Jamil, Kahng et al., 2021) [54]Diet plans and workout routinesKBF. Techniques used: DTC, LR, SVM, and K-NNNEMDistributed (blockchain)3NEM
(Balpande et al., 2023) [52]Workout routines and food suggestionsNEMSociodemographic and BMINEM (conventional)5NEM
(Gaikwad et al., 2023) [51]Diet plans and home exercise routinesNEMSociodemographic, nutritional deficiencies, and chronic diseasesNEM (conventional)4NEM
(Sadhasivam et al., 2023) [50]Diet plans and workout routinesNEM. Techniques used: K-MC and RFCSociodemographic and BMINEM (conventional)4NEM
(Mahyari and Pirolli, 2021) [57]PE and mental healthWorkout exercises and meditationAssociation rules and RNNNEMNEM3NEM
(Li and Sun, 2021) [58]SportSports training itemsCF. Techniques used: NEMNEMNEM (conventional)4NEM
CF: collaborative filtering; CBF: content-based filtering; K-NN: K-nearest neighbor algorithm; NEM: not explicitly mentioned; AHPSort: analytic hierarchical process for sorting; PA: physical activity; FCNN: fully connected neural networks; CNN: convolutional neural networks; RBR: rule-based reasoning; LSTM: long short-term memory; GRU: gated recurrent unit; MLPN: multilayer perceptron network; CBR: case-based reasoning; PBR: preference-based reasoning; SVM: support vector machine; K-MC: K-means clustering; SVC: Support vector classifier; GNB: Gaussian Naive Bayes; DTC: decision tree classifier; RFC: random forest classifier; DC: Dummy Classifier; SVR: support vector regression; RNN: recurrent neural networks; PASP: probabilistic answer set programing; GA: genetic algorithm; RBF: rule-based filtering; LR: linear regression; XGBC: eXtreme gradient boosting classifier; ALBA: Aged LookBackApriori; PE: physical exercise; NB: Naive Bayes algorithm; C2R: CNN + RNN; GRUNN: Gated Recurrent Unit Neural Networks; ANN: artificial neural network.
Disclaimer/Publisher’s Note: The statements, opinions and data contained in all publications are solely those of the individual author(s) and contributor(s) and not of MDPI and/or the editor(s). MDPI and/or the editor(s) disclaim responsibility for any injury to people or property resulting from any ideas, methods, instructions or products referred to in the content.

Share and Cite

MDPI and ACS Style

Lopez-Barreiro, J.; Garcia-Soidan, J.L.; Alvarez-Sabucedo, L.; Santos-Gago, J.M. Artificial Intelligence-Powered Recommender Systems for Promoting Healthy Habits and Active Aging: A Systematic Review. Appl. Sci. 2024, 14, 10220. https://doi.org/10.3390/app142210220

AMA Style

Lopez-Barreiro J, Garcia-Soidan JL, Alvarez-Sabucedo L, Santos-Gago JM. Artificial Intelligence-Powered Recommender Systems for Promoting Healthy Habits and Active Aging: A Systematic Review. Applied Sciences. 2024; 14(22):10220. https://doi.org/10.3390/app142210220

Chicago/Turabian Style

Lopez-Barreiro, Juan, Jose Luis Garcia-Soidan, Luis Alvarez-Sabucedo, and Juan M. Santos-Gago. 2024. "Artificial Intelligence-Powered Recommender Systems for Promoting Healthy Habits and Active Aging: A Systematic Review" Applied Sciences 14, no. 22: 10220. https://doi.org/10.3390/app142210220

APA Style

Lopez-Barreiro, J., Garcia-Soidan, J. L., Alvarez-Sabucedo, L., & Santos-Gago, J. M. (2024). Artificial Intelligence-Powered Recommender Systems for Promoting Healthy Habits and Active Aging: A Systematic Review. Applied Sciences, 14(22), 10220. https://doi.org/10.3390/app142210220

Note that from the first issue of 2016, this journal uses article numbers instead of page numbers. See further details here.

Article Metrics

Back to TopTop