The Role of Lung Density in the Voxel-Based Dosimetry of 90Y-TARE Evaluated with the Voxel S-Value (VSV) Method and Fast Monte Carlo Simulation
Abstract
1. Introduction
2. Methods
2.1. Phantom Preparation and Data Acquisition
2.2. Mathematical Phantom Simulation
2.3. Patient Selection and Data Acquisition
- Primary liver tumors (HCC) eligible for 90Y-TARE, according to an internal tumor board;
- Pre-treatment high-resolution imaging (triple phase contrast CT or MRI);
- Lung shunt fraction assessed by 99mTc-MAA Single Photon Emission Computed Tomography (SPECT) < 20%;
- Absence of abdominal extrahepatic shunts assessed by 99mTc-MAA SPECT;
- At least nine months of follow-up;
- Signed informed consent.
2.4. Dosimetry Software
2.4.1. MIM 90Y-SurePlan
2.4.2. Torch
2.5. Extracted Data and Statistical Analysis
3. Results
3.1. Mathematical Phantom Simulation Results
3.2. Patient Analysis Results
4. Discussion
5. Conclusions
Author Contributions
Funding
Institutional Review Board Statement
Informed Consent Statement
Data Availability Statement
Conflicts of Interest
References
- Hamad, A.; Aziz, H.; Kamel, I.R.; Diaz, D.A.; Pawlik, T.M. Yttrium-90 Radioembolization: Current Indications and Outcomes. J. Gastrointest. Surg. 2023, 27, 604–614. [Google Scholar] [CrossRef]
- Lewandowski, R.J.; Geschwind, J.-F.; Liapi, E.; Salem, R. Transcatheter Intraarterial Therapies: Rationale and Overview. Radiology 2011, 259, 641–657. [Google Scholar] [CrossRef]
- Bradford, R.; McKinney, J.M. Treatment planning part I: Vascular considerations associated with safety and efficacy in radioembolization. In Handbook of Radioembolization: Physics, Biology, Nuclear Medicine, and Imaging; CRC Press: Boca Raton, FL, USA, 2017; pp. 53–63. [Google Scholar]
- Murthy, R.; Nunez, R.; Szklaruk, J.; Erwin, W.; Madoff, D.C.; Gupta, S.; Ahrar, K.; Wallace, M.J.; Cohen, A.; Coldwell, D.M.; et al. Yttrium-90 Microsphere Therapy for Hepatic Malignancy: Devices, Indications, Technical Considerations, and Potential Complications. RadioGraphics 2005, 25, S41–S55. [Google Scholar] [CrossRef]
- Nag, S.; Kennedy, A.; Salem, R.; Murthy, R.; McEwan, A.; Nutting, C.; Benson, A.; Espat, J.; Bilbao, I.; Sharma, R.; et al. Recommendations for radioembolization of hepatic malignancies using Yttrium-90 microsphere brachytherapy: A consensus panel report from the Radioembolization Brachytherapy Oncology Consortium (REBOC). Brachytherapy 2007, 6, 116–117. [Google Scholar] [CrossRef]
- Dezarn, W.A.; Cessna, J.T.; DeWerd, L.A.; Feng, W.; Gates, V.L.; Halama, J.; Kennedy, A.S.; Nag, S.; Sarfaraz, M.; Sehgal, V.; et al. Recommendations of the American Association of Physicists in Medicine on dosimetry, imaging, and quality assurance procedures for 90Y microsphere brachytherapy in the treatment of hepatic malignancies: AAPM recommendations 90Y microsphere brachytherapy. Med. Phys. 2011, 38, 4824–4845. [Google Scholar] [CrossRef] [PubMed]
- Leung, T.W.; Lau, W.-Y.; Ho, S.K.; Ward, S.C.; Chow, J.H.; Chan, M.S.; Metreweli, C.; Johnson, P.J.; Li, A.K. Radiation pneumonitis after selective internal radiation treatment with intraarterial 90Yttrium-microspheres for inoperable hepatic tumors. Int. J. Radiat. Oncol. 1995, 33, 919–924. [Google Scholar] [CrossRef] [PubMed]
- Yorke, E.D.; Jackson, A.; Rosenzweig, K.E.; Braban, L.; Leibel, S.A.; Ling, C.C. Correlation of dosimetric factors and radiation pneumonitis for non–small-cell lung cancer patients in a recently completed dose escalation study. Int. J. Radiat. Oncol. 2005, 63, 672–682. [Google Scholar] [CrossRef] [PubMed]
- Gulec, S.A.; Mesoloras, G.; Stabin, M. Dosimetric Techniques in 90Y-Microsphere Therapy of Liver Cancer: The MIRD Equations for Dose Calculations. J. Nucl. Med. 2006, 47, 1209–1211. [Google Scholar]
- Howell, R.W. The MIRD schema: From organ to cellular dimensions. J. Nucl. Med. 1994, 35, 531–533. [Google Scholar]
- Pasciak, A.S.; Bourgeois, A.C.; Bradley, Y.C. A Comparison of Techniques for 90Y PET/CT Image-Based Dosimetry Following Radioembolization with Resin Microspheres. Front. Oncol. 2014, 4, 121. [Google Scholar] [CrossRef]
- Chiesa, C.; Mira, M.; Maccauro, M.; Romito, R.; Spreafico, C.; Sposito, C.; Bhoori, S.; Morosi, C.; Pellizzari, S.; Negri, A.; et al. A dosimetric treatment planning strategy in radioembolization of hepatocarcinoma with 90Y glass microspheres. Q. J. Nucl. Med. Mol. Imaging 2012, 56, 503–508. [Google Scholar]
- Graves, S.A.; Flynn, R.T.; Hyer, D.E. Dose point kernels for 2174 radionuclides. Med. Phys. 2019, 46, 5284–5293. [Google Scholar] [CrossRef]
- Bardiès, M.; Gear, J. Scientific Developments in Imaging and Dosimetry for Molecular Radiotherapy. Clin. Oncol. 2021, 33, 117–124. [Google Scholar] [CrossRef]
- Xin, L.; Zhuo, W.; Xie, T. Development of a voxel S-value database for patient internal radiation dosimetry. Phys. Med. 2023, 106, 102519. [Google Scholar] [CrossRef]
- Chen, G.; Lu, Z.; Chen, Y.; Mok, G.S. Voxel-S-value methods adapted to heterogeneous media for quantitative Y-90 microsphere radioembolization dosimetry. Z. Med. Phys. 2023, 33, 35–45. [Google Scholar] [CrossRef] [PubMed]
- Lee, C.-M.; Lee, H.-S. Development of a dose estimation code for BNCT with GPU accelerated Monte Carlo and collapsed cone Convolution method. Nucl. Eng. Technol. 2022, 54, 1769–1780. [Google Scholar] [CrossRef]
- Ito, K.; Ishikawa, Y.; Teramura, S.; Kadoya, N.; Katsuta, Y.; Tanaka, S.; Takeda, K.; Jingu, K.; Yamada, T. Development of a collapsed cone convolution/superposition dose calculation algorithm with a mass density-specific water kernel for magnetic resonance-guided radiotherapy. J. Radiat. Res. 2023, 64, 496–508. [Google Scholar] [CrossRef] [PubMed]
- Mikell, J.K.; Mahvash, A.; Siman, W.; Mourtada, F.; Kappadath, S.C. Comparing voxel-based absorbed dosimetry methods in tumors, liver, lung, and at the liver-lung interface for 90Y microsphere selective internal radiation therapy. EJNMMI Phys. 2015, 2, 16. [Google Scholar] [CrossRef] [PubMed]
- Dieudonné, A.; Hobbs, R.F.; Lebtahi, R.; Maurel, F.; Baechler, S.; Wahl, R.L.; Boubaker, A.; Le Guludec, D.; Sgouros, G.; Gardin, I. Study of the Impact of Tissue Density Heterogeneities on 3-Dimensional Abdominal Dosimetry: Comparison Between Dose Kernel Convolution and Direct Monte Carlo Methods. J. Nucl. Med. 2013, 54, 236–243. [Google Scholar] [CrossRef] [PubMed]
- Rogers, D.W.O. Fifty years of Monte Carlo simulations for medical physics. Phys. Med. Biol. 2006, 51, R287–R301. [Google Scholar] [CrossRef]
- Liang, Y.; Muhammad, W.; Hart, G.R.; Nartowt, B.J.; Chen, Z.J.; Yu, J.B.; Roberts, K.B.; Duncan, J.S.; Deng, J. A general-purpose Monte Carlo particle transport code based on inverse transform sampling for radiotherapy dose calculation. Sci. Rep. 2020, 10, 9808. [Google Scholar] [CrossRef]
- Jia, X.; Yan, H.; Gu, X.; Jiang, S.B. Fast Monte Carlo simulation for patient-specific CT/CBCT imaging dose calculation. Phys. Med. Biol. 2012, 57, 577–590. [Google Scholar] [CrossRef]
- Schiavi, A.; Senzacqua, M.; Pioli, S.; Mairani, A.; Magro, G.; Molinelli, S.; Ciocca, M.; Battistoni, G.; Patera, V. Fred: A GPU-accelerated fast-Monte Carlo code for rapid treatment plan recalculation in ion beam therapy. Phys. Med. Biol. 2017, 62, 7482–7504. [Google Scholar] [CrossRef] [PubMed]
- Li, Y.; Sun, W.; Liu, H.; Ding, S.; Wang, B.; Huang, X.; Song, T. Development of a GPU-superposition Monte Carlo code for fast dose calculation in magnetic fields. Phys. Med. Biol. 2022, 67, 125002. [Google Scholar] [CrossRef] [PubMed]
- Gajewski, J.; Garbacz, M.; Chang, C.-W.; Czerska, K.; Durante, M.; Krah, N.; Krzempek, K.; Kopeć, R.; Lin, L.; Mojżeszek, N.; et al. Commissioning of GPU–Accelerated Monte Carlo Code FRED for Clinical Applications in Proton Therapy. Front. Phys. 2021, 8, 567300. [Google Scholar] [CrossRef]
- Capotosti, A.; Moretti, R.; Milano, A.; Nardini, M.; Cusumano, D.; Annunziata, S.; Capogni, M.; D’arienzo, M.; Placidi, L.; Indovina, L. Up-to-Date Optimization of the 90Y-PET/CT Reconstruction Protocol for Volumetric Quantification in Trans-Arterial RadioEmbolization (TARE) Procedures in the Era of Theranostics. Appl. Sci. 2022, 12, 8418. [Google Scholar] [CrossRef]
- Berger, M.J.; Seltzer, S.M. Stopping Powers and Ranges of Electrons and Positrons. Dic. 1982. Consultato: 4 Luglio 2023. [Online]. Available online: https://ui.adsabs.harvard.edu/abs/1982spre.reptR....B (accessed on 18 January 2024).
- Bolch, W.E.; Bouchet, L.G.; Robertson, J.S.; Wessels, B.W.; Siegel, J.A.; Howell, R.W.; Erdi, A.K.; Aydogan, B.; Costes, S.; Watson, E.E.; et al. MIRD Pamphlet No. 17: The Dosimetry of Nonuniform Activity Distributions—Radionuclide S Values at the Voxel Level. J. Nuclear Med. 1999, 40, 11S–36S. [Google Scholar]
- Nelson, A.; Swallen, A.; Arpidone, M.; Nelson, D. Dosimetry for Yttrium-90 Microsphere Brachytherapy; MIM Software Inc.: Beachwood, OH, USA, 2017. [Google Scholar]
- Sempau, J.; Wilderman, S.J.; Bielajew, A.F. DPM, a fast, accurate Monte Carlo code optimized for photon and electron radiotherapy treatment planning dose calculations. Phys. Med. Biol. 2000, 45, 2263–2291. [Google Scholar] [CrossRef] [PubMed]
- Bilic-Zulle, L. Comparison of methods: Passing and Bablok regression. Biochem. Med. 2011, 21, 49–52. [Google Scholar] [CrossRef]
- Bahar, B.; Tuncel, A.F.; Holmes, E.W.; Holmes, D.T. An interactive website for analytical method comparison and bias estimation. Clin. Biochem. 2017, 50, 1025–1029. [Google Scholar] [CrossRef]
- Lopez, B.; Mahvash, A.; Lam, M.G.E.H.; Kappadath, S.C. Calculation of lung mean dose and quantification of error for 90Y-microsphere radioembolization using 99m Tc-MAA SPECT/CT and diagnostic chest CT. Med. Phys. 2019, 46, 9. [Google Scholar] [CrossRef] [PubMed]
- Kao, Y.H.; Magsombol, B.M.; Toh, Y.; Tay, K.H.; Chow, P.K.; Goh, A.S.; Ng, D.C. Personalized predictive lung dosimetry by technetium-99m macroaggregated albumin SPECT/CT for yttrium-90 radioembolization. EJNMMI Res. 2014, 4, 33. [Google Scholar] [CrossRef] [PubMed]
- Lopez, B.; Mahvash, A.; Long, J.; Lam, M.; Kappadath, S. Improving accuracy of predicted lung dosimetry in 90Y-microsphere radioembolization with 99mTc-MAA planar scintigraphy. In Medical Physics; Wiley: Hoboken, NJ, USA, 2020; pp. E627–E628. [Google Scholar]
- Kappadath, S.C.; Lopez, B.P.; Salem, R.; Lam, M.G. Lung shunt and lung dose calculation methods for radioembolization treatment planning. Q. J. Nucl. Med. Mol. Imaging 2021, 65, 1. [Google Scholar] [CrossRef] [PubMed]
- Chiesa, C.; Sjogreen-Gleisner, K.; Walrand, S.; Strigari, L.; Flux, G.; Gear, J.; Stokke, C.; Gabina, P.M.; Bernhardt, P.; Konijnenberg, M. EANM dosimetry committee series on standard operational procedures: A unified methodology for 99mTc-MAA pre- and 90Y peri-therapy dosimetry in liver radioembolization with 90Y microspheres. EJNMMI Phys. 2021, 8, 77. [Google Scholar] [CrossRef] [PubMed]
- Carlier, T.; Willowson, K.P.; Fourkal, E.; Bailey, D.L.; Doss, M.; Conti, M. 90Y -PET imaging: Exploring limitations and accuracy under conditions of low counts and high random fraction: 90Y -PET quantification. Med. Phys. 2015, 42, 4295–4309. [Google Scholar] [CrossRef]
- Selwyn, R.; Nickles, R.; Thomadsen, B.; DeWerd, L.; Micka, J. A new internal pair production branching ratio of 90Y: The development of a non-destructive assay for 90Y and 90Sr. Appl. Radiat. Isot. 2007, 65, 318–327. [Google Scholar] [CrossRef]





| Characteristic | Median (Range) |
|---|---|
| Sex | |
| M | 22 |
| F | 2 |
| Age | |
| Years | 67 (54–86) |
| Histology | |
| HCC | 24 |
| Microspheres | |
| Resin | 16 |
| Glass | 8 |
| Activity injected | |
| GBq | 1.5 (1.0–4.9) |
| Setup Simulation | Structures | MIM 90Y-SurePlan MAD [Gy] | Torch MAD [Gy] |
|---|---|---|---|
| 1 | Lungs | 0.22 | 0.50 |
| L–L Edge | 4.60 | 8.90 | |
| Liver | 62.11 | 61.40 | |
| 2 | Lungs | 6.86 | 23.10 |
| L–L Edge | 10.89 | 27.40 | |
| Liver | 62.79 | 62.50 |
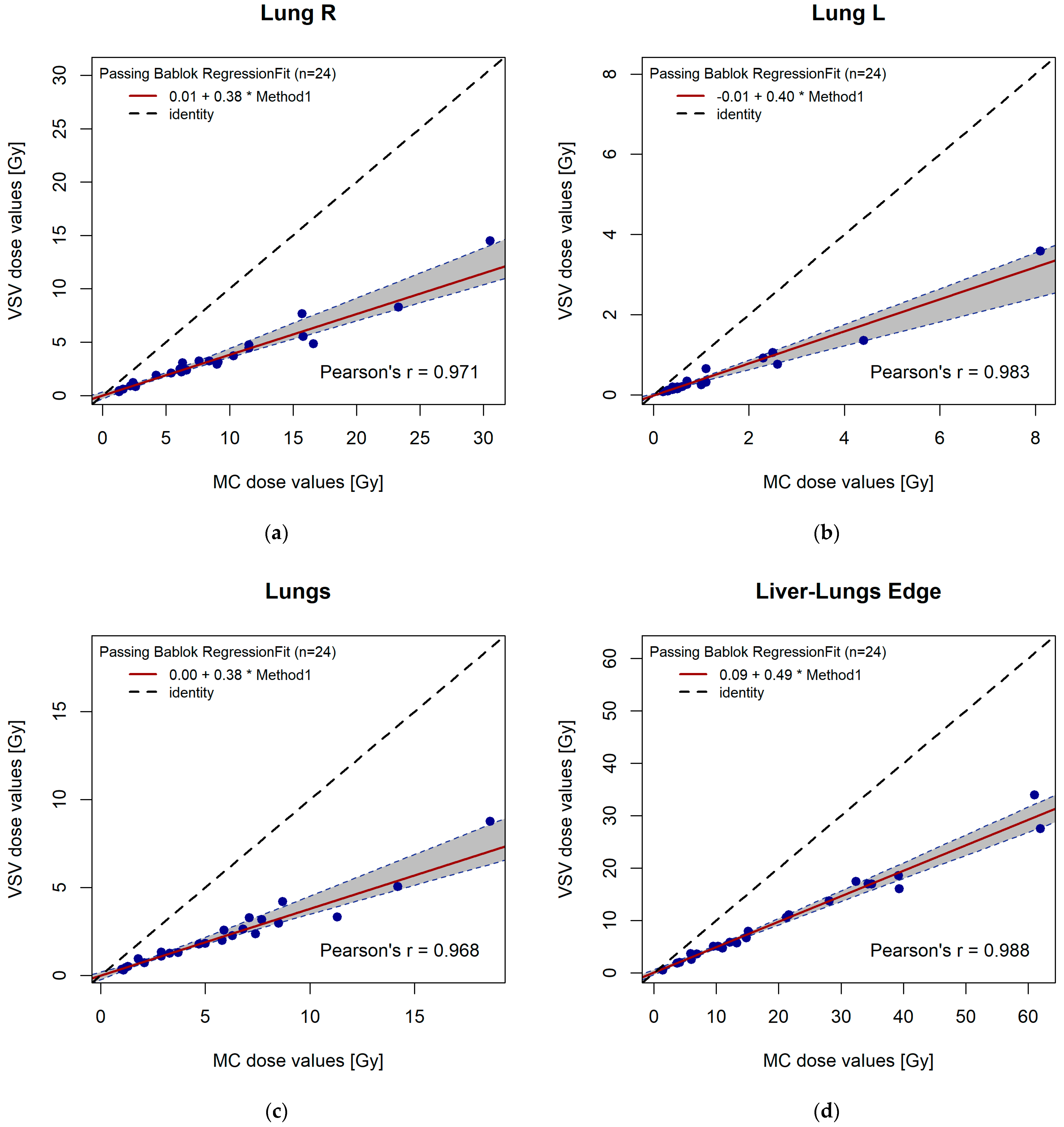
| Structures | Fit Parameters | Value | Lower Confidence Interval | Upper Confidence Interval |
|---|---|---|---|---|
| Liver | Intercept | 0.230 | −0.326 | 0.595 |
| Slope | 1.063 | 1.055 | 1.080 | |
| Healthy Liver | Intercept | −0.440 | −0.910 | −0.141 |
| Slope | 1.075 | 1.053 | 1.097 | |
| Tumor | Intercept | −0.289 | −1.382 | 1.621 |
| Slope | 1.073 | 1.046 | 1.082 | |
| Lung R | Intercept | 0.012 | −0.301 | 0.308 |
| Slope | 0.382 | 0.339 | 0.469 | |
| Lung L | Intercept | −0.010 | −0.036 | 0.030 |
| Slope | 0.400 | 0.300 | 0.445 | |
| Lungs | Intercept | 0.004 | −0.216 | 0.171 |
| Slope | 0.380 | 0.332 | 0.475 | |
| Liver–lungs Edge | Intercept | 0.085 | −0.314 | 0.620 |
| Slope | 0.486 | 0.448 | 0.532 |
Disclaimer/Publisher’s Note: The statements, opinions and data contained in all publications are solely those of the individual author(s) and contributor(s) and not of MDPI and/or the editor(s). MDPI and/or the editor(s) disclaim responsibility for any injury to people or property resulting from any ideas, methods, instructions or products referred to in the content. |
© 2024 by the authors. Licensee MDPI, Basel, Switzerland. This article is an open access article distributed under the terms and conditions of the Creative Commons Attribution (CC BY) license (https://creativecommons.org/licenses/by/4.0/).
Share and Cite
Capotosti, A.; Moretti, R.; Vaccaro, M.; Ribeiro, C.D.A.; Placidi, L.; Nardini, M.; Meffe, G.; Cusumano, D.; Zagaria, L.; De Risi, M.; et al. The Role of Lung Density in the Voxel-Based Dosimetry of 90Y-TARE Evaluated with the Voxel S-Value (VSV) Method and Fast Monte Carlo Simulation. Appl. Sci. 2024, 14, 1019. https://doi.org/10.3390/app14031019
Capotosti A, Moretti R, Vaccaro M, Ribeiro CDA, Placidi L, Nardini M, Meffe G, Cusumano D, Zagaria L, De Risi M, et al. The Role of Lung Density in the Voxel-Based Dosimetry of 90Y-TARE Evaluated with the Voxel S-Value (VSV) Method and Fast Monte Carlo Simulation. Applied Sciences. 2024; 14(3):1019. https://doi.org/10.3390/app14031019
Chicago/Turabian StyleCapotosti, Amedeo, Roberto Moretti, Maria Vaccaro, Cintia De Almeida Ribeiro, Lorenzo Placidi, Matteo Nardini, Guenda Meffe, Davide Cusumano, Luca Zagaria, Marina De Risi, and et al. 2024. "The Role of Lung Density in the Voxel-Based Dosimetry of 90Y-TARE Evaluated with the Voxel S-Value (VSV) Method and Fast Monte Carlo Simulation" Applied Sciences 14, no. 3: 1019. https://doi.org/10.3390/app14031019
APA StyleCapotosti, A., Moretti, R., Vaccaro, M., Ribeiro, C. D. A., Placidi, L., Nardini, M., Meffe, G., Cusumano, D., Zagaria, L., De Risi, M., Perotti, G., Leccisotti, L., De Spirito, M., Iezzi, R., & Indovina, L. (2024). The Role of Lung Density in the Voxel-Based Dosimetry of 90Y-TARE Evaluated with the Voxel S-Value (VSV) Method and Fast Monte Carlo Simulation. Applied Sciences, 14(3), 1019. https://doi.org/10.3390/app14031019

