Visual Clue Guidance and Consistency Matching Framework for Multimodal Named Entity Recognition
Abstract
1. Introduction
2. Related Work
3. Methodology
3.1. Task Definition
3.2. Framework
3.3. Input Representations
3.3.1. Text Feature Extraction
3.3.2. Image Feature Extraction
3.4. Visual Clue Guidance Module
3.4.1. Cross-Scale Attention Module
3.4.2. Dynamic Gating
3.4.3. Hierarchical Feature Fusion
3.4.4. Visual Clue Guidance
3.5. Consistency Matching Module
3.6. CRF Decoder
3.7. Model Training
4. Experiments
4.1. Dataset
4.2. Parameter Settings
4.3. Baselines
4.4. Effectiveness
4.5. Ablation Study
4.6. Case Study
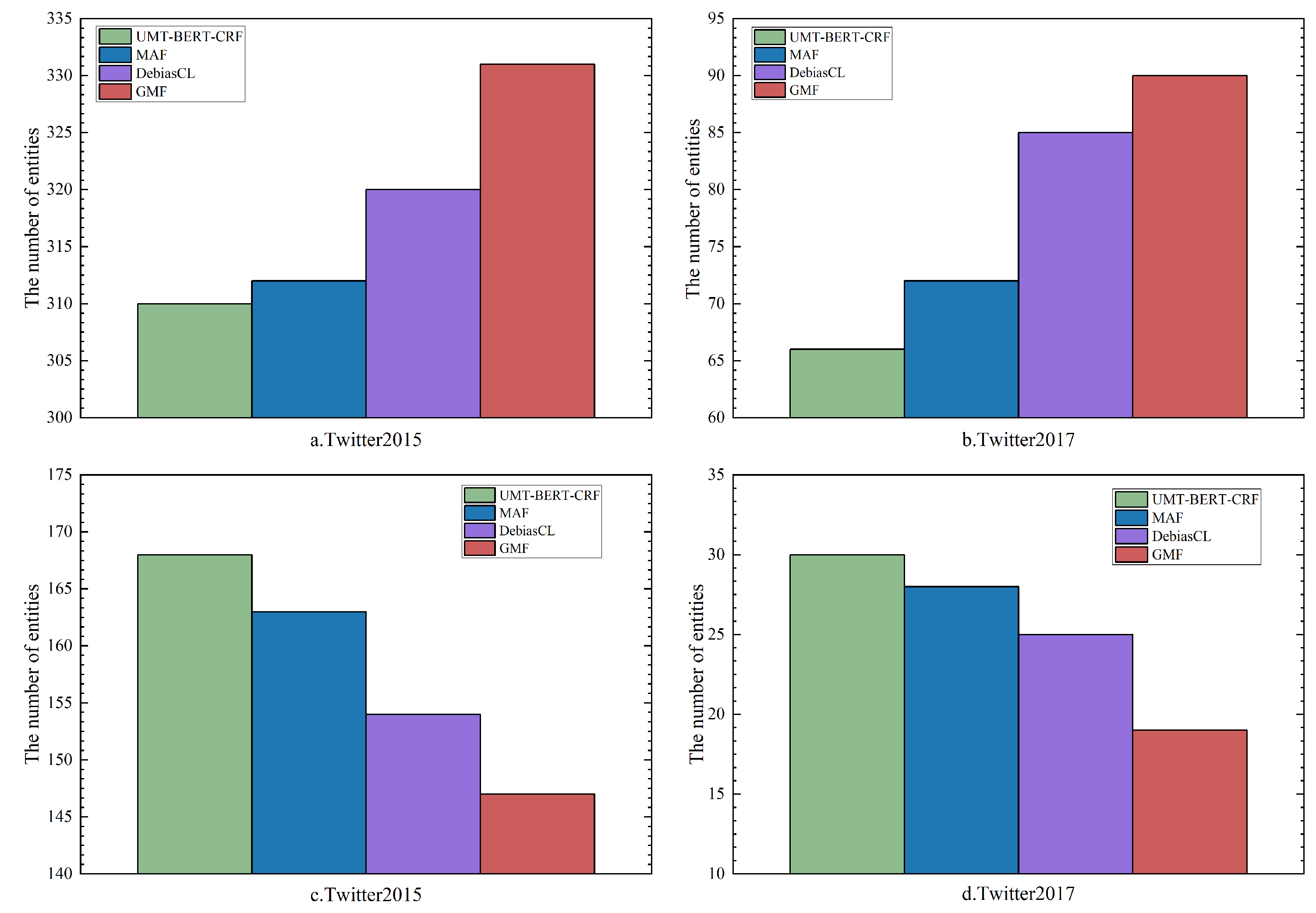
4.7. Further Analysis
5. Conclusions
Author Contributions
Funding
Institutional Review Board Statement
Informed Consent Statement
Data Availability Statement
Acknowledgments
Conflicts of Interest
References
- Zhang, D.; Wei, S.; Li, S.; Wu, H.; Zhu, Q.; Zhou, G. Multi-modal graph fusion for named entity recognition with targeted visual guidance. AAAI Conf. Artif. Intell. 2021, 35, 14347–14355. [Google Scholar] [CrossRef]
- Moon, S.; Neves, L.; Carvalho, V. Multimodal named entity recognition for short social media posts. arXiv 2018, arXiv:1802.07862. [Google Scholar]
- Zhang, Q.; Fu, J.; Liu, X.; Huang, X. Adaptive co-attention network for named entity recognition in tweets. In Proceedings of the Thirty-Second AAAI Conference on Artificial Intelligence, New Orleans, LO, USA, 2–7 February 2018; Volume 32. [Google Scholar]
- Lu, D.; Neves, L.; Carvalho, V.; Zhang, N.; Ji, H. Visual attention model for name tagging in multimodal social media. In Proceedings of the 56th Annual Meeting of the Association for Computational Linguistics (Volume 1: Long Papers), Melbourne, Australia, 15–20 July 2018; pp. 1990–1999. [Google Scholar]
- Arshad, O.; Gallo, I.; Nawaz, S.; Calefati, A. Aiding intra-text representations with visual context for multimodal named entity recognition. In Proceedings of the 2019 International Conference on Document Analysis and Recognition (ICDAR), Sydney, NSW, Australia, 20–25 September 2019; pp. 337–342. [Google Scholar]
- Wu, Z.; Zheng, C.; Cai, Y.; Chen, J.; Leung, H.f.; Li, Q. Multimodal representation with embedded visual guiding objects for named entity recognition in social media posts. In Proceedings of the 28th ACM International Conference on Multimedia, Seattle, WA, USA, 12–16 October 2020; pp. 1038–1046. [Google Scholar]
- Yu, J.; Jiang, J.; Yang, L.; Xia, R. Improving multimodal named entity recognition via entity span detection with unified multimodal transformer. Assoc. Comput. Linguist. 2020, 3342–3352. [Google Scholar]
- Sun, L.; Wang, J.; Su, Y.; Weng, F.; Sun, Y.; Zheng, Z.; Chen, Y. RIVA: A pre-trained tweet multimodal model based on text-image relation for multimodal NER. In Proceedings of the 28th International Conference on Computational Linguistics, Barcelona, Spain, 8–13 December 2020; pp. 1852–1862. [Google Scholar]
- Chen, D.; Li, Z.; Gu, B.; Chen, Z. Multimodal named entity recognition with image attributes and image knowledge. In Proceedings of the Database Systems for Advanced Applications: 26th International Conference, DASFAA 2021, Taipei, Taiwan, 11–14 April 2021; Proceedings, Part II 26. pp. 186–201. [Google Scholar]
- Wang, X.; Cai, J.; Jiang, Y.; Xie, P.; Tu, K.; Lu, W. Named entity and relation extraction with multi-modal retrieval. arXiv 2022, arXiv:2212.01612. [Google Scholar]
- Liu, P.; Li, H.; Ren, Y.; Liu, J.; Si, S.; Zhu, H.; Sun, L. A Novel Framework for Multimodal Named Entity Recognition with Multi-level Alignments. arXiv 2023, arXiv:2305.08372. [Google Scholar]
- Zhao, F.; Li, C.; Wu, Z.; Xing, S.; Dai, X. Learning from Different text-image Pairs: A Relation-enhanced Graph Convolutional Network for Multimodal NER. In Proceedings of the 30th ACM International Conference on Multimedia, Lisboa, Portugal, 10–14 October 2022; pp. 3983–3992. [Google Scholar]
- Szczepanek, R. A Deep Learning Model of Spatial Distance and Named Entity Recognition (SD-NER) for Flood Mark Text Classification. Water 2023, 15, 1197. [Google Scholar] [CrossRef]
- Liu, Y.; Huang, S.; Li, R.; Yan, N.; Du, Z. USAF: Multimodal Chinese named entity recognition using synthesized acoustic features. Inf. Process. Manag. 2023, 60, 103290. [Google Scholar] [CrossRef]
- Vempala, A.; Preoţiuc-Pietro, D. Categorizing and inferring the relationship between the text and image of twitter posts. In Proceedings of the 57th Annual Meeting of the Association for Computational Linguistics, Florence, Italy, 28 July–2 August 2019; pp. 2830–2840. [Google Scholar]
- He, K.; Zhang, X.; Ren, S.; Sun, J. Deep residual learning for image recognition. In Proceedings of the IEEE Conference on Computer Vision and Pattern Recognition, Las Vegas, NV, USA, 27–30 June 2016; pp. 770–778. [Google Scholar]
- He, K.; Gkioxari, G.; Dollár, P.; Girshick, R. Mask r-cnn. In Proceedings of the IEEE International Conference on Computer Vision, Venice, Italy, 22–29 October 2017; pp. 2961–2969. [Google Scholar]
- Radford, A.; Kim, J.W.; Hallacy, C.; Ramesh, A.; Goh, G.; Agarwal, S.; Sastry, G.; Askell, A.; Mishkin, P.; Clark, J.; et al. Learning transferable visual models from natural language supervision. In Proceedings of the International Conference on Machine Learning, PMLR, Virtual, 18–24 July 2021; pp. 8748–8763. [Google Scholar]
- Devlin, J.; Chang, M.W.; Lee, K.; Toutanova, K. Bert: Pre-training of deep bidirectional transformers for language understanding. arXiv 2018, arXiv:1810.04805. [Google Scholar]
- Yang, Z.; Gong, B.; Wang, L.; Huang, W.; Yu, D.; Luo, J. A fast and accurate one-stage approach to visual grounding. In Proceedings of the IEEE/CVF International Conference on Computer Vision, Seattle, WA, USA, 12–16 October 2019; pp. 4683–4693. [Google Scholar]
- Wang, T.; Anwer, R.M.; Cholakkal, H.; Khan, F.S.; Pang, Y.; Shao, L. Learning rich features at high-speed for single-shot object detection. In Proceedings of the IEEE/CVF International Conference on Computer Vision, Seoul, Republic of Korea, 27–28 October 2019; pp. 1971–1980. [Google Scholar]
- Kim, S.W.; Kook, H.K.; Sun, J.Y.; Kang, M.C.; Ko, S.J. Parallel feature pyramid network for object detection. In Proceedings of the European Conference on Computer Vision (ECCV), Munich, Germany, 8–14 September 2018; pp. 234–250. [Google Scholar]
- Lin, T.Y.; Dollár, P.; Girshick, R.; He, K.; Hariharan, B.; Belongie, S. Feature pyramid networks for object detection. In Proceedings of the IEEE Conference on Computer Vision and Pattern Recognition, Honolulu, HI, USA, 21–26 July 2017; pp. 2117–2125. [Google Scholar]
- Ioffe, S.; Szegedy, C. Batch normalization: Accelerating deep network training by reducing internal covariate shift. In Proceedings of the International Conference on Machine Learning, PMLR, Lille, France, 6–11 July 2015; pp. 448–456. [Google Scholar]
- Yu, F.; Koltun, V. Multi-scale context aggregation by dilated convolutions. arXiv 2015, arXiv:1511.07122. [Google Scholar]
- Chen, T.; Kornblith, S.; Norouzi, M.; Hinton, G. A simple framework for contrastive learning of visual representations. In Proceedings of the International Conference on Machine Learning, PMLR, Virtual, 13–18 July 2020; pp. 1597–1607. [Google Scholar]
- Gao, T.; Yao, X.; Chen, D. Simcse: Simple contrastive learning of sentence embeddings. arXiv 2021, arXiv:2104.08821. [Google Scholar]
- Zhang, H.; Koh, J.Y.; Baldridge, J.; Lee, H.; Yang, Y. Cross-modal contrastive learning for text-to-image generation. In Proceedings of the IEEE/CVF Conference on Computer Vision and Pattern Recognition, Nashville, TN, USA, 20–25 June 2021; pp. 833–842. [Google Scholar]
- Huang, Z.; Xu, W.; Yu, K. Bidirectional LSTM-CRF models for sequence tagging. arXiv 2015, arXiv:1508.01991. [Google Scholar]
- Lample, G.; Ballesteros, M.; Subramanian, S.; Kawakami, K.; Dyer, C. Neural architectures for named entity recognition. arXiv 2016, arXiv:1603.01360. [Google Scholar]
- Ritter, A.; Clark, S.; Etzioni, O. Named entity recognition in tweets: An experimental study. In Proceedings of the 2011 Conference on Empirical Methods in Natural Language Processing, Scotland, UK, 27–31 July 2011; pp. 1524–1534. [Google Scholar]
- Xu, B.; Huang, S.; Sha, C.; Wang, H. MAF: A general matching and alignment framework for multimodal named entity recognition. In Proceedings of the Fifteenth ACM International Conference on Web Search and Data Mining, Virtual Event, 21–25 February 2022; pp. 1215–1223. [Google Scholar]
- Wang, P.; Chen, X.; Shang, Z.; Ke, W. Multimodal Named Entity Recognition with Bottleneck Fusion and Contrastive Learning. IEICE Trans. Inf. Syst. 2023, 106, 545–555. [Google Scholar] [CrossRef]
- Zhang, X.; Yuan, J.; Li, L.; Liu, J. Reducing the Bias of Visual Objects in Multimodal Named Entity Recognition. In Proceedings of the Sixteenth ACM International Conference on Web Search and Data Mining, Singapore, 27 February–3 March 2023; pp. 958–966. [Google Scholar]









| Type | Twitter-2015 | Twitter-2017 | ||||
|---|---|---|---|---|---|---|
| Train | Dev | Test | Train | Dev | Test | |
| PER | 2217 | 552 | 1816 | 2943 | 626 | 621 |
| LOC | 2091 | 522 | 1697 | 731 | 173 | 178 |
| ORG | 928 | 247 | 839 | 1674 | 375 | 395 |
| MISC | 940 | 225 | 726 | 701 | 150 | 157 |
| Total | 6176 | 1546 | 5078 | 6049 | 1324 | 1351 |
| # Tweets | 4000 | 1000 | 3257 | 3373 | 723 | 723 |
| Modality | Methods | Twitter-2015 | ||||||
|---|---|---|---|---|---|---|---|---|
| Single Type (F1) | Overall | |||||||
| PER | LOC | ORG | MISC | P | R | F1 | ||
| Text | BiLSTM-CRF | 76.77 | 72.56 | 41.33 | 26.8 | 68.14 | 61.09 | 64.42 |
| HBiLSTM-CRF | 82.34 | 76.83 | 51.59 | 32.52 | 70.32 | 68.05 | 69.17 | |
| BERT | 84.72 | 79.91 | 58.26 | 38.81 | 68.3 | 74.61 | 71.32 | |
| BERT-CRF | 84.74 | 80.51 | 60.27 | 37.29 | 69.22 | 74.59 | 71.81 | |
| Text + image | GVATT-HBiLSTM-CRF | 82.66 | 77.21 | 55.06 | 35.25 | 73.96 | 67.9 | 70.8 |
| GVATT-BERT-CRF | 84.43 | 80.87 | 59.02 | 38.14 | 69.15 | 74.46 | 71.7 | |
| BFCL | 85.6 | 81.77 | 63.81 | 40.3 | 74.02 | 75.07 | 74.54 | |
| UMT-BERT-CRF | 85.24 | 81.58 | 63.03 | 39.45 | 71.67 | 75.23 | 73.41 | |
| MAF | 84.67 | 81.18 | 63.35 | 41.82 | 71.86 | 75.1 | 73.42 | |
| UMGF | 84.26 | 83.17 | 62.45 | 42.42 | 74.49 | 75.21 | 74.85 | |
| DebiasCL | 85.97 | 81.84 | 64.02 | 43.38 | 74.45 | 76.13 | 75.28 | |
| GMF (ours) | 87.02 | 82.51 | 63.25 | 45.2 | 75.47 | 76.15 | 75.81 | |
| Modality | Methods | Twitter-2017 | ||||||
|---|---|---|---|---|---|---|---|---|
| Single Type (F1) | Overall | |||||||
| PER | LOC | ORG | MISC | P | R | F1 | ||
| Text | BiLSTM-CRF | 85.12 | 72.68 | 72.5 | 52.56 | 79.42 | 73.43 | 76.31 |
| HBiLSTM-CRF | 87.91 | 78.57 | 76.67 | 59.32 | 82.69 | 78.16 | 80.37 | |
| BERT | 90.88 | 84 | 79.25 | 64.63 | 82.19 | 83.72 | 82.95 | |
| BERT-CRF | 70.25 | 83.05 | 81.13 | 62.21 | 83.32 | 83.57 | 83.44 | |
| Text + image | GVATT-HBiLSTM-CRF | 89.34 | 78.53 | 79.12 | 62.21 | 83.41 | 80.38 | 81.87 |
| GVATT-BERT-CRF | 90.94 | 83.52 | 81.91 | 62.75 | 83.64 | 84.38 | 84.01 | |
| BFCL | 91.17 | 86.43 | 83.97 | 66.67 | 85.99 | 85.42 | 85.7 | |
| UMT-BERT-CRF | 91.56 | 84.73 | 82.24 | 70.1 | 85.28 | 85.34 | 85.31 | |
| MAF | 91.51 | 85.8 | 85.1 | 68.79 | 86.13 | 86.38 | 86.25 | |
| UMGF | 84.26 | 83.17 | 62.45 | 42.42 | 86.54 | 84.50 | 85.51 | |
| DebiasCL | 93.46 | 84.15 | 84.42 | 67.88 | 87.59 | 86.11 | 86.84 | |
| GMF (ours) | 93.42 | 84.68 | 84.83 | 69.42 | 86.95 | 87.27 | 87.11 | |
| Methods | Twitter-2015 | Twitter-2017 | ||||
|---|---|---|---|---|---|---|
| P | R | F1 | P | R | F1 | |
| GMF | 0.7547 | 0.7615 | 0.7581 | 0.8695 | 0.8727 | 0.8711 |
| w/o VCG | 0.7422 | 0.7596 | 0.7508 | 0.8557 | 0.8734 | 0.8645 |
| w/o CSA | 0.7504 | 0.7542 | 0.7523 | 0.861 | 0.8712 | 0.8661 |
| w/o CM | 0.749 | 0.7499 | 0.7494 | 0.8549 | 0.8719 | 0.8633 |
| w/o VCG + CSA + CM | 0.7347 | 0.7583 | 0.7463 | 0.8615 | 0.8608 | 0.8612 |
Disclaimer/Publisher’s Note: The statements, opinions and data contained in all publications are solely those of the individual author(s) and contributor(s) and not of MDPI and/or the editor(s). MDPI and/or the editor(s) disclaim responsibility for any injury to people or property resulting from any ideas, methods, instructions or products referred to in the content. |
© 2024 by the authors. Licensee MDPI, Basel, Switzerland. This article is an open access article distributed under the terms and conditions of the Creative Commons Attribution (CC BY) license (https://creativecommons.org/licenses/by/4.0/).
Share and Cite
He, L.; Wang, Q.; Liu, J.; Duan, J.; Wang, H. Visual Clue Guidance and Consistency Matching Framework for Multimodal Named Entity Recognition. Appl. Sci. 2024, 14, 2333. https://doi.org/10.3390/app14062333
He L, Wang Q, Liu J, Duan J, Wang H. Visual Clue Guidance and Consistency Matching Framework for Multimodal Named Entity Recognition. Applied Sciences. 2024; 14(6):2333. https://doi.org/10.3390/app14062333
Chicago/Turabian StyleHe, Li, Qingxiang Wang, Jie Liu, Jianyong Duan, and Hao Wang. 2024. "Visual Clue Guidance and Consistency Matching Framework for Multimodal Named Entity Recognition" Applied Sciences 14, no. 6: 2333. https://doi.org/10.3390/app14062333
APA StyleHe, L., Wang, Q., Liu, J., Duan, J., & Wang, H. (2024). Visual Clue Guidance and Consistency Matching Framework for Multimodal Named Entity Recognition. Applied Sciences, 14(6), 2333. https://doi.org/10.3390/app14062333

