The Influence of Artificial Breast Volume Induction on Postural Stability, Postural Orientation, and Neuromuscular Control in Healthy Women: A Cross-Sectional Study
Abstract
1. Introduction
2. Materials and Methods
2.1. Study Design
2.2. Sample Eligibility Criteria
2.3. Instruments and Procedures
2.3.1. Pilot Study
2.3.2. Anthropometric Measurements
2.3.3. Physical Activity Level Assessment
2.3.4. Scapular Dyskinesia Type Characterization
2.3.5. Subjective Perception of Comfort, Effort, and Implant Weight
2.3.6. Kinematic Assessment
2.3.7. Electromyographic Assessment
2.4. Testing Procedure
2.5. Data Processing
| Muscle | Muscle Testing | 
|---|---|
| Sternocleidomastoid | Lying supine, hold the neck in anterolateral flexion (90° contralateral rotation) using isometric neck contraction against manual resistance at mid-range [53]. | 
| Eretor spinae cervical | Lying prone position, using isometric neck contraction against manual resistance at mid-range [53]. | 
| Levator scapulae | Prone T—thumbs up; In the prone position, the shoulder is horizontally abducted and externally rotated (elbow fully extended) as the examiner applies manual pressure downward (above the elbow) to resist adduction of the scapula and extension of the shoulder [54]. | 
| Upper trapezius | Seated T; In a seated position, the shoulder is abducted to 90° (elbow fully extended) as resistance is applied above the elbow in a downward direction (to resist abduction) [54]. | 
| Lower trapezius | Prone V—thumbs up; In the prone position, the arm is raised above the head in line with lower trapezius muscle fibers (elbow fully extended) as resistance is applied above the elbow against further arm raise [54]. | 
| Pectoralis major (clavicular portion) | The shoulder horizontally abducts with the shoulder and elbow flexed at 90°. The participant provides maximal force while attempting to horizontally adduct the arm [55]. | 
| Lumbar Multifidus | Lifting the trunk from de prone position with manual resistance applied to the upper thoracic area [56]. | 
| Transversus abdominis/Internal Obliques | The participant is in a prone position with knees under the hips and hands under the shoulders. The participant raises the dominant arm with a 180° shoulder flexion and the contralateral leg with hip extension [57]. | 
2.6. Statistical Analysis
3. Results
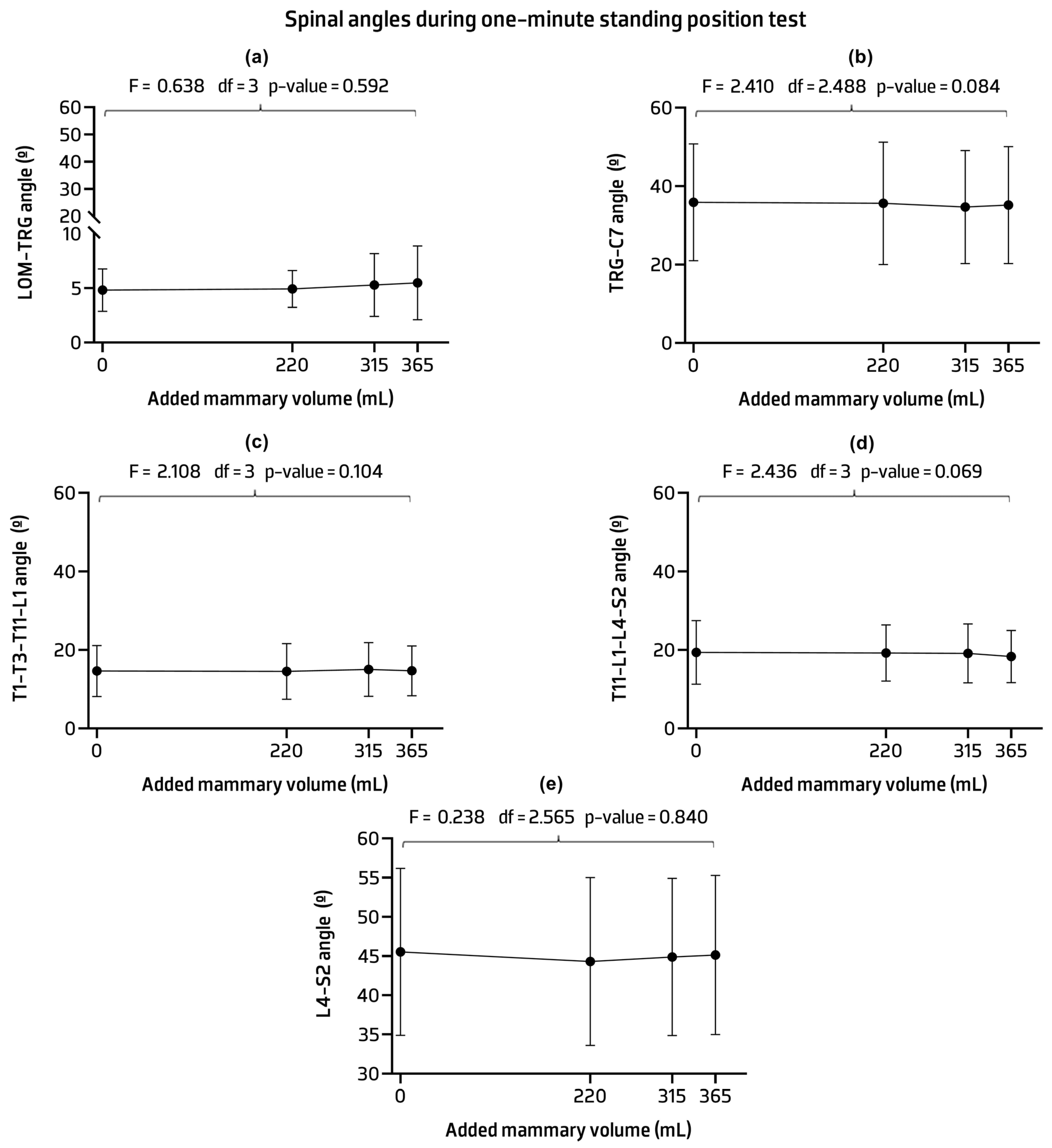
3.1. One-Minute Standing Position Test
3.2. Functional Reach Performance Test
FRT Performance
3.3. Subjective Perception of Comfort, Effort, and Implant Weight
4. Discussion
Study Limitations
5. Conclusions
Author Contributions
Funding
Institutional Review Board Statement
Informed Consent Statement
Data Availability Statement
Acknowledgments
Conflicts of Interest
Appendix A. One-Minute Standing Position Test Spinal Angles Statistics
| Variable | Condition | Mean | SD | Shapiro–Wilk Test | Between Conditions Comparisons | |
|---|---|---|---|---|---|---|
| p-Value | F Value (df); p-Value | Observed Power/Effect Size | ||||
| LOM-TRG Angle (°) | Control | 4.82 | 1.95 | 0.112 | 0.638 (3); 0.592 | 0.180/0.018 | 
| 220 mL | 4.93 | 1.70 | 0.189 | |||
| 315 mL | 5.29 | 2.89 | 0.457 | |||
| 365 mL | 5.48 | 3.40 | 0.303 | |||
| TRG-C7 Angle (°) | Control | 2.64 | 0.70 | 0.582 | 2.410 (2.488); 0.084 | 0.530/0.066 | 
| 220 mL | 2.53 | 0.77 | 0.058 | |||
| 315 mL | 2.79 | 0.93 | 0.192 | |||
| 365 mL | 2.56 | 0.87 | 0.862 | |||
| T1-T3-T11-L1 Angle (°) | Control | 4.93 | 2.68 | 0.773 | 2.108 (3); 0.104 | 0.524/0.058 | 
| 220 mL | 4.40 | 1.76 | 0.873 | |||
| 315 mL | 4.14 | 1.76 | 0.762 | |||
| 365 mL | 4.09 | 1.51 | 0.694 | |||
| T11-L1-L4-S2 Angle (°) | Control | 4.27 | 2.91 | 0.227 | 2.436 (3); 0.069 | 0.592/0.067 | 
| 220 mL | 3.54 | 1.72 | 0.857 | |||
| 315 mL | 3.35 | 1.39 | 0.827 | |||
| 365 mL | 3.39 | 1.48 | 0.859 | |||
| L4-S2 Angle (°) | Control | 2.50 | 0.73 | 0.090 | 0.238 (2.656); 0.840 | 0.090/0.007 | 
| 220 mL | 2.51 | 0.78 | 0.585 | |||
| 315 mL | 2.55 | 0.81 | 0.059 | |||
| 365 mL | 2.60 | 0.77 | 0.098 | |||
Appendix B. One-Minute Standing Position Test Center of Pressure Displacements and Velocities Statistics
| Variable | Condition | Mean (SD) | Shapiro–Wilk Test | Between Conditions Comparisons | |
|---|---|---|---|---|---|
| p-Value | F Value (df); p-Value | Observed Power/Effect Size | |||
| AP CoP Displacement (cm) | Control | 1.97 (0.79) | 0.598 | 0.646 (2.422); 0.555 | 0.166/0.019 | 
| 220 mL | 1.96 (0.74) | 0.600 | |||
| 315 mL | 2.11 (0.81) | 0.636 | |||
| 365 mL | 2.06 (0.84) | 0.584 | |||
| ML CoP Displacement (cm) | Control | 1.17 (0.40) | 0.649 | 0.241 (3); 0.868 | 0.094/0.007 | 
| 220 mL | 1.16 (0.39) | 0.853 | |||
| 315 mL | 1.19 (0.53) | 0.498 | |||
| 365 mL | 1.15 (0.45) | 0.311 | |||
| ML CoP Mean Velocity (cm/ms) | Control | 0.64 (0.20) | 0.519 | 0.104 (3); 0.957 | 0.068/0.003 | 
| 220 mL | 0.64 (0.18) | 0.631 | |||
| 315 mL | 0.64 (0.18) | 0.440 | |||
| 365 mL | 0.63 (0.13) | 0.686 | |||
| Variable | Condition | Median (IQR) (Q3-Q1)) | Shapiro–Wilk test | Friedman test | |
| p-value | χ2 value (df); p-value | ||||
| AP CoP Mean Velocity (cm/ms) | Control | 6.19 (9.94) | 0.001 | 1.357 (3); 0.716 | |
| 220 mL | 5.60 (9.81) | <0.001 | |||
| 315 mL | 6.26 (9.49) | <0.001 | |||
| 365 mL | 5.12 (9.65) | <0.001 | |||
Appendix C. One-Minute Standing Position Test Electromyography Statistics
| Variable | Condition | Mean | Between Conditions Comparisons | Post Hoc Comparisons | 
|---|---|---|---|---|
| F Value (df); p-Value (Observed Power) | Mean Difference (p-Value) | |||
| ECM Muscle (%) | Control | 1.32 (0.65) | 1.006 (3); 0.383 (0.267) | |
| 220 mL | 1.33 (0.81) | |||
| 315 mL | 1.25 (0.59) | |||
| 365 mL | 1.18 (0.57) | |||
| ESC Muscle (%) | Control | 6.38 (4.17) | 2.328 (3); 0.079 (0.570) | |
| 220 mL | 6.03 (4.50) | |||
| 315 mL | 6.46 (4.67) | |||
| 365 mL | 6.73 (4.36) | |||
| LS Muscle (%) | Control | 13.60 (11.87) | 4.416 (3); 0.006 ** (0.864) | Control vs. 220 mL = 0.091 (0.003 **) 220 mL vs. 315 mL = − 0.106 (0.014 **) | 
| 220 mL | 12.14 (10.94) | |||
| 315 mL | 13.83 (13.05) | |||
| 365 mL | 12.84 (10.87) | |||
| PM Muscle (%) | Control | 0.90 (0.56) | 0.111 (1.479); 0.835 (0.064) | |
| 220 mL | 0.97 (0.81) | |||
| 315 mL | 0.92 (0.57) | |||
| 365 mL | 0.93 (0.67) | |||
| UT Muscle (%) | Control | 3.71 (2.28) | 2.134 (2.298); 0.118 (0.457) | |
| 220 mL | 3.76 (3.01) | |||
| 315 mL | 4.78 (4.48) | |||
| 365 mL | 4.64 (4.08) | |||
| LT Muscle (%) | Control | 1.54 (1.46) | 1.975 (1.851); 0.150 (0.379) | |
| 220 mL | 1.66 (1.74) | |||
| 315 mL | 1.71 (1.79) | |||
| 365 mL | 1.66 (1.45) | |||
| LM Muscle (%) | Control | 6.33 (3.37) | 0.534 (3); 0.660 (0.156) | |
| 220 mL | 6.39 (3.31) | |||
| 315 mL | 6.21 (3.16) | |||
| 365 mL | 6.33 (3.33) | |||
| Tra\IO Muscle (%) | Control | 16.76 (14.61) | 0.090 (3); 0.966 (0.066) | |
| 220 mL | 16.41 (14.06) | |||
| 315 mL | 16.65 (13.81) | |||
| 365 mL | 17.07 (15.41) | 
Appendix D. Functional Reach Test Performance Statistics
| Variable | Condition | Mean (SD) | Between Conditions Comparisons | Post Hoc Comparisons | 
|---|---|---|---|---|
| F Value (df); p-Value (Observed Power) | Mean Difference (p-Value) | |||
| 3-MCF Distance | Control | 32.99 (5.68) | 4.105 (3); 0.009 ** (0.835) | Control vs. 220 mL = 1.457 (0.007 **) Control vs. 315 mL = 1.325 (0.040 *) Control vs. 365 mL = 1.104 (0.024 *) | 
| 220 mL | 31.53 (5.47) | |||
| 315 mL | 31.67 (5.82) | |||
| 365 mL | 31.89 (6.22) | 
References
- Horak, F.B. Postural orientation and equilibrium: What do we need to know about neural control of balance to prevent falls? Age Ageing 2006, 35, ii7–ii11. [Google Scholar] [CrossRef] [PubMed]
- Shumway-Cook, A.; Woollacott, M. Motor Control: Translating Research into Clinical Practice, 5th ed.; International Edition; Wolters Kluwer: Alphen aan den Rijn, The Netherlands, 2017; ISBN 978-1-4963-0263-2. [Google Scholar]
- Thomas, S.J.; Zeni, J.A.; Winter, D.A. Winter’s Biomechanics and Motor Control of Human Movement, 5th ed.; Wiley: Hoboken, NJ, USA, 2022; ISBN 978-1-119-82702-3. [Google Scholar]
- Barbosa, A.F.; Raggi, G.C.; Dos Santos Cardoso Sá, C.; Costa, M.P.; De Lima, J.E.; Tanaka, C. Postural control in women with breast hypertrophy. Clinics 2012, 67, 757–760. [Google Scholar] [CrossRef] [PubMed]
- Schinkel-Ivy, A.; Drake, J.D.M. Breast size impacts spine motion and postural muscle activation. J. Back Musculoskelet. Rehabil. 2016, 29, 741–748. [Google Scholar] [CrossRef] [PubMed]
- Lonie, S.; Sachs, R.; Shen, A.; Hunter-Smith, D.J.; Rozen, W.M.; Seifman, M. A systematic review of patient reported outcome measures for women with macromastia who have undergone breast reduction surgery. Gland Surg. 2019, 8, 431–440. [Google Scholar] [CrossRef] [PubMed]
- Papanastasiou, C.; Ouellet, J.A.; Lessard, L. The Effects of Breast Reduction on Back Pain and Spine Measurements: A Systematic Review. Plast. Reconstr. Surg.—Glob. Open 2019, 7, e2324. [Google Scholar] [CrossRef]
- Barbosa, A.F.; Lavoura, P.H.; Boffino, C.C.; Siqueira, C.M.; Costa, M.P.; Lima Junior, J.E.; Tanaka, C. The Impact of Surgical Breast Reduction on the Postural Control of Women with Breast Hypertrophy. Aesthetic Plast. Surg. 2013, 37, 321–326. [Google Scholar] [CrossRef]
- McGhee, D.E.; Coltman, K.A.; Riddiford-Harland, D.L.; Steele, J.R. Upper torso pain and musculoskeletal structure and function in women with and without large breasts: A cross sectional study. Clin. Biomech. 2018, 51, 99–104. [Google Scholar] [CrossRef] [PubMed]
- Onuk, A.; Senen, D.; Arslan, B.; Muslu, U.; Tek, M.; Karslı, B. Effects of bilateral breast reduction on peak airway pressure and pulmonary function tests. Niger. J. Clin. Pract. 2018, 21, 949. [Google Scholar] [CrossRef] [PubMed]
- Hsieh, K.L.; Wood, T.A.; An, R.; Trinh, L.; Sosnoff, J.J. Gait and Balance Impairments in Breast Cancer Survivors: A Systematic Review and Meta-analysis of Observational Studies. Arch. Rehabil. Res. Clin. Transl. 2019, 1, 100001. [Google Scholar] [CrossRef]
- Mangone, M.; Bernetti, A.; Agostini, F.; Paoloni, M.; De Cicco, F.A.; Capobianco, S.V.; Bai, A.V.; Bonifacino, A.; Santilli, V.; Paolucci, T. Changes in Spine Alignment and Postural Balance After Breast Cancer Surgery: A Rehabilitative Point of View. BioResearch Open Access 2019, 8, 121–128. [Google Scholar] [CrossRef] [PubMed]
- Crerand, C.E.; Infield, A.L.; Sarwer, D.B. Psychological Considerations in Cosmetic Breast Augmentation. Plast. Surg. Nurs. 2007, 29, 49–57. [Google Scholar] [CrossRef]
- Nikolic, J.; Janjic, Z.; Marinkovic, M.; Petrovic, J.; Bozic, T. Psychosocial characteristics and motivational factors in woman seeking cosmetic breast augmentation surgery. Vojnosanit. Pregl. 2013, 70, 940–946. [Google Scholar] [CrossRef] [PubMed]
- Holmes, W.J.M.; Timmons, M.J.; Kauser, S. Techniques used by United Kingdom consultant plastic surgeons to select implant size for primary breast augmentation. J. Plast. Reconstr. Aesthet. Surg. 2015, 68, 1364–1369. [Google Scholar] [CrossRef]
- Heidekrueger, P.I.; Sinno, S.; Hidalgo, D.A.; Colombo, M.; Broer, P.N. Current Trends in Breast Augmentation: An International Analysis. Aesthet. Surg. J. 2018, 38, 133–148. [Google Scholar] [CrossRef]
- ISAPS. Global Survey 2022: Full Report and Press Release in English. Available online: https://www.isaps.org/discover/about-isaps/global-statistics/reports-and-press-releases/global-survey-2022-full-report-and-press-releases/ (accessed on 15 November 2023).
- Pelosi, M.A.; Pelosi, M.A. Breast Augmentation. Obstet. Gynecol. Clin. N. Am. 2010, 37, 533–546. [Google Scholar] [CrossRef] [PubMed]
- Michalik, R.; Kühlmann, B.; Wild, M.; Siebers, H.L.; Migliorini, F.; Eschweiler, J.; Betsch, M. The Effect of Breast Size on Spinal Posture. Aesthetic Plast. Surg. 2022, 48, 1331–1338. [Google Scholar] [CrossRef] [PubMed]
- Nicoletti, G.; Mandrini, S.; Finotti, V.; Dall’Angelo, A.; Malovini, A.; Chierico, S.; Faga, A.; Dalla Toffola, E. Objective Clinical Assessment of Posture Patterns after Implant Breast Augmentation. Plast. Reconstr. Surg. 2015, 136, 162e–170e. [Google Scholar] [CrossRef] [PubMed]
- Kateina, C.; Mandalidis, D. Effects of Artificially Induced Breast Augmentation on the Electromyographic Activity of Neck and Trunk Muscles during Common Daily Movements. J. Funct. Morphol. Kinesiol. 2022, 7, 80. [Google Scholar] [CrossRef] [PubMed]
- Cruz, N.I. Breast Asymmetry in Women Requesting Plastic Surgery of the Breast. P. R. Health Sci. J. 2018, 37, 230–238. [Google Scholar] [CrossRef]
- Saldanha, I.J.; Cao, W.; Broyles, J.M.; Adam, G.P.; Bhuma, M.R.; Mehta, S.; Dominici, L.S.; Pusic, A.L.; Balk, E.M. Breast Reconstruction After Mastectomy: A Systematic Review and Meta-Analysis. Agency for Healthcare Research and Quality (AHRQ). July 2021. Available online: https://effectivehealthcare.ahrq.gov/products/breast-reconstruction-mastectomy/research (accessed on 15 November 2023).
- Melo, A.S.C.; Taylor, J.L.; Ferreira, R.; Cunha, B.; Ascenção, M.; Fernandes, M.; Sousa, V.; Cruz, E.B.; Vilas-Boas, J.P.; Sousa, A.S.P. Differences in Trapezius Muscle H-Reflex between Asymptomatic Subjects and Symptomatic Shoulder Pain Subjects. Sensors 2023, 23, 4217. [Google Scholar] [CrossRef] [PubMed]
- Jan, A.; Connor, B. Weif BMI Classification Percentile And Cut Off Points. Available online: https://www.ncbi.nlm.nih.gov/books/NBK541070/ (accessed on 18 December 2024).
- Qiao, Q.; Zhou, G.; Ling, Y. Breast Volume Measurement in Young Chinese Women and Clinical Applications. Aesthetic Plast. Surg. 1997, 21, 362–368. [Google Scholar] [CrossRef] [PubMed]
- Craig, C.L.; Marshall, A.L.; Sjöström, M.; Bauman, A.E.; Booth, M.L.; Ainsworth, B.E.; Pratt, M.; Ekelund, U.; Yngve, A.; Sallis, J.F.; et al. International Physical Activity Questionnaire: 12-Country Reliability and Validity. Med. Sci. Sports Exerc. 2003, 35, 1381–1395. [Google Scholar] [CrossRef] [PubMed]
- Meh, K.; Jurak, G.; Sorić, M.; Rocha, P.; Sember, V. Validity and Reliability of IPAQ-SF and GPAQ for Assessing Sedentary Behaviour in Adults in the European Union: A Systematic Review and Meta-Analysis. Int. J. Environ. Res. Public Health 2021, 18, 4602. [Google Scholar] [CrossRef]
- Fan, M.; Lyu, J.; He, P. Guidelines for data processing and analysis of the International Physical Activity Questionnaire (IPAQ). Zhonghua Liuxingbingxue Zazhi 2014, 35, 961–964. [Google Scholar]
- Kibler, W.B.; Uhl, T.L.; Maddux, J.W.Q.; Brooks, P.V.; Zeller, B.; McMullen, J. Qualitative clinical evaluation of scapular dysfunction: A reliability study. J. Shoulder Elbow Surg. 2002, 11, 550–556. [Google Scholar] [CrossRef] [PubMed]
- Cacciatore, T.W.; Gurfinkel, V.S.; Horak, F.B.; Day, B.L. Prolonged weight-shift and altered spinal coordination during sit-to-stand in practitioners of the Alexander Technique. Gait Posture 2011, 34, 496–501. [Google Scholar] [CrossRef]
- Guan, X.; Fan, G.; Wu, X.; Zeng, Y.; Su, H.; Gu, G.; Zhou, Q.; Gu, X.; Zhang, H.; He, S. Photographic measurement of head and cervical posture when viewing mobile phone: A pilot study. Eur. Spine J. 2015, 24, 2892–2898. [Google Scholar] [CrossRef] [PubMed]
- Muyor, J.M.; Antequera-Vique, J.A.; Oliva-Lozano, J.M.; Arrabal-Campos, F.M. Evaluation of Dynamic Spinal Morphology and Core Muscle Activation in Cyclists—A Comparison between Standing Posture and on the Bicycle. Sensors 2022, 22, 9346. [Google Scholar] [CrossRef] [PubMed]
- Lascurain-Aguirrebeña, I.; Newham, D.J.; Irazusta, J.; Seco, J.; Critchley, D.J. Reliability of a Method to Measure Neck Surface Electromyography, Kinematics, and Pain Occurrence in Participants With Neck Pain. J. Manipulative Physiol. Ther. 2018, 41, 413–424. [Google Scholar] [CrossRef]
- Sommerich, C.M.; Joines, S.M.B.; Hermans, V.; Moon, S.D. Use of surface electromyography to estimate neck muscle activity. J. Electromyogr. Kinesiol. 2000, 10, 377–398. [Google Scholar] [CrossRef]
- Alizadeh, M.; Knapik, G.G.; Marras, W.S. Application of MR-derived cross-sectional guideline of cervical spine muscles to validate neck surface electromyography placement. J. Electromyogr. Kinesiol. 2018, 43, 127–139. [Google Scholar] [CrossRef] [PubMed]
- Hermens, H.J.; Freriks, B.; Disselhorst-Klug, C.; Rau, G. Development of recommendations for SEMG sensors and sensor placement procedures. J. Electromyogr. Kinesiol. 2000, 10, 361–374. [Google Scholar] [CrossRef] [PubMed]
- Cools, A.M.; Witvrouw, E.E.; Declercq, G.A.; Danneels, L.A.; Cambier, D.C. Scapular Muscle Recruitment Patterns: Trapezius Muscle Latency with and without Impingement Symptoms. Am. J. Sports Med. 2003, 31, 542–549. [Google Scholar] [CrossRef] [PubMed]
- Trebs, A.A.; Brandenburg, J.P.; Pitney, W.A. An Electromyography Analysis of 3 Muscles Surrounding the Shoulder Joint During the Performance of a Chest Press Exercise at Several Angles. J. Strength Cond. Res. 2010, 24, 1925–1930. [Google Scholar] [CrossRef] [PubMed]
- SENIAM. Available online: http://www.seniam.org/ (accessed on 12 December 2023).
- Marshall, P.; Murphy, B. The validity and reliability of surface EMG to assess the neuromuscular response of the abdominal muscles to rapid limb movement. J. Electromyogr. Kinesiol. 2003, 13, 477–489. [Google Scholar] [CrossRef] [PubMed]
- Qualysis. Qualysis Track Manager—User Manual; Qualisys: Gothenburg, Sweden, 2011. [Google Scholar]
- Delsys. How Does One Prepare the Skin Prior to Recording with Delsys EMG Sensors? Available online: https://delsys.com/faq-items/how-does-one-prepare-the-skin-prior-to-recording-with-delsys-emg-sensors/ (accessed on 10 May 2024).
- Konrad, P. The ABC of EMG. A Practical Introduction to Kinesiological Electromyography. 2005, Volume 1. Available online: https://www.researchgate.net/publication/270895853 (accessed on 10 May 2024).
- Delsys. How to Improve EMG Signal Quality. Available online: https://delsys.com/emgworks/signal-quality-monitor/improve/ (accessed on 2 January 2024).
- Duncan, P.W.; Weiner, D.K.; Chandler, J.; Studenski, S. Functional Reach: A New Clinical Measure of Balance. J. Gerontol. 1990, 45, M192–M197. [Google Scholar] [CrossRef] [PubMed]
- Nadeau, S.; McFadyen, B.J.; Malouin, F. Frontal and sagittal plane analyses of the stair climbing task in healthy adults aged over 40 years: What are the challenges compared to level walking? Clin. Biomech. 2003, 18, 950–959. [Google Scholar] [CrossRef]
- Couto, A.; Vaz, M.; Pinho, L.; Félix, J.; Moreira, J.; Pinho, F.; Mesquita, I.; Montes, A.; Crasto, C.; Sousa, A. Repeatability and Temporal Consistency of Lower Limb Biomechanical Variables Expressing Interlimb Coordination during the Double-Support Phase in People with and without Stroke Sequelae. Sensors 2023, 23, 2526. [Google Scholar] [CrossRef]
- Sousa, A.S.P.; Macedo, R.; Santos, R.; Sousa, F.; Silva, A.; Tavares, J.M.R.S. Influence of prolonged wearing of unstable shoes on upright standing postural control. Hum. Mov. Sci. 2016, 45, 142–153. [Google Scholar] [CrossRef]
- Sousa, A.S.P. Surface Electromyographic Amplitude Normalization Methods: A Review. 2012. Available online: https://repositorio-aberto.up.pt/handle/10216/64430 (accessed on 10 May 2024).
- Duarte, M.; Freitas, S.M.S.F. Revisão sobre posturografia baseada em plataforma de força para avaliação do equilíbrio. Rev. Bras. Fisioter. 2010, 14, 183–192. [Google Scholar] [CrossRef]
- Quijoux, F.; Nicolaï, A.; Chairi, I.; Bargiotas, I.; Ricard, D.; Yelnik, A.; Oudre, L.; Bertin-Hugault, F.; Vidal, P.; Vayatis, N.; et al. A review of center of pressure (COP) variables to quantify standing balance in elderly people: Algorithms and open-access code. Physiol. Rep. 2021, 9, e15067. [Google Scholar] [CrossRef]
- Tsang, S.M.; Chan, K.T.; Ho, P.L.; Kwok, J.C.; Tse, D.H.; Tsoi, H.H. Comparison between velocity-specific exercise and isometric exercise on neck muscle functions and performance: A randomised clinical trial. BMC Musculoskelet. Disord. 2021, 22, 81. [Google Scholar] [CrossRef] [PubMed]
- Castelein, B.; Cagnie, B.; Parlevliet, T.; Danneels, L.; Cools, A. Optimal Normalization Tests for Muscle Activation of the Levator Scapulae, Pectoralis Minor, and Rhomboid Major: An Electromyography Study Using Maximum Voluntary Isometric Contractions. Arch. Phys. Med. Rehabil. 2015, 96, 1820–1827. [Google Scholar] [CrossRef] [PubMed]
- Lauver, J.D.; Cayot, T.E.; Scheuermann, B.W. Influence of bench angle on upper extremity muscular activation during bench press exercise. Eur. J. Sport Sci. 2016, 16, 309–316. [Google Scholar] [CrossRef]
- Okubo, Y.; Kaneoka, K.; Imai, A.; Shiina, I.; Tatsumura, M.; Izumi, S.; Miyakawa, S. Electromyographic Analysis of Transversus Abdominis and Lumbar Multifidus Using Wire Electrodes During Lumbar Stabilization Exercises. J. Orthop. Sports Phys. Ther. 2010, 40, 743–750. [Google Scholar] [CrossRef] [PubMed]
- Oliva-Lozano, J.M.; Muyor, J.M. Core Muscle Activity during Physical Fitness Exercises: A Systematic Review. Int. J. Environ. Res. Public Health 2020, 17, 4306. [Google Scholar] [CrossRef] [PubMed]
- Kang, H. Sample size determination and power analysis using the G*Power software. J. Educ. Eval. Health Prof. 2021, 18, 17. [Google Scholar] [CrossRef] [PubMed]
- Jildeh, T.R.; Ference, D.A.; Abbas, M.J.; Jiang, E.X.; Okoroha, K.R. Scapulothoracic Dyskinesis: A Concept Review. Curr. Rev. Musculoskelet. Med. 2021, 14, 246–254. [Google Scholar] [CrossRef]







| Type | Definition | 
|---|---|
| Type I (Inferior angle) | At rest, the scapula’s inferior angle is posteriorly prominent. During arm motion, the inferior angle tilts dorsally, and the acromion tilts ventrally over the top of the thorax. The axis of the rotation is in the horizontal plane [30]. | 
| Type II (Medial border) | At rest, the scapula’s medial border is prominent dorsally. During arm motion, the medial scapular border tilts dorsally off the thorax. The axis of the rotation is vertical in the frontal plane [30]. | 
| Type III (Superior border) | At rest, the superior border of the scapula may be elevated, and the scapula can also be anteriorly displaced. During arm motion, a shoulder shrug initiates movement without significant winging of the scapular occurring. The axis of this motion occurs in the sagittal plane [30]. | 
| Type IV (Symmetric scapulohumeral) | At rest, the position of both scapulae is relatively symmetrical, considering that the dominant arm may be slightly lower. During arm motion, the scapulae rotate symmetrically upward such that the inferior angles translate laterally away from the midline and the scapular medial border remains flush against the thoracic wall. The reverse occurs during the lowering of the arm [30]. | 
| Variable | Mean | SD | Min | Max | 
|---|---|---|---|---|
| Age (years) | 24.03 | 4.08 | 19 | 38 | 
| MV (mL) | 270.46 | 259.18 | 22.51 | 1112.12 | 
| BMI (kg/m2) | 22.78 | 2.29 | 18.66 | 27.65 | 
| N | % | |||
| Normal Weight (18.5–24.9 kg/m2) | 27 | 77.1 | ||
| Overweight (25.0–29.9 kg/m2) | 8 | 22.9 | ||
| Mean | SD | Min | Max | |
| IPAQ Total Score (MET/week) | 3048.37 | 3180.86 | 0 | 14,154 | 
| N | % | |||
| Low PA (<600 MET-min/week) | 4 | 11.4 | ||
| Moderate PA (600–3000 MET-min/week) | 17 | 48.6 | ||
| High PA (>3000 MET-min/week) | 14 | 40.0 | ||
| Mean | SD | Min | Max | |
| Body%implant220 (%) | 0.71 | 0.07 | 0.57 | 0.87 | 
| Body%implant315 (%) | 1.01 | 0.11 | 0.82 | 1.24 | 
| Body%implant365 (%) | 1.18 | 0.12 | 0.94 | 1.44 | 
| N | % | |||
| Right-handed | 32 | 91.4 | ||
| Left-handed | 3 | 8.6 | ||
| Type I Scapular Dyskenisis | 2 | 5.7 | ||
| Type II Scapular Dyskenisis | 12 | 34.3 | ||
| Type III Scapular Dyskenisis | 1 | 2.9 | ||
| Type IV Scapular Dyskenisis | 20 | 57.1 | ||
| Variable | Condition | Mean (SD) | Between Conditions Comparisons | ||
|---|---|---|---|---|---|
| F Value (df); p-Value (Observed Power) | |||||
| Reach | Return | Reach | Return | ||
| LOM-TRG Angle (°) | Control | 32.95 (21.94) | 31.97 (21.77) | 0.431 (3); 0.731 (0.134) | 0.227 (2.444); 0.839 (0.088) | 
| 220 mL | 32.83 (21.28) | 32.37 (21.91) | |||
| 315 mL | 32.17 (20.87) | 31.48 (20.71) | |||
| 365 mL | 32.49 (20.83) | 31.76 (21.59) | |||
| TRG-C7 Angle (°) | Control | 36.57 (15.22) | 35.85 (14.91) | 1.737 (3); 0.164 (0.442) | 0.502 (2.370); 0.639 (0.137) | 
| 220 mL | 36.22 (15.92) | 35.60 (15.63) | |||
| 315 mL | 34.78 (14.25) | 34.69 (14.44) | |||
| 365 mL | 35.34 (15.08) | 35.16 (14.91) | |||
| T1-T3-T11-L1 Angle (°) | Control | 17.86 (6.48) | 14.63 (6.52) | 0.411 (3); 0.745 (0.129) | 0.291 (3); 0.832 (0.104) | 
| 220 mL | 17.57 (6.10) | 14.53 (7.10) | |||
| 315 mL | 18.32 (5.70) | 15.01 (6.84) | |||
| 365 mL | 17.99 (5.92) | 14.69 (6.34) | |||
| T11-L1-L4-S2 Angle (°) | Control | 19.11 (8.50) | 19.36 (8.12) | 0.812 (3); 0.490 (0.220) | 1.418 (3); 0.242 (0.366) | 
| 220 mL | 19.32 (7.95) | 19.24 (7.16) | |||
| 315 mL | 18.99 (8.46) | 19.12 (7.49) | |||
| 365 mL | 18.46 (7.35) | 18.30 (6.69) | |||
| L4-S2 Angle (°) | Control | 48.12 (11.44) | 45.53 (10.66) | 0.116 (3); 0.950 (0.070) | 0.856 (3); 0.466 (0.231) | 
| 220 mL | 47.94 (11.09) | 44.32 (10.72) | |||
| 315 mL | 47.89 (10.95) | 44.88 (10.04) | |||
| 365 mL | 48.28 (9.57) | 45.13 (10.15) | |||
| Variable | Condition | Mean (SD) | Between Conditions Comparisons | ||
|---|---|---|---|---|---|
| F Value (df); p-Value (Observed Power) | |||||
| Reach | Return | Reach | Return | ||
| AP CoP Displacement (cm) | Control | 4.11 (2.78) | 4.28 (3.32) | 1.871 (3); 0.139 (0.472) | 1.145 (3); 0.334 (0.300) | 
| 220 mL | 4.63 (2.90) | 4.69 (3.39) | |||
| 315 mL | 4.15 (2.66) | 4.09 (2.86) | |||
| 365 mL | 4.01 (2.52) | 4.02 (2.91) | |||
| ML CoP Displacement (cm) | Control | 1.91 (0.50) | 1.98 (0.52) | 3.195 (3); 0.027 * (0.723) | 1.203 (3); 0.313 (0.314) | 
| 220 mL | 2.08 (0.53) | 2.06 (0.72) | |||
| 315 mL | 1.84 (0.45) | 1.89 (0.57) | |||
| 365 mL | 1.93 (0.43) | 1.98 (0.75) | |||
| AP CoP Mean Velocity (cm/ms) | Control | 8.44 (9.93) | 9.19 (10.42) | 0.212 (3); 0.888 (0.089) | 0.788 (2.561); 0.486 (0.199) | 
| 220 mL | 7.53 (9.24) | 8.13 (9.30) | |||
| 315 mL | 8.04 (8.64) | 8.67 (9.23) | |||
| 365 mL | 8.23 (11.76) | 8.55 (12.00) | |||
| ML CoP Mean Velocity (cm/ms) | Control | 2.69 (1.85) | 2.48 (0.70) | 1.154 (3); 0.331 (0.303) | 1.337 (3); 0.267 (0.347) | 
| 220 mL | 2.34 (0.71) | 2.46 (0.62) | |||
| 315 mL | 2.24 (0.73) | 2.39 (0.74) | |||
| 365 mL | 2.31 (0.91) | 2.33 (0.67) | |||
| Variable | Condition | Mean (SD) | Between Conditions Comparisons | Post Hoc Comparisons | |||
|---|---|---|---|---|---|---|---|
| F Value (df); p-Value (Observed Power) | Mean Difference (p-Value) | ||||||
| Reach | Return | Reach | Return | Reach | Return | ||
| ECM Muscle (%) | Control | 3.58 (2.32) | 2.72 (1.84) | 0.438 (2.364); 0.680 (0.125) | 1.845 (3); 0.144 (0.466) | ||
| 220 mL | 3.80 (2.45) | 3.01 (2.02) | |||||
| 315 mL | 3.72 (2.50) | 3.09 (2.32) | |||||
| 365 mL | 3.67 (2.26) | 2.90 (1.89) | |||||
| ESC Muscle (%) | Control | 49.47 (31.20) | 22.45 (11.35) | 1.778 (3); 0.156 (0.451) | 1.994 (2.372); 0.135 (0.437) | ||
| 220 mL | 47.97 (30.88) | 22.15 (14.02) | |||||
| 315 mL | 45.79 (29.67) | 20.41 (11.34) | |||||
| 365 mL | 48.38 (39.43) | 21.26 (12.26) | |||||
| LS Muscle (%) | Control | 63.33 (48.79) | 35.70 (26.15) | 0.292 (2.367); 0.784 (0.098) | 4.684 (1.680); 0.018 * (0.714) | ||
| 220 mL | 62.86 (44.23) | 31.82 (21.41) | |||||
| 315 mL | 60.90 (44.23) | 35.44 (23.88) | |||||
| 365 mL | 47.57 (48.05) | 41.08 (32.69) | |||||
| PM Muscle (%) | Control | 6.45 (4.00) | 10.69 (7.01) | 0.806 (2.476); 0.474 (0.200) | 0.595 (2.289); 0.576 (0.153) | ||
| 220 mL | 6.93 (4.54) | 10.11 (4.77) | |||||
| 315 mL | 6.95 (5.20) | 10.94 (8.20) | |||||
| 365 mL | 7.15 (4.81) | 11.15 (6.87) | |||||
| UT Muscle (%) | Control | 52.48 (24.58) | 31.56 (11.74) | 5.888 (2.412); 0.002 ** (0.907) | 3.569 (3); 0.017 * (0.775) | Control vs. 315 mL = 0.135 (0.002 **) | Control vs. 220 mL = 0.132 (0.018 *) | 
| 220 mL | 47.26 (21.46) | 28.29 (12.03) | |||||
| 315 mL | 45.55 (19.84) | 29.56 (13.47) | |||||
| 365 mL | 46.62 (21.21) | 31.09 (16.72) | |||||
| LT Muscle (%) | Control | 45.37 (26.23) | 19.75 (15.02) | 4.300 (3); 0.007 ** (0.854) | 3.051 (3); 0.032 * (0.701) | Control vs. 315 mL = − 2.750 (0.047 *) Control vs. 365 mL = − 4.071 (0.042 *) | |
| 220 mL | 49.46 (27.56) | 20.71 (16.24) | |||||
| 315 mL | 48.12 (27.00) | 20.87 (16.66) | |||||
| 365 mL | 49.44 (26.79) | 22.47 (17.90) | |||||
| LM Muscle (%) | Control | 36.41 (15.09) | 34.52 (11.35) | 2.398 (3); 0.073 (0.584) | 0.455 (3); 0.714 (0.139) | ||
| 220 mL | 37.07 (14.96) | 34.56 (11.27) | |||||
| 315 mL | 37.11 (18.78) | 33.92 (11.65) | |||||
| 365 mL | 38.12 (14.37) | 34.66 (10.49) | |||||
| Tra/IO Muscle (%) | Control | 19.14 (19.30) | 22.89 (24.13) | 1.479 (3); 0.225 (0.381) | 0.059 (2.327); 0.960 (0.059) | ||
| 220 mL | 17.28 (17.03) | 23.71 (28.77) | |||||
| 315 mL | 16.86 (16.00) | 21.30 (17.58) | |||||
| 365 mL | 16.95 (16.66) | 23.18 (24.48) | |||||
| Variable | Condition | Median | IQR (Q3-Q1) | Friedman Test | Post Hoc Wilcoxon Test | 
|---|---|---|---|---|---|
| χ2 Value (df); p-Value | z Value (p-Value) | ||||
| Subjective Perception of Effort | Control | 0.00 | 0.00 | 57.039 (3); <0.001 *** | Control vs. 220 mL = 3.169 (0.002 **) Control vs. 315 mL = 4.457 (<0.001 ***) Control vs. 365 mL = 4.534 (<0.001 ***) 220 mL vs. 315 mL = 2.982 (0.003 **) 220 mL vs. 365 mL = 4.363 (<0.001 ***) 315 mL vs. 365 mL = 3.119 (0.002 **) | 
| 220 mL | 0.00 | 1.00 | |||
| 315 mL | 1.00 | 1.00 | |||
| 365 mL | 1.00 | 2.00 | |||
| Subjective Perception of Comfort | Control | 0.00 | 0.00 | 55.652 (3); <0.001 *** | Control vs. 220 mL = 2.828 (0.005 *) Control vs. 315 mL = 3.879 (<0.001 ***) Control vs. 365 mL = 4.719 (<0.001 ***) 220 mL vs. 315 mL = 3.464 (<0.001 ***) 220 mL vs. 365 mL = 4.260 (<0.001 ***) 315 mL vs. 365 mL = 3.441 (<0.001 ***) | 
| 220 mL | 0.00 | 1.00 | |||
| 315 mL | 1.00 | 1.00 | |||
| 365 mL | 1.00 | 0.00 | |||
| Subjective Perception of Implant Weight | Control | 0.00 | 0.00 | 75.709 (3); <0.001 *** | Control vs. 220 mL = 3.947 (<0.001 ***) Control vs. 315 mL = 4.686 (<0.001 ***) Control vs. 365 mL = 5.107 (<0.001 ***) 220 mL vs. 315 mL = 3.038 (0.002 **) 220 mL vs. 365 mL = 4.652 (<0.001 ***) 315 mL vs. 365 mL = 4.520 (<0.001 ***) | 
| 220 mL | 1.00 | 1.00 | |||
| 315 mL | 1.00 | 1.00 | |||
| 365 mL | 2.00 | 2.00 | 
| Disclaimer/Publisher’s Note: The statements, opinions and data contained in all publications are solely those of the individual author(s) and contributor(s) and not of MDPI and/or the editor(s). MDPI and/or the editor(s) disclaim responsibility for any injury to people or property resulting from any ideas, methods, instructions or products referred to in the content. | 
© 2025 by the authors. Licensee MDPI, Basel, Switzerland. This article is an open access article distributed under the terms and conditions of the Creative Commons Attribution (CC BY) license (https://creativecommons.org/licenses/by/4.0/).
Share and Cite
Guedes, D.C.; Carneiro, D.F.; Alves, L.A.T.; Melo, A.S.C.; Moreira, J.; Cunha, B.; Santos, R.; Noites, A.; Sousa, A.S.P. The Influence of Artificial Breast Volume Induction on Postural Stability, Postural Orientation, and Neuromuscular Control in Healthy Women: A Cross-Sectional Study. Appl. Sci. 2025, 15, 579. https://doi.org/10.3390/app15020579
Guedes DC, Carneiro DF, Alves LAT, Melo ASC, Moreira J, Cunha B, Santos R, Noites A, Sousa ASP. The Influence of Artificial Breast Volume Induction on Postural Stability, Postural Orientation, and Neuromuscular Control in Healthy Women: A Cross-Sectional Study. Applied Sciences. 2025; 15(2):579. https://doi.org/10.3390/app15020579
Chicago/Turabian StyleGuedes, Diana C., Daniela F. Carneiro, Leonel A. T. Alves, Ana S. C. Melo, Juliana Moreira, Bruno Cunha, Rubim Santos, Andreia Noites, and Andreia S. P. Sousa. 2025. "The Influence of Artificial Breast Volume Induction on Postural Stability, Postural Orientation, and Neuromuscular Control in Healthy Women: A Cross-Sectional Study" Applied Sciences 15, no. 2: 579. https://doi.org/10.3390/app15020579
APA StyleGuedes, D. C., Carneiro, D. F., Alves, L. A. T., Melo, A. S. C., Moreira, J., Cunha, B., Santos, R., Noites, A., & Sousa, A. S. P. (2025). The Influence of Artificial Breast Volume Induction on Postural Stability, Postural Orientation, and Neuromuscular Control in Healthy Women: A Cross-Sectional Study. Applied Sciences, 15(2), 579. https://doi.org/10.3390/app15020579
 
        







 
       