Featured Application
This work highlights the value of combining workload monitoring tools in women’s rugby sevens. While mechanical work provides consistent measurement of physical output regardless of match context, session rating of perceived exertion (sRPE) and a model that includes aspects of speed, deceleration, and contact, the SDC model, offer additional sensitivity to key match characteristics like game category and player experience. Implementing a dual-monitoring approach, pairing mechanical work with either sRPE or the SDC model, produces insights into physical demands and context-dependent aspects of match performance. This strategy may assist practitioners in bridging the gap between perceived and actual physical demands while accounting for interactions between match characteristics that influence workload.
Abstract
In rugby sevens, multiple high-speed matches in quick succession make effective workload monitoring essential to support decision-making around athlete preparedness and competition strategy. Match characteristics like score differential, player’s competition experience, match type, and opponent may influence workload. The purpose of this investigation was to examine the relationships between match and player characteristics and three workload measures, session rating of perceived exertion (sRPE), mechanical work, and an alternative speed–deceleration–contact (SDC) model. Twenty-two female rugby sevens athletes were monitored across 103 international matches. Data from GNSS-derived playing times, speeds, accelerations, athlete mass, and self-reported ratings of perceived exertion were collected. sRPE and mechanical work were computed, and the SDC model produced predicted values. Associations between player experience, game category, opponent rank, and score differential with each workload measure were tested using ANOVAs with Tukey’s post hoc test. Player experience and match category were significant for all three workload measures. Opponent was significant associated with sRPE and the SDC model, and match outcome was only associated with sRPE. All three workload measures, sRPE, mechanical work, and the SDC model, are valuable but differ in response to contextual and experiential factors.
1. Introduction
There are numerous factors influencing a team sport athlete’s workload in competition, including competitive experience, systems of play, opposition, and physical preparedness [1,2]. Oliviera et al. (2021) identified higher workloads in an elite men’s soccer team following losses to top-ranked teams, and Gallo et al. (2015) have demonstrated that more experienced AFL players have higher training workloads than less experienced players for the same sessions [3,4]. These workload differences impact player preparation and performance, making workload monitoring valuable for assessing an athlete’s physical preparedness to meet, or exceed, the competitive demands of the sport [5,6].
Common examples of workload measurement in team sports include the use of session rating of perceived exertion (sRPE) and mechanical work [7,8]. sRPE is the product of an athlete’s subjective self-report rating of perceived exertion (RPE) and an objective measurement of the duration of an activity, normally obtained from an athlete-worn sensor [7]. This metric is considered a workload measure, as it includes both an indicator of intensity (RPE) and duration (time), and it has relationships to other relevant measures, such as total and high-speed distance and training load including training impulse (TRIMP) [7]. Mechanical work is the product of force and distance produced by athletes in their sport performance [7,8,9,10]. This can be further calculated by using an athlete’s mass and acceleration to calculate force and the same athlete’s velocity and activity time to calculate distance. Mechanical work has been demonstrated to be associated with sRPE in athletes [11]. Statistical and machine learning workload models have also been developed using training and competition data [12,13]. All models offer unique value in monitoring athletes in training and competition environments, yet they may result in different outcomes.
Rugby sevens, like other team field sports, includes many unique factors that could contribute to an experience of workload, such as elements of high-speed running, changes in speed through accelerations and decelerations, and physical contact [14]. Both high-speed running and distances covered are known drivers of sRPE [14]. Since sRPE includes time, more time spent in a match can lead to greater acceleration and deceleration opportunities at various speeds to meet the demands of play. Further, accelerations (and decelerations) have been shown to be associated with metabolic power in men’s rugby league [8,15]. Therefore, the use of high-speed accelerations and decelerations as specific objective components may enhance the understanding of drivers of load, enabling coaches and staff to appropriately manage player exposure in a tournament. Additionally, aspects of physical contact, especially in sports like rugby, can potentially impact athlete load. Epp-Stobbe et al. (2024) found that even within sRPE, contact load was observed to be accounted for [13]. This suggests that there is value in including multiple objective factors in load monitoring models.
As an alternative workload model, Epp-Stobbe et al. (2024) used factors of acceleration/deceleration and contact as a proxy to predict sRPE with a speed–deceleration–contact (SDC) model [13,16], identifying that distances covered at low deceleration (between −2.0 and 0.0 m/s2) while at low and high speeds, as well as mass and counts of contact, explained almost half of the global variance in sRPE (R2adjusted = 0.487) [16]. This model demonstrated strong agreement with sRPE using objective external measures and presented a potential new model for workload measurement in women’s rugby sevens. While this model shows promise, it has not been compared to sRPE or mechanical load using applied, match-specific comparisons.
In rugby sevens, workload monitoring preferences may vary based on data collection methods and emphasis on subjective or objective factors. As such, workload models in a rugby sevens tournament setting may be uniquely impacted by factors such as the opposition, the type of match (pool play vs. knockout), athlete competitive experience, and match outcome (win or loss) [1,2]. The effect of match-specific characteristics on athlete workload is an important consideration in workload monitoring and the choice of model. For example, the potential for the type of game to alter perceived workload (sRPE) has been identified in basketball, where regular-season game workloads were perceived differently than playoff game workloads [17,18]. Further, the training and competition experience of athletes altered their perception of the events and execution of skills in training and competition [4,18]. While there are commonalities between sRPE, mechanical work, and the SDC model, some differences between all models remain [11,13]. These associations between sRPE and mechanical work, as well as sRPE and the SDC model, suggest that athlete load measures yield comparable interpretations regarding relative inter-game differences. Further investigation may be warranted to examine potential nuances between load modeling approaches, particularly concerning systematic bias and effect magnitude [13]. Despite this preliminary investigation, there remains a lack of direct comparison between load models, such as mechanical work, sRPE, and the new load model, in terms of their ability to distinguish player load variations across different match conditions. Therefore, the purpose of this investigation is to provide a comparison between three workload models and their relationships to match-specific and player-specific characteristics in women’s rugby sevens.
2. Materials and Methods
2.1. Participant Information
A total of twenty-two female athletes participated in this investigation (26.5 ± 4.20 years, 169.5 ± 5.90 cm, 70.5 ± 6.43 kg). All participants were members of a full-time national elite amateur centralized rugby sevens training program, providing voluntary, written, informed consent to participate. The University of Victoria Human Research Ethics Board provided ethical approval for this investigation, which followed the principles described in the Declaration of Helsinki (approval code 19-0546). Furthermore, all data used by researchers were anonymized by team staff prior to analysis.
2.2. Procedures
A total of 103 international elite women’s sevens matches were analyzed retrospectively for collected data, including GNSS-coded measures, athlete mass and self-reported RPE data, and match characteristics.
Distance, in meters, speed, in meters per second, and playing time, in minutes, were collected from GNSS monitors worn by the athletes between the shoulder blades in custom vests sampling at 10 Hz (Apex v2.50, StatSports, Newry, UK). Acceleration, in meters per second squared, was calculated based on GNSS speeds using a low, dual-pass second-order Butterworth filter to smooth the data before calculating the rate of change in the smoothed speeds over time (Python, v3.9.8, https://www.python.org, accessed 19 February 2025).
Athlete mass, in kilograms, was collected using a portable weight scale before each match (ES-310, Anyload, Burnaby, BC, Canada). One RPE value was self-reported by each athlete per match, using a 0–10 scale, in arbitrary units, familiar to the participants from regular use in training and competition, which was collected within thirty minutes following each match as players returned to the team’s designated area following post-match cool-down and any media obligations. Session RPE, in arbitrary units, values were calculated as the product of the RPE value and playing time (Python, v3.9.8, https://www.python.org, accessed 19 February 2025).
Mechanical work, in joules, was calculated as the product of mass, acceleration, velocity, and time increments of 0.1 s. The overall absolute mechanical work, in joules, (W) was obtained by summing the instantaneous mechanical work across the entire game, using 0.1 s intervals (Equation (1)). In this context, instantaneous mechanical work was derived from the product of instantaneous absolute power (P) and time (t), where instantaneous absolute power was defined as the product of the athlete’s mass, acceleration, and velocity.
The SDC model, first proposed by Epp-Stobbe et al. (2024), was used to provide predicted workload values, in arbitrary units [13]. This model was previously found to have reasonable explanatory power of sRPE and therefore provides an alternative means of evaluating athlete load. The SDC model is a regression that uses similar metrics as those necessary for the calculation of mechanical work but uses thresholds to define twelve speed and acceleration zones that are used to organize the distanced travelled by the athlete as well as the mass and count of physical contacts experienced by the athlete, as represented in Equation (2), where uathlete represents the random error of each athlete.
The distance travelled, in meters, was categorized into three speed zones: low speeds (walking—0–1.5 m/s), moderate speeds (running—1.5 m/s to each athlete’s entry to sprinting threshold), and high speeds (sprinting—entry to sprinting and above) [13]. The use of athlete-specific entry to sprint thresholds enabled the individual efforts to be appropriately scaled to reflect individual efforts [13,19,20]. After being categorized into speed zones, an acceleration threshold of 2 m/s2 was applied to further organize the distances into four zones of low (<2.0 m/s2) and high (>2.0 m/s2) accelerations and low (<−2.0 m/s2) and high (>−2.0 m/s2) decelerations [9,13,21]. The significant zones for the regression were high speed/high deceleration and low speed/high deceleration (Equation (2)).
A summed count of contacts for each athlete was produced from match footage, evaluated using Sportscode (v11, Hudl, Lincoln, NE, USA).
The model used the distances by zone, mass, and count of contacts per athlete to generate a workload value by a linear mixed model regression using a custom R script (R version 4.2.1, Vienna, Austria).
Key characteristics of match category, opponent, match outcome, and player experience were collected for each game. Player experience, in years playing at the senior international level, was defined as first year of play (rookie season), two–four years of play, or five or more years of play and was determined for each match based on the date of play relative to the player’s debut, making all matches available for inclusion in the analysis. Match category was defined by the type of match, with categories outlined in Table 1. In tournaments, matches where the team-of-study did not finish in the top half of their respective pool were excluded from analysis. The opponent rank groupings were determined as the top-four- and bottom-, or lowest-, four-ranked teams that the team-of-study played, and the rank of the match’s opponent as defined by World Rugby at the start of each tournament. Matches against teams falling outside of the top or bottom ranking, within central rankings, were excluded from analysis. Match outcome was identified as either a win or loss, with ties excluded, as ties were possible under the code during the period of collection.
Table 1.
Operational definition of match categories.
2.3. Statistical Analysis
A total of 1002 complete datasets were available for analysis. Four one-way ANOVA tests were used for each of the three load measures (mechanical work, sRPE, and the SDC model) and one for each match characteristic (match category, opponent, match outcome, and player experience) using subsets of the complete dataset in alignment with each match characteristic (R version 4.2.1., Vienna, Austria). Tukey’s Honest Significant Difference (HSD) tests were applied post hoc to determine significant effects (R version 4.2.1., Vienna, Austria). A post hoc power analysis was conducted based on our smallest match characteristic sample size (N = 345) and on power calculations for the main effects. Assuming a large effect size of f = 0.40 for main effects resulted in a power level of 0.99.
3. Results
On average, the athletes played for 11.8 ± 4.53 min, experienced an RPE of 7 ± 1.9 au, and subsequently had a calculated sRPE of 79.6 ± 45.59 au, 56.25 ± 21.40 kJ of mechanical work per match played.
3.1. Workload Measures and Match Category
Of the matches analyzed (N = 890), 60.90% (N = 542) were pool play, 12.58% (N = 112) were cup quarterfinals, 13.71% (N = 122) were cup semifinals, and 12.81% were cup finals. The greater incidence of cup semifinals compared to cup quarterfinals stemmed from differences in tournament structures by the hosted event, where some tournaments moved from pool play to quarterfinals and others moved from pool play directly to semifinals. There was a main effect for match category for mechanical work (F(3, 886) = 10.12, p < 0.05), sRPE (F(3, 886) = 10.12, p < 0.05), and the SDC model (F(3, 886) = 8.79, p < 0.05). Tukey’s post hoc tests identified significant differences in workload between pool play and cup quarterfinals and cup finals for mechanical work (pool play–cup quarterfinals mean difference = −6512.51, 95% CI [−12,168.26, −856.76], p < 0.05, d = −0.31, indicating a small-to-moderate effect; pool play–cup finals mean difference = −6627.18, 95% CI [−12,222.40, −1033.96], p < 0.05, d = −0.31, indicating a small-to-moderate effect), sRPE (pool play–cup quarterfinals mean difference = −15.31, 95% CI [−26.87, −3.75], p < 0.05, d = −0.36, indicating a small-to-moderate effect; pool play–cup finals mean difference = −21.09, 95% CI [−32.52, −9.66], p < 0.05, d = −0.50, indicating a moderate effect), and the SDC model (pool play–cup quarterfinals mean difference = −22,665.50, 95% CI [−40,647.23, −4683.77], p < 0.05, d = −0.06, indicating a trivial effect; pool play–cup finals mean difference = −25,629.96, 95% CI [−39,629.52, −11,830.39], p < 0.05, d = −0.45, indicating a moderate effect) (Figure 1). Further differences between pool play and cup semifinals were present in sRPE (mean difference = −10.22, 95% CI [−21.34, 0.90], p < 0.05, d = −0.24, indicating a small effect) and between cup quarterfinals and cup semifinals in the SDC model (mean difference = −30,380.84, 95% CI [−47,950.51, −12,811.18], p < 0.05, d = −0.21, indicating a small effect) were identified (Figure 1).
Figure 1.
(a) Average game work, (b) sRPE, (c) SDC model, workload measures by match category, * denotes significant comparison (p < 0.05).
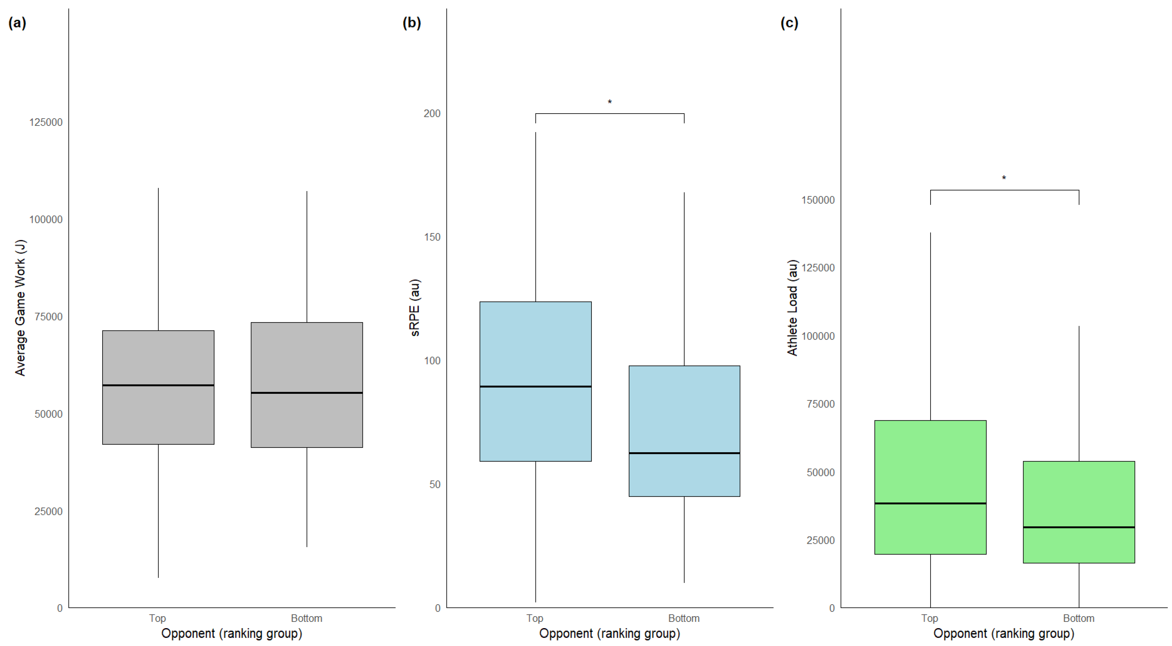
3.2. Workload Measures and Opponent
Of the matches analyzed (N = 345), 69.57% (N = 240) were against a top-four-ranked team, and 30.43% (N = 105) were against a bottom-four-ranked team. Team rankings were determined before each tournament based on World Rugby standings. There was a main effect for opponent for sRPE (F(1, 343) = 12.66, p < 0.05) and the SDC model (F(1, 343) = 4.58, p < 0.05). There was not a significant main effect of opponent for mechanical work (F(1, 343) = 0.04, p > 0.05) (Figure 2). Tukey’s post hoc tests identified significant differences in workload between matches against top-four-ranked teams and bottom-four-ranked teams for both sRPE (mean difference = 18.31, 95% CI [8.41, 28.20], p < 0.05, d = 0.43, indicating a moderate effect) and the SDC model (mean difference = 11,215.46, 95% CI [1490.05, 20,940.87], p < 0.05, d = 0.27, indicating a moderate effect) (Figure 2).
Figure 2.
(a) Average game work, (b) sRPE, (c) SDC model, workload measures by opponent, * denotes significant comparison (p < 0.05).
3.3. Workload Measures and Match Outcome
Of the matches analyzed (N = 992), 67.94% (N = 674) were wins, and 32.06% (N = 318) losses. There was a main effect for match outcome for sRPE (F(1, 990) = 6.90, p < 0.05) and the SDC model (F(1, 343) = 4.58, p < 0.05). There was not a significant main effect of match outcome for mechanical work (F(1, 990) = 1.25, p > 0.05) or the SDC model (F(1, 990) = 0.85, p > 0.05) (Figure 3). Tukey’s post hoc test identified that workloads from wins were significantly different from losses (mean difference = −7.94, 95% CI [−13.73, −2.14], p < 0.05, d = −0.18, indicating a small effect) (Figure 3).
Figure 3.
(a) Average game work, (b) sRPE, (c) SDC model, workload measures by match outcome, * denotes significant comparison (p < 0.05).
3.4. Workload Measures and Player Experience
Of the matches analyzed (N = 1002), 3.59% (N = 36) were played with athletes in their first year on the field, 45.51% (N = 456) with athletes in their second to fourth years, and 50.90% (N = 510) with athletes in their fifth year or greater of international competition experience. There was a main effect for player experience for mechanical work (F(2, 999) = 23.81, p < 0.05), sRPE (F(2, 999) = 28.48, p < 0.05), and the SDC model (F(2, 999) = 41.10, p < 0.05). Tukey’s post hoc tests identified significant differences in workload from all three player experience groups for mechanical work (year 1–year 2–4 mean difference = 16,121.72, 95% CI [7615.11, 24,628.33], p < 0.05, d = 0.78, indicating a large effect; year 1–year 5+ mean difference = 21,991.25, 95% CI [13,519.01, 30,463.49], p < 0.05, d = 1.05, indicating a very large effect; year 2–4–year 5+ mean difference = 5869.53, 95% CI [2713.09, 9025.97], p < 0.05, d = 0.28, indicating a small effect) and sRPE (year 1–year 2–4 mean difference = 18.14, 95% CI [0.90, 35.38], p < 0.05, d = 0.45, indicating a moderate effect; year 1–year 5+ mean difference = 36.19, 95% CI [19.02, 53.36], p < 0.05, d = 0.83, indicating a large effect; year 2–4–year 5+ mean difference = 18.04, 95% CI [11.65, 24.44], p < 0.05, d = 0.52, indicating a moderate effect) (Figure 4). In the SDC model, significant differences were present between the year 1 and year 5+ player experience groups (mean difference = 46,026.03, 95% CI [25,395.47, 66,656.58], p < 0.05, d = −0.73, indicating a moderate-to-large effect) and the year 2–4 and year 5+ player experience groups (mean difference = 26,967.84, 95% CI [19,281.67, 34,654.01], p < 0.05, d = 0.52, indicating a moderate effect) (Figure 4).
Figure 4.
(a) Average game work, (b) sRPE, (c) SDC model, workload measures by player experience, * denotes significant comparison (p < 0.05).
4. Discussion
This investigation was the first to compare associations between three different workload measures for differences in match characteristics in a national women’s rugby sevens cohort. Across all match characteristics, sRPE detected differences for all levels examined, mechanical work showed limited differences for match category, mimicked the sRPE differences for player experience, and showed no differences for opponent or match outcome, and the SDC model mimicked sRPE for opponent and mimicked mechanical work for match outcome, with some unique differences across other match characteristics. This demonstrates that the model chosen will influence the determination of athlete workload. While mechanical work objectively quantifies an athlete’s external workload, it may not account for the internal effect of play. Alternatively, while sRPE may account for perception of exertion, it may not objectively represent the true internal and external workload. Further, the SDC model benefits from comparable associations to sRPE yet includes unique objective measures, positioning this model as valuable for consideration.
4.1. Workload Measures and Match Category
Match category exhibited significant associations with all three workload measures. Interestingly the post hoc analysis highlighted slight nuances between the measures, where pool play differed from cup quarterfinals and cup finals across average game work, sRPE, and the SDC model; however, pool play also differed from cup semifinal workload using sRPE, and cup semifinal and cup quarterfinal workloads differed using the SDC model. Vescovi (2015) suggested that female soccer players experienced higher speeds and covered greater distances in playoff games compared to regular season games [21]. This suggests that games of critical importance, such as playoffs, which would be similar to the cup quarterfinal, cup semifinal, and cup final matches in this dataset, would potentially see players experiencing greater speeds, accelerations, and, subsequently, greater mechanical work measures. Research in men’s basketball has shown increased sRPE in playoffs compared to regular (pool) play and finals compared to semifinals, suggesting that the athletes’ perceptions of the value or importance of the match drives increases in RPE and, subsequently, sRPE [17,18]. Further, Schultz de Aruda et al. (2019) conclude that the observed increases in workload may be explained by the psychological aspects associated with the competition environment, which is to say that the athletes’ identified value of playing in a medal final elicits the perception of increased effort [18]. Given the differences in the psychological perception of the importance of the match, or game category, it is possible to infer that the physical output changes with the category of the game [18]. For example, it is possible that in the medal knockout rounds, the quarterfinal, semifinal, and final, players may have a higher physical output as they recognize the psychological importance of the match [17,18]. This is consistent with the observed results, where sRPE showed the most differences between match category. It is possible that any psychological perception of load is best expressed using this measure. Additionally, when considering both mechanical work and the SDC model, this psychological effect is not overtly accounted for and this shows the unique value of all workload measures, to either objectively evaluate the external measured work with (sRPE) or without (mechanical work, SDC model) psychological perception of effort.
4.2. Workload Measures and Opponent
Opponent rank group demonstrated significant associations with sRPE and SDC model workloads but not with mechanical work. When considering opposition, Oliviera et al. (2021) noted lower sRPE values in elite male soccer players when the team-of-study won against a higher-ranked opponent [3]. The work of Barrett et al. (2018) supports this assertion, having identified higher RPE scores when elite male soccer players faced top-ranked teams, ranked above the team-of-study, suggesting that the opponent rank may influence perceived effort and required further investigation [22]. Recalling that sRPE is the product of playing time and an athlete’s self-reported RPE, the significance of opposition may suggest some level of subjectively perceived difference in effort identified by the athlete [7]. However, this association may not necessarily be driven by the particular match characteristic measures but rather by the RPE component of sRPE. Nevertheless, the significant association present with the SDC model in this case suggests that there is some difference in physical output when facing top-ranked teams; however, it is not one necessarily driven by differences in speeds or accelerations, which would be reflected in mechanical work. Instead, tactical differences in the style of play required to face highly skilled teams may result in changes in workload. For example, since the SDC model includes a count of physical contacts, it may suggest that this particular factor is a key driver in the difference in workloads from facing top- versus bottom-ranked teams. Physical contact has known associations with RPE as well as sRPE in women’s sevens [13,23].
4.3. Workload Measures and Match Outcome
Match outcome only demonstrated significant associations with sRPE. The work of Oliviera et al. (2021) and Fessi and Moalla (2018) supports this, having identified higher RPE values reported after losses compared to wins or draws in elite male soccer players [3,24]. A lower sRPE after a win compared to a loss suggests that athletes identify losses as being more effortful and would report a higher RPE. However, the more objective workload measures of mechanical work and the SDC model were not significant, suggesting that physical outputs were not different in each case. This is potentially different from the work of Gabbett (2013), who identified greater distances covered when rugby league matches were won, which would potentially drive higher workloads [25]. In contrast, Hills et al. (2024) identified differences in locomotor demands where wins resulted higher in periods of physical output for both men’s and women’s rugby sevens [26]. Ultimately, both the research of Gabbett (2013) and Hills et al. (2024) recognize that there are a variety of factors that affect physical activity within a match and, therefore, match workloads, regardless of outcome [25,26].
4.4. Workload Measures and Player Experience
Player experience demonstrated significant associations with all three workload measures. Again, the post hoc analysis emphasized slight differences between the measures, where significant differences existed between all three experience groups (year 1, years 2–4, years 5+) for mechanical work and sRPE but only between year 1 and year 5+ and years 2–4 and year 5+ in the SDC model. In all cases, the most experienced group of players demonstrated the highest workload, an important consideration for team staff, as they plan substitutions and strategies across a tournament. The higher sRPE experienced by more experienced players may point to increased playing time but also to the increased reliance on these players relative to rookies in their first year, inferring that players perceive an increased load due to their increased presence in multiple matches across a tournament. Gallo et al. (2015) found similar results in men’s AFL training, hypothesizing that less experienced players may be less involved in executing skills or drills due to unnecessary and inefficient movements [4]. Applying this logic to a game scenario, it would make sense that a less experienced player would have a lower game acumen to participate as effectively as their more experienced counterparts, leading them to perceive that they participated less in the match and report a lower RPE and, subsequently, a lower sRPE. In the same case, less effective involvement in matches may see less experienced athletes cover less ground and at different speeds and accelerations than seasoned veterans, leading to lower mechanical work and lower workload values from the SDC model. Again, the work of Gallo et al. (2015) in men’s AFL training may apply, whereby inexperienced players may struggle to make the appropriate movements to complete a skill, drill, or in-game actions, making them less involved in plays and, therefore, experiencing less mechanical work [4]. Conversely, players with high levels of experience have an improved understanding of the game and are able to participate more effectively in active play, increasing their mechanical work [27].
4.5. Considerations for Use of Workload Measures
When considering the statistical differences between workloads across match characteristics, it is apparent that sRPE had more differences compared to the SDC model and mechanical work. The observed differences for all four key match characteristics investigated were associated with sRPE, three of the four were associated with the SDC model, and only two were associated with mechanical work.
This investigation demonstrated that an athlete’s perception of their performance effort, through sRPE, is moderated by match characteristics. This suggests that the SDC model may represent an objective alternative to relying on athlete-reported values for the calculation of sRPE alone [13]. The value of objective data in place of athlete-reported values means that the usual problem of missing data when using survey-based measures is avoided, ensuring continuity and completeness of data over time [28].
Despite this study being the first to investigate the associations between mechanical work and key match characteristics in women’s rugby sevens, mechanical work was only influenced by the key match characteristics of player experience and game category. This may be due to an athlete’s participation in the match stemming from their skills, knowledge, and effortful actions [4,27]. This is a reasonable conclusion, as no matter the opponent or match outcome, an athlete is still exerting themselves physically on the field to make the most optimal plays for the team in the moment. However, it is also entirely possible that since mechanical work is a biomechanical expression of the physical output of a player, representative of external load, and is determined by inferring internal forces that cannot be measured in situ, it is not fully representative of all stresses experienced by players, accounting for some differences in its relationship with match characteristics. When considering rugby-specific stresses, the physical contacts experienced in matches, already known to influence sRPE, may also influence general physical output [13,16,23]. The SDC model identified both contact and deceleration as variables that influence workload, and as such, it is possible that contacts and decelerations are drivers of the differences in the workload model by match characteristic. For instance, Hills et al. (2024) found periods of higher physical output by winning teams, suggesting that teams may be moving more and, as such, more exposed to a wider variety of physical movements, including contact in tackles and carries, as well as changes in direction that require deceleration [26]. Irrespective of outcome, mechanical work, as a workload measure, quantifies the physical effort of an athlete more similarly to the SDC model than sRPE.
Interestingly, the type of game being played may have an effect on workload irrespective of opponent and opponent rank differential. This suggests that the level of the game, i.e., quarterfinal, medal vs. ranking final, etc., is more impactful on athlete workload than the opponent the athlete is facing. This points to some interaction between the match category, outcome, and opponent. While the current investigation leveraged ANOVA tests to evaluate the presence of any significant interactions between these categorical variables, future research should consider means of quantifying the effects of these particular interactions. This is an important consideration in team sports given the bracketed nature of knockout or playoff rounds, whereby teams often want to achieve a certain standing in pool play to avoid facing certain highly-ranked or similarly ranked opponents in early playoff rounds [29].
5. Limitations
This study only included participants from women’s rugby sevens; therefore, direct application of the findings may be limited. Further, the elite nature of international competition may mean that match characteristics may not necessarily be applied in the same way to different competition levels. Practitioners are encouraged to consider how these findings may or may not be applied in their respective environments.
6. Practical Implications
These findings underscore the complexity of interpreting workload data in competitive sports settings, where broader interaction effects may not always translate into statistically significant differences in measures. The influence of match-specific and player-specific characteristics should be considered when monitoring athletic performances in competition, as subjective perception may not match physical performance [30,31]. Practically, the findings support the application of more than one strategy when monitoring athletes [5,32]. For example, the use of mechanical work may be coupled with either sRPE or the SDC model as a means of gathering insight into the physical output of an athlete, as well as match-specific experiences such as those from contacts or perceived exertion. Alternatively, where sRPE is already in use, the inclusion of mechanical work is complimentary, as it provides additional context to athletic performance through objective measures of physical output. While it is acknowledged that athlete performance in team sports is multifaceted, a significant gap exists between perceived and objective physical performance, which may potentially be bridged through the consideration of how match and player characteristics relate to existing workload monitoring strategies [33]. The value of using a variety of measures to accurately quantify an athlete’s sporting experience and performance effort is strongly encouraged [5,32]. The combination of objective measures, such as mechanical work or the SDC model, with measures that encompass psychological elements, like sRPE, provides a well-rounded understanding of the athletic experience.
7. Conclusions
Ultimately, all three workload measures, sRPE, mechanical work, and the SDC model, remain viable workload monitoring tools. The use of sRPE or the SDC model to monitor workloads may be more sensitive to key match characteristics than mechanical work. Given the potential interaction between match characteristics, such as opponent, score difference, and type of match, and their influence on workload, practitioners are encouraged to consider the implications of these workload tools in their respective applied environments.
Author Contributions
Conceptualization, A.E.-S., M.K. and M.-C.T.; methodology, A.E.-S., M.K. and M.-C.T.; software, A.E.-S., M.K. and M.-C.T.; validation, A.E.-S.; formal analysis, A.E.-S., M.K. and M.-C.T.; investigation, A.E.-S.; resources, A.E.-S.; data curation, A.E.-S.; writing—original draft preparation, A.E.-S.; writing—review and editing, M.K. and M.-C.T.; visualization, A.E.-S.; supervision, M.K. and M.-C.T.; project administration, M.K.; funding acquisition, A.E.-S., M.K. and M.-C.T. All authors have read and agreed to the published version of the manuscript.
Funding
This work was part of a project funded by Mitacs. A Mitacs Accelerate PhD Fellowship (IT-16129) has been awarded to A.E.-S., and the project was supervised by M.K. and M.-C.T.
Institutional Review Board Statement
Ethical approval for the study was obtained from the University of Victoria’s Human Research Ethics Board (19-0546, 20 November 2019).
Informed Consent Statement
Informed consent was obtained from all subjects involved in this study.
Data Availability Statement
The data presented in this study are available on request from the corresponding author, A.E.-S., due to the sensitive nature of high-performance sport data.
Acknowledgments
The authors would like to extend their gratitude to Callum Morris, along with the players and coaching staff, for their invaluable cooperation throughout this project.
Conflicts of Interest
The authors declare no conflicts of interest. The funders had no role in the design of the study; in the collection, analyses, or interpretation of data; in the writing of the manuscript; or in the decision to publish the results.
References
- Arjol-Serrano, J.L.; Lampre, M.; Díez, A.; Castillo, D.; Sanz-López, F.; Lozano, D. The influence of playing formation on physical demands and technical-tactical actions according to playing positions in an elite soccer team. Int. J. Environ. Res. Public Health 2021, 18, 4148. [Google Scholar] [CrossRef]
- Folgado, H.; Duarte, R.; Fernandes, O.; Sampaio, J. Competing with lower level opponents decreases intra-team movement synchronization and time-motion demands during pre-season soccer matches. PLoS ONE 2014, 9, e97145. [Google Scholar] [CrossRef] [PubMed]
- Oliveira, R.; Brito, J.M.; Loureiro, N.; Padinha, V.; Ferreira, B.; Mendes, B. Effects of match location, match result and the quality of opposition in training load on a two-matches week in a top-class elite European soccer team. Cuad. Psicol. Deporte 2021, 21, 183–197. [Google Scholar] [CrossRef]
- Gallo, T.; Cormack, S.; Gabbett, T.; Williams, M.; Lorenzen, C. Characteristics impacting on session rating of perceived exertion training load in Australian footballers. J. Sports Sci. 2014, 33, 467–475. [Google Scholar] [CrossRef]
- Bourdon, P.C.; Cardinale, M.; Murray, A.; Gastin, P.; Kellmann, M.; Varley, M.C.; Gabbett, T.J.; Coutts, A.J.; Burgess, D.J.; Gregson, W.; et al. Monitoring athlete training loads: Consensus statement. Int. J. Sport Physiol. 2017, 12, 161–170. [Google Scholar] [CrossRef] [PubMed]
- Gabbett, T.J. The training-injury prevention paradox: Should athletes be training smarter and harder? Br. J. Sports Med. 2016, 50, 273–280. [Google Scholar] [CrossRef] [PubMed]
- Haddad, M.; Stylianides, G.; Djaoui, L.; Dellal, A.; Chamari, K. Session-RPE method for training load monitoring: Validity, ecological usefulness, and influencing factors. Front. Neurosci. 2017, 11, 612. [Google Scholar] [CrossRef] [PubMed]
- Delaney, J.A.; Cummins, C.J.; Thornton, H.R.; Duthie, G.M. Importance, reliability, and usefulness of acceleration measures in team sports. J. Strength Cond. Res. 2018, 32, 3485–3493. [Google Scholar] [CrossRef]
- Mara, J.K.; Thompson, K.G.; Pumpa, K.L.; Morgan, S. The acceleration and deceleration profiles of elite female soccer players during competitive matches. J. Sci. Med. Sport 2017, 20, 867–872. [Google Scholar] [CrossRef] [PubMed]
- Staunton, C.A.; Abt, G.; Weaving, D.; Wundersitz, D.W.T. Misuse of the term ‘load’ in sport and exercise science. J. Sci. Med. Sport 2022, 25, 439–444. [Google Scholar] [CrossRef] [PubMed]
- Epp-Stobbe, A.; Tsai, M.C.; Klimstra, M. Work smarter not harder: Mechanical work as a measure of athlete workload. ISBS Proc. Arch. 2024, 42, 51. [Google Scholar]
- Bartlett, J.D.; O’Connor, F.; Pitchford, N.; Torres-Ronda, L.; Robertson, S.J. Relationships between internal and external training load in team-sport athletes: Evidence for an individualized approach. Int. J. Sports Physiol. Perform. 2017, 12, 230–234. [Google Scholar] [CrossRef] [PubMed]
- Epp-Stobbe, A.; Tsai, M.-C.; Klimstra, M.D. Predicting Athlete Workload in Women’s Rugby Sevens Using GNSS Sensor Data, Contact Count and Mass. Sensors 2024, 24, 6699. [Google Scholar] [CrossRef] [PubMed]
- Schuster, J.; Howells, D.; Robineau, J.; Couderc, A.; Natera, A.; Lumley, N.; Gabbett, T.J.; Winkelman, N. Physical-preparation recommendations for elite rugby sevens performance. Int. J. Sports Physiol. Perform. 2018, 13, 255–267. [Google Scholar] [CrossRef]
- Delaney, J.A.; Duthie, G.M.; Thornton, H.R.; Scott, T.J.; Gay, D.; Dascombe, B.J. Acceleration-based running intensities of professional rugby league match play. Int. J. Sports Physiol. Perform. 2016, 11, 802–809. [Google Scholar] [CrossRef] [PubMed]
- Epp-Stobbe, A.; Tsai, M.-C.; Klimstra, M. Comparison of Imputation Methods for Missing Rate of Perceived Exertion Data in Rugby. Mach. Learn. Knowl. Extr. 2022, 4, 827–838. [Google Scholar] [CrossRef]
- Ferioli, D.; Scanlan, A.T.; Conte, D.; Tibiletti, E.; Rampinini, E. The business end of the season: A comparison between playoff and regular-season workloads in professional basketball players. Int. J. Sports Physiol. Perform. 2021, 16, 655–662. [Google Scholar] [CrossRef] [PubMed]
- Schultz de Arruda, A.F.; Aoki, M.S.; Drago, G.; Moreira, A. Salivary testosterone concentration, anxiety, perceived performance and ratings of perceived exertion in basketball players during semi-final and final matches. Physiol. Behav. 2019, 198, 102–107. [Google Scholar] [CrossRef] [PubMed]
- Gabbett, T.J. Relationship Between Accelerometer Load, Collisions, and Repeated High-Intensity Effort Activity in Rugby League Players. J. Strength Cond. Res. 2015, 29, 3424–3431. [Google Scholar] [CrossRef]
- Cunniffe, B.; Proctor, W.; Baker, J.S.; Davies, B. An Evaluation of the Physiological Demands of Elite Rugby Union Using Global Positioning System Tracking Software. J. Strength Cond. Res. 2009, 23, 1195–1203. [Google Scholar] [CrossRef]
- Vescovi, J.D. Physical demands of regular season and playoff matches in professional women’s soccer: A pilot from the Female Athletes in Motion (FAiM) study. In International Research in Science and Soccer II; Reilly, T., Korkusuz, F., Eds.; Routledge: London, UK, 2015; p. 12. [Google Scholar]
- Barrett, S.; McLaren, S.; Spears, I.; Ward, P.; Weston, M. The influence of playing position and contextual factors on soccer players’ match differential ratings of perceived exertion: A preliminary investigation. Sports 2018, 6, 13. [Google Scholar] [CrossRef] [PubMed]
- Epp-Stobbe, A.; Tsai, M.C.; Morris, C.; Klimstra, M. The influence of physical contact on athlete load in international female rugby sevens. J. Strength Cond. Res. 2022, 37, 383–387. [Google Scholar] [CrossRef] [PubMed]
- Fessi, M.S.; Moalla, W. Postmatch perceived exertion, feeling, and wellness in professional soccer players. Int. J. Sports Physiol. Perform. 2018, 13, 631–637. [Google Scholar] [CrossRef] [PubMed]
- Gabbett, T.J. Influence of the opposing team on the physical demands of elite rugby league match play. J. Strength Cond. Res. 2013, 27, 1629–1635. [Google Scholar] [CrossRef]
- Hills, S.P.; Izri, E.; Howells, D.; Lonergan, B.; Kilduff, L.P.; Waldron, M. Assessing the locomotor demands of international men’s and women’s rugby sevens match-play according to passage of play. PLoS ONE 2024, 19, e0304186. [Google Scholar] [CrossRef]
- Becirovic, M.; Bischofberger, J.; Kornfeind, P.; Stifter, S.; Baca, A. Analysis of sprint-related performance indicators in professional youth soccer across age groups & positions. ISBS Proc. Arch. 2024, 42, 218. [Google Scholar]
- Griffin, A.; Kenny, I.C.; Comyns, T.M.; Purtill, H.; Tiernan, C.; O’Shaughnessy, E.; Lyons, M. Training load monitoring in team sports: A practical approach to addressing missing data. J. Sports Sci. 2021, 39, 2161–2171. [Google Scholar] [CrossRef] [PubMed]
- Guyon, J. Choose your opponent: A new knockout design for hybrid tournaments. J. Sports Anal. 2022, 8, 9–29. [Google Scholar] [CrossRef]
- Saw, A.E.; Main, L.C.; Gastin, P.B. Monitoring the athlete training response: Subjective self-reported measures trump commonly used objective measures: A systematic review. Br. J. Sports Med. 2016, 50, 281–291. [Google Scholar] [CrossRef]
- Coyne, J.O.C.; Haff, G.G.; Coutts, A.J.; Newton, R.U.; Nimphius, S. The current state of subjective training load monitoring—A practical perspective and call to action. Sports Med. Open 2018, 4, 58. [Google Scholar] [CrossRef]
- Gabbett, T.J.; Nassis, G.P.; Oetter, E.; Pretorius, J.; Johnston, N.; Medina, D.; Rodas, G.; Myslinski, T.; Howells, D.; Beard, A.; et al. The athlete monitoring cycle: A practical guide to interpreting and applying training monitoring data. Br. J. Sports Med. 2017, 51, 1451–1452. [Google Scholar] [CrossRef]
- West, S.W.; Clubb, J.; Torres-Ronda, L.; Howells, D.; Leng, E.; Vescovi, J.D.; Carmody, S.; Posthumus, M.; Dalen-Lorentsen, T.; Windt, J. More than a metric: How training load is used in elite sport for athlete management. Int. J. Sports Med. 2021, 42, 300–306. [Google Scholar] [CrossRef] [PubMed]
Disclaimer/Publisher’s Note: The statements, opinions and data contained in all publications are solely those of the individual author(s) and contributor(s) and not of MDPI and/or the editor(s). MDPI and/or the editor(s) disclaim responsibility for any injury to people or property resulting from any ideas, methods, instructions or products referred to in the content. |
© 2025 by the authors. Licensee MDPI, Basel, Switzerland. This article is an open access article distributed under the terms and conditions of the Creative Commons Attribution (CC BY) license (https://creativecommons.org/licenses/by/4.0/).



