Abstract
In this article, we have briefly examined the entropy generation in magnetohydrodynamic (MHD) Eyring–Powell fluid over an unsteady oscillating porous stretching sheet. The impact of thermal radiation and heat source/sink are taken in this investigation. The impact of embedded parameters on velocity function, temperature function, entropy generation rate, and Bejan number are deliberated through graphs, and discussed as well. By studying the entropy generation in magnetohydrodynamic Eyring–Powell fluid over an unsteady oscillating porous stretching sheet, the entropy generation rate is reduced with escalation in porosity, thermal radiation, and magnetic parameters, while increased with the escalation in Reynolds number. Also, the Bejan number is increased with the escalation in porosity and magnetic parameter, while increased with the escalation in thermal radiation parameter. The impact of skin fraction coefficient and local Nusselt number are discussed through tables. The partial differential equations are converted to ordinary differential equation with the help of similarity variables. The homotopy analysis method (HAM) is used for the solution of the problem. The results of this investigation agree, satisfactorily, with past studies.
Keywords:
entropy; MHD; Eyring–Powell fluid; thermal radiation; porosity; oscillatory stretched sheet; HAM 1. Introduction
A non-Newtonian Fluid has exclusive features: it illustrates both the properties of liquid and solid, as the relationship between the shear stress and the shear rate becomes non-linear. In everyday life, industries, and technologies non-Newtonian fluids are used frequently. Non-Newtonian fluid flow problems in different dimensions, through a porous stretching sheet with heat transfer and magnetohydrodynamic effects, have plentiful and inclusive applications in several engineering and industrial sectors. They include heat exchanger design, glass blowing melt spinning, production of glass fibers, fiber and wire coating, industrialization of rubber and plastic sheets, etc. Eyring–Powell fluid model is an interesting model of non-Newtonian fluids. The Eyring–Powell fluid model has much importance, but the most important feature of this model is that it diminishes to Newtonian behavior for high and low shear stress. Hayat et al. [1] investigate the Eyring–Powell fluid flow over a stretching surface with convective boundary condition. Patel et al. [2] numerically studied Eyring–Powell fluids. Dawar et al. [3] analytically examined an Eyring–Powell fluid under the influence of thermal radiation and a heat source/sink. The boundary layer and heat transfer of Eyring–Powell fluid over a continuously moving surface has been investigated by Jalil et al. [4], who observed many different problems. Over an inclined stretching sheet, Hayat et al. [5] examined the unsteady flow of Eyring–Powell fluid. Fluids, including Newtonian fluids and non-Newtonian fluids, are widely used in petroleum engineering, fuel-cell industry, and food industry. The fractal model for water flow through unsaturated porous rocks has been examined by Xiao et al. [6]. The perforation erosion impact on practical hydraulic fracturing has been studied by Gongbo Long and Guanshui Xu [7]. The analytical model for the transverse permeability of gas diffusion has proposed by Liang et al. [8]. The fractal model for relative permeability of gas diffusion in proton exchange membrane under the influence of pressure has been proposed by Xiao et al. [9]. Other related studies can be seen in [10,11].
Entropy is a disorder of a system and surrounding, for example, spin movements, molecular vibration and friction, kinetic energy, displacements of molecules, and others, due to which a loss of useful heat occurs and, thus, heat cannot transmit fully into work. Due to these additional movements, chaos in a system and its surroundings are created. For this, microscopic chaos results in macroscopic level chaos, which occurs because of some unnecessary irreversibilities. For example, mixing of fluids, electric resistance, unstained expansion, friction, chemical reaction, inelastic deformation of solids and unnecessary heat transmission in finite temperature difference. The entropy generation was originally formulated by Bejan [10]. Over an unsteady stretching surface, Sarojamma et al. [11] have examined the entropy generation on a thin film flow. Along with an inclined permeable surface, Soomro et al. [12] have recently examined, numerically, the entropy generation in MHD water-based CNTs. Mansour et al. [13] have been examined the entropy generation rate in a laminar viscous flow in a circular flow, and have deliberated that the entropy generation rate is high near the wall than that of the center of the pipe. For the stagnation point, Rashidi et al. [14] have been examined the flow in a porous medium through entropy generation. The related study about entropy generation can be seen in [15,16,17]. The flow of nanoparticles in a rotating system through entropy generation has been examined by Hayat et al. [18]. The flow of nanofluids with spherical heat source/sink through entropy generation has been examined by Nouri et al. [19]. Over a stretching surface, the flow of Jeffery nanofluids through entropy generation has been examined by Dalir et al. [20]. The unsteady squeezing flow of viscous fluid through entropy generation has been examined by Ahmed et al. [21]. Ishaq et al. [22] have studied the thin film flow of nanofluid under the influence of entropy generation over a time-dependent spreading surface. Other related important studies about entropy generation can be seen in [23,24,25]. Recently Shah et al. [25] investigated radiative Darcy–Forchheimer flow carbon nanotubes with microstructure and inertial characteristics. Shah et al. [26,27] have studied the Hall effect on micropolar nanofluid flow with radiative heat and mass transfer analysis. Khan et al. [28] have investigated Darcy–Forchheimer flow of micropolar nanofluid non-uniform heat generation/absorption.
Sheikholeslami [29,30,31,32,33] analyzed nanofluids and their applications using magnetic fields and porous media.
The aim of this work is to examine the entropy generation on MHD Eyring–Powell flow over an unsteady oscillatory stretching sheet under the impact of thermal radiation and a heat source/sink. The impact of different imbedding parameters are sketched through graphs and discussed. The analytical result for velocities and temperature profiles are obtained using the HAM technique [34,35,36,37,38,39,40,41]. In Section 2, the mathematical modeling of the problem, entropy generation, Bejan number, and solution by HAM, is presented. In Section 3, the results and discussion of the imbedded parameters are presented. The theme of this work is presented in Section 4.
2. Mathematical Modeling
Consider a two-dimensional (2-D) incompressible boundary layer flow of Eyring–Powell fluid over an oscillatory stretching sheet concurring with plane y. In this Cartesian coordinate system, is parallel to the stretching sheet, and is perpendicular to the stretching sheet. The stretching sheet is kept porous, and the flow is supposed in an unsteady state. The magnetic field is applied in the y direction. It is assumed that , where is the surface temperature and is the temperature as the distance from the surface tends to infinity. The physical model of the problem is shown in Figure 1.
Figure 1.
Geometrical representation of the problem.
The above-stated problem satisfies all the conditions [29].
In Equations (1)–(3), u and v are the velocity components in the direction of and , respectively. Also, is the kinematic viscosity, is the electrical conductivity, are the fluid materials, is the density, is the specific heat, is the thermal conductivity, is the heat source, and is the radiative heat flux. is defined as
where . Expending by Taylor series expansion, we obtained [28]
Neglecting higher terms from Equation (5) and substituting in Equation (3), we have
With the following boundary conditions
we introduce the following dimensionless variables for the non-dimensionalization of the flow problem.
An influential tool in fluid mechanics is the thought of dimensional analysis and scaling laws; by looking at the physical properties present in a system, we may estimate their size and hence which, for example, might be neglected. In some cases, the system may not have a fixed natural length scale (timescale) while the solution depends on space (time). It is then necessary to construct a length scale (timescale) using space (time) and the other dimensional quantities. In a study of partial differential equations, particularly fluid dynamics, similarity variables is a form of solution which is similar to itself if the independent and dependent variables are appropriately scaled.
In the observation of above defined dimensionless variables, Equation (1) satisfied (2) and (6), and can be written as
with the following boundary conditions
In the above equations, are the fluid parameters, is the porosity parameter, depicts the oscillating frequency, is the magnetic field, is the heat source/sink, is the Prandtl number, and is the radiation parameter.
Equation (11) is subject to the constraints .
2.1. Physical Quantities of Interest
For engineering interest, the skin fraction coefficient and local Nusselt number is defined as
In observation of Equation (9), Equation (12) can be written as
2.2. Entropy Generation and Bejan Number
For the above-stated problem, the local entropy generation rate can be defined as [10]
Executing Equation (8), the above equation becomes
where is the Reynolds number, is the Brinkman number, and is the dimensionless temperature.
The Bejan number is defined as
2.3. Solution by HAM
Homotopy analysis method was introduced by Liao [30,31,32] for the first time. He used one of the elementary ideas of topology, called homotopy, to derive this method. He used two homotopic functions in the derivation of this technique. The functions are called homotopic function when one of them can be continuously distorted into another. Assume that are two functions which are continuous, and are two topological spaces where map from to , then is said to be homotopic to if there is a continuous function ,
Thus, , then
The mapping is called homotopic.
In order to solve Equations (9) and (10) with the boundary conditions Equation (11), we use HAM [38,39,40,41] with the succeeding process.
The initial suppositions are chosen as follows:
The linear operators are taken as :
which have the following succeeding properties:
where are constants.
The resultant non-linear operators, and , are specified as
The zero-order problems from Equations (9) and (10) are
The equivalent boundary conditions are
When and we have
Expanding and by Taylor series,
where
Setting in (28), we obtain
The th-order problem satisfies the following:
with the conditions
Here,
where
the overall homotopic series solutions in general form are specified as
2.4. HAM Convergence
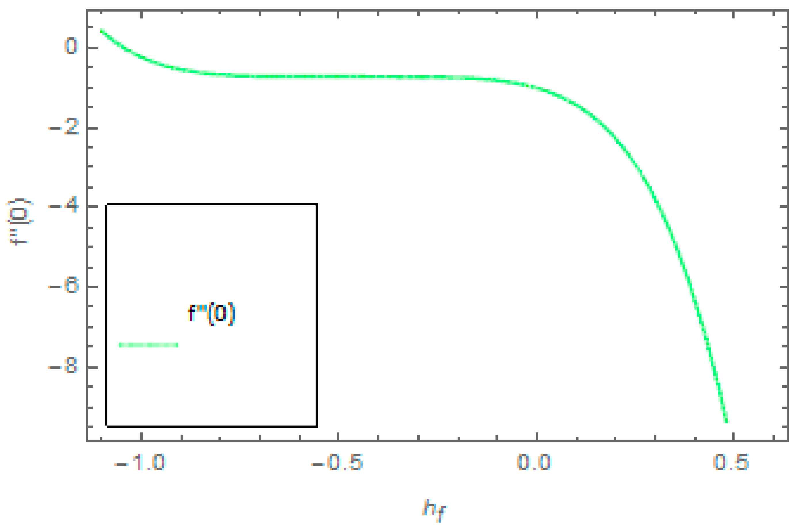
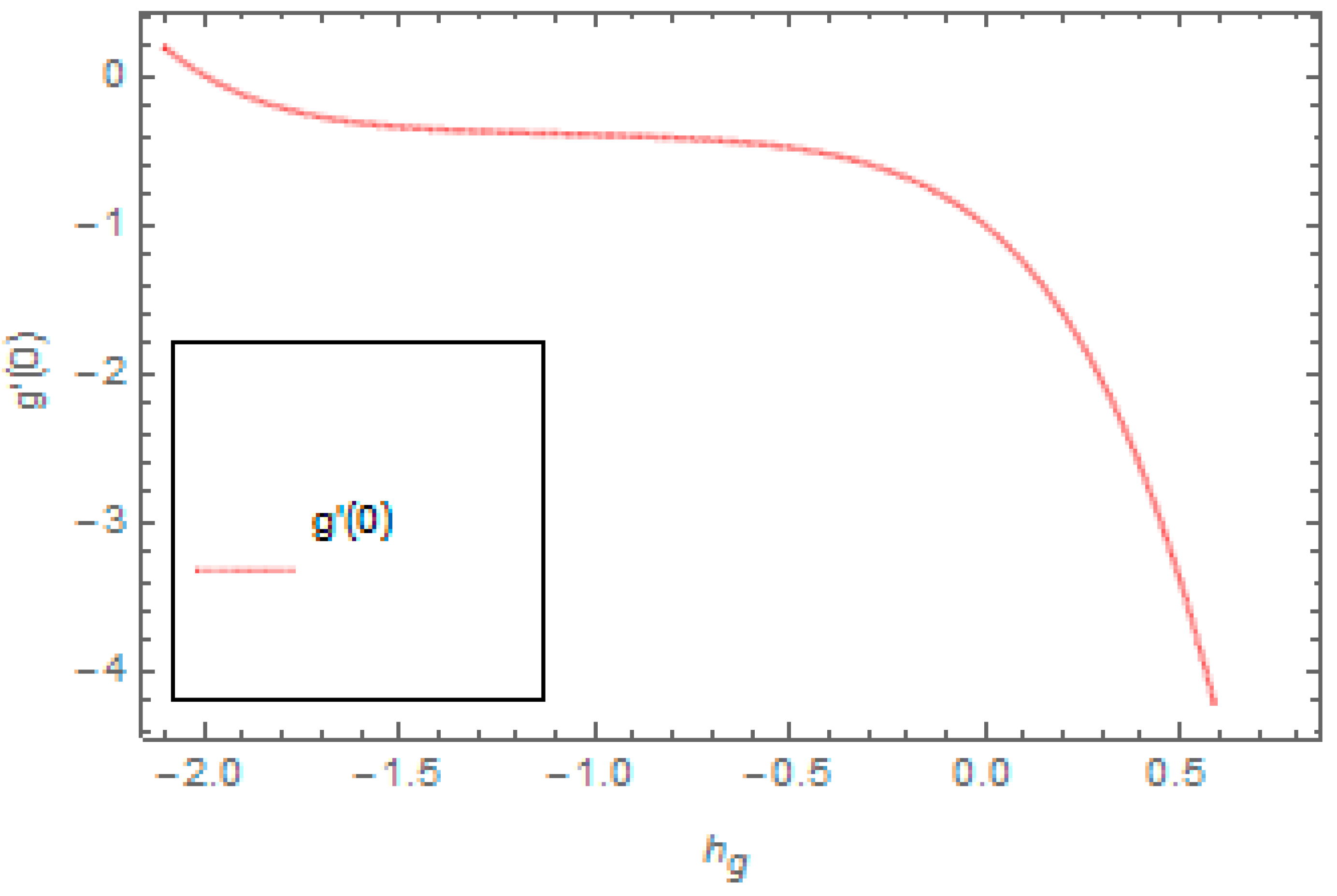
Whenever we calculate the series solution of the velocity function and temperature function by using HAM, the parameters , which are called assisting parameters, appear. The function of these parameters is to adjust the convergence of these solutions. At the 5th order approximation, the -curves of are plotted in Figure 2 and Figure 3, respectively. The convergence region of the velocity function is , and the convergence region of the temperature function is .
Figure 2.
ħ-curve for .
Figure 3.
ħ-curve for .
3. Results and Discussion
3.1. Tables Discussion
Table 1 and Table 2 depict the influence of various parameters on skin fraction coefficient and local Nusselt number . These tables express the best agreement with our previous study. The impacts of emerging parameters on skin fraction coefficient are presented in Table 1. From the tabulated values, we see that the skin fraction coefficient reduces with the escalation in , , and . The impacts of emerging parameters on local Nusselt number is presented in Table 2. The local Nusselt number reduces with the escalation in , while it escalates with the escalation in and .
Table 1.
Numerical values for skin fraction coefficient , when at time instant .
Table 2.
Numerical values for heat flux , when at time instant .
3.2. Graphical Discussion
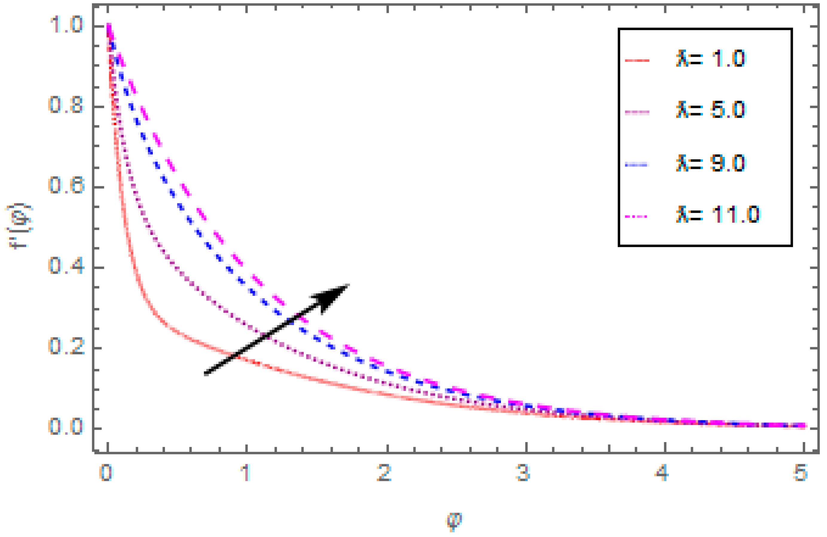
In this section, we have discussed the influences of different embedded parameters and dimensionless numbers on velocity function , temperature function , entropy generation rate , and Bejan number . These embedded parameters and dimensionless numbers are oscillating frequency , porosity parameter , fluid parameters and , magnetic parameter , heat source/sink , Prandtl number , rotation parameter , and Reynolds number . To comprehend the influence of these parameters and dimensionless numbers, Figure 4, Figure 5, Figure 6, Figure 7, Figure 8, Figure 9, Figure 10, Figure 11, Figure 12, Figure 13, Figure 14, Figure 15, Figure 16, Figure 17, Figure 18 and Figure 19 are schemed.
Figure 4.
Influence of on , when
Figure 5.
Influence of on , when
Figure 6.
Influence of on , when
Figure 7.
Influence of on , when
Figure 8.
Influence of on , when
Figure 9.
Influence of on , when
Figure 10.
Influence of on , when
Figure 11.
Influence of on , when
Figure 12.
Influence of on , when
Figure 13.
Influence of on , when
Figure 14.
Influence of on , when
Figure 15.
Influence of on , when
Figure 16.
Influence of on , when
Figure 17.
Influence of on , when
Figure 18.
Influence of on , when
Figure 19.
Influence of on , when
Figure 4 displays the influence of oscillating frequency on velocity function . It is observed that augmented values of increased the flow motion. Actually, the higher value of oscillating frequency increases the kinetic energy of fluid molecules which result in increases in the flow motion. The impact of porosity parameter on velocity function is shown in Figure 5, which has a dominating effect on the flow motion. Generally, the porosity creates resistance in the flow path, and declines the velocity of the flow motion. In fact, growing values of show the large number of porous spaces, which create resistance in the flow path and reduce overall fluid motion. Basically, with the increase, the number of holes in the porous plates are increased. The nanoliquid particle aspect hurdles in, flowing over these holes. Hence, it is obvious that the increasing values of reduce the velocity function .
Figure 6 and Figure 7 depict the influence of fluid parameters and on velocity function , respectively. It is evident that the higher values of fluid parameters raise the velocity profile. Figure 8 shows the impact of magnetic field on velocity function . Lorentz force theory says that the magnetic field has a reverse effect on velocity function. Hence, the higher values of reduce . This important effect of on velocity profile is because of the fact that the increases in the movements, or the friction force, is named the Lorentz force. It has the affinity to reduce the fluid velocity in the boundary sheet. Figure 9 shows the impact of heat source/sink on temperature function . Generally, the heat source/sink performs like a heat generator, which releases heat to the flow of fluid. Therefore, the enhancement in improves the temperature field . In addition, this helps to grow the thickness of the boundary layer. Figure 10 demonstrates the impact of oscillating frequency on temperature function . Generally, the high oscillating frequency reduces the temperature function much more. Hence, the increasing values of reduce . Figure 11 demonstrates the impact of radiation parameter on temperature function . Thermal radiation has a leading role in heat transmission when the coefficient of convection heat transmission is small. The enhancement in improves . Actually, when we increase thermal radiation parameter , then it is apparent that it enhances the temperature in the boundary layer area in the fluid layer. This increase leads to a drop in the rate of cooling for nanofluid flow. Figure 12 shows the impact of Prandtl number on temperature function . Physically, the nanofluids have a large thermal diffusivity with small , but this effect is reversed for higher , therefore, the temperature of liquid shows a decreasing behavior. Physically, the fluids having a small number of have a larger thermal diffusivity, and this effect is opposite for higher Prandtl numbers. Due to this fact, a large value of causes the thermal boundary layer to drop. Figure 13 and Figure 14 demonstrate the influence of porosity parameter on the entropy generation rate and Bejan number , respectively. From these figures, we observe that the porosity parameter has a reversed impact on and . Figure 15 and Figure 16 demonstrate the impact of magnetic parameter on generation rate and Bejan number , respectively. Here, has a reversed impact on and . That is, the enhancement in magnetic parameter reduces and . Figure 17 and Figure 18 are plotted to describe the impact of radiation parameter on generation rate and Bejan number , respectively. From Figure 17, we observed that the increase in reduces , while Figure 18 depicts the reverse impact on . Figure 19 demonstrates the impact of on . From this figure, we observed that the increasing Reynolds number increases the entropy generation.
4. Conclusions
In this article, we investigated the entropy generation on MHD Eyring–Powell fluid over an unsteady oscillatory porous stretching sheet. The impact of thermal radiation and heat source/sink is taken into account. Also, this article is compared with one from our previous study, and found to agree satisfactorily. The concluding remarks of this study are listed below:
- The velocity function reduces with the enhancement in magnetic field and porosity parameter, and escalates with the enhancement in oscillating frequency and fluid parameters.
- The temperature function reduces with the enhancement in oscillating frequency and Prandtl number, and escalates with the enhancement in heat source/sink and radiation parameter.
- The entropy generation rate reduces with the escalation in porosity parameter, thermal radiation, magnetic field, and escalates with the enhancement in Reynolds number.
- The Bejan number reduces with the enhancement in porosity parameter and magnetic field, and increases with the enhancement in thermal radiation parameter.
Author Contributions
S.O.A. and A.D. modelled the problem and with physical sketch. Z.S. and W.K. introduced the similarity transformation and transformed the modeled problem into dimensionless form. M.I. and S.I. solved the problem via homotopy analysis method (HAM). I.K. and S.O.A. computed the results numerically. All the authors equally contributed in writing and revising the manuscript.
Funding
The authors would like to thank Deanship of Scientific Research, Majmaah University (grant no. 1440-16) for funding this work.
Conflicts of Interest
The authors do not have any conflict of interest.
Nomenclature
| magnetic field | |
| Brinkman number | |
| specific heat | |
| skin friction coefficient | |
| oscillating frequency | |
| thermal conductivity () | |
| absorption coefficient | |
| radiation parameter | |
| magnetic parameter | |
| Nusselt number | |
| P | fluid parameter |
| Prandtl number | |
| heat source | |
| heat flux | |
| fluid temperature | |
| infinity temperature | |
| surface temperature | |
| , | velocity components |
| coordinates | |
| topological spaces | |
| homotopic functions | |
| Greek Letters | |
| fluid material | |
| kinematic viscosity, | |
| fluid density | |
| electrical conductivity of fluid | |
| Stefan–Boltzmann constant | |
| assisting parameter | |
| fluid parameter | |
| porosity parameter | |
| heat source/sink | |
| dimensionless temperature |
References
- Hayat, T.; Iqbal, Z.; Qasim, M.; Obaidat, S. Steady flow of an Eyring Powell fluid over a moving surface with convective boundary conditions. Int. J. Heat Mass Transf. 2012, 55, 1817–1822. [Google Scholar] [CrossRef]
- Patel, M.; Timol, M.G. Numerical treatment of Powell–Eyring fluid flow using method of satisfaction of asymptotic boundary conditions. Appl. Numer. Math. 2009, 59, 2584–2592. [Google Scholar] [CrossRef]
- Dawar, A.; Shah, Z.; Idrees, M.; Khan, W.; Islam, S.; Gul, T. Impact of Thermal Radiation and Heat Source/Sink on Eyring–Powell Fluid Flow over an Unsteady Oscillatory Porous Stretching Surface. Math. Comput. Appl. 2018, 23, 20. [Google Scholar] [CrossRef]
- Jalil, M.; Asghar, S.; Imran, S.M. Self similar solutions for the flow and heat transfer of Powell-Eyring fluid over a moving surface in a parallel free stream. Int. J. Heat Mass Transf. 2013, 65, 73–79. [Google Scholar] [CrossRef]
- Hayat, T.; Asad, S.; Mustafa, M.; Alsaedi, A. Radiation effects on the flow of Powell-Eyring fluid past an unsteady inclined stretching sheet with non-uniform heat source/sink. PLoS ONE 2014, 9, e103214. [Google Scholar] [CrossRef]
- Xiao, B.; Zhang, X.; Wang, W. A Frcatal model for water flow through unsaturated porous rocks. Fractals 2018, 26, 1840015. [Google Scholar] [CrossRef]
- Long, G.; Xu, G. Effects of perforation erosion on practical hydraulic-fracturing applications. SPE J. 2017, 22, 645–659. [Google Scholar] [CrossRef]
- Liang, M.; Liu, Y.; Xiao, B.; Yang, S.; Han, H. An analytical model for the transverse permeability of gas diffusion layer with electrical double layer effects in proton exchange membrane fuel cells. Int. J. Hydrog. Energy 2018, 43, 17880–17888. [Google Scholar] [CrossRef]
- Xiao, B.; Wang, W.; Zhang, X.; Long, G.; Chen, H.; Cia, H.; Deng, L. A Novel Fractal Model for Relative Permeability of Gas Diffusion Layer in Proton Exchange Membrane Fuel Cell with Capillary Pressure Effect. Fractals 2018. [Google Scholar] [CrossRef]
- Xiao, B.; Chen, H.; Xiao, S.; Cai, J. Research on Relative Permeability of Nanofibers with Capillary Pressure Effect by Means of Fractal-Monte Carlo Technique. J. Nanosci. Nanotechnol. 2017, 17, 6811–6817. [Google Scholar] [CrossRef]
- Xiao, B.; Wang, W.; Fan, J.; Chen, H.; Hu, X.; Zhao, D.; Zhang, X.; Ren, W. Optimization of the fractal-like architecture of porous fibtous materials related to permeability, diffusivity and thermal conductivity. Fractals 2017, 25, 1750030. [Google Scholar] [CrossRef]
- Bejan, A. A study of entropy generation in fundamental convective heat transfer. J. Heat Transf. 1979, 101, 718–725. [Google Scholar] [CrossRef]
- Sarojamma, G.; Vajravelu, K.; Sreelakshmi, K. A study on entropy generation on thin film flow over an unsteady stretching sheet under the influence of magnetic field, thermocapillarity, thermal radiation and internal heat generation/absorption. Commun. Numer. Anal. 2017, 2, 141–156. [Google Scholar] [CrossRef]
- Soomro, F.A.; Haq, R.U.; Khan, Z.H.; Zhang, Q. Numerical study of entropy generation in MHD water-based carbon nanotubes along an inclined permeable surface. Eur. Phys. J. Plus 2017, 132, 412. [Google Scholar] [CrossRef]
- Mansour, R.B.; Sahin, Z. Entropy generation in developing laminar fluid flow through a circular pipe with variable properties. Heat Mass Transf. 2005, 42, 1–11. [Google Scholar] [CrossRef]
- Rashidi, M.M.; Mohammadi, F.; Abbasbandy, S.; Alhuthali, M.S. Entropy Generation Analysis for Stagnation Point Flow in a Porous Medium over a Permeable Stretching Surface. J. Appl. Fluid Mech. 2015, 8, 753–765. [Google Scholar] [CrossRef]
- Bég, O.A.; Rashidi, M.M.; Kavyani, N.; Islam, M.N. Entropy generation in hydromagnetic convective on Karman swirling flow. Int. J. Appl. Math. Mech. 2013, 9, 37–65. [Google Scholar]
- Hayat, T.; Rafiq, M.; Ahmad, B.; Asghar, S. Entropy generation analysis for peristaltic flow of nanoparticles in a rotating frame. Int. J. Heat Mass Transf. 2017, 108, 1775–1786. [Google Scholar] [CrossRef]
- Nouri, D.; Pasandideh-Fard, M.; Oboodi, M.J.; Mahian, O.; Sahin, A.Z. Entropy generation analysis of nanofluid flow over a spherical heat source inside a channel with sudden expansion and contraction. Int. J. Heat Mass Transf. 2018, 116, 1036–1043. [Google Scholar] [CrossRef]
- Dalir, N.; Dehsara, M.; Nourazar, S.S. Entropy analysis for magnetohydrodynamic flow and heat transfer of a Jeffrey nanofluid over a stretching sheet. Energy 2015, 79, 351–362. [Google Scholar] [CrossRef]
- Ahmad, S.; Khan, M.I.; Hayat, T.; Khan, M.I.; Alsaedi, A. Entropy generation optimization and unsteady squeezing flow of viscous fluid with five different shapes of nanoparticles. Physicochem. Eng. Asp. 2018, 554, 197–210. [Google Scholar] [CrossRef]
- Mohammad, I.; Gohar, A.; Shah, Z.; Islam, S.; Muhammad, S. Entropy Generation on Nanofluid Thin Film Flow of Eyring–Powell Fluid with Thermal Radiation and MHD Effect on an Unsteady Porous Stretching Sheet. Entropy 2018, 20, 412. [Google Scholar] [CrossRef]
- Makinde, O.D.; Eegunjobi, A.S. Effects of convective heating on entropy generation rate in a channel with permeable walls. Entropy 2013, 15, 220–233. [Google Scholar] [CrossRef]
- Sheremet, M.A.; Oztop, H.F.; Pop, I.; Abu-Hamdeh, N. Analysis of entropy generation in natural convection of nanofluid inside a square cavity having hot solid block: Tiwari and das’ model. Entropy 2015, 18, 9. [Google Scholar] [CrossRef]
- Sheremet, M.; Pop, I.; Öztop, H.F.; Abu-Hamdeh, N. Natural convection of nanofluid inside a wavy cavity with a non-uniform heating: Entropy generation analysis. Int. J. Numer. Methods Heat Fluid Flow 2017, 27, 958–980. [Google Scholar] [CrossRef]
- Shah, Z.; Dawar, A.; Islam, S.; Khan, I.; Ching, D.L.C. Darcy-Forchheimer Flow of Radiative Carbon Nanotubes with Microstructure and Inertial Characteristics in the Rotating Frame. Case Stud. Therm. Eng. 2018, 12, 823–832. [Google Scholar] [CrossRef]
- Shah, Z.; Islam, S.; Ayaz, H.; Khan, S. Radiative Heat and Mass Transfer Analysis of Micropolar Nanofluid Flow of Casson Fluid between Two Rotating Parallel Plates with Effects of Hall Current. ASME J. Heat Transf. 2018. [Google Scholar] [CrossRef]
- Shah, Z.; Islam, S.; Gul, T.; Bonyah, E.; Khan, M.A. The Elcerical MHD and Hall Current Impact on Micropolar Nanofluid Flow between Rotating Parallel Plates. Results Phys. 2018, 9, 1201–1214. [Google Scholar] [CrossRef]
- Khan, A.; Shah, Z.; Islam, S.; Khan, S.; Khan, W.; Khan, Z.A. Darcy–Forchheimer flow of micropolar nanofluid between two plates in the rotating frame with non-uniform heat generation/absorption. Adv. Mech. Eng. 2018, 10, 1–16. [Google Scholar] [CrossRef]
- Sheikholeslami, M.; Hatami, D.; Ganji, D.D. Nanofluid flow and heat transfer in a rotating system in the presence of a magnetic field. J. Mol. Liquids 2014, 190, 112–120. [Google Scholar] [CrossRef]
- Sheikholeslami, M. Lattice Boltzmann Method simulation of MHD non-Darcy nanofluid free convection. Physics B 2017, 516, 55–71. [Google Scholar] [CrossRef]
- Sheikholeslami, M. Influence of magnetic field on nanofluid free convection in an open porous cavity by means of Lattice Boltzmann Method. J. Mol. Liquids 2017, 234, 364–374. [Google Scholar] [CrossRef]
- Sheikholeslami, M. Magnetohydrodynamic nanofluid forced convection in a porous lid driven cubic cavity using Lattice Boltzmann Method. J. Mol. Liquids 2017, 231, 555–565. [Google Scholar] [CrossRef]
- Liao, S.J. An Explicit, Totally Analytic Approximate Solution for Blasius Viscous Flow Problems. Int. J. Non-Linear Mech. 1999, 34, 759–778. [Google Scholar] [CrossRef]
- Liao, S.J. Beyond Perturbation: Introduction to the Homotopy Analysis Method; Chapman and Hall, CRC: Boca Raton, FL, USA, 2003. [Google Scholar]
- Shah, Z.; Bonyah, E.; Islam, S.; Khan, W.; Ishaq, M. Radiative MHD thin film flow of Williamson fluid over an unsteady permeable stretching. Heliyon 2018, 4, e00825. [Google Scholar] [CrossRef] [PubMed]
- Jawad, M.; Shah, Z.; Islam, S.; Islam, S.; Bonyah, E.; Khan, Z.A. Darcy-Forchheimer flow of MHD nanofluid thin film flow with Joule dissipation and Navier’s partial slip. J. Phys. Commun. 2018. [Google Scholar] [CrossRef]
- Khan, N.; Zuhra, S.; Shah, Z.; Bonyah, E.; Khan, W.; Islam, S. Slip flow of Eyring-Powell nanoliquid film containing graphene nanoparticles. AIP Adv. 2018, 8, 115302. [Google Scholar] [CrossRef]
- Khan, A.S.; Nie, Y.; Shah, Z.; Dawar, A.; Khan, W.; Islam, S. Three-Dimensional Nanofluid Flow with Heat and Mass Transfer Analysis over a Linear Stretching Surface with Convective Boundary Conditions. Appl. Sci. 2018, 8, 2244. [Google Scholar] [CrossRef]
- Ali, A.; Sulaiman, M.; Islam, S.; Shah, Z.; Bonyah, E. Three-dimensional magnetohydrodynamic (MHD) flow of Maxwell nanofl uid containing gyrotactic micro-organisms with heat source/sink. AIP Adv. 2018, 8, 085303. [Google Scholar] [CrossRef]
- Hammed, H.; Haneef, M.; Shah, Z.; Islam, S.; Khan, W. The Combined Magneto hydrodynamic and electric field effect on an unsteady Maxwell nanofluid Flow over a Stretching Surface under the Influence of Variable Heat and Thermal Radiation. Appl. Sci. 2018, 8, 160. [Google Scholar] [CrossRef]
© 2018 by the authors. Licensee MDPI, Basel, Switzerland. This article is an open access article distributed under the terms and conditions of the Creative Commons Attribution (CC BY) license (http://creativecommons.org/licenses/by/4.0/).


















