On the Robustness of No-Feedback Interdependent Networks
Abstract
:1. Introduction
2. Models
2.1. Interdependent Networks With No-Feedback Dependency
2.2. Failure Mode and Evaluation Indicator of Robustness
3. Simulation and Analysis
- Not all nodes will fail after their dependency nodes failing, i.e., failure of the dependency link does not absolutely lead to dependency node failure. Given the huge loss caused by cascading failure, a real-world coupled system usually has protection measures on key nodes to ensure these nodes can maintain a working state with a certain probability after the failing of their dependency nodes [25,46], such a system is called weakly interdependent networks.
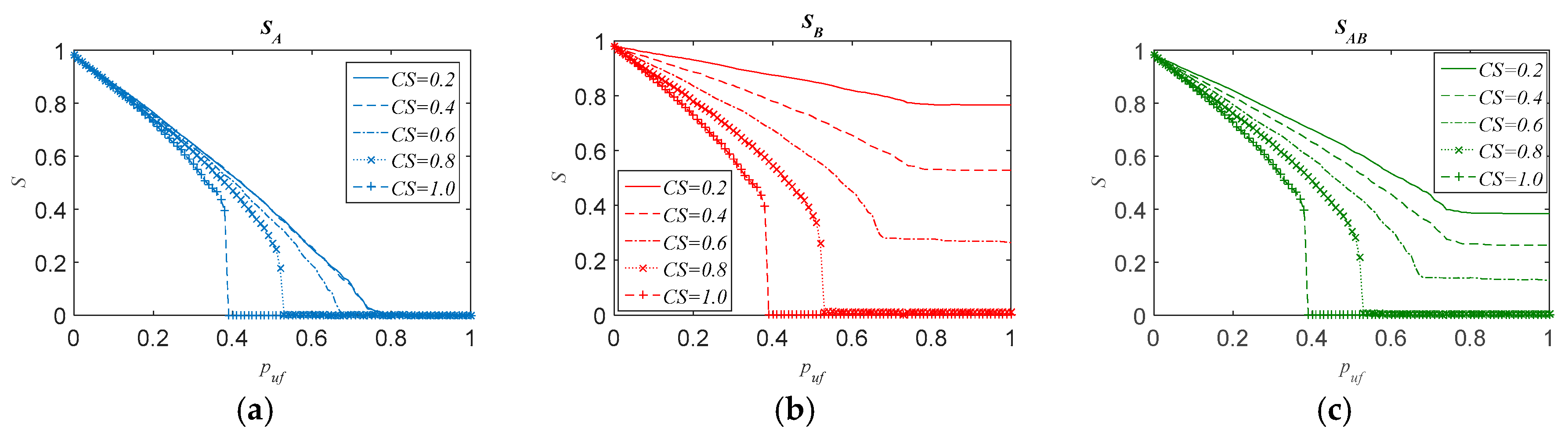
3.1. Coupling Strength
- (1)
- If CSA = 1, CSB = 0 or CSA = 0, CSB = 1, one subnetwork is fully dependent on the other subnetwork through directed dependency links. The cascading failure of subnetworks and interdependent networks are shown in Figure 5a,d.
- (2)
- (3)
- If CSA = CSB = 0, two subnetworks have no dependency on each other, so failure in one subnetwork will not spread to the other. The cascading failure process of interdependent networks under unilateral failure is equivalent to the failure of a single network, which is shown in Figure 5c.
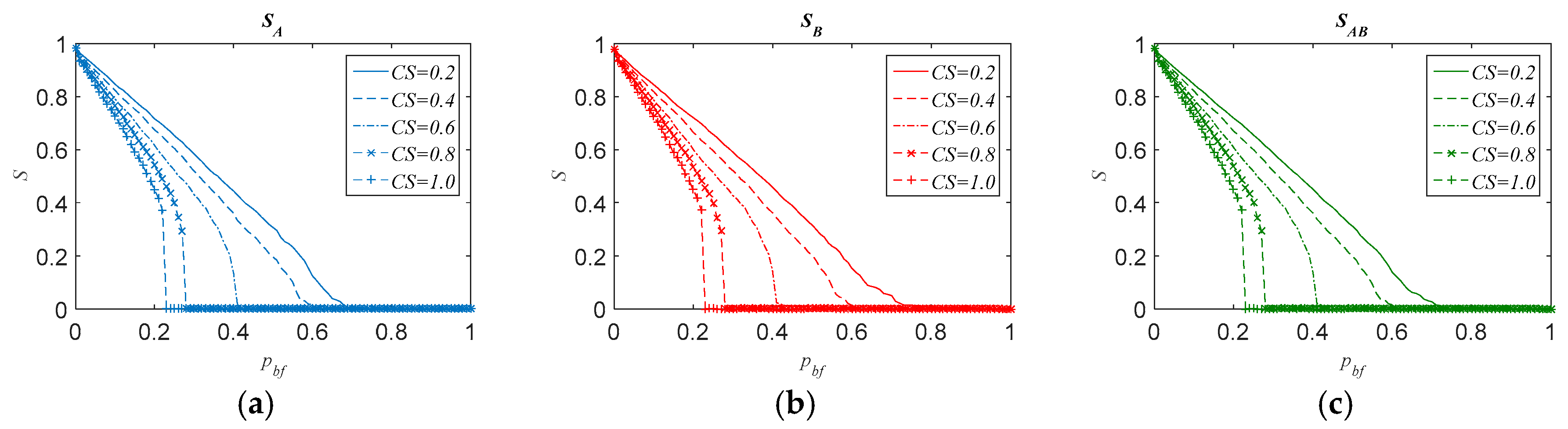
3.2. Dependency Strength
4. Conclusions
Supplementary Materials
Author Contributions
Acknowledgments
Conflicts of Interest
References
- Buldyrev, S.V.; Parshani, R.; Paul, G.; Stanley, H.E.; Havlin, S. Catastrophic cascade of failures in interdependent networks. Nature 2010, 464, 1025–1028. [Google Scholar] [CrossRef] [PubMed]
- Parshani, R.; Buldyrev, S.V.; Havlin, S. Interdependent networks: Reducing the coupling strength leads to a change from a first to second order percolation transition. Phys. Rev. Lett. 2010, 105, 048701. [Google Scholar] [CrossRef] [PubMed]
- Shao, J.; Buldyrev, S.V.; Havlin, S.; Stanley, H.E. Cascade of failures in coupled network systems with multiple support-dependence relations. Phys. Rev. E Stat. Nonlinear Soft Matter Phys. 2011, 83, 036116. [Google Scholar] [CrossRef] [PubMed]
- Dong, G.; Tian, L.; Zhou, D.; Du, R.; Xiao, J.; Stanley, H.E. Robustness of n interdependent networks with partial support-dependence relationship. EPL Europhys. Lett. 2013, 102, 68004. [Google Scholar] [CrossRef]
- Radicchi, F. Percolation in real interdependent networks. Nat. Phys. 2015, 11, 597–602. [Google Scholar] [CrossRef]
- Di Muro, M.A.; La Rocca, C.E.; Stanley, H.E.; Havlin, S.; Braunstein, L.A. Recovery of interdependent networks. Sci. Rep. 2016, 6, 22834. [Google Scholar] [CrossRef] [PubMed]
- Gong, M.; Wang, Y.; Wang, S.; Liu, W. Enhancing robustness of interdependent network under recovery based on a two-layer-protection strategy. Sci. Rep. 2017, 7, 12753. [Google Scholar] [CrossRef] [PubMed]
- Wang, X.; Zhou, W.; Li, R.; Cao, J.; Lin, X. Improving robustness of interdependent networks by a new coupling strategy. Phys. A Stat. Mech. Appl. 2018, 492, 1075–1080. [Google Scholar] [CrossRef]
- Zhao, K.; Bianconi, G. Percolation on interdependent networks with a fraction of antagonistic interactions. J. Stat. Phys. 2013, 152, 1069–1083. [Google Scholar] [CrossRef]
- Veremyev, A.; Sorokin, A.; Boginski, V.; Pasiliao, E.L. Minimum vertex cover problem for coupled interdependent networks with cascading failures. Eur. J. Oper. Res. 2014, 232, 499–511. [Google Scholar] [CrossRef]
- Sun, S.; Wu, Y.; Ma, Y.; Wang, L.; Gao, Z.; Xia, C. Impact of degree heterogeneity on attack vulnerability of interdependent networks. Sci. Rep. 2016, 6, 32983. [Google Scholar] [CrossRef] [PubMed]
- Zhou, D.; Stanley, H.E.; D’Agostino, G.; Scala, A. Assortativity decreases the robustness of interdependent networks. Phys. Rev. E Stat. Nonlinear Soft Matter Phys. 2012, 86, 066103. [Google Scholar] [CrossRef] [PubMed]
- Li, R.Q.; Sun, S.W.; Ma, Y.L.; Wang, L.; Xia, C.Y. Effect of clustering on attack vulnerability of interdependent scale-free networks. Chaos Solitons Fractals 2015, 80, 109–116. [Google Scholar] [CrossRef]
- Shao, S.; Huang, X.; Stanley, H.E.; Havlin, S. Robustness of a partially interdependent network formed of clustered networks. Phys. Rev. E Stat. Nonlinear Soft Matter Phys. 2014, 89, 032812. [Google Scholar] [CrossRef] [PubMed]
- Dong, G.; Gao, J.; Du, R.; Tian, L.; Stanley, H.E.; Havlin, S. Robustness of network of networks under targeted attack. Phys. Rev. E Stat. Nonlinear Soft Matter Phys. 2013, 87, 052804. [Google Scholar] [CrossRef] [PubMed]
- Gao, J.; Buldyrev, S.V.; Havlin, S.; Stanley, H.E. Robustness of a network of networks. Phys. Rev. Lett. 2011, 107, 195701. [Google Scholar] [CrossRef] [PubMed]
- Buldyrev, S.V.; Shere, N.W.; Cwilich, G.A. Interdependent networks with identical degrees of mutually dependent nodes. Phys. Rev. E Stat. Nonlinear Soft Matter Phys. 2011, 83, 016112. [Google Scholar] [CrossRef] [PubMed]
- Tian, M.; Wang, X.; Dong, Z.; Zhu, G.; Long, J.; Dai, D.; Zhang, Q. Cascading failures of interdependent modular scale-free networks with different coupling preferences. EPL Europhys. Lett. 2015, 111, 18007. [Google Scholar] [CrossRef]
- Tan, F.; Xia, Y.; Wei, Z. Robust-yet-fragile nature of interdependent networks. Phys. Rev. E 2015, 91, 052809. [Google Scholar] [CrossRef] [PubMed]
- Chen, Z.; Du, W.-B.; Cao, X.-B.; Zhou, X.-L. Cascading failure of interdependent networks with different coupling preference under targeted attack. Chaos Solitons Fractals 2015, 80, 7–12. [Google Scholar] [CrossRef]
- Parshani, R.; Rozenblat, C.; Ietri, D.; Ducruet, C.; Havlin, S. Inter-similarity between coupled networks. EPL Europhys. Lett. 2010, 92, 68002. [Google Scholar] [CrossRef]
- Shin, D.-H.; Qian, D.; Zhang, J. Cascading effects in interdependent networks. IEEE Netw. 2014, 28, 82–87. [Google Scholar] [CrossRef]
- Liu, X.; Stanley, H.E.; Gao, J. Breakdown of interdependent directed networks. Proc. Natl. Aad. Sci. USA 2016, 113, 1138–1143. [Google Scholar] [CrossRef] [PubMed]
- Fu, G.; Dawson, R.; Khoury, M.; Bullock, S. Interdependent networks: Vulnerability analysis and strategies to limit cascading failure. Eur. Phys. J. B 2014, 87, 1–10. [Google Scholar] [CrossRef]
- Liu, R.R.; Li, M.; Jia, C.X. Cascading failures in coupled networks: The critical role of node-coupling strength across networks. Sci. Rep. 2016, 6, 35352. [Google Scholar] [CrossRef] [PubMed]
- Zhang, P.; Cheng, B.; Zhao, Z.; Li, D.; Lu, G.; Wang, Y.; Xiao, J. The robustness of interdependent transportation networks under targeted attack. EPL Europhys. Lett. 2013, 103, 68005. [Google Scholar] [CrossRef]
- Berezin, Y.; Bashan, A.; Danziger, M.M.; Li, D.; Havlin, S. Localized attacks on spatially embedded networks with dependencies. Sci. Rep. 2015, 5, 8934. [Google Scholar] [CrossRef] [PubMed]
- Yan, K.-S.; Rong, L.-L.; Li, Q. Vulnerability analysis of interdependent spatially embedded infrastructure networks under localized attack. Mod. Phys. Lett. B 2017, 31, 1750089. [Google Scholar] [CrossRef]
- Zhu, Q.; Zhu, Z.; Wang, Y.; Yu, H. Fuzzy-information-based robustness of interconnected networks against attacks and failures. Phys. A Stat. Mech. Appl. 2016, 458, 194–203. [Google Scholar] [CrossRef]
- Korkali, M.; Veneman, J.G.; Tivnan, B.F.; Bagrow, J.P.; Hines, P.D.H. Reducing cascading failure risk by increasing infrastructure network interdependence. Sci. Rep. 2017, 7, 44499. [Google Scholar] [CrossRef] [PubMed]
- Liu, L.; Yin, Y.; Zhang, Z.; Malaiya, Y.K. Redundant design in interdependent networks. PLoS ONE 2016, 11, e0164777. [Google Scholar] [CrossRef] [PubMed]
- Radicchi, F.; Bianconi, G. Redundant interdependencies boost the robustness of multiplex networks. Phys. Rev. X 2017, 7. [Google Scholar] [CrossRef]
- Hong, S.; Lv, C.; Zhao, T.; Wang, B.; Wang, J.; Zhu, J. Cascading failure analysis and restoration strategy in an interdependent network. J. Phys. A Math. Theor. 2016, 49, 195101. [Google Scholar] [CrossRef]
- Shu, P.; Gao, L.; Zhao, P.; Wang, W.; Stanley, H.E. Social contagions on interdependent lattice networks. Sci. Rep. 2017, 7, 44669. [Google Scholar] [CrossRef] [PubMed]
- Chen, H.; Zhao, X.; Liu, F.; Xu, S.; Lu, W. Optimizing interconnections to maximize the spectral radius of interdependent networks. Phys. Rev. E 2017, 95, 032308. [Google Scholar] [CrossRef] [PubMed]
- Zhao, D.; Wang, Z.; Xiao, G.; Gao, B.; Wang, L. The robustness of interdependent networks under the interplay between cascading failures. EPL Europhys. Lett. 2016, 115, 58004. [Google Scholar] [CrossRef]
- Son, S.-W.; Bizhani, G.; Christensen, C.; Grassberger, P.; Paczuski, M. Percolation theory on interdependent networks based on epidemic spreading. EPL Europhys. Lett. 2012, 97, 16006. [Google Scholar] [CrossRef]
- Danziger, M.M.; Bonamassa, I.; Boccaletti, S.; Havlin, S. Dynamic interdependence and competition in multilayer networks. arXiv, 2017; arXiv:1705.00241v1. [Google Scholar]
- Nan, C.; Sansavini, G. A quantitative method for assessing resilience of interdependent infrastructures. Reliab. Eng. Syst. Saf. 2017, 157, 35–53. [Google Scholar] [CrossRef]
- Wang, Z.; Szolnoki, A.; Perc, M. Self-organization towards optimally interdependent networks by means of coevolution. New J. Phys. 2014, 16, 033041. [Google Scholar] [CrossRef]
- Dadlani, A.; Kumar, M.S.; Maddi, M.G.; Kim, K. Mean-field dynamics of inter-switching memes competing over multiplex social networks. IEEE Commun. Lett. 2017, 21, 967–970. [Google Scholar] [CrossRef]
- Sahneh, F.D.; Scoglio, C.; VanMieghem, P. Generalized epidemic mean-field model for spreading processes over multilayer complex networks. IEEE/ACM Trans. Netw. 2013, 21, 1609–1620. [Google Scholar] [CrossRef]
- Gao, J.; Buldyrev, S.V.; Stanley, H.E.; Havlin, S. Networks formed from interdependent networks. Nat. Phys. 2012, 8, 40–48. [Google Scholar] [CrossRef]
- Ruedan, D.F.; Calle, E. Using interdependency matrices to mitigate targeted attacks on interdependent networks: A case study involving a power grid and backbone telecommunications networks. Int. J. Crit. Infrastruct. Prot. 2017, 3–12. [Google Scholar] [CrossRef]
- Zhou, D.; Gao, J.; Stanley, H.E.; Havlin, S. Percolation of partially interdependent scale-free networks. Phys. Rev. E Stat. Nonlinear Soft Matter Phys. 2013, 87, 052812. [Google Scholar] [CrossRef] [PubMed]
- Kong, L.-W.; Li, M.; Liu, R.-R.; Wang, B.-H. Percolation on networks with weak and heterogeneous dependency. Phys. Rev. E 2017, 95, 032301. [Google Scholar] [CrossRef] [PubMed]








© 2018 by the authors. Licensee MDPI, Basel, Switzerland. This article is an open access article distributed under the terms and conditions of the Creative Commons Attribution (CC BY) license (http://creativecommons.org/licenses/by/4.0/).
Share and Cite
Wang, J.; Lao, S.; Huang, S.; Bai, L.; Hou, L. On the Robustness of No-Feedback Interdependent Networks. Appl. Sci. 2018, 8, 835. https://doi.org/10.3390/app8050835
Wang J, Lao S, Huang S, Bai L, Hou L. On the Robustness of No-Feedback Interdependent Networks. Applied Sciences. 2018; 8(5):835. https://doi.org/10.3390/app8050835
Chicago/Turabian StyleWang, Junde, Songyang Lao, Shengjun Huang, Liang Bai, and Lvlin Hou. 2018. "On the Robustness of No-Feedback Interdependent Networks" Applied Sciences 8, no. 5: 835. https://doi.org/10.3390/app8050835
APA StyleWang, J., Lao, S., Huang, S., Bai, L., & Hou, L. (2018). On the Robustness of No-Feedback Interdependent Networks. Applied Sciences, 8(5), 835. https://doi.org/10.3390/app8050835

