Abstract
This research aims to depict the comparative performance of micropollutants’ removal by FeSO4- and zero-valent iron (Fe(0))-catalytic Fenton oxidation and to explore the possibilities of minimising the sludge production from the process. The emerging micropollutants used for the study were gabapentin, sulfamethoxazole, diuron, terbutryn and terbuthylazine. The Taguchi method, which evaluates the signal-to-noise ratio instead of the standard deviation, was used to develop robust experimental conditions. Though both FeSO4- and Fe(0)-catalytic Fenton oxidation were able to completely degrade the stated micropollutants, the Fe(0)-catalytic Fenton process delivered better removal of dissolved organic carbon (DOC; 70%) than FeSO4 catalytic Fenton oxidation (45%). Fe(0)-catalytic Fenton oxidation facilitated heterogeneous treatment functions, which eliminated toxicity from contaminated solution and there was no recognisable sludge production.
1. Introduction
The consumption of chemicals such as steroids, cosmetic products, agricultural products and pharmaceuticals have been greatly increased, their resuduals flow into the receving water courses, which might cause the adverse effects on the environment as these compounds have been classified as recalcitrant micro-pollutants [1]. The existing biological treatment processes are found inefficient for the removal of these kind of organic compounds [2,3,4,5]. Recently, chemical oxidation methods involving hydroxyl radicals, known as advanced oxidation processes (AOPs), have been successfully applied for the pollutants’ remediation [6,7,8,9,10]. Hydroxyl radicals oxidise persistent organic contaminants in a non-selective way thereby, providing substantial compound mineralisation [5,11]. The AOPs involve in situ generation of a hydroxyl radical that has great redox potential (2.80 V) and then high oxidation capacity [12]. Both catalytic ozonation and UV irridation will enhance the hydroxyl radical production [13] and has been researched extensively.
The classical Fenton oxidation is one of the commonly used AOPs [13,14,15,16]. The Fenton reaction consists of iron species and hydrogen peroxide (oxidant) to form free radicals that attack micro-organic contaminants [12,13,14,15]. The overall Fenton kinetics summarised by Walling [17] suggests the need of an acidic environment to progress the Fenton reaction. Several studies [12,13,14,16,18,19,20,21] have shown the optimum Fenton performance of wastewater treatment at pH 2–3. Some reviewers, e.g., Bautista et al. and Neyens et al. [10,13] demonstrate the kinetics scheme of the Fenton reaction as shown in Equations (1)–(8):
2Fe2+ + H2O2 + 2H+ → 2Fe3+ + 2H2O
Fe2+ + H2O2 → Fe3+ + ●OH + OH− k1 = 70 L/mol/s
Fe3+ + H2O2 ↔ Fe-OOH2+ + 2H+
Fe-OOH2+ → HO2● + Fe2+ k2 = 0.001 − 0.01 L/mol·s−1
Fe2+ HO2● → Fe3+ + HO2− k3 = 1.3 × 106 L/mol·s−1
Fe3+ HO2● → Fe2+ + O2 + H+ k4 = 1.2 × 106 L/mol·s−1
●OH + Fe2+ → OH− + Fe3+ k5 = 3.2 × 108 L/mol·s−1
●OH + H2O2 → H2O + HO2● k6 = 3.3 × 107 L/mol·s−1
The Fenton oxidation reactions are initiated by a ferrous ion acting as a catalyst and oxidising hydrogen peroxide to form hydroxyl radicals [21]. Certainly, hydrogen peroxide donates hydroxyl radicals, which accelerate the Fenton reaction. Equation (8) demonstrates the scavenging effect of a hydroxyl radical. Thus, hydroxyl radicals play the dual role of initiation and Fenton reaction termination. However, the rate constant in Equation (7) gives 10 times higher a value than that in Equation (8), suggesting that for the given optimum iron(II) dose, the reaction tends to move forward neglecting the radical scavenging effect. The effect of iron species and hydroxyl radical is also determined by the organic contaminants [5,12,22]. The organic compounds can also abstract hydrogen atoms, initiating the radical chain oxidations given in Equations (9)–(11). Tamg and Tassos suggest [23] the fate of organic free radicals, which can further be oxidised/reduced by a ferric ion/ ferrous ion respectively or dimerised itself to form alkanes (Equations (12)–(14)).
RH + ●OH → H2O + R●
R● + H2O2 → ROH + ●OH
R● + O2 → ROO●
R● + Fe3+ → R+ + Fe2+
R● + Fe2+ → R− + Fe3+
2R● → R − R
Although good oxidation efficiency is achieved by the Fenton oxidation, a large amount of sludge production limits its use in some cases.The ferrous ions react with hydroxide ions to form ferric hydroxo solid materials [24]. These reactions portray the coagulation ability of the Fenton’s reagent by forming iron based precipitates and then generating sludges, which are consistently observed in the Fenton oxidation steps and need a long time to settle out [13]. However, the ferric hydroxo complexes are photo-active and can reproduce ferrous ions and hydroxyl radicals in photo-Fenton processes when Fe(0) is used as a catalyst in cooperation with the irridation via UV light (hv) [15], and the photo Fenton process exists in homogeneous and heterogeneous phases.
In contrast to a ferrous iron, a zero-valent iron (Fe(0)) has been known to have an efficient catalytic effect and has been utilised for environmental remediation [25]. However, its application in the Fenton oxidation is yet to be fully developed. The Fe(0) is ionised or oxidised in the presence of water, dissolved oxygen or hydrogen peroxide to form ferrous ions and thereafter proceeds the conventional Fenton oxidation procedures under its reaction mechanism [26].
Fe + H2O2 → Fe2+ + 2OH−
When designing experiments or reaction conditions, the Taguchi method has been used. It is to test the mean inner array and variation of each experimental run by evaluating the ratio of the signal-to-noise (SN). The signal corresponds to response or experimental yield and noise as an inevitable loss [27]. In contrast to the standard deviation, which directly depends on the mean value of response data and thus, the error is difficult to minimise, the SN ratio is used to replace the standard deviation to obtain robust optimum reaction conditions [27]. The Taguchi method performs two-steps optimisation at the parameter level combination, with minimum standard deviation and keeping the mean on the target [28]. The two steps can be described as:
- Set all factors that have a prominent contribution to SN ratios at the level to obtain maximum SN ratios.
- Adjust the level of one or more factors that substantially affect the mean value but not SN ratios to put the response on the target.
In real experimental conditions, the targets mean values can be changed during the process development. Therefore, SN ratios are used to calculate quadratic loss function and have three approaches. The SN ratios’ condition is selected to minimise, maximise or to produce nominal results [28]. Choosing either of the below approaches for the analysis depends on the research demand:
- Smaller is better;
- Nominal is better and;
- Larger is better.
The dissolved organic carbon is present in a vast variety of waters and its concentration increases with the rise in pollution level [29]. All water treatment technologies aim to completely transfer organic pollutants into carbon dioxide (mineralisation), but it is generally hard to achieve this. In most cases, organic pollutants could partially be mineralised but the formation of oxidation products is commonly observed, which could possess more toxicity than their parents’ pollutants and thus, the toxicity assessment before and after water treatment is necessary [30,31]. The Microtox protocol is a straightforward approach for the assessment of toxicity and provides the information on samples’ potential to inhibit/promote bioluminescence, which is influenced by the tested compound’s toxic profile [32].
Diuron, terbutryn and terbuthylazine have been listed in the proposals of European Parliament Directives and the EU Council Amending Directives (2000/60/EC and 2008/105/EC) as hazard substances. Pharmaceuticals of gabapentin and sulfamethoxazole have also been listed as prominent emerging micropollutants (MPs) in water bodies. Thereby, these five MPs were chosen for the present study. So far, there have been a few reported studies using the Fenton oxidation to treat the above named micropollutants (MPs) and thus this study aims:
- To compare the classical ferrous iron with Fe(0)-catalytic Fenton oxidation in removing and mineralising the selected MPs.
- To use the Taguchi method to design experiments and to select and obtain the optimal operating conditions.
- To estimate sludge production from the process and to assess the toxicity of the treated effluents.
2. Materials and Methods
2.1. Chemicals Used
All chemicals including humic acid used for the study were analytical grade bought from Sigma Aldrich, UK. Ferrous sulphate (FeSO4·7H2O), iron powder (Fe(0); 99% purity) and 30% hydrogen peroxide were used without further purification. The pH was adjusted with 1 N sodium hydroxide and 1 N sulphuric acid. Stock solutions of pesticides mixture (0.01 g/L) were prepared by dissolving the appropriated amount of pure powder into distilled water and stirred in an ultrasonic water bath for approximately 1 h to obtain a clear solution. The stock solution stored at 4 °C was used within five days of preparation. Standard solution and working solution at the desired concentration were prepared on the same day of the experiment, using stock solution by adequate dilution. Distilled water was used to prepare stock and standard solution whereas working solution (1 L) was prepared in tap water. Distilled water was generated at the laboratory by ELGA PureLab Option-R 7/15 pure water system (Veolia Water, France).
2.2. Research Approach
In this study, mathematical and experimental approaches were adopted simultaneously in designing and optimizing experimental conditions. The research proceeded in three significant steps as detailed in Figure 1.
Figure 1.
Schematic layout of the methodology.
2.3. Experimental Design—Taguchi Method and Taguchi Analysis
The orthogonal Taguchi array designed for the study (summarised in Table 1 and Table S1) was constructed and analysed using Minitab 18 Statistical Software. The array consists of five prime design parameters (control factors) for the Fenton oxidation process, which were selected to design an array. The stoichiometric equation of MPs disintegration (as given in Equation (16)) was derived to determine the H2O2 dose required to initiate the reaction. From given equations, terbutryn requires maximum 45:1 (in molar ratio, H2O2 to the compound) to disintegrate. When MPs were mixed together in a solution, the H2O2 were dosed at 10, 30, 50 and 100 times of 45:1 (in molar ratio, H2O2 to the compound), depending on the solution initial concentrations.
Diuron: C9H10Cl2N2O + 26H2O2 → 9CO2 + 29H2O + 2HNO3 + 2HCl
Gabapentin: C9H17NO2 + 27H2O2 → 9CO2 + 35H2O + HNO3
Sulfamethoxazole: C10H11N3O3S + 33H2O2 → 10CO2 + 36H2O + 3HNO3 + H2SO4
Terbutryn: C10H19N5S + 45H2O2 → 10CO2 + 51H2O + 5HNO3 + H2SO4
Terbuthylazine: C8H16ClN5 + 38H2O2 → 9CO2 + 43H2O + 5HNO3 +HCl
Table 1.
Design of the Taguchi orthogonal array.
Four factors namely, the reaction time, initial MPs concentration in mixed solution, H2O2 dose and molar ratio of H2O2:Fe(0)/FeSO4 were assigned to four levels (written as 1, 2, 3 and 4) and solution initial pH was assigned to two levels (1: acidic, 2: neutral; shown in Table 2).
Table 2.
Chosen levels of each control factors.
The orthogonal array layout with 16 experimental runs is given in Supplementary Materials S1. For each treatment, FeSO4 and Fe(0), experiments were made in duplicate to consider any manual errors or other environmental noise factors.
The obtained dissolved organic carbon (DOC) reduction (mineralisation) data were used to find the SN ratios. The optimal conditions obtained after the Taguchi analysis were validated after triplicating confirmatory runs. Among the three Taguchi conditions discussed in the introduction, smaller is better was chosen to obtain the minimum DOC reduction factor (ratio of final to initial DOC concentrations in MPs mixture solution), expressed as [DOCf/i]) thus, maximising the mineralisation efficiency. The SN ratios for the smaller is the better condition is shown as:
where y is the response variable and n is the number of replicates.
SN ratios = −10 × log10(sum (y2)/n)
2.4. Experimental Setup
The batch experiments of the Fenton oxidation were conducted using the Keimera flocculator with a rapid mixing (400 rpm for 60 s) followed by slow mixing (80 rpm for the chosen reaction time) in a 1 L glass beaker. AP110 Fischer Scientific pH/ORP Meter was used to measure solutions pH values. Desired initial pH of the working solution was adjusted after the addition of catalyst (FeSO4 or Fe(0)), with either sulphuric acid (0.1 N, 1 N) or sodium hydroxide (0.1 N, 1 N). The experiment was initiated immediately after the oxidant addition. After the treatment, the effluent held undisturbed for 30 min sedimentation, and the supernatant is filtered through 0.45 μm HA MFTM Membrane filter. Filtered samples stored in 100 ml reusable glass bottles at 4 °C and were analysed within 7–10 days.
2.5. Analytical Methods
2.5.1. Estimation of Dissolved Organic Carbon (DOC) and Micro-Pollutants (MPs) Concentration
20 mL samples were filtered through a 0.45 µm filter and analysed for DOC removal using non-purgeable organic carbon (NPOC) measurement (TOC-L Shimadzu analyser). The injection volume was set to 50 µL for the analysis. DOC was assessed at three calibration points (0-to-1, 0-to-5 and 1-to-10 mg/L) included in the same quantification method. Quality control standard solution (2 mg/L potassium hydrogen phthalate) was used to check the efficiency of the results obtained. Around, 1–2 mL effluent filtered through a 0.2 μm NYL Fischer brand syringe was examined for micropollutants degradation via liquid chromatography-mass spectrometer (LC-MS). The samples were analysed against the calibration 103-to-1 ng/mL compound concentration by the given liquid chromatography/mass spectrometer (LC/MS) procedures (Table 3).
Table 3.
Liquid chromatography/mass spectrometer (LC/MS) method.
2.5.2. Toxicity
The Microtox acute toxicity protocol according to British standards, BS EN ISO 11348-3:2008, was employed for the toxicity assay. BioFix Lumni freeze dried luminescent bacteria (Alivibrio fischeri) was activated after the addition of 11 mL Biofix Lumni Medium for freeze-dried luminescent bacteria. The solution was stored at 4 °C for 30 min for stabilisation. The reference solution 18.7 mg/L Cr (VI) (52.9 mg/L potassium dichromate) was used as a positive control and pure distilled water as a negative control. The control samples and test samples were prepared using freeze-dried bacteria in 2% sodium chloride, providing an ambient condition for bacterial growth. The 0.1 mL bacterial solution was added into each fresh vial and incubated at 15 °C for 15 min. Next, the initial (I0) relative light unit (RLU) value was measured. The control solutions and samples were added into the vials already incubated with the bacteria. After 30 min of incubation, RLU (I30) was recorded. The correction ratio (fk = I0/I30) for the individual control vials were calculated to find the mean correction value. The results obtained were evaluated in terms of bioluminescence inhibition relative to the positive/nagativer control. The test was considered valid if the individual values did not deviate from the mean by more than 5% (α = 0.05). Triplicate of each sample was collected and analysed within a day to avoid data misinterpretation.
2.5.3. Sludge Production
Table 4 shows the optimum dose of FeSO4, Fe(0) and H2O2 used for observing the sludge generation after Fenton oxidation of a mixture (MPs and humic acid) solution. The doses were decided based on each optimum level obtained after the Taguchi analysis. The experiment was conducted in triplicates to evaluate the standard error. After a 60 min oxidation process, the solution was sediment for 30 min and the volume of sludge generated formed was recorded.
Table 4.
Experimental conditions for the sludge volume index investigation.
3. Results and Discussion
3.1. Removal of Individual MPs and DOC by FeSO4- and Fe(0)- Cataslytic Fenton Oxidation Processes
The optimal conditions obtained after the Taguchi analysis were tested to acquire a final figure on the MPs degradation efficiency by the FeSO4- and Fe(0)- catalytic Fenton reactions. Both treatments similarly degraded gabapentin, sulfamethoxazole, diuron, terbutryn and terbuthylazine as evidenced by those MPs concentrations that were below the detection limit, which was calibrated at the minimum of 1 ng/mL for the initial concentration, 0.01–1 mg/L. Hence, it can be assumed that the individual chosen MP was completely degraded (see Supplementary Figure S1).
Mineralisation of the treated pollutants is considered by the hydroxylation of the compound resulting from radicals’ attack and the further oxidation steps, as shown in Equations (22)–(26) [11]:
●OH + refractory organic compound → CO2 + H2O + inorganic compounds
●OH + RCH3X → RCH2XOH + [H]+
●OH + RCH2XOH → RCHX + 2H2O
●OH + RCHX → RCX + H2O
3[●OH] + RCX → RH +CO2 + H2O + X
With the formation of carbon dioxide, the DOC concentration will be gradually decreased and then the DOC removal level can be used to evaluate the mineralisation efficiency.
The DOC removal was calculated as the DOCf/i removal factor presenting in Table 5. To compare the efficiency of catalysts, both were subjected to similar experimental conditions. From the results obtained, diverse behaviour of the catalyst, especially Fe, was observed. That is, each catalyst yield was greatly affected by the change in any experimental conditions.
Table 5.
Dissolved organic carbon (DOC) removal factor value and signal-to-noise (SN) ratios from each experiment run reaction condition using FeSO4 and Fe catalyst in the Fenton oxidation process.
The response was tested for the normalisation distribution. The normality hypothesis test/probability plot shown in Figure 2a,b, achieved at 95% confidence intervals (CIs) that is α = 0.05. The low p-value of the Anderson Darling (AD) test for both catalysts depicts the non-normal data distribution, which was further confirmed with the Ryan Joiner (RJ) test, p-value = ~0.06 (FeSO4) and ~0.09 (Fe). Therefore, the Kolmogorov Smirnov (KS) non-parametric test was performed considering a null hypothesis (H0): Data obtained were of similar distribution. The H0 for the KS test was rejected, obtaining ~0.01 (FeSO4) and ~0.04 (Fe) p-value. The DOCf/i results obtained were significant and further examined for the optimal operating conditions for each catalyst using the Taguchi analysis.
Figure 2.
Normal probability plot of the DOCf/i factor with 95% Cis in the (a) FeSO4 treatment and (b) Fe(0) treatment. DOCf/i_2: Dissolved organic carbon removal factor Replicate 1; DOCf/i_2: Dissolved organic carbon removal factor Replicate 2; n: Number of samples; (i) AD: Andersons Darling; (ii) RJ: Ryan Joiner; (iii) KS: Kolmogorov Smirnov.
3.2. Taguchi Analysis
Taguchi method tests the mean response for each experimental run in the inner array and variation by evaluating the signal-to-noise ratio (SN). The signal is considered as a response or experimental yield and noise as an unavoidable loss [33]. Usually, in data evaluation, the standard deviation directly depends on the mean value of response data. Thus, the error cannot be minimised and it gets difficult to adjust the mean to the target value. Therefore, SN ratios were measured as a replacement of the standard deviation to obtain a robust optimum reaction condition for the Fenton oxidation. The Taguchi method performs a two-stage optimisation at the parameter level combination, with minimum standard deviation and keeping the mean on target [28]. Thereby, the oxidation performance was adjusted with control factors (affect process variability as measured by SN ratios). In the real experiment condition, the targets mean value can change during the process development, therefore SN ratios calculate quadratic loss function and have three approaches: Smaller is better; nominal is better and larger is better. For this study, smaller is better was chosen to obtain the minimum DOCf/i factor value thereby maximising the DOC removal. The SN ratios for smaller is better was evaluated using Equation (21), which is shown in Section 2.3.
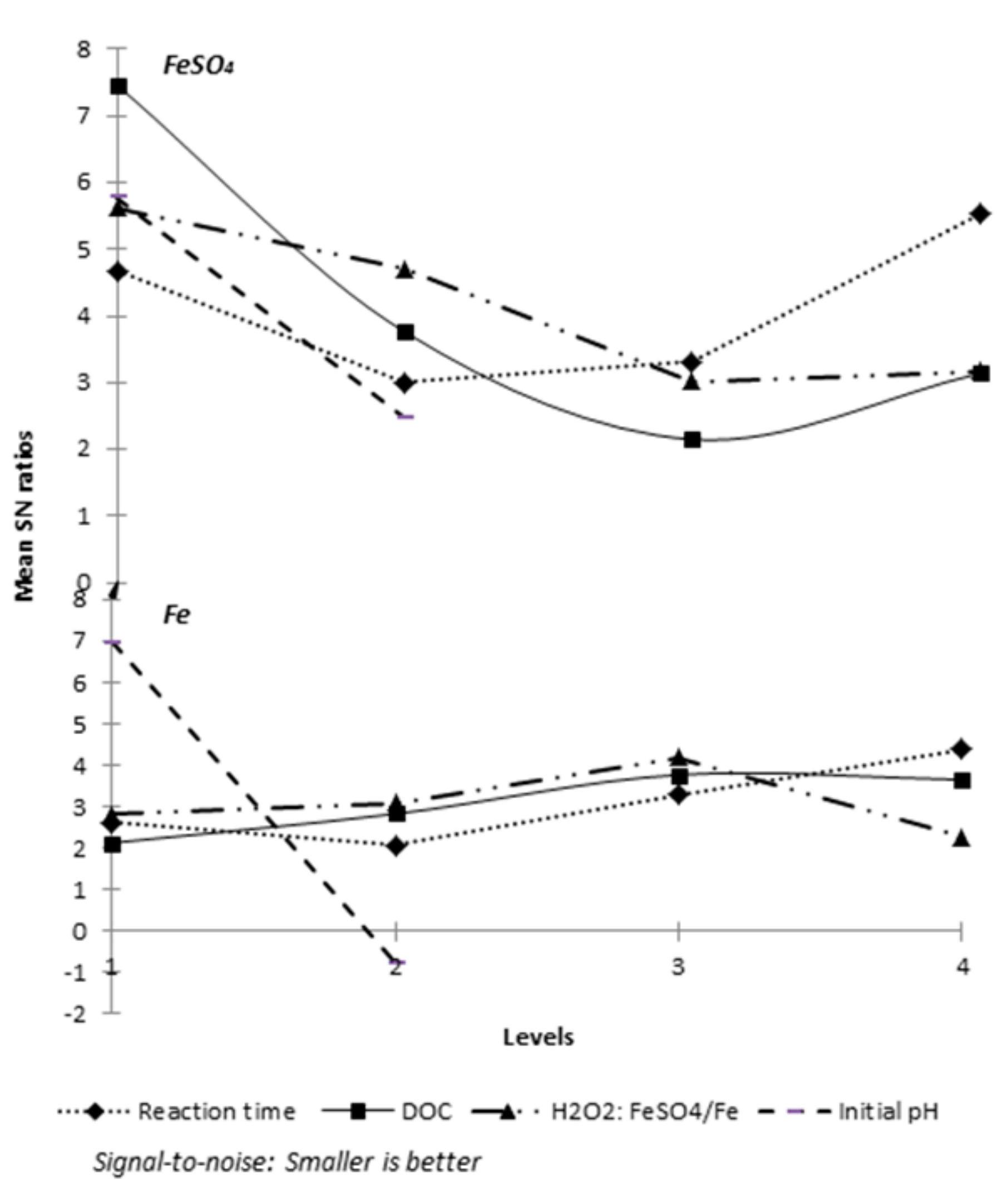
The SN ratios of each experiment run are shown in Table 5. The residuals for each treatment model are given in Supplementary Table S1. The responses in Table 6 are the averages of each DOCf/i response characteristics for each level of control factors. The tables also include ranks based on delta statistics, which compares the relative magnitude of effects [34]. The delta statistic is the difference between the highest and lowest average for each control factor. The ranks are allotted based on each control factor contribution in maximising the experimental results. The number 1 to n (equals to total control factors) are allotted based on the impact of each control factor over the treatment performance. Rank 1 means the given control factor has a high impact and any level changes would hugely affect the final process yield. Likewise, the ascending numbering hierarchy is allotted. From the allotted ranks, FeSO4 Fenton oxidation efficiency depends upon the initial contaminant concentration. The solution initial pH also retains the second responsible factor to determine the process yield. Whereas the Fe(0) efficiency was least affected by the initial contaminant concentration, rather it is highly dependent on the initial pH at which the reaction initiates. The FeSO4 achieved the best removal when the water was initially contaminated with 0.005 mg/L MPs whereas, Fe(0) can be used for contaminated water of around 0.5 mg/L MPs or probably more. The performance of each control factors was given by the main effects plot in Figure 3, which predicts the optimal conditions. Thus, for given conditions used in the experimental design, the FeSO4 and Fe(0) was predicted to perform its best at 60 min reaction time and pH 3. Besides, the Fe(0) catalytic Fenton oxidation requires less dose of H2O2; a molar ratio of H2O2:Fe(0), 0.7:1, was enough to obtain efficient MPs removal. Whereas, 2.7:1 (H2O2:FeSO4) was acquired an optimum condition for the FeSO4 Fenton oxidation.
Table 6.
Response for the mean SN ratio; condition: Smaller is better.
Figure 3.
Main effect plot for the signal-to-noise ratio for FeSO4 treatment (top) and Fe(0) treatment (bottom). Units: Reaction time (min); DOC (mg/L); H2O2:FeSO4, H2O2:Fe(0) (molar ratio).
3.2.1. Analysis of Variance (ANOVA) for SN Ratios
The ANOVA for the treatments SN ratios were studied to evaluate the significant influence of design parameters on quality characteristics of the treatment [35]. ANOVA estimates the total variability of the SN ratios, by calculating the sum of the squared deviations of the total mean SN ratio. The % contribution of each design parameter is the ratio of the sum of squared deviation of the individual parameter to the total sum of squared deviation given in (21).
Table 7 and Table 8 present the ANOVA model summary and analysis of SN ratios obtained for each treatment. The model summary comprised of the S and R2 value. The lower the S value and the higher the R2, the more reliable the model is considered to interpret the information. The FeSO4 treatment design parameters influence on determining the significant effect on overall response can be considered at 66.4% ± 3.8 reliability. The Fe(0) model developed was more significantly reliable giving 98.8% ± 0.8 regression.
Table 7.
ANOVA model summary.
Table 8.
ANOVA analysis of SN ratios.
The ANOVA analysis of % contribution is in line with the delta statistics obtained from the mean SN ratio response. As said earlier, Fe treatment outcomes are hugely affected by initial pH and 88.9% of the response can be altered with an initial pH difference. Even though other control factors had around 3–4 % contribution but, F-value >4 provides evidence of their significant contributions. Since the FeSO4 treatment was around 66% reliable, a low F-value was not considered in interpreting the relative significant contribution for each factor. Though, like delta statistics, the initial DOC had a maximum contribution in determining the quality of the treatment process (FeSO4). Likewise, the initial pH also had around 20% contributions in determining treatment efficiency. The results were further studied for Pearson’s correlation to attain a significant result.
% Contribution = (SSf/SST) × 100
3.2.2. Taguchi Confirmatory Runs and Prediction Analysis
The confirmatory results are shown in Table 9. MPs mixture solutions were made by five MPs, each at concentrations of 0.01 mg/L, 0.1 mg/L and 1 mg/L, respectively, mixed in tap water and had final compound concentrations of 0.05 mg/L, 0.5 mg/L and 5 mg/L, respectively. The optimal operating conditions were also validated by changing aqueous matrix; the five MPs at each 0.1 mg/L were prepared in 0.5 mg/L humic acid solution in tap water to obtain mixture solution with humic acid and MPs at mass ratio of 1:1. The Fe(0) did show relative high DOC removal efficiency of 76 ± 0.07%, on the contrary, FeSO4 only achieved 54 ± 0.07% DOC reduction. Hence, Fe(0) proved to possess a better role in Fenton oxidation than FeSO4.
Table 9.
DOCf/i factor value after Fenton oxidation runs at optimal levels of designed parameters.
Figure S2a,b in the Supplementary Material shows the predicted and actual SN ratio values from the FeSO4 and Fe(0) Fenton oxidation results. They depict significantly high correlations for Fe(0) (R2 = 0.996) than FeSO4 (R2 = 0.956). The regression coefficient values obtained were acceptable at 95% confidence intervals.
3.3. Toxicity Analysis
The MPs mixture solution was prepared at a variable concentration (0.05–5 mg/L DOC), to observe the by-products toxicity. The samples were treated at optimum levels for FeSO4 and Fe Fenton oxidation to assay the toxicity of by-products formed. Few drops of 1 N sodium hydroxide were added to the filtered effluents to raise the pH (almost neutral): Eradicate the false by-products toxicity effects at low pH. The α = 0.01, significance was achieved for the analysis, validating the good test quality. Samples causing bioluminescence inhibition and reducing bacterial growth thereby possess toxic effects are presented in red bars in Figure 4. Positive reference control solution, Cr (VI) showed 80.5 ± 5.6% inhibition after 30 min contact time, meets the assay validation standards. Initial samples (MPs mixture) were toxic and cause a relative reduction in bioluminescence. Most of the treated effluents for each treatment were non-toxic except FeSO4 effluent taken from 0.5 mg/L MPs (initial). It is interesting to note that the effluents after the FeSO4 Fenton treatment had higher effects to promote the bacteria growth. It could be possible due to the homogeneous FeSO4 solution, in which iron ions dissolved readily into water, acted as a nutrient and thereby proliferated the bacteria growth. A study by Liu et al. [36] showed similar results as that this study observed.
Figure 4.
Microtox toxicity assay for untreated samples and by-products formed after the FeSO4 and Fe Fenton oxidation treatment. Bioluminescence inhibition estimate the bacterial growth and above values are shown as % effects on bacteria, evaluating toxic and non-toxic effects of the samples.
3.4. Sludge Volume Index (SVI)
As observed in Figure 5a, the solid agglomeration flocs (sludge) were clearly visible in the container after FeSO4 treatment, whereas it was difficult to visualise the similar flocs after the Fe-catalytic Fenton treatment. Instead, solid Fe (insoluble) adhered to the walls and randomly dispersed at the bottom of the container. The FeSO4 treated effluent retains tint even after the vacuum filtration through 0.45 µm; thereby, for a real application, it further requires treatment for colour removal. In contrast, the Fe-treated effluent did not endure the tone. As suggested by authors like [10,13,19], ferric ions reaction with hydrogen peroxide produces colour in the Fenton reaction (21).
Fe3+ + H2O2 → Fe (OH)3
Figure 5.
(a) Floc precipitate at the bottom of the beaker (clearly visible for FeSO4), solid Fe particle adhered to the vessel walls after the treatment; the colour divergence of filtered effluent found after the Fe and FeSO4 treatment, FeSO4 treatment persist colour; (b) box and whisker plot of sludge volume index (mL/g). ×: Mean value; ◦: Median.
Likewise, the considerable high SVI was obtained for FeSO4. Figure 5b compares the SVI values of both treatments. Mean SVI for FeSO4 and Fe(0) was 144.3 ± 5.4 and 25.5 ± 1.9, respectively. The analysis of comparison was found significant with a t-test obtaining a p-value = 1.32 × 10−4 at 95% CIs. Therefore, a heterogeneous Fe(0) Fenton oxidation can be a substitute for classical homogeneous Fenton oxidation to mitigate the sludge burden.
3.5. Future Scope
The current research suggests that the Fe(0)-catalytic Fenton oxidation can degrade organic micropollutants. The process required a less amount of hydrogen peroxide than classical ferrous iron-Fenton oxidation. Thus, Fe(0)-catalyst could be a cost-effective substitute to the conventional ferrous iron-Fenton oxidation. However, to call on Fe(0) catalytic Fenton process as a new approach to the existing technology, it requires more research designed for the treatment of other persistent pollutants. Additionally, further study is needed to explore its sorption effect when using Fe(0) as a catalyst other than its oxidation function. The prime limitation of using acidic pH to perform the Fenton oxidation process could be investigated with coupling Fe(0) with another transition metal. Finally, pilot-scale trials should be run in full scale water treatment plants to collect more technical and economic data before the Fe(0) catalytic Fenton process is to be used in a large scale water treatment.
4. Conclusions
The comparative performance of FeSO4 and Fe(0)-catalytic Fenton oxidations were assessed in terms of the optimum dose requirement, removal efficiency of the micropollutants, toxic effects, sludge produced after the treatment and the statistical significance for its robustness. In all mentioned categories, the Fe(0) catalytic Fenton process showed better performance. The major conclusions of this study are highlighted below:
- Fe(0) required less dosage of H2O2; the optimised molar ratio of H2O2:Fe(0) for zero valent iron was 0.7:1 whilst for H2O2:FeSO4 it was 2.7:1.
- Both treatments completely degraded the chosen MPs (gabapentin, sulfamethoxazole, diuron, terbutryn and terbuthylazine). However, Fe(0) could remove 70% DOC when FeSO4 removed only 45% for the given reaction conditions.
- The sample toxicity after the Fe(0)-catalytic Fenton treatment was completely removed, while the FeSO4 Fenton treatment showed a slight toxicity.
- The heavy sludge was produced in the effluent after the FeSO4 catalytic Fenton process, whereas, the Fe(0)-catalytic Fenton process produced much less sludge after the treatment.
- The Taguchi method/analysis could be used to select and obtain the optimal operating conditions for the Fenton reactions.
Supplementary Materials
The following are available online at https://www.mdpi.com/2076-3417/9/11/2181/s1. Figure S1. Micro-pollutants (MPs) degradation at optimal experimental conditions. Figure S2. Regression plot of actual vs predicted SN ratio obtained after the Taguchi analysis for the (a) FeSO4 treatment (R2 = 0.956) and (b) Fe treatment (R2 = 0.996). Table S1. Taguchi array L16 experimental layout.
Author Contributions
Conceptualization, J.-Q.J. and A.G.; methodology, J.-Q.J. and A.G.; software, A.G; validation, J.-Q.J. and A.G; experiments, A.G; writing—draft preparation, A.G; writing—manuscript’s review, re-structure, correction and editing, J.-Q.J.; visualisation, J.-Q.J. and A.G; supervision, J.-Q.J.; funding acquisition, J.-Q.J.
Acknowledgments
The authors are grateful to Glasgow Caledonian University (GCU) who sponsored a research studentship to A. Goswami for the PhD study. We also appreciate technicians’ support and Joanne Roberts for LC/MS analysis.
Conflicts of Interest
The authors declare no conflict of interest.
References
- Jiang, J.-Q.; Zhou, Z.; Sharma, V.K. Occurrence, transportation, monitoring and treatment of emerging micro-pollutants in waste water—A review from global views. Microchem. J. 2013, 110, 292–300. [Google Scholar] [CrossRef]
- Jiang, J.-Q. Advances in the development and application of ferrate(VI) for water and wastewater treatment. J. Chem. Technol. Biotechnol. 2014, 89, 165–177. [Google Scholar] [CrossRef]
- Mosteo, R.; Miguel, N.; Maria, P.O.; Ovelleiro, J.L. Effect of advanced oxidation processes on nonylphenol removal with respect to chlorination in drinking water treatment. Water Sci. Technol. Water Supply 2010, 10, 51–57. [Google Scholar] [CrossRef]
- Linden, K.G. Degradation of Endocrine disrupting chemicals bisphenol a, ethinyl estradiol, and estradiol during UV photolysis and advanced oxidation processes. Environ. Sci. Technol. 2004, 38, 5476–5483. [Google Scholar]
- Diya’uddeen, B.H.; Abdul, A.R.A.; Daud, W.M.A.W. On the limitation of Fenton oxidation operational parameters: A review. Int. J. Chem. React. Eng. 2012, 10, 1542–6580. [Google Scholar] [CrossRef]
- Huber, M.M.; Canonica, S.; Park, G.Y.; Von Gunten, U. Oxidation of pharmaceuticals during ozonation and advanced oxidation processes oxidation of pharmaceuticals during ozonation and advanced oxidation processes. Environ. Sci. Technol. 2003, 37, 1016–1024. [Google Scholar] [CrossRef]
- Liu, P.; Li, C.; Zhao, Z.; Lu, G.; Cui, H.; Zhang, W. Induced effects of advanced oxidation processes. Sci. Rep. 2014, 4, 4018. [Google Scholar] [CrossRef]
- Seitz, W.; Jiang, J.-Q.; Schulz, W.; Weber, W.H.; Maier, D.; Maier, M. Formation of oxidation by-products of the iodinated X-ray contrast medium iomeprol during ozonation. Chemosphere 2008, 70, 1238–1246. [Google Scholar] [CrossRef] [PubMed]
- Martín, J.; Camacho-Muñoz, D.; Santos, J.L.; Aparicio, I.; Alonso, E. Occurrence of pharmaceutical compounds in wastewater and sludge from wastewater treatment plants: Removal and ecotoxicological impact of wastewater discharges and sludge disposal. J. Hazard. Mater. 2012, 239–240, 40–47. [Google Scholar] [CrossRef]
- Bautista, P.; Mohedano, A.F.; Casas, J.A.; Zazo, J.A.; Rodriguez, J.J. An overview of the application of Fenton oxidation to industrial wastewaters treatment. J. Chem. Technol. Biotechnol. 2008, 83, 1323–1338. [Google Scholar] [CrossRef]
- Ricq, N.; Ambrosio, M.; Provence, D.; Cedex, M. Intermediates in wet oxidation of cellulose: identification of hydroxyl radical and characterization of hydrogen peroxide. Water Res. 2002, 36, 4821–4829. [Google Scholar]
- Wang, N.; Zheng, T.; Zhang, G.; Wang, P. A review on Fenton-like processes for organic wastewater treatment. J. Environ. Chem. Eng. 2016, 4, 762–787. [Google Scholar] [CrossRef]
- Neyens, E.; Baeyens, J. A review of classic Fenton’s peroxidation as an advanced oxidation technique. J. Hazard. Mater. 2003, 98, 33–50. [Google Scholar] [CrossRef]
- Dehghani, S.; Jafari, A.J.; Farzadkia, M.; Gholami, M. Sulfonamide antibiotic reduction in aquatic environment by application of fenton oxidation process. Iran. J. Environ. Health Sci. Eng. 2013, 10, 29. [Google Scholar] [CrossRef] [PubMed]
- Rezaei, F.; Vione, D. Effect of pH on zero valent iron performance in heterogeneous fenton and fenton-like processes: A review. Molecules 2018, 23, 3127. [Google Scholar] [CrossRef] [PubMed]
- Guedes, A.M.F.M.; Madeira, L.M.P.; Boaventura, R.A.R.; Costa, C.A.V. Fenton oxidation of cork cooking wastewater—Overall kinetic analysis. Water Res. 2003, 37, 3061–3069. [Google Scholar] [CrossRef]
- Cheves, W. Fenton’s reagent revisited. Acc. Chem. Res. 1975, 8, 125–131. [Google Scholar]
- Zoh, K.D.; Stenstrom, M.K. Fenton oxidation of hexahydro-1,3,5-trinitro-1,3,5-triazine (RDX) and octahydro-1,3,5,7-tetranitro-1,3,5,7-tetrazocine (HMX). Waster Res. 2002, 36, 1331–1341. [Google Scholar] [CrossRef]
- Mijangos, V.N.F.; Varona, F. Changes in solution color during phenol oxidation by Fenton reagent. Environ. Sci. Technol. 2006, 40, 5538–5543. [Google Scholar] [CrossRef]
- Munoz, M.; Garcia-Muñoz, P.; Pliego, G.; Pedro, Z.M.; Zazo, J.A.; Casas, J.A.; Rodriguez, J.J. Application of intensified Fenton oxidation to the treatment of hospital wastewater: Kinetics, ecotoxicity and disinfection. J. Environ. Chem. Eng. 2016, 4, 4107–4112. [Google Scholar] [CrossRef]
- Benatti, C.T.; Tavares, C.R.G. Fenton´s process for the treatment of mixed waste chemicals. In Organic Pollutants Ten Years After the Stockholm Convention—Environmental and Analytical Update; Puzyn, T., Ed.; EDP Science: London, UK, 2012; Available online: http://cdn.intechopen.com/pdfs/29376/InTech-Fenton_s_process_for_the_treatment_of_mixed_waste_chemicals.pdf (accessed on 21 June 2017).
- Huston, P.; Pignatello, J.J.; Liu, D. Evidence for an additional oxidant in the photoassisted fenton reaction. Environ. Sci. Technol. 1999, 33, 1832–1839. [Google Scholar]
- Tang, S.T.W.Z. Oxidation kinetics and mechanisms of trihalomethanes by Fenton’s reagent. Water Res. 1997, 31, 1117–1125. [Google Scholar] [CrossRef]
- Cheves, K.S.W. Oxidation of alcohols by Fenton’s reagent. Effect of copper ion. J. Am. Chem. Soc. 1971, 93, 4275–4281. [Google Scholar]
- Li, X.Q.; Elliott, D.W.; Zhang, W.X. Zero-Valent iron nanoparticles for abatement of environmental pollutants: Materials and engineering aspects. Crit. Rev. Solid State Mater. Sci. 2006, 31, 111–112. [Google Scholar] [CrossRef]
- Bergendahl, J.A.; Thies, T.P. Fenton’s oxidation of MTBE with zero-valent iron. Water Res. 2004, 38, 327–334. [Google Scholar] [CrossRef] [PubMed]
- Khorramshahgol, R.; Djavanshir, G.R. The application of analytic hierarchy process to determine proportionality constant of the Taguchi quality loss function. IEEE Trans. Eng. Manag. 2008, 55, 340–348. [Google Scholar] [CrossRef]
- Phadke, M.S. Quality Engineering Using Design of Experiment, Quality Control, Robust Design and Taguchi Method; Wadsworth & Books: Belmont, CA, USA, 1998. [Google Scholar]
- Weishaar, J.L.; Aiken, G.R.; Bergamaschi, B.A.; Fram, M.S.; Fujii, R.; Mopper, K. Evaluation of specific ultraviolet absorbance as an indicator of the chemical composition and reactivity of dissolved organic carbon. Environ. Sci. Technol. 2003, 37, 4702–4708. [Google Scholar] [CrossRef] [PubMed]
- Patibandla, S.; Jiang, J.-Q.; Shu, X. Toxicity assessment of four pharmaceuticals in aquatic environment before and after ferrate(VI) treatment. J. Environ. Chem. Eng. 2018, 6, 3787–3797. [Google Scholar] [CrossRef]
- Jiang, J.-Q.; Durai, H.B.P.; Petri, M.; Grummt, T.; Winzenbacher, R. Drinking water treatment by ferrate(VI) and toxicity assessment of the treated water. Desalinat. Water Treat. 2016, 57, 26369–26375. [Google Scholar] [CrossRef]
- Pogorzelec, M.; Piekarska, K. Toxicity assessment of water at different stages of treatment using Microtox assay. In E3S Web of Conferences; EDP Sciences: London, UK, 2017; p. 00076. [Google Scholar]
- IIT. Module 5. In Module 05: Design for Reliability and Quality; Indian Institute of Technology: Bombay, India; Available online: https://nptel.ac.in/courses/112101005/downloads/Module_5_Lecture_3_final.pdf (accessed on 25 December 2018).
- Analyze Taguchi Design: Copyright © 2017 Minitab Inc. All rights Reserved. Available online: https://support.minitab.com/en-us/minitab/18/help-and-how-to/modeling-statistics/doe/how-to/taguchi/analyze-taguchi-design/before-you-start/example-of-analyzing-a-static-design/ (accessed on 4 April 2019).
- Yang, W.H.; Tarng, Y.S. Design optimization of cutting parameters for turning operations based on the Taguchi method. J. Mater. Process. Technol. 1998, 84, 122–129. [Google Scholar] [CrossRef]
- Liu, J.; Vipulanandan, C.; Cooper, T.F.; Vipulanandan, G. Effects of Fe nanoparticles on bacterial growth and biosurfactant production. J. Nanoparticle Res. 2013, 15, 1405. [Google Scholar] [CrossRef]
© 2019 by the authors. Licensee MDPI, Basel, Switzerland. This article is an open access article distributed under the terms and conditions of the Creative Commons Attribution (CC BY) license (http://creativecommons.org/licenses/by/4.0/).




