A Convolutional Neural Network Based Auto Features Extraction Method for Tea Classification with Electronic Tongue
Abstract
1. Introduction
2. Materials and Methods
2.1. Electronic Tongue System
2.2. Experiment Settings
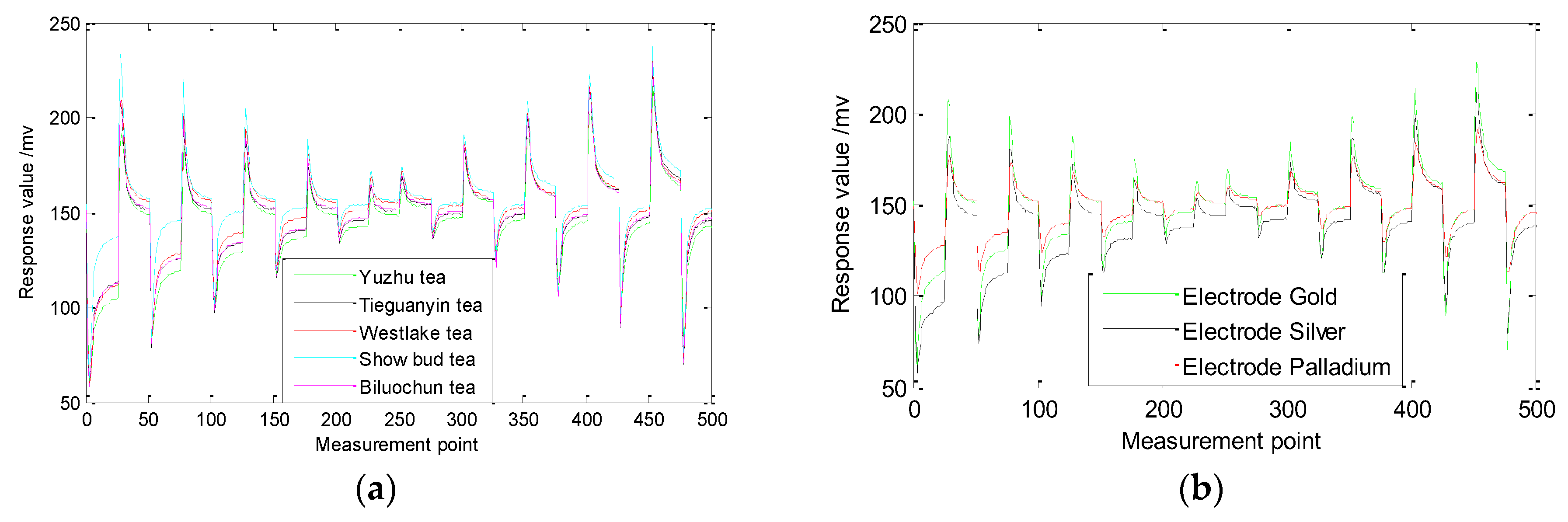
2.2.1. Electronic Tongue Settings
2.2.2. Sample Preparation
2.2.3. Software Platform
2.3. Features Extraction and Classification Methods
2.3.1. Short-Time Fourier Transform (STFT)
2.3.2. Convolutional Neural Network (CNN)
3. Results and Discussion
3.1. Classification Performance of the Proposed Model
3.1.1. Time-Frequency Features Extraction
3.1.2. Network Structure
3.1.3. Network Parameter Optimization
3.2. Comparison with Other Techniques
4. Conclusions
Author Contributions
Funding
Conflicts of Interest
References
- Zuo, Y.G.; Chen, H.; Deng, Y.W. Simultaneous determination of catechins, caffeine and gallic acids in green, Oolong, black and pu-erh teas using HPLC with a photodiode array detector. Talanta 2002, 57, 307–316. [Google Scholar] [CrossRef]
- Abozeid, A.; Liu, J.; Liu, Y.; Wang, H.; Tang, Z. Gas chromatography mass spectrometry-based metabolite profiling of two sweet-clover vetches via multivariate data analyses. Bot. Lett. 2017, 164, 385–391. [Google Scholar] [CrossRef]
- Herrador, M.A.; Gonzalez, A.G. Pattern recognition procedures for differentiation of Green, Black and Oolong teas according to their metal content from inductively coupled plasma atomic emission spectrometry. Talanta 2001, 53, 1249–1257. [Google Scholar] [CrossRef]
- Saha, P.; Ghorai, S.; Tudu, B.; Bandyopadhyay, R.; Bhattacharyya, N. Tea Quality Prediction by Autoregressive Modeling of Electronic Tongue Signals. IEEE Sens. J. 2016, 16, 4470–4477. [Google Scholar] [CrossRef]
- Ingleby, P.; Gardner, J.W.; Bartlett, P.N. Effect of micro-electrode geometry on response of thin-film poly(pyrrole) and poly(aniline) chemoresistive sensors. Sens. Actuators B Chem. 1999, 57, 17–27. [Google Scholar] [CrossRef]
- Ulmer, H.; Mitrovics, J.; Weimar, U.; Gopel, W. Sensor arrays with only one or several transducer principles? The advantage of hybrid modular systems. Sens. Actuators B Chem. 2000, 65, 79–81. [Google Scholar] [CrossRef]
- Vlasov, Y.G.; Legin, A.V.; Rudnitskaya, A.M.; D’Amico, A.; Di Natale, C. “Electronic tongue”—New analytical tool for liquid analysis on the basis of non-specific sensors and methods of pattern recognition. Sens. Actuators B Chem. 2000, 65, 235–236. [Google Scholar] [CrossRef]
- Winquist, F.; Holmin, S.; Krantz-Rulcker, C.; Wide, P.; Lundstrom, I. A hybrid electronic tongue. Anal. Chim. Acta 2000, 406, 147–157. [Google Scholar] [CrossRef]
- Smyth, H.; Cozzolino, D. Instrumental Methods (Spectroscopy, Electronic Nose, and Tongue) As Tools to Predict Taste and Aroma in Beverages: Advantages and Limitations. Chem. Rev. 2013, 113, 1429–1440. [Google Scholar] [CrossRef]
- Ghosh, A.; Bag, A.K.; Sharma, P.; Tudu, B.; Sabhapondit, S.; Baruah, B.D.; Tamuly, P.; Bhattacharyya, N.; Bandyopadhyay, R. Monitoring the Fermentation Process and Detection of Optimum Fermentation Time of Black Tea Using an Electronic Tongue. IEEE Sens. J. 2015, 15, 6255–6262. [Google Scholar] [CrossRef]
- Ciosek, P.; Brzozka, Z.; Wroblewski, W.; Martinelli, E.; Di Natale, C.; D’Amico, A. Direct and two-stage data analysis procedures based on PCA, PLS-DA and ANN for ISE-based electronic tongue—Effect of supervised features extraction. Talanta 2005, 67, 590–596. [Google Scholar] [CrossRef] [PubMed]
- Kundu, P.K.; Kundu, M. Classification of tea samples using SVM as machine learning component of E-tongue. In Proceedings of the International Conference on Intelligent Control Power and Instrumentation (ICICPI), Kolkata, India, 21–23 October 2016; pp. 56–60. [Google Scholar]
- Lu, L.; Deng, S.; Zhu, Z.; Tian, S. Classification of Rice by Combining Electronic Tongue and Nose. Food Anal. Method. 2015, 8, 1893–1902. [Google Scholar] [CrossRef]
- Liu, M.; Wang, M.; Wang, J.; Li, D. Comparison of random forest, support vector machine and back propagation neural network for electronic tongue data classification: Application to the recognition of orange beverage and Chinese vinegar. Sens. Actuators B Chem. 2013, 177, 970–980. [Google Scholar] [CrossRef]
- Eriksson, M.; Lindgren, D.; Bjorklund, R.; Winquist, F.; Sundgren, H.; Lundstrom, I. Drinking water monitoring with voltammetric sensors. Procedia Engineering. 2011, 25, 1165–1168. [Google Scholar] [CrossRef]
- Wei, Z.; Wang, J. The evaluation of sugar content and firmness of non-climacteric pears based on voltammetric electronic tongue. J. Food Eng. 2013, 117, 158–164. [Google Scholar] [CrossRef]
- Saha, P.; Ghorai, S.; Tudu, B.; Bandyopadhyay, R.; Bhattacharyya, N. A Novel Technique of Black Tea Quality Prediction Using Electronic Tongue Signals. IEEE T. Instrum. Meas. 2014, 63, 2472–2479. [Google Scholar] [CrossRef]
- Saha, P.; Ghorai, S.; Tudu, B.; Bandyopadhyay, R.; Bhattacharyya, N. Sliding Window-based DCT Featuress for Tea Quality Prediction Using Electronic Tongue. In Proceedings of the 2nd International Conference on Perception and Machine Intelligence, Kolkata, India, 26–27 February 2015; Kundu, M.K., Mazumdar, D., Chaudhury, S., Pal, S.K., Mitra, S., Eds.; ACM: New York, NY, USA, 2015. [Google Scholar]
- Saha, P.; Ghorai, S.; Tudu, B.; Bandyopadhyay, R.; Bhattacharyya, N. SVD Based Tea Quality Prediction Using Electronic Tongue Signal. In Proceedings of the International Conference on Intelligent Control Power and Instrumentation (ICICPI), Kolkata, India, 21–23 October 2016; pp. 79–83. [Google Scholar]
- Saha, P.; Ghorai, S.; Tudu, B.; Bandyopadhyay, R.; Bhattacharyya, N. Feature Fusion for Prediction of Theaflavin and Thearubigin in Tea Using Electronic Tongue. IEEE T. Instrum. Meas. 2017, 66, 1703–1710. [Google Scholar] [CrossRef]
- Zakaria, N.Z.I.; Masnan, M.J.; Zakaria, A.; Shakaff, A.Y.M. A Bio-Inspired Herbal Tea Flavour Assessment Technique. Sensors 2014, 14, 12233–12255. [Google Scholar] [CrossRef]
- Banerjee, M.B.; Roy, R.B.; Tudu, B.; Bandyopadhyay, R.; Bhattacharyya, N. Black tea classification employing feature fusion of E-Nose and E-Tongue responses. J. Food Eng. 2019, 244, 55–63. [Google Scholar] [CrossRef]
- Zhi, R.; Zhao, L.; Zhang, D. A Framework for the Multi-Level Fusion of Electronic Nose and Electronic Tongue for Tea Quality Assessment. Sensors 2017, 17. [Google Scholar] [CrossRef]
- Banerjee, R.R.; Chattopadhyay, P.; Tudu, B.; Bhattacharyya, N.; Bandyopadhyay, R. Artificial flavor perception of black tea using fusion of electronic nose and tongue response: A Bayesian statistical approach. J. Food Eng. 2014, 142, 87–93. [Google Scholar] [CrossRef]
- Banerjee, M.B.; Roy, R.B.; Tudu, B. Cross-Perception Fusion Model of Electronic Nose and Electronic Tongue for Black Tea Classification. In Proceedings of the Computational Intelligence, Communications, and Business Analytics: First International Conference CICBA, Kolkata, India, 24–25 March 2017; pp. 407–415. [Google Scholar]
- He, K.; Zhang, X.; Ren, S.; Sun, J. Identity Mappings in Deep Residual Networks. In Lecture Notes in Computer Science; Leibe, B., Matas, J., Sebe, N., Welling, M., Eds.; Springer Nature: Cham, Switzerland, 2016; Volume 9908, pp. 630–645. [Google Scholar]
- Krizhevsky, A.; Sutskever, I.; Hinton, G.E. ImageNet Classification with Deep Convolutional Neural Networks. Commun. Acm. 2017, 60, 84–90. [Google Scholar] [CrossRef]
- Feichtenhofer, C.; Pinz, A.; Zisserman, A. Convolutional Two-Stream Network Fusion for Video Action Recognition. In Proceedings of the IEEE Conference on Computer Vision and Pattern Recognition, 26 June–1 July 2016; pp. 1933–1941. [Google Scholar]
- Herath, S.; Harandi, M.; Porikli, F. Going deeper into action recognition: A survey. Image Vision Comput. 2017, 60, 4–21. [Google Scholar] [CrossRef]
- Legin, A.V.; Vlasov, Y.G.; Rudnitskaya, A.M.; Bychkov, E.A. Cross-sensitivity of chalcogenide glass sensors in solutions of heavy metal ions. Sens. Actuators B Chem. 1996, 34, 456–461. [Google Scholar] [CrossRef]
- Barroso De Morais, T.C.; Rodrigues, D.R.; de Carvalho Polari Souto, U.T.; Lemos, S.G. A simple voltammetric electronic tongue for the analysis of coffee adulterations. Food Chem. 2019, 273, 31–38. [Google Scholar] [CrossRef] [PubMed]
- Buratti, S.; Ballabio, D.; Benedetti, S.; Cosio, M.S. Prediction of Italian red wine sensorial descriptors from electronic nose, electronic tongue and spectrophotometric measurements by means of Genetic Algorithm regression models. Food Chem. 2007, 100, 211–218. [Google Scholar] [CrossRef]
- Wei, Z.; Yang, Y.; Wang, J.; Zhang, W.; Ren, Q. The measurement principles, working parameters and configurations of voltammetric electronic tongues and its applications for foodstuff analysis. J. Food Eng. 2018, 217, 75–92. [Google Scholar] [CrossRef]
- Zhong, H.J.; Deng, S.P.; Tian, S.Y. Multifrequency large amplitude pulse voltammetry: A novel electrochemical method for electronic tongue. Sens. Actuators B Chem. 2007, 123, 1049–1056. [Google Scholar]
- Pachori, R.B.; Nishad, A. Cross-terms reduction in the Wigner-Ville distribution using tunable-Q wavelet transform. Signal. Process. 2016, 120, 288–304. [Google Scholar] [CrossRef]
- Auger, F.; Chassande-Mottin, E.; Flandrin, P. On Phase-Magnitude Relationships in the Short-Time Fourier Transform. IEEE Signal. Proc. Lett. 2012, 19, 267–270. [Google Scholar] [CrossRef]
- Sejdic, E.; Djurovic, I.; Jiang, J. Time-frequency features representation using energy concentration: An overview of recent advances. Digit. Signal. Process. 2009, 19, 153–183. [Google Scholar] [CrossRef]
- Szegedy, C.; Liu, W.; Jia, Y.; Sermanet, P.; Reed, S.; Anguelov, D.; Erhan, D.; Vanhoucke, V.; Rabinovich, A. Going Deeper with Convolutions. In Proceedings of the IEEE Conference on Computer Vision and Pattern Recognition, Boston, MA, USA, 7–12 June 2015; pp. 1–9. [Google Scholar]
- He, K.; Zhang, X.; Ren, S.; Sun, J. Deep Residual Learning for Image Recognition. In Proceedings of the IEEE Conference on Computer Vision and Pattern Recognition, Las Vegas, NV, USA, 27–30 June 2016; pp. 770–778. [Google Scholar]
- De Boer, P.T.; Kroese, D.P.; Mannor, S.; Rubinstein, R.Y. A tutorial on the cross-entropy method. Ann. Oper. Res. 2005, 134, 19–67. [Google Scholar] [CrossRef]
- Oppenheim, A.V.; Schafer, R.W. Discrete-Time Signal Processing, 3rd ed.; Pearson Higher Education: London, UK, 2010; pp. 493–582. [Google Scholar]
- Hahnloser, R.; Sarpeshkar, R.; Mahowald, M.A.; Douglas, R.J.; Seung, S. Digital selection and analogue amplification coexist in a cortex-inspired silicon circuit. Nature 2000, 408, 1012–1024. [Google Scholar] [CrossRef]
- Dogan, U.; Glasmachers, T.; Igel, C. A Unified View on Multi-class Support Vector Classification. J. Mach. Learn. Res. 2016, 17. [Google Scholar]









| No. | Electrode | Material | Role |
|---|---|---|---|
| 1 | WE | gold, silver, palladium | Produce a chemical reaction on the electrode surface. |
| 2 | CE | platinum | Make measurement results more stable and reliable. |
| 3 | RE | silver/silver chloride | Provides a reference for the working electrode potential. |
| Batch Size | Loss Function | L2 Regularization | Testing Accuracy |
|---|---|---|---|
| 16 | C | Yes | 99.91% |
| No | 97.15% | ||
| H | Yes | 99.83% | |
| No | 97.05% | ||
| 32 | C | Yes | 99.92% |
| No | 96.90% | ||
| H | Yes | 99.70% | |
| No | 96.50% | ||
| 64 | C | Yes | 99.80% |
| No | 97.82% | ||
| H | Yes | 99.90% | |
| No | 98.35% |
| Methods | Raw Response | Peak-Inflection Point | DWT | SVD | DCT | DCT + SVD | |
|---|---|---|---|---|---|---|---|
| Classifier | |||||||
| SVM | 80.87% ±0.0028 | 95.57% ±0.0034 | 97.80% ±0.0265 | 98.83% ±0.0004 | 94.66% ±0.0340 | 98.96% ±0.0127 | |
| KNN | 80.00% ±0.0320 | 95.65% ±0.0072 | 97.37% ±0.0040 | 98.82% ±0.0012 | 94.82% ±0.0085 | 98.85% ±0.0047 | |
| RF | 81.16% ±0.0376 | 95.87% ±0.0056 | 94.77% ±0.0056 | 98.81% ±0.0008 | 94.77% ±0.0192 | 98.87% ±0.0002 | |
© 2019 by the authors. Licensee MDPI, Basel, Switzerland. This article is an open access article distributed under the terms and conditions of the Creative Commons Attribution (CC BY) license (http://creativecommons.org/licenses/by/4.0/).
Share and Cite
Zhong, Y.h.; Zhang, S.; He, R.; Zhang, J.; Zhou, Z.; Cheng, X.; Huang, G.; Zhang, J. A Convolutional Neural Network Based Auto Features Extraction Method for Tea Classification with Electronic Tongue. Appl. Sci. 2019, 9, 2518. https://doi.org/10.3390/app9122518
Zhong Yh, Zhang S, He R, Zhang J, Zhou Z, Cheng X, Huang G, Zhang J. A Convolutional Neural Network Based Auto Features Extraction Method for Tea Classification with Electronic Tongue. Applied Sciences. 2019; 9(12):2518. https://doi.org/10.3390/app9122518
Chicago/Turabian StyleZhong, Yuan hong, Shun Zhang, Rongbu He, Jingyi Zhang, Zhaokun Zhou, Xinyu Cheng, Guan Huang, and Jing Zhang. 2019. "A Convolutional Neural Network Based Auto Features Extraction Method for Tea Classification with Electronic Tongue" Applied Sciences 9, no. 12: 2518. https://doi.org/10.3390/app9122518
APA StyleZhong, Y. h., Zhang, S., He, R., Zhang, J., Zhou, Z., Cheng, X., Huang, G., & Zhang, J. (2019). A Convolutional Neural Network Based Auto Features Extraction Method for Tea Classification with Electronic Tongue. Applied Sciences, 9(12), 2518. https://doi.org/10.3390/app9122518

