Three-Dimensional Numerical Analysis of Periciliary Liquid Layer: Ciliary Abnormalities in Respiratory Diseases
Abstract
1. Introduction
2. Numerical Method
3. Results and Discussion
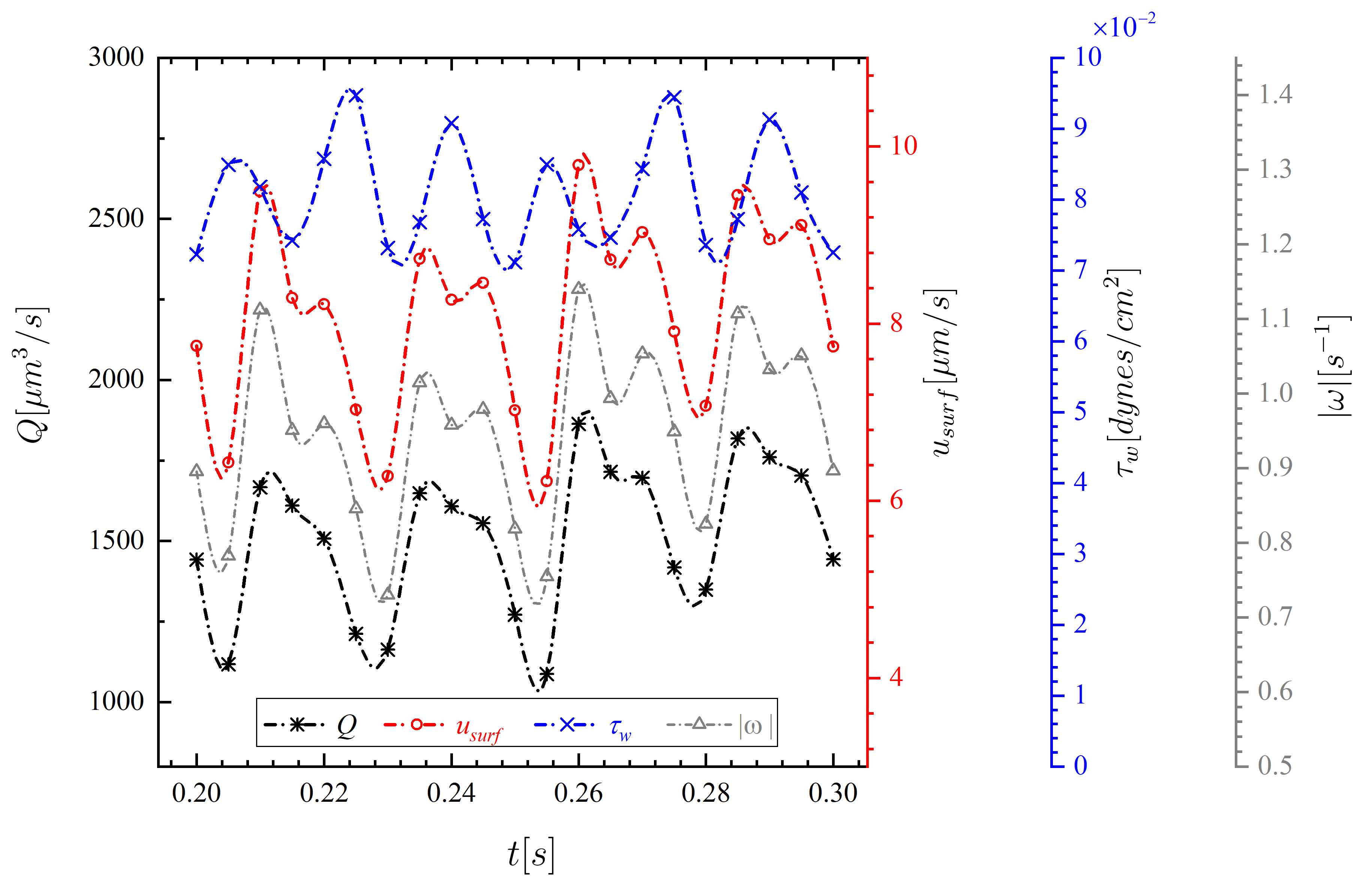
3.1. Cilia-Driven Fluid Flow
3.2. Parametric Investigations
4. Conclusions
Author Contributions
Funding
Acknowledgments
Conflicts of Interest
Abbreviations
| PCL | Periciliary liquid layer |
| ASL | Airway surface liquid |
| ML | Mucus layer |
| CF | Cystic fibrosis |
| IB | Immersed boundary |
| COPD | Chronic obstructive pulmonary disease |
| PCD | Primary ciliary dysfunction |
| CBF | Cilia beat frequency |
| CBP | Ciliary beat pattern |
References
- Quraishi, M.; Jones, N.; Mason, J. The rheology of nasal mucus: A review. Clin. Otolaryngol. Allied Sci. 1998, 23, 403–413. [Google Scholar] [CrossRef]
- Boucher, R.C. Airway surface dehydration in cystic fibrosis: Pathogenesis and therapy. Annu. Rev. Med. 2007, 58, 157–170. [Google Scholar] [CrossRef]
- Sanderson, M.; Sleigh, M. Ciliary activity of cultured rabbit tracheal epithelium: Beat pattern and metachrony. J. Cell Sci. 1981, 47, 331–347. [Google Scholar]
- Fahy, J.V.; Dickey, B.F. Airway mucus function and dysfunction. N. Engl. J. Med. 2010, 363, 2233–2247. [Google Scholar] [CrossRef]
- Knowles, M.R.; Daniels, L.A.; Davis, S.D.; Zariwala, M.A.; Leigh, M.W. Primary ciliary dyskinesia. Recent advances in diagnostics, genetics, and characterization of clinical disease. Am. J. Respir. Crit. Care Med. 2013, 188, 913–922. [Google Scholar] [CrossRef]
- Guo, H.; Kanso, E. A computational study of mucociliary transport in healthy and diseased environments. Eur. J. Comput. Mech. 2017, 26, 4–30. [Google Scholar] [CrossRef]
- Chatelin, R.; Anne-Archard, D.; Murris-Espin, M.; Thiriet, M.; Poncet, P. Numerical and experimental investigation of mucociliary clearance breakdown in cystic fibrosis. J. Biomech. 2017, 53, 56–63. [Google Scholar] [CrossRef]
- Jayathilake, P.; Le, D.; Tan, Z.; Lee, H.P.; Khoo, B.C. A numerical study of muco-ciliary transport under the condition of diseased cilia. Comput. Methods Biomech. Biomed. Eng. 2015, 18, 944–951. [Google Scholar] [CrossRef]
- Thomas, B.; Rutman, A.; Hirst, R.A.; Haldar, P.; Wardlaw, A.J.; Bankart, J.; Brightling, C.E.; O’callaghan, C. Ciliary dysfunction and ultrastructural abnormalities are features of severe asthma. J. Allergy Clin. Immunol. 2010, 126, 722–729. [Google Scholar] [CrossRef]
- Tilley, A.E.; Walters, M.S.; Shaykhiev, R.; Crystal, R.G. Cilia dysfunction in lung disease. Annu. Rev. Physiol. 2015, 77, 379–406. [Google Scholar] [CrossRef]
- Rossman, C.M.; Lee, R.M.; Forrest, J.B.; Newhouse, M.T. Nasal ciliary ultrastructure and function in patients with primary ciliary dyskinesia compared with that in normal subjects and in subjects with various respiratory diseases. Am. Rev. Respir. Dis. 1984, 129, 161–167. [Google Scholar]
- Rossman, C.M.; Forrest, J.B.; Lee, R.M.; Newhouse, M.T. The dyskinetic cilia syndrome: Ciliary motility in immotile cilia syndrome. Chest 1980, 78, 580–582. [Google Scholar] [CrossRef]
- Chilvers, M.A.; Rutman, A.; O’callaghan, C. Ciliary beat pattern is associated with specific ultrastructural defects in primary ciliary dyskinesia. J. Allergy Clin. Immunol. 2003, 112, 518–524. [Google Scholar] [CrossRef]
- Auerbach, O.; Stout, A.; Hammond, E.C.; Garfinkel, L. Changes in bronchial epithelium in relation to sex, age, residence, smoking and pneumonia. N. Engl. J. Med. 1962, 267, 111–119. [Google Scholar] [CrossRef]
- Leopold, P.L.; O’Mahony, M.J.; Lian, X.J.; Tilley, A.E.; Harvey, B.G.; Crystal, R.G. Smoking is associated with shortened airway cilia. PLoS ONE 2009, 4, e8157. [Google Scholar] [CrossRef]
- Hessel, J.; Heldrich, J.; Fuller, J.; Staudt, M.R.; Radisch, S.; Hollmann, C.; Harvey, B.G.; Kaner, R.J.; Salit, J.; Yee-Levin, J.; et al. Intraflagellar transport gene expression associated with short cilia in smoking and COPD. PLoS ONE 2014, 9, e85453. [Google Scholar] [CrossRef]
- Calderón-Garcidueñas, L.; Rodríguez-Alcaraz, A.; Villarreal-Calderón, A.; Lyght, O.; Janszen, D.; Morgan, K.T. Nasal Epithelium as a Sentinel for Airborne Environmental Pollution. Toxicol. Sci. 1998, 46, 352–364. [Google Scholar] [CrossRef]
- Carson, J.L.; Collier, A.M.; Fernald, G.W.; Hu, S.C.S. Microtubular discontinuities as acquired ciliary defects in airway epithelium of patients with chronic respiratory diseases. Ultrastruct. Pathol. 1994, 18, 327–332. [Google Scholar] [CrossRef]
- Riechelmann, H.; Kienast, K.; Schellenberg, J.; Mann, W. An in vitro model to study effects of airborne pollutants on human ciliary activity. Rhinology 1994, 32, 105–108. [Google Scholar]
- Dulfano, M.; Luk, C.; Beckage, M.; Wooten, O. Ciliary inhibitory effects of asthma patients’ sputum. Clin. Sci. 1982, 63, 393–396. [Google Scholar] [CrossRef]
- Lam, H.C.; Cloonan, S.M.; Bhashyam, A.R.; Haspel, J.A.; Singh, A.; Sathirapongsasuti, J.F.; Cervo, M.; Yao, H.; Chung, A.L.; Mizumura, K.; et al. Histone deacetylase 6–mediated selective autophagy regulates COPD-associated cilia dysfunction. J. Clin. Investig. 2013, 123, 5212–5230. [Google Scholar] [CrossRef]
- Yaghi, A.; Zaman, A.; Cox, G.; Dolovich, M.B. Ciliary beating is depressed in nasal cilia from chronic obstructive pulmonary disease subjects. Respir. Med. 2012, 106, 1139–1147. [Google Scholar] [CrossRef]
- Jayathilake, P.; Tan, Z.; Le, D.; Lee, H.; Khoo, B. Three-dimensional numerical simulations of human pulmonary cilia in the periciliary liquid layer by the immersed boundary method. Comput. Fluids 2012, 67, 130–137. [Google Scholar] [CrossRef]
- Blake, J.R.; Sleigh, M.A. Mechanics of ciliary locomotion. Biol. Rev. 1974, 49, 85–125. [Google Scholar] [CrossRef]
- Sleigh, M. The nature and action of respiratory tract cilia. In Respiratory Defense Mechanisms. Part 1; Marcel Dekker: New York, NY, USA, 1977; pp. 247–288. [Google Scholar]
- Fulford, G.R.; Blake, J.R. Muco-ciliary transport in the lung. J. Theor. Biol. 1986, 121, 381–402. [Google Scholar] [CrossRef]
- Satir, P.; Sleigh, M.A. The physiology of cilia and mucociliary interactions. Annu. Rev. Physiol. 1990, 52, 137–155. [Google Scholar] [CrossRef]
- King, M.; Agarwal, M.; Shukla, J. A planar model for mucociliary transport: Effect of mucus viscoelasticity. Biorheology 1993, 30, 49–61. [Google Scholar]
- Lubkin, D.J.; Gaffney, E.A.; Blake, J.R. A Viscoelastic Traction Layer Model of Muco-Ciliary Transport. Bull. Math. Biol. 2006, 69, 289. [Google Scholar] [CrossRef]
- Matsui, H.; Randell, S.H.; Peretti, S.W.; Davis, C.W.; Boucher, R.C. Coordinated clearance of periciliary liquid and mucus from airway surfaces. J. Clin. Investig. 1998, 102, 1125–1131. [Google Scholar] [CrossRef]
- Khaderi, S.; den Toonder, J.; Onck, P. Microfluidic propulsion by the metachronal beating of magnetic artificial cilia: A numerical analysis. J. Fluid Mech. 2011, 688, 44–65. [Google Scholar] [CrossRef]
- Den Toonder, J.M.; Onck, P.R. Microfluidic manipulation with artificial/bioinspired cilia. Trends Biotechnol. 2013, 31, 85–91. [Google Scholar] [CrossRef]
- Hanasoge, S.; Hesketh, P.J.; Alexeev, A. Microfluidic pumping using artificial magnetic cilia. Microsyst. Nanoeng. 2018, 4, 11. [Google Scholar] [CrossRef]
- Gheber, L.; Priel, Z. Extraction of cilium beat parameters by the combined application of photoelectric measurements and computer simulation. Biophys. J. 1997, 72, 449–462. [Google Scholar] [CrossRef]
- Herawati, E.; Taniguchi, D.; Kanoh, H.; Tateishi, K.; Ishihara, S.; Tsukita, S. Multiciliated cell basal bodies align in stereotypical patterns coordinated by the apical cytoskeleton. J Cell Biol 2016, 214, 571–586. [Google Scholar] [CrossRef]
- Peskin, C.S. Flow patterns around heart valves: A numerical method. J. Comput. Phys. 1972, 10, 252–271. [Google Scholar] [CrossRef]
- McQueen, D.; Peskin, C. Shared-memory parallel vector implementation of the immersed boundary method for the computation of blood flow in the beating mammalian heart. J. Supercomput. 1997, 11, 213–236. [Google Scholar] [CrossRef]
- Luo, H.; Mittal, R.; Zheng, X.; Bielamowicz, S.A.; Walsh, R.J.; Hahn, J.K. An immersed-boundary method for flow–structure interaction in biological systems with application to phonation. J. Comput. Phys. 2008, 227, 9303–9332. [Google Scholar] [CrossRef]
- Tian, F.B.; Dai, H.; Luo, H.; Doyle, J.F.; Rousseau, B. Fluid–structure interaction involving large deformations: 3D simulations and applications to biological systems. J. Comput. Phys. 2014, 258, 451–469. [Google Scholar] [CrossRef]
- Dauptain, A.; Favier, J.; Bottaro, A. Hydrodynamics of ciliary propulsion. J. Fluids Struct. 2008, 24, 1156–1165. [Google Scholar] [CrossRef]
- Brown, D.L.; Cortez, R.; Minion, M.L. Accurate projection methods for the incompressible Navier–Stokes equations. J. Comput. Phys. 2001, 168, 464–499. [Google Scholar] [CrossRef]
- Harlow, F.H.; Welch, J.E. Numerical calculation of time-dependent viscous incompressible flow of fluid with free surface. Phys. Fluids 1965, 8, 2182–2189. [Google Scholar] [CrossRef]
- Adams, J.; Swarztrauber, P.; Sweet, R. Fishpack—A Package of Fortran Subprograms for the Solution of Separable Elliptic Partial Differential Equations. 1980. Available online: http://www.netlib.org/fishpacksending (accessed on 24 April 2018).
- Lee, W.; Jayathilake, P.; Tan, Z.; Le, D.; Lee, H.; Khoo, B. Muco-ciliary transport: Effect of mucus viscosity, cilia beat frequency and cilia density. Comput. Fluids 2011, 49, 214–221. [Google Scholar] [CrossRef]
- Quek, Y.L.R.; Lim, K.M.; Chiam, K.H. Three-dimensional computational model of multiphase flow driven by a bed of active cilia. Comput. Fluids 2018, 170, 222–235. [Google Scholar] [CrossRef]
- Guermond, J.L.; Minev, P.; Shen, J. An overview of projection methods for incompressible flows. Comput. Methods Appl. Mech. Eng. 2006, 195, 6011–6045. [Google Scholar] [CrossRef]
- Morris, J.P.; Fox, P.J.; Zhu, Y. Modeling low Reynolds number incompressible flows using SPH. J. Comput. Phys. 1997, 136, 214–226. [Google Scholar] [CrossRef]
- Shankar, P. The eddy structure in Stokes flow in a cavity. J. Fluid Mech. 1993, 250, 371–383. [Google Scholar] [CrossRef]
- Pan, F.; Acrivos, A. Steady flows in rectangular cavities. J. Fluid Mech. 1967, 28, 643–655. [Google Scholar] [CrossRef]
- Le, D.V.; White, J.; Peraire, J.; Lim, K.M.; Khoo, B. An implicit immersed boundary method for three-dimensional fluid–membrane interactions. J. Comput. Phys. 2009, 228, 8427–8445. [Google Scholar] [CrossRef]
- Pedersen, P.S.; Holstein-Rathlou, N.H.; Larsen, P.L.; Qvortrup, K.; Frederiksen, O. Fluid absorption related to ion transport in human airway epithelial spheroids. Am. J. Physiol.-Lung Cell. Mol. Physiol. 1999, 277, L1096–L1103. [Google Scholar] [CrossRef]
- Aleksandrov, A.; Trakhtengerts, M. Viscosity of water at temperatures of −20 to 150 °C. J. Eng. Phys. Thermophys. 1974, 27, 1235–1239. [Google Scholar] [CrossRef]
- Sidhaye, V.K.; Schweitzer, K.S.; Caterina, M.J.; Shimoda, L.; King, L.S. Shear stress regulates aquaporin-5 and airway epithelial barrier function. Proc. Natl. Acad. Sci. USA 2008, 105, 3345–3350. [Google Scholar] [CrossRef]
- Chatelin, R.; Poncet, P. A hybrid grid-particle method for moving bodies in 3D stokes flow with variable viscosity. SIAM J. Sci. Comput. 2013, 35, B925–B949. [Google Scholar] [CrossRef]
- Knowles, M.R.; Boucher, R.C. Mucus clearance as a primary innate defense mechanism for mammalian airways. J. Clin. Investig. 2002, 109, 571–577. [Google Scholar] [CrossRef]
- Raidt, J.; Wallmeier, J.; Hjeij, R.; Onnebrink, J.G.; Pennekamp, P.; Loges, N.T.; Olbrich, H.; Häffner, K.; Dougherty, G.W.; Omran, H.; et al. Ciliary beat pattern and frequency in genetic variants of primary ciliary dyskinesia. Eur. Respir. J. 2014, 44, 1579–1588. [Google Scholar] [CrossRef]
- Ding, Y.; Nawroth, J.C.; McFall-Ngai, M.J.; Kanso, E. Mixing and transport by ciliary carpets: A numerical study. J. Fluid Mech. 2014, 743, 124–140. [Google Scholar] [CrossRef]
- Piotrowska, V.M.; Piotrowski, W.J.; Kurmanowska, Z.; Marczak, J.; Górski, P.; Antczak, A. Rhinosinusitis in COPD: Symptoms, mucosal changes, nasal lavage cells and eicosanoids. Int. J. Chronic Obstr. Pulm. Dis. 2010, 5, 107. [Google Scholar]
- Teff, Z.; Priel, Z.; Gheber, L.A. Forces applied by cilia measured on explants from mucociliary tissue. Biophys. J. 2007, 92, 1813–1823. [Google Scholar] [CrossRef][Green Version]
- Teff, Z.; Priel, Z.; Gheber, L.A. The forces applied by cilia depend linearly on their frequency due to constant geometry of the effective stroke. Biophys. J. 2008, 94, 298–305. [Google Scholar] [CrossRef]
- Hussong, J.; Lindken, R.; Faulhammer, P.; Noreikat, K.; Sharp, K.; Kummer, W.; Westerweel, J. Cilia-driven particle and fluid transport over mucus-free mice tracheae. J. Biomech. 2013, 46, 593–598. [Google Scholar] [CrossRef]












| Inherited Disorders | Ciliary Abnormalities |
| Primary ciliary dyskinesia (PCD) | Dynein arm defects [5] |
| Reduced ciliary beat frequency [11] | |
| Uncoordinated motion [12] | |
| Immotile cilia [13] | |
| Windscreen wiper/stiff planar/rotational motion [12,13] | |
| Cystic fibrosis (CF) | Regions of missing cilia [10] |
| Cilia with missing inner dynein arms [10] | |
| Abnormal numbers and location of microtubule doublets [10] | |
| Acquired Disorders | |
| Cigarette Smoking | Missing cilia [14] |
| Shorter cilia [15,16] | |
| Reduced ciliary beat frequency [10] | |
| Environmental Pollutants | Shorter cilia [17] |
| Regions of cilia loss [17] | |
| Disruption of trachea cilia structure [18] | |
| Reduced ciliary beat frequency [19] | |
| Asthma | Reduced ciliary beat frequency [9] |
| Abnormal ciliary beating in bronchial epithelial [20] | |
| Chronic obstructive pulmonary disease (COPD) | Shorter cilia [21] |
| Impaired ciliary beating [22] |
| Step 1: Calculate the cilia velocity at grid points using Equations (5) and (6). |
| Step 2: Spread singular force excerted by cilia by solving Equation (4). |
| Step 3: Solve Equation (7) to get intermediate velocity field . |
| Step 4: Compute the pressure increment by solving Poisson Equation (9). |
| Step 5: Update the velocity and pressure fields by Equations (10) and (11). |
| Description | Symbol | Units | Value | Ref. |
|---|---|---|---|---|
| Fluid grid size | h | μm | - | |
| No. of control points | N | - | 20 | - |
| No. of cilia | - | 72 | - | |
| Ciliary beat frequency | Hz | 10 | [29] | |
| Cilium length | L | μm | 6 | [29] |
| Computational domain length | μm | 48 | - | |
| Computational domain width | μm | 48 | - | |
| Computational domain height | μm | 8 | [51] | |
| Fluid density | g/cm | 1 | [29] | |
| Fluid dynamic viscosity | g/cm s | 0.01 | [29,52] | |
| Time step size | s | - | ||
| Phase difference between cilia | radian | - | ||
| Interciliary spacing along wave fronts | - | μm | - |
© 2019 by the authors. Licensee MDPI, Basel, Switzerland. This article is an open access article distributed under the terms and conditions of the Creative Commons Attribution (CC BY) license (http://creativecommons.org/licenses/by/4.0/).
Share and Cite
M. Vanaki, S.; Holmes, D.; Jayathilake, P.G.; Brown, R. Three-Dimensional Numerical Analysis of Periciliary Liquid Layer: Ciliary Abnormalities in Respiratory Diseases. Appl. Sci. 2019, 9, 4033. https://doi.org/10.3390/app9194033
M. Vanaki S, Holmes D, Jayathilake PG, Brown R. Three-Dimensional Numerical Analysis of Periciliary Liquid Layer: Ciliary Abnormalities in Respiratory Diseases. Applied Sciences. 2019; 9(19):4033. https://doi.org/10.3390/app9194033
Chicago/Turabian StyleM. Vanaki, Shayan, David Holmes, Pahala Gedara Jayathilake, and Richard Brown. 2019. "Three-Dimensional Numerical Analysis of Periciliary Liquid Layer: Ciliary Abnormalities in Respiratory Diseases" Applied Sciences 9, no. 19: 4033. https://doi.org/10.3390/app9194033
APA StyleM. Vanaki, S., Holmes, D., Jayathilake, P. G., & Brown, R. (2019). Three-Dimensional Numerical Analysis of Periciliary Liquid Layer: Ciliary Abnormalities in Respiratory Diseases. Applied Sciences, 9(19), 4033. https://doi.org/10.3390/app9194033

